Effects of DHEA and DHEAS in Neonatal Hypoxic–Ischemic Brain Injury
Abstract
1. Introduction
2. Materials and Methods
2.1. Neuropathological Injury Assessment
2.2. Immunohistochemical Analyses
2.3. Protein Fractionation and Western Blotting
2.4. ELISA of 4-Hydroxynonenal and 8-Hydroxydesoxyguanosin
2.5. Statistical Analysis
3. Results
3.1. Study Population
Somatometry
3.2. Neuropathological Injury
3.3. Anti-Apoptotic Potential of DHEA and DHEAS
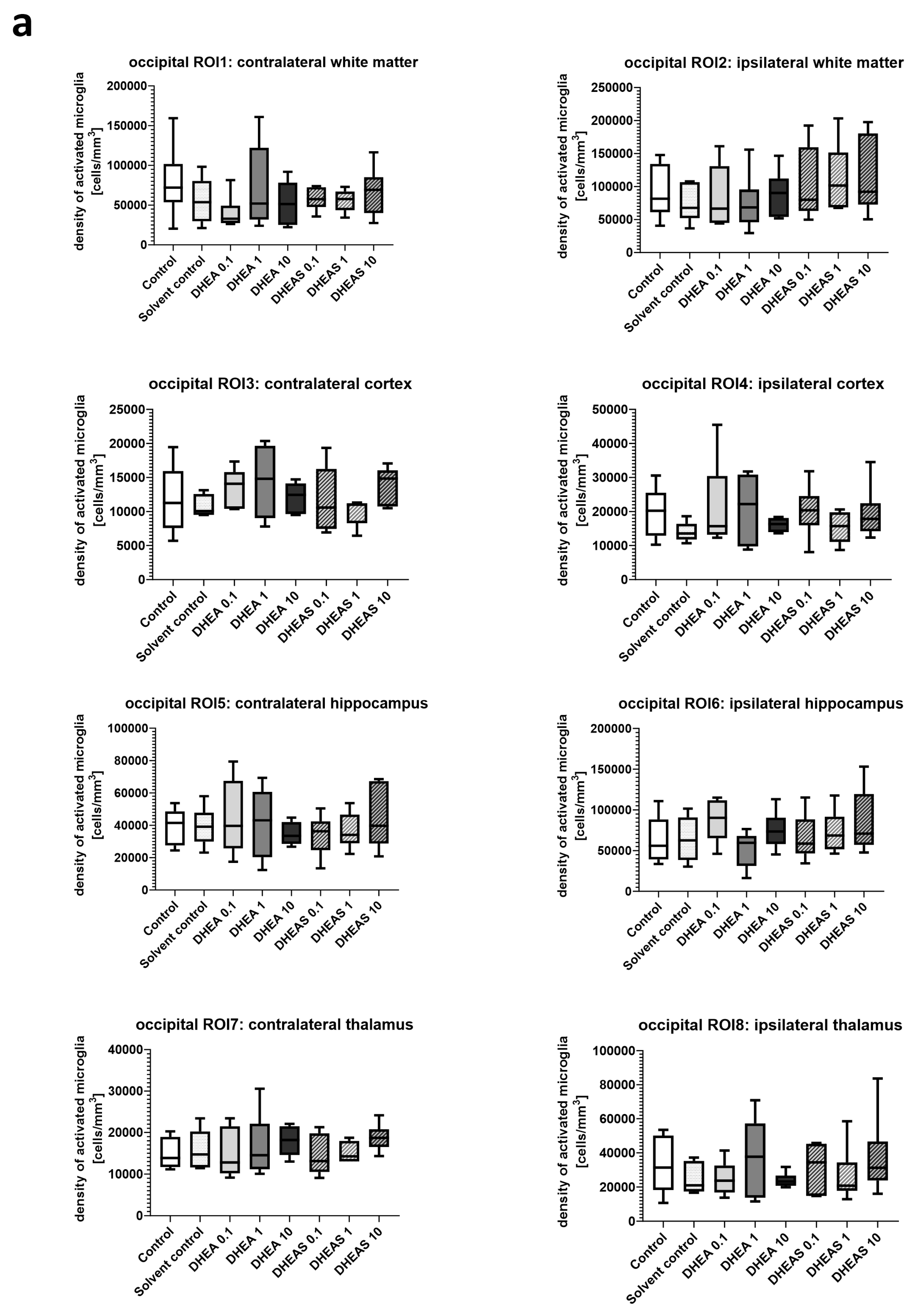
3.4. Microglial Cell Activation
3.5. Anti-Oxidative Potential of DHEA and DHEAS
3.5.1. Upstream Markers of Oxidative Stress—Western Blot
3.5.2. Downstream Markers of Oxidative Stress—ELISA
4. Discussion
5. Conclusions
Supplementary Materials
Author Contributions
Funding
Institutional Review Board Statement
Informed Consent Statement
Data Availability Statement
Acknowledgments
Conflicts of Interest
References
- Hill, M.G.; Reed, K.L.; Brown, R.N. Perinatal asphyxia from the obstetric standpoint. Semin. Fetal Neonatal Med. 2021, 26, 101259. [Google Scholar] [CrossRef] [PubMed]
- Juul, S.E.; Ferriero, D.M. Pharmacologic Neuroprotective Strategies in Neonatal Brain Injury. Clin. Perinatol. 2014, 41, 119–131. [Google Scholar] [CrossRef] [PubMed]
- Golubnitschaja, O.; Yeghiazaryan, K.; Cebioglu, M.; Morelli, M.; Herrera-Marschitz, M. Birth asphyxia as the major complication in newborns: Moving towards improved individual outcomes by prediction, targeted prevention and tailored medical care. EPMA J. 2011, 2, 197–210. [Google Scholar] [CrossRef]
- Elsadek, A.E.; FathyBarseem, N.; Suliman, H.A.; Elshorbagy, H.H.; Kamal, N.M.; Talaat, I.M.; Al-Shokary, A.H.; Maksoud, Y.H.A.; Ibrahim, A.O.; Attia, A.M.; et al. Hepatic Injury in Neonates with Perinatal Asphyxia. Glob. Pediatr. Health 2021, 8, 2333794X20987781. [Google Scholar] [CrossRef]
- UNICEF. Child Mortality Report 2023. United Nations Children’s Fund. 2024. Available online: https://childmortality.org/wp-content/uploads/2024/03/UNIGME-2023-Child-Mortality-Report.pdf (accessed on 4 October 2024).
- Park, J.; Park, S.H.; Kim, C.; Yoon, S.J.; Lim, J.H.; Han, J.H.; Shin, J.E.; Eun, H.S.; Park, M.S.; Lee, S.M. Growth and developmental outcomes of infants with hypoxic ischemic encephalopathy. Sci. Rep. 2023, 13, 23100. [Google Scholar] [CrossRef]
- Cornet, M.-C.; Kuzniewicz, M.; Scheffler, A.; Forquer, H.; Hamilton, E.; Newman, T.B.; Wu, Y.W. Perinatal Hypoxic-Ischemic Encephalopathy: Incidence Over Time Within a Modern US Birth Cohort. Pediatr. Neurol. 2023, 149, 145–150. [Google Scholar] [CrossRef]
- Gillam-Krakauer, M.; Gowen, C.W., Jr. StatPearls: Birth Asphyxia; StatPearls: Treasure Island, FL, USA, 2024. [Google Scholar]
- Namusoke, H.; Nannyonga, M.M.; Ssebunya, R.; Nakibuuka, V.K.; Mworozi, E. Incidence and short term outcomes of neonates with hypoxic ischemic encephalopathy in a Peri Urban teaching hospital, Uganda: A prospective cohort study. Matern. Health Neonatol. Perinatol. 2018, 4, 6. [Google Scholar] [CrossRef]
- Naburi, H.E.; Pillay, S.; Houndjahoue, F.; Bandeira, S.; Kali, G.T.J.; Horn, A.R. A survey on the diagnosis and management of neonatal hypoxic ischaemic encephalopathy in sub-saharan Africa. Sci. Rep. 2024, 14, 22046. [Google Scholar] [CrossRef]
- Wang, Q.; Lv, H.; Lu, L.; Ren, P.; Li, L. Neonatal hypoxic–ischemic encephalopathy: Emerging therapeutic strategies based on pathophysiologic phases of the injury. J. Matern. Neonatal Med. 2019, 32, 3685–3692. [Google Scholar] [CrossRef]
- Halpin, S.; McCusker, C.; Fogarty, L.; White, J.; Cavalière, E.; Boylan, G.; Murray, D. Long-term neuropsychological and behavioral outcome of mild and moderate hypoxic ischemic encephalopathy. Early Hum. Dev. 2022, 165, 105541. [Google Scholar] [CrossRef]
- Gopagondanahalli, K.R.; Li, J.; Fahey, M.C.; Hunt, R.W.; Jenkin, G.; Miller, S.L.; Malhotra, A. Preterm Hypoxic–Ischemic Encephalopathy. Front. Pediatr. 2016, 4, 114. [Google Scholar] [CrossRef] [PubMed]
- Lai, M.-C.; Yang, S.-N. Perinatal hypoxic-ischemic encephalopathy. J. Biomed. Biotechnol. 2011, 2011, 609813. [Google Scholar] [CrossRef] [PubMed]
- Cotten, C.M.; Shankaran, S. Hypothermia for hypoxic-ischemic encephalopathy. Expert Rev. Obstet. Gynecol. 2010, 5, 227–239. [Google Scholar] [CrossRef] [PubMed]
- Antonucci, R.; Porcella, A.; Pilloni, M.D. Perinatal asphyxia in the term newborn. J. Pediatr. Neonatal Individ. Med. 2014, 3, e030269. [Google Scholar]
- Distefano, G.; Praticò, A.D. Actualities on molecular pathogenesis and repairing processes of cerebral damage in perinatal hypoxic-ischemic encephalopathy. Ital. J. Pediatr. 2010, 36, 63. [Google Scholar] [CrossRef]
- Douglas-Escobar, M.; Weiss, M.D. Hypoxic-ischemic encephalopathy: A review for the clinician. JAMA Pediatr. 2015, 169, 397–403. [Google Scholar] [CrossRef]
- Greco, P.; Nencini, G.; Piva, I.; Scioscia, M.; Volta, C.A.; Spadaro, S.; Neri, M.; Bonaccorsi, G.; Greco, F.; Cocco, I.; et al. Pathophysiology of hypoxic–ischemic encephalopathy: A review of the past and a view on the future. Acta Neurol. Belg. 2020, 120, 277–288. [Google Scholar] [CrossRef]
- Morales, P.; Bustamante, D.; Espina-Marchant, P.; Neira-Peña, T.; Gutiérrez-Hernández, M.A.; Allende-Castro, C.; Rojas-Mancilla, E. Pathophysiology of perinatal asphyxia: Can we predict and improve individual outcomes? EPMA J. 2011, 2, 211–230. [Google Scholar] [CrossRef]
- Bellos, I.; Devi, U.; Pandita, A. Therapeutic Hypothermia for Neonatal Encephalopathy in Low- and Middle-Income Countries: A Meta-Analysis. Neonatology 2022, 119, 300–310. [Google Scholar] [CrossRef]
- Bonifacio, S.L.; Chalak, L.F.; Van Meurs, K.P.; Laptook, A.R.; Shankaran, S.; Archer, S.W. Neuroprotection for hypoxic-ischemic encephalopathy: Contributions from the neonatal research network. Semin. Perinatol. 2022, 46, 151639. [Google Scholar] [CrossRef]
- Ruscher, K.; Wieloch, T. The involvement of the sigma-1 receptor in neurodegeneration and neurorestoration. J. Pharmacol. Sci. 2015, 127, 30–35. [Google Scholar] [CrossRef] [PubMed]
- Posod, A.; Pinzer, K.; Urbanek, M.; Wegleiter, K.; Keller, M.; Kiechl-Kohlendorfer, U.; Griesmaier, E. The common antitussive agent dextromethorphan protects against hyperoxia-induced cell death in established in vivo and in vitro models of neonatal brain injury. Neuroscience 2014, 274, 260–272. [Google Scholar] [CrossRef]
- Griesmaier, E.; Posod, A.; Gross, M.; Neubauer, V.; Wegleiter, K.; Hermann, M.; Urbanek, M.; Keller, M.; Kiechl-Kohlendorfer, U. Neuroprotective effects of the sigma-1 receptor ligand PRE-084 against excitotoxic perinatal brain injury in newborn mice. Exp. Neurol. 2012, 237, 388–395. [Google Scholar] [CrossRef] [PubMed]
- Ajmo, C.T.; Vernon, D.O.L.; Collier, L.; Pennypacker, K.R.; Cuevas, J. Sigma Receptor Activation Reduces Infarct Size at 24 Hours After Permanent Middle Cerebral Artery Occlusion in Rats. Curr. Neurovascular Res. 2006, 3, 89–98. [Google Scholar] [CrossRef]
- Takahashi, H.; Kirsch, J.R.; Hashimoto, K.; London, E.D.; Koehler, R.C.; Traystman, R.J. PPBP 4-phenyl-1-(4-phenylbutyl) piperidine decreases brain injury after transient focal ischemia in rats. Stroke 1996, 27, 2120–2123. [Google Scholar] [CrossRef]
- Yang, Z.-J.; Carter, E.L.; Torbey, M.T.; Martin, L.J.; Koehler, R.C. Sigma receptor ligand 4-phenyl-1-(4-phenylbutyl)-piperidine modulates neuronal nitric oxide synthase/postsynaptic density-95 coupling mechanisms and protects against neonatal ischemic degeneration of striatal neurons. Exp. Neurol. 2009, 221, 166–174. [Google Scholar] [CrossRef]
- Quinn, T.; Greaves, R.; Badoer, E.; Walker, D. DHEA in Prenatal and Postnatal Life: Implications for Brain and Behavior; Vitamins and Hormones; Elsevier: Amsterdam, The Netherlands, 2018; Volume 108. [Google Scholar]
- Yılmaz, C.; Karali, K.; Fodelianaki, G.; Gravanis, A.; Chavakis, T.; Charalampopoulos, I.; Alexaki, V.I. Neurosteroids as regulators of neuroinflammation. Front. Neuroendocrinol. 2019, 55, 100788. [Google Scholar] [CrossRef] [PubMed]
- Stárka, L.; Dušková, M.; Hill, M. Dehydroepiandrosterone: A neuroactive steroid. J. Steroid Biochem. Mol. Biol. 2015, 145, 254–260. [Google Scholar] [CrossRef]
- Maninger, N.; Wolkowitz, O.M.; Reus, V.I.; Epel, E.S.; Mellon, S.H. Neurobiological and neuropsychiatric effects of dehydroepiandrosterone (DHEA) and DHEA sulfate (DHEAS). Front. Neuroendocr. 2009, 30, 65–91. [Google Scholar] [CrossRef]
- Kroboth, P.D.; Salek, F.S.; Pittenger, A.L.; Fabian, T.J.; Frye, R.F. DHEA and DHEA-S: A review. J. Clin. Pharmacol. 1999, 39, 327–348. [Google Scholar] [CrossRef]
- Lazaridis, I.; Charalampopoulos, I.; Alexaki, V.-I.; Avlonitis, N.; Pediaditakis, I.; Efstathopoulos, P.; Calogeropoulou, T.; Castanas, E.; Gravanis, A. Neurosteroid Dehydroepiandrosterone Interacts with Nerve Growth Factor (NGF) Receptors, Preventing Neuronal Apoptosis. PLoS Biol. 2011, 9, e1001051. [Google Scholar] [CrossRef] [PubMed]
- Kipper-Galperin, M.; Galilly, R.; Danenberg, H.D.; Brenner, T. Dehydroepiandrosterone selectively inhibits production of tumor necrosis factor alpha and interleukin-6 correction of interlukin-6 in astrocytes. Int. J. Dev. Neurosci. 1999, 17, 765–775. [Google Scholar] [CrossRef]
- Di Santo, E.; Foddi, M.C.; Ricciardi-Castagnoli, P.; Mennini, T.; Ghezzi, P. DHEAS Inhibits TNF Production in Monocytes, Astrocytes and Microglial Cells. Neuroimmunomodulation 1996, 3, 285–288. [Google Scholar] [CrossRef]
- Borowicz, K.K.; Piskorska, B.; Banach, M.; Czuczwar, S.J. Neuroprotective Actions of Neurosteroids. Front. Endocrinol. 2011, 2, 50. [Google Scholar] [CrossRef] [PubMed]
- Cardounel, A.; Regelson, W.; Kalimi, M. Dehydroepiandrosterone Protects Hippocampal Neurons Against Neurotoxin-Induced Cell Death: Mechanism of Action2. Proc. Soc. Exp. Biol. Med. 1999, 222, 145–149. [Google Scholar] [CrossRef] [PubMed]
- Kimonides, V.G.; Khatibi, N.H.; Svendsen, C.N.; Sofroniew, M.V.; Herbert, J. Dehydroepiandrosterone (DHEA) and DHEA-sulfate (DHEAS) protect hippocampal neurons against excitatory amino acid-induced neurotoxicity. Proc. Natl. Acad. Sci. USA 1998, 95, 1852–1857. [Google Scholar] [CrossRef]
- Wu, Z.; Li, L.; Zheng, L.; Xu, Z.; Guo, L.; Zhen, X. Allosteric modulation of sigma-1 receptors by SKF83959 inhibits microglia-mediated inflammation. J. Neurochem. 2015, 134, 904–914. [Google Scholar] [CrossRef] [PubMed]
- Yabuki, Y.; Shinoda, Y.; Izumi, H.; Ikuno, T.; Shioda, N.; Fukunaga, K. Dehydroepiandrosterone administration improves memory deficits following transient brain ischemia through sigma-1 receptor stimulation. Brain Res. 2015, 1622, 102–113. [Google Scholar] [CrossRef]
- Tao, T.; Liu, G.-J.; Shi, X.; Zhou, Y.; Lu, Y.; Gao, Y.-Y.; Zhang, X.-S.; Wang, H.; Wu, L.-Y.; Chen, C.-L.; et al. DHEA Attenuates Microglial Activation via Induction of JMJD3 in Experimental Subarachnoid Haemorrhage. J. Neuroinflamm. 2019, 16, 243. [Google Scholar] [CrossRef]
- Marx, C.E.; Jarskog, L.; Lauder, J.M.; Gilmore, J.H.; A Lieberman, J.; Morrow, A. Neurosteroid modulation of embryonic neuronal survival in vitro following anoxia. Brain Res. 2000, 871, 104–112. [Google Scholar] [CrossRef]
- Li, H.; Klein, G.; Sun, P.; Buchan, A.M. Dehydroepiandrosterone (DHEA) reduces neuronal injury in a rat model of global cerebral ischemia. Brain Res. 2001, 888, 263–266. [Google Scholar] [CrossRef] [PubMed]
- Li, Z.; Cui, S.; Zhang, Z.; Zhou, R.; Ge, Y.; Sokabe, M.; Chen, L. DHEA-Neuroprotection and -Neurotoxicity after Transient Cerebral Ischemia in Rats. J. Cereb. Blood Flow Metab. 2009, 29, 287–296. [Google Scholar] [CrossRef] [PubMed]
- Lapchak, P.A.; Chapman, D.F.; Nunez, S.Y.; Zivin, J.A. Dehydroepiandrosterone sulfate is neuroprotective in a reversible spinal cord ischemia model: Possible involvement of GABA(A) receptors. Stroke 2000, 31, 1953–1956; discussion 1957. [Google Scholar] [CrossRef] [PubMed]
- Zhang, L.; Li, B.S.; Ma, W.; Barker, J.L.; Chang, Y.H.; Zhao, W.; Rubinow, D.R. Dehydroepiandrosterone (DHEA) and its sulfated derivative (DHEAS) regulate apoptosis during neurogenesis by triggering the Akt signaling pathway in opposing ways. Mol. Brain Res. 2002, 98, 58–66. [Google Scholar] [CrossRef]
- Clark, B.J.; Prough, R.A.; Klinge, C.M. Mechanisms of Action of Dehydroepiandrosterone. Vitam. Horm. 2018, 108, 29–73. [Google Scholar]
- Alexaki, V.I.; Fodelianaki, G.; Neuwirth, A.; Mund, C.; Kourgiantaki, A.; Ieronimaki, E.; Lyroni, K.; Troullinaki, M.; Fujii, C.; Kanczkowski, W.; et al. DHEA inhibits acute microglia-mediated inflammation through activation of the TrkA-Akt1/2-CREB-Jmjd3 pathway. Mol. Psychiatry 2018, 23, 1410–1420. [Google Scholar] [CrossRef]
- Tsai, S.-Y.; Hayashi, T.; Mori, T.; Su, T.-P. Sigma-1 receptor chaperones and diseases. Cent. Nerv. Syst. Agents Med. Chem. 2009, 9, 184–189. [Google Scholar] [CrossRef]
- Lockhart, B.P.; Soulard, P.; Benicourt, C.; Privat, A.; Junien, J.L. Distinct neuroprotective profiles for sigma ligands against N-methyl-D-aspartate (NMDA), and hypoxia-mediated neurotoxicity in neuronal culture toxicity studies. Brain Res. 1995, 675, 110–120. [Google Scholar] [CrossRef]
- Klette, K.L.; DeCoster, M.A.; Moreton, J.; Tortella, F.C. Role of calcium in sigma-mediated neuroprotection in rat primary cortical neurons. Brain Res. 1995, 704, 31–41. [Google Scholar] [CrossRef]
- Yamamoto, H.; Yamamoto, T.; Sagi, N.; Klenerova, V.; Goji, K.; Kawai, N.; Baba, A.; Takamori, E.; Moroji, T. Sigma ligands indirectly modulate the NMDA receptor-ion channel complex on intact neuronal cells via sigma 1 site. J. Neurosci. 1995, 15 Pt 2, 731–736. [Google Scholar] [CrossRef]
- Bhardwaj, A.; Sawada, M.; London, E.D.; Koehler, R.C.; Traystman, R.J.; Kirsch, J.R. Potent sigma1-receptor ligand 4-phenyl-1-(4-phenylbutyl) piperidine modulates basal and N-methyl-D-aspartate-evoked nitric oxide production in vivo. Stroke 1998, 29, 2404–2410; discussion 2411. [Google Scholar] [CrossRef]
- Vannucci, R.C.; Connor, J.R.; Mauger, D.T.; Palmer, C.; Smith, M.B.; Towfighi, J.; Vannucci, S.J. Rat model of perinatal hypoxic-ischemic brain damage. J. Neurosci. Res. 1999, 55, 158–163. [Google Scholar] [CrossRef]
- Hagberg, H.; Wilson, M.A.; Matsushita, H.; Zhu, C.; Lange, M.; Gustavsson, M.; Poitras, M.F.; Dawson, T.M.; Dawson, V.L.; Northington, F.; et al. PARP-1 gene disruption in mice preferentially protects males from perinatal brain injury. J. Neurochem. 2004, 90, 1068–1075. [Google Scholar] [CrossRef] [PubMed]
- Dimauro, I.; Pearson, T.; Caporossi, D.; Jackson, M.J. A simple protocol for the subcellular fractionation of skeletal muscle cells and tissue. BMC Res. Notes 2012, 5, 513. [Google Scholar] [CrossRef]
- Cox, B.; Emili, A. Tissue subcellular fractionation and protein extraction for use in mass-spectrometry-based proteomics. Nat. Protoc. 2006, 1, 1872–1878. [Google Scholar] [CrossRef]
- Crowley, L.C.; Waterhouse, N.J. Detecting Cleaved Caspase-3 in Apoptotic Cells by Flow Cytometry. Cold Spring Harb. Protoc. 2016, 2016, pdb-prot087312. [Google Scholar] [CrossRef]
- Chakkarapani, A.A.; Aly, H.; Benders, M.; Cotten, C.M.; El-Dib, M.; Gressens, P.; Hagberg, H.; Sabir, H.; Wintermark, P.; Robertson, N.J. Therapies for neonatal encephalopathy: Targeting the latent, secondary and tertiary phases of evolving brain injury. Semin. Fetal Neonatal Med. 2021, 26, 101256. [Google Scholar] [CrossRef]
- Quan, H.; Zhang, R. Microglia dynamic response and phenotype heterogeneity in neural regeneration following hypoxic-ischemic brain injury. Front. Immunol. 2023, 14, 1320271. [Google Scholar] [CrossRef]
- Tsang, C.K.; Liu, Y.; Thomas, J.; Zhang, Y.; Zheng, X.F.S. Superoxide dismutase 1 acts as a nuclear transcription factor to regulate oxidative stress resistance. Nat. Commun. 2014, 5, 3446. [Google Scholar] [CrossRef] [PubMed]
- Ganguly, U.; Kaur, U.; Chakrabarti, S.S.; Sharma, P.; Agrawal, B.K.; Saso, L.; Chakrabarti, S. Oxidative Stress, Neuroinflammation, and NADPH Oxidase: Implications in the Pathogenesis and Treatment of Alzheimer’s Disease. Oxidative Med. Cell. Longev. 2021, 2021, 7086512. [Google Scholar] [CrossRef]
- Li, Y.; Zhao, T.; Li, J.; Xia, M.; Li, Y.; Wang, X.; Liu, C.; Zheng, T.; Chen, R.; Kan, D.; et al. Oxidative Stress and 4-hydroxy-2-nonenal (4-HNE): Implications in the Pathogenesis and Treatment of Aging-related Diseases. J. Immunol. Res. 2022, 2022, 2233906. [Google Scholar] [CrossRef] [PubMed]
- Valavanidis, A.; Vlachogianni, T.; Fiotakis, C. 8-hydroxy-2′ -deoxyguanosine (8-OHdG): A Critical Biomarker of Oxidative Stress and Carcinogenesis. J. Environ. Sci. Health Part C Environ. Carcinog. Ecotoxicol. Rev. 2009, 27, 120–139. [Google Scholar] [CrossRef] [PubMed]
- Panada, J.; Klopava, V.; Kulahava, T.; Koran, S.; Faletrov, Y.; Frolova, N.; Fomina, E.; Shkumatov, V. Differential induction of C6 glioma apoptosis and autophagy by 3β-hydroxysteroid-indolamine conjugates. Steroids 2023, 200, 109326. [Google Scholar] [CrossRef] [PubMed]
- Skare, T.L.; Hauz, E.; de Carvalho, J.F. Dehydroepiandrosterone (DHEA) Supplementation in Rheumatic Diseases: A Systematic Review. Mediterr. J. Rheumatol. 2023, 34, 292–301. [Google Scholar] [CrossRef] [PubMed]
- Rabijewski, M.; Papierska, L.; Binkowska, M.; Maksym, R.; Jankowska, K.; Skrzypulec-Plinta, W.; Zgliczynski, W. Supplementation of dehydroepiandrosterone (DHEA) in pre- and postmenopausal women—Position statement of expert panel of Polish Menopause and Andropause Society. Ginekol. Pol. 2020, 91, 554–562. [Google Scholar] [CrossRef]
- Karishma, K.K.; Herbert, J. Dehydroepiandrosterone (DHEA) stimulates neurogenesis in the hippocampus of the rat, promotes survival of newly formed neurons and prevents corticosterone-induced suppression. Eur. J. Neurosci. 2002, 16, 445–453. [Google Scholar] [CrossRef]
- Li, Z.; Zhou, R.; Cui, S.; Xie, G.; Cai, W.; Sokabe, M.; Chen, L. Dehydroepiandrosterone sulfate prevents ischemia-induced impairment of long-term potentiation in rat hippocampal CA1 by up-regulating tyrosine phosphorylation of NMDA receptor. Neuropharmacology 2006, 51, 958–966. [Google Scholar] [CrossRef]
- Yuan, C.; Gao, J.; Guo, J.; Bai, L.; Marshall, C.; Cai, Z.; Wang, L.; Xiao, M. Dimethyl Sulfoxide Damages Mitochondrial Integrity and Membrane Potential in Cultured Astrocytes. PLoS ONE 2014, 9, e107447. [Google Scholar] [CrossRef]
- Milman, A.; Zohar, O.; Maayan, R.; Weizman, R.; Pick, C. DHEAS repeated treatment improves cognitive and behavioral deficits after mild traumatic brain injury. Eur. Neuropsychopharmacol. 2008, 18, 181–187. [Google Scholar] [CrossRef]
- Kurata, K.; Takebayashi, M.; Morinobu, S.; Yamawaki, S. beta-estradiol, dehydroepiandrosterone, and dehydroepiandrosterone sulfate protect against N-methyl-D-aspartate-induced neurotoxicity in rat hippocampal neurons by different mechanisms. J. Pharmacol. Exp. Ther. 2004, 311, 237–245. [Google Scholar] [CrossRef]
- Aragno, M.; Parola, S.; Brignardello, E.; Mauro, A.; Tamagno, E.; Manti, R.; Danni, O.; Boccuzzi, G. Dehydroepiandrosterone prevents oxidative injury induced by transient ischemia/reperfusion in the brain of diabetic rats. Diabetes 2000, 49, 1924–1931. [Google Scholar] [CrossRef] [PubMed]
- Ferriero, D.M. Neonatal brain injury. N. Engl. J. Med. 2004, 351, 1985–1995. [Google Scholar] [CrossRef] [PubMed]
- Hübner, S.; Sunny, D.E.; Zädow, C.; Ruhnau, J.; Reich, B.; Vogelgesang, A.; Heckmann, M. The neuroendocrine effects of dehydroepiandrosterone and 17β-estradiol in the in vitro preterm hyperoxia infant model. J. Integr. Neurosci. 2021, 20, 109–118. [Google Scholar] [CrossRef] [PubMed]
- Hofmann, K.; Rodriguez-Rodriguez, R.; Gaebler, A.; Casals, N.; Scheller, A.; Kuerschner, L. Astrocytes and oligodendrocytes in grey and white matter regions of the brain metabolize fatty acids. Sci. Rep. 2017, 7, 10779. [Google Scholar] [CrossRef]










| Treatment Group | Number of Animals, n | Total Injury Score, Median (25th; 75th Percentile) | p-Value |
|---|---|---|---|
| Control | 16 | 3.5 (1.0; 10.5) | |
| Solvent control | 16 | 8.3 (0.9; 12.0) | |
| DHEA 0.1 µg/g bw | 15 | 5.0 (0.5; 13.0) | |
| DHEA 1 µg/g bw | 17 | 9.5 (1.5; 12.0) | |
| DHEA 10 µg/g bw | 16 | 5.0 (1.1; 7.9) | |
| DHEAS 0.1 µg/g bw | 16 | 7.5 (1.3; 12.8) | |
| DHEAS 1 µg/g bw | 17 | 4.0 (1.3; 11.0) | |
| DHEAS 10 µg/g bw | 17 | 6.5 (1.5; 12.5) | 0.829 1 |
| Section Plane | Hemisphere | Brain Region | Treatment Group | Number of Positive Cells, Median (25th; 75th Percentile) | p-Value |
|---|---|---|---|---|---|
| Occipital | Contralateral | White matter | |||
| Control | 11 (4; 12) | ||||
| Solvent control | 6 (4; 10) | ||||
| DHEA 0.1 µg/g bw | 6 (4; 11) | ||||
| DHEA 1 µg/g bw | 13 (11; 16) | ||||
| DHEA 10 µg/g bw | 10 (6; 14) | ||||
| DHEAS 0.1 µg/g bw | 11 (3; 23) | ||||
| DHEAS 1 µg/g bw | 7 (6; 10) | ||||
| DHEAS 10 µg/g bw | 8 (6; 11) | 0.268 1 | |||
| Ipsilateral | White matter | ||||
| Control | 125 (12; 181) | ||||
| Solvent control | 16 (4; 162) | ||||
| DHEA 0.1 µg/g bw | 19 (11; 111) | ||||
| DHEA 1 µg/g bw | 182 (10; 282) | ||||
| DHEA 10 µg/g bw | 27 (10; 141) | ||||
| DHEAS 0.1 µg/g bw | 121 (7; 248) | ||||
| DHEAS 1 µg/g bw | 25 (9; 228) | ||||
| DHEAS 10 µg/g bw | 83 (17; 230) | 0.836 1 | |||
| Contralateral | Cortex | ||||
| Control | 16 (13; 25) | ||||
| Solvent control | 16 (9; 20) | ||||
| DHEA 0.1 µg/g bw | 23 (14; 33) | ||||
| DHEA 1 µg/g bw | 24 (13; 32) | ||||
| DHEA 10 µg/g bw | 15 (9; 24) | ||||
| DHEAS 0.1 µg/g bw | 20 (13; 24) | ||||
| DHEAS 1 µg/g bw | 20 (16; 26) | ||||
| DHEAS 10 µg/g bw | 19 (15; 23) | 0.590 1 | |||
| Ipsilateral | Cortex | ||||
| Control | 160 (37; 276) | ||||
| Solvent control | 37 (10; 202) | ||||
| DHEA 0.1 µg/g bw | 39 (25; 107) | ||||
| DHEA 1 µg/g bw | 286 (23; 376) | ||||
| DHEA 10 µg/g bw | 34 (24; 220) | ||||
| DHEAS 0.1 µg/g bw | 158 (18; 446) | ||||
| DHEAS 1 µg/g bw | 39 (27; 169) | ||||
| DHEAS 10 µg/g bw | 93 (25; 366) | 0.901 1 | |||
| Contralateral | Hippocampus | ||||
| Control | 4 (3; 5) | ||||
| Solvent control | 3 (2; 5) | ||||
| DHEA 0.1 µg/g bw | 5 (4; 5) | ||||
| DHEA 1 µg/g bw | 5 (3; 6) | ||||
| DHEA 10 µg/g bw | 4 (2; 6) | ||||
| DHEAS 0.1 µg/g bw | 5 (3; 9) | ||||
| DHEAS 1 µg/g bw | 4 (4; 6) | ||||
| DHEAS 10 µg/g bw | 4 (3; 6) | 0.882 1 | |||
| Ipsilateral | Hippocampus | ||||
| Control | 69 (23; 87) | ||||
| Solvent control | 35 (5; 96) | ||||
| DHEA 0.1 µg/g bw | 48 (25; 109) | ||||
| DHEA 1 µg/g bw | 81 (4; 107) | ||||
| DHEA 10 µg/g bw | 41 (8; 115) | ||||
| DHEAS 0.1 µg/g bw | 53 (8; 159) | ||||
| DHEAS 1 µg/g bw | 51 (7; 112) | ||||
| DHEAS 10 µg/g bw | 70 (49; 135) | 0.951 1 | |||
| Contralateral | Thalamus | ||||
| Control | 6 (5; 15) | ||||
| Solvent control | 6 (4; 11) | ||||
| DHEA 0.1 µg/g bw | 7 (4; 12) | ||||
| DHEA 1 µg/g bw | 6 (5; 10) | ||||
| DHEA 10 µg/g bw | 15 (6; 25) | ||||
| DHEAS 0.1 µg/g bw | 9 (6; 12) | ||||
| DHEAS 1 µg/g bw | 7 (4; 8) | ||||
| DHEAS 10 µg/g bw | 7 (4; 16) | 0.680 1 | |||
| Ipsilateral | Thalamus | ||||
| Control | 43 (15; 113) | ||||
| Solvent control | 16 (6; 64) | ||||
| DHEA 0.1 µg/g bw | 12 (6; 29) | ||||
| DHEA 1 µg/g bw | 35 (8; 65) | ||||
| DHEA 10 µg/g bw | 10 (6; 41) | ||||
| DHEAS 0.1 µg/g bw | 15 (4; 38) | ||||
| DHEAS 1 µg/g bw | 8 (5; 22) | ||||
| DHEAS 10 µg/g bw | 23 (10; 39) | 0.381 1 | |||
| Frontal | Contralateral | White matter | |||
| Control | 6 (4; 10) | ||||
| Solvent control | 6 (5; 10) | ||||
| DHEA 0.1 µg/g bw | 8 (6; 9) | ||||
| DHEA 1 µg/g bw | 11 (7; 14) | ||||
| DHEA 10 µg/g bw | 4 (4; 8) | ||||
| DHEAS 0.1 µg/g bw | 5 (3; 10) | ||||
| DHEAS 1 µg/g bw | 5 (4; 18) | ||||
| DHEAS 10 µg/g bw | 8 (5; 13) | 0.494 1 | |||
| Ipsilateral | White matter | ||||
| Control | 22 (9; 52) | ||||
| Solvent control | 9 (4; 30) | ||||
| DHEA 0.1 µg/g bw | 8 (7; 27) | ||||
| DHEA 1 µg/g bw | 35 (12; 62) | ||||
| DHEA 10 µg/g bw | 6 (4; 17) | ||||
| DHEAS 0.1 µg/g bw | 16 (3; 67) | ||||
| DHEAS 1 µg/g bw | 7 (2; 30) | ||||
| DHEAS 10 µg/g bw | 14 (6; 29) | 0.409 1 | |||
| Contralateral | Cortex | ||||
| Control | 16 (13; 30) | ||||
| Solvent control | 17 (9; 20) | ||||
| DHEA 0.1 µg/g bw | 23 (17; 32) | ||||
| DHEA 1 µg/g bw | 16 (10; 22) | ||||
| DHEA 10 µg/g bw | 15 (10; 17) | ||||
| DHEAS 0.1 µg/g bw | 15 (11; 22) | ||||
| DHEAS 1 µg/g bw | 16 (14; 18) | ||||
| DHEAS 10 µg/g bw | 14 (9; 24) | 0.468 1 | |||
| Ipsilateral | Cortex | ||||
| Control | 89 (24; 231) | ||||
| Solvent control | 26 (9; 107) | ||||
| DHEA 0.1 µg/g bw | 23 (16; 93) | ||||
| DHEA 1 µg/g bw | 145 (24; 204) | ||||
| DHEA 10 µg/g bw | 13 (9; 68) | ||||
| DHEAS 0.1 µg/g bw | 54 (9; 184) | ||||
| DHEAS 1 µg/g bw | 21 (15; 85) | ||||
| DHEAS 10 µg/g bw | 59 (24; 92) | 0.351 1 | |||
| Contralateral | Striatum | ||||
| Control | 6 (4; 10) | ||||
| Solvent control | 6 (3; 8) | ||||
| DHEA 0.1 µg/g bw | 9 (7; 13) | ||||
| DHEA 1 µg/g bw | 9 (4; 11) | ||||
| DHEA 10 µg/g bw | 8 (6; 11) | ||||
| DHEAS 0.1 µg/g bw | 6 (4; 9) | ||||
| DHEAS 1 µg/g bw | 5 (4; 9) | ||||
| DHEAS 10 µg/g bw | 5 (4; 6) | 0.305 1 | |||
| Ipsilateral | Striatum | ||||
| Control | 92 (8; 198) | ||||
| Solvent control | 13 (5; 104) | ||||
| DHEA 0.1 µg/g bw | 12 (9; 117) | ||||
| DHEA 1 µg/g bw | 130 (15; 288) | ||||
| DHEA 10 µg/g bw | 10 (4; 15) | ||||
| DHEAS 0.1 µg/g bw | 15 (4; 72) | ||||
| DHEAS 1 µg/g bw | 9 (5; 85) | ||||
| DHEAS 10 µg/g bw | 16 (10; 69) | 0.296 1 |
Disclaimer/Publisher’s Note: The statements, opinions and data contained in all publications are solely those of the individual author(s) and contributor(s) and not of MDPI and/or the editor(s). MDPI and/or the editor(s) disclaim responsibility for any injury to people or property resulting from any ideas, methods, instructions or products referred to in the content. |
© 2024 by the authors. Licensee MDPI, Basel, Switzerland. This article is an open access article distributed under the terms and conditions of the Creative Commons Attribution (CC BY) license (https://creativecommons.org/licenses/by/4.0/).
Share and Cite
Mayer, E.; Winkler, I.; Huber, E.; Urbanek, M.; Kiechl-Kohlendorfer, U.; Griesmaier, E.; Posod, A. Effects of DHEA and DHEAS in Neonatal Hypoxic–Ischemic Brain Injury. Antioxidants 2024, 13, 1542. https://doi.org/10.3390/antiox13121542
Mayer E, Winkler I, Huber E, Urbanek M, Kiechl-Kohlendorfer U, Griesmaier E, Posod A. Effects of DHEA and DHEAS in Neonatal Hypoxic–Ischemic Brain Injury. Antioxidants. 2024; 13(12):1542. https://doi.org/10.3390/antiox13121542
Chicago/Turabian StyleMayer, Elena, Ira Winkler, Eva Huber, Martina Urbanek, Ursula Kiechl-Kohlendorfer, Elke Griesmaier, and Anna Posod. 2024. "Effects of DHEA and DHEAS in Neonatal Hypoxic–Ischemic Brain Injury" Antioxidants 13, no. 12: 1542. https://doi.org/10.3390/antiox13121542
APA StyleMayer, E., Winkler, I., Huber, E., Urbanek, M., Kiechl-Kohlendorfer, U., Griesmaier, E., & Posod, A. (2024). Effects of DHEA and DHEAS in Neonatal Hypoxic–Ischemic Brain Injury. Antioxidants, 13(12), 1542. https://doi.org/10.3390/antiox13121542

