applsci-logo

Journal Browser

Journal Browser

Novel Approaches and Trends in Aerospace Control Systems

A special issue of Applied Sciences (ISSN 2076-3417). This special issue belongs to the section "Aerospace Science and Engineering".

Deadline for manuscript submissions: 20 January 2026 | Viewed by 1530

Special Issue Editor


E-Mail Website
Guest Editor
Department of Mechanical and Aerospace Engineering, Sapienza University of Rome, 00184 Rome, Italy
Interests: optimal control; trajectory optimization; attitude control; ascent trajectory; rocket control; convex optimization; reinforcement learning
Special Issues, Collections and Topics in MDPI journals

Special Issue Information

Dear Colleagues,

The aerospace community is continuously pushing the boundaries of innovation, impacting transportation, security, and exploration on a global scale. In this context, advanced control technologies play a significant role as they allow for the improvement of precision, efficiency, and safety across all aerospace applications, from autonomous aerial flight systems to spacecraft trajectory and control. As the complexity of these aerospace systems increases, the demand for novel control methodologies that can adapt to challenges related to robustness, adaptability, and energy efficiency significantly increases.

This Special Issue aims to gather original research and review articles that explore recent advancements in control technologies for aerospace applications. Contributions should highlight the development and implementation of innovative methods, tools, and frameworks that address real-world challenges. Examples of such applications include autonomous spacecraft maneuvers, urban air mobility (UAM), planetary exploration rovers, and next-generation green aviation systems. We particularly welcome contributions from researchers, practitioners, and industry experts working on innovative solutions that bridge the gap between theory and application.

The topics of this Special Issue include, but are not limited to, the following:

  • Robust and adaptive control for aerospace systems.
  • Guidance, navigation, and control (GNC) of spacecraft and aircraft.
  • Control algorithms for autonomous drones and unmanned aerial vehicles (UAVs).
  • Fault-tolerant control for critical aerospace operations.
  • Optimization-based control strategies in aerospace engineering.
  • Intelligent and learning-based control systems.
  • Multi-agent coordination and control in aerospace swarms.
  • Hybrid and nonlinear control applications in aerospace engineering.
  • Energy-efficient control strategies for green aviation.
  • Advanced simulation and validation tools for aerospace control systems.

Dr. Alessandro Zavoli
Guest Editor

Manuscript Submission Information

Manuscripts should be submitted online at www.mdpi.com by registering and logging in to this website. Once you are registered, click here to go to the submission form. Manuscripts can be submitted until the deadline. All submissions that pass pre-check are peer-reviewed. Accepted papers will be published continuously in the journal (as soon as accepted) and will be listed together on the special issue website. Research articles, review articles as well as short communications are invited. For planned papers, a title and short abstract (about 100 words) can be sent to the Editorial Office for announcement on this website.

Submitted manuscripts should not have been published previously, nor be under consideration for publication elsewhere (except conference proceedings papers). All manuscripts are thoroughly refereed through a single-blind peer-review process. A guide for authors and other relevant information for submission of manuscripts is available on the Instructions for Authors page. Applied Sciences is an international peer-reviewed open access semimonthly journal published by MDPI.

Please visit the Instructions for Authors page before submitting a manuscript. The Article Processing Charge (APC) for publication in this open access journal is 2400 CHF (Swiss Francs). Submitted papers should be well formatted and use good English. Authors may use MDPI's English editing service prior to publication or during author revisions.

Keywords

  • robust control
  • adaptive control
  • intelligent control
  • aerospace
  • UAV
  • spacecraft control
  • multi-agent systems
  • fault-tolerant systems

Benefits of Publishing in a Special Issue

  • Ease of navigation: Grouping papers by topic helps scholars navigate broad scope journals more efficiently.
  • Greater discoverability: Special Issues support the reach and impact of scientific research. Articles in Special Issues are more discoverable and cited more frequently.
  • Expansion of research network: Special Issues facilitate connections among authors, fostering scientific collaborations.
  • External promotion: Articles in Special Issues are often promoted through the journal's social media, increasing their visibility.
  • Reprint: MDPI Books provides the opportunity to republish successful Special Issues in book format, both online and in print.

Further information on MDPI's Special Issue policies can be found here.

Published Papers (2 papers)

Order results
Result details
Select all
Export citation of selected articles as:

Research

32 pages, 2032 KB  
Article
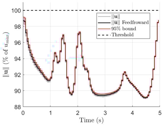
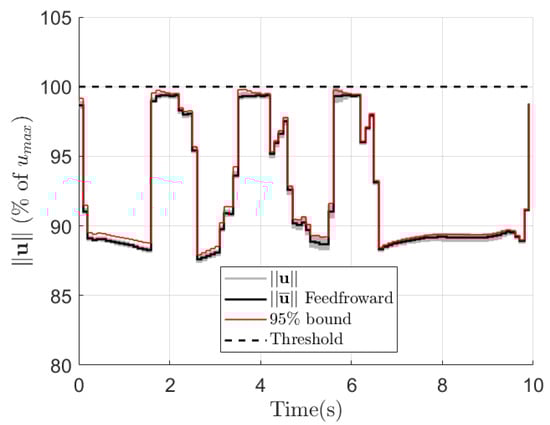
Stochastic Path Planning with Obstacle Avoidance for UAVs Using Covariance Control
by Alessandro Garzelli, Boris Benedikter, Alessandro Zavoli, José Ramiro Martínez de Dios, Alejandro Suarez and Anibal Ollero
Appl. Sci. 2025, 15(19), 10469; https://doi.org/10.3390/app151910469 - 27 Sep 2025
Viewed by 455
Abstract
Unmanned aerial vehicles (UAVs) operating in uncertain environments must plan safe and efficient trajectories while avoiding obstacles. This work addresses this challenge by formulating UAV path planning as a stochastic optimal control problem using covariance control. The objective is to generate a closed-loop [...] Read more.
Unmanned aerial vehicles (UAVs) operating in uncertain environments must plan safe and efficient trajectories while avoiding obstacles. This work addresses this challenge by formulating UAV path planning as a stochastic optimal control problem using covariance control. The objective is to generate a closed-loop guidance policy that steers both the mean and covariance of the UAV’s state toward a desired target distribution while ensuring probabilistic collision avoidance with ellipsoidal obstacles. The stochastic problem is convexified and reformulated as a sequence of deterministic optimization problems, enabling efficient computation even from coarse initial guesses. Simulation results demonstrate that the proposed method successfully produces robust trajectories and feedback policies that satisfy chance constraints on obstacle avoidance and reach the target with prescribed statistical characteristics. Full article
(This article belongs to the Special Issue Novel Approaches and Trends in Aerospace Control Systems)
Show Figures

Figure 1

19 pages, 4585 KB  
Article
E-Sail Three-Dimensional Interplanetary Transfer with Fixed Pitch Angle
by Alessandro A. Quarta
Appl. Sci. 2025, 15(9), 4661; https://doi.org/10.3390/app15094661 - 23 Apr 2025
Cited by 1 | Viewed by 505
Abstract
The electric solar wind sail (E-sail) is a propellantless propulsion system concept based on the use of a system of very long and thin conducting tethers, which create an artificial electric field that is able to deflect the solar-wind-charged particles in order to [...] Read more.
The electric solar wind sail (E-sail) is a propellantless propulsion system concept based on the use of a system of very long and thin conducting tethers, which create an artificial electric field that is able to deflect the solar-wind-charged particles in order to generate a net propulsive acceleration outside the planetary magnetospheres. The radial rig of conducting tethers is deployed and stretched by rotating the spacecraft about an axis perpendicular to the nominal plane of the sail. This rapid rotation complicates the thrust vectoring of the E-sail-based spacecraft, which is achieved by changing the orientation of the sail nominal plane with respect to an orbital reference frame. For this reason, some interesting steering techniques have recently been proposed which are based, for example, on maintaining the inertial direction of the spacecraft spin axis or on limiting the excursion of the so-called pitch angle, which is defined as the angle formed by the unit vector perpendicular to the sail nominal plane with the (radial) direction of propagation of the solar wind. In this paper, a different control strategy based on maintaining the pitch angle value constant during a typical interplanetary flight is investigated. In this highly constrained configuration, the spacecraft spin axis can rotate freely around the radial direction, performing a sort of conical motion around the Sun-vehicle line. Considering an interplanetary Earth–Venus or Earth–Mars mission scenario, the flight performance is here compared with a typical unconstrained optimal transfer, aiming to quantify the flight time variation due to the pitch angle value constraint. In this regard, simulation results indicate that the proposed control law provides a rather limited (percentage) performance variation in the case where the reference propulsive acceleration of the E-sail-based spacecraft is compatible with a medium- or low-performance propellantless propulsion system. Full article
(This article belongs to the Special Issue Novel Approaches and Trends in Aerospace Control Systems)
Show Figures

Figure 1

Back to TopTop