Abstract
This study investigates the crystal structure, martensitic transformation behavior, magnetic properties, and magnetic-field-induced reverse martensitic transformation of Co64V15(Si21–xAlx) alloys. It was found that by increasing the Al composition, the microstructure changes from the martensite phase to the parent phase. The crystal structures of the martensite and parent phases were determined as D022 and L21, respectively. Thermoanalysis and thermomagnetization measurements were used to determine the martensitic transformation and Curie temperatures. Both the ferromagnetic state of the parent phase and that of the martensite phase were observed. With the increasing Al contents, the martensitic transformation temperatures decrease, whereas the Curie temperatures of both the martensite and parent phases increase. The spontaneous magnetization and its composition dependence were also determined. The magnetic-field-induced reverse martensitic transformation of a Co64V15Si7Al14 alloy under pulsed high magnetic fields was observed. Moreover, using the results of the DSC measurements and the pulsed high magnetization measurements, the temperature dependence of the transformation entropy change of the Co-V-Si-Al alloys was estimated.
1. Introduction
Shape memory alloys showing both shape memory effects and/or superelasticity are important functional materials, and many shape memory alloys have been reported, such as the NiTi [1], Cu-based [2], Fe-based [3], and Mg-based [4] alloy systems. Recently, ferromagnetic shape memory alloys have received extensive attention because the magnetic-field-induced strain by variant rearrangement [5] and the magnetic-field-induced reverse martensitic transformation [6] have been found in Ni-Mn-X (X = In, Sn, Sb [7], and Ga [5]) Heusler alloys. In contrast, Co-based Heusler alloys are attractive in the field of spintronics owing to their half-metallic behavior [8]. Owing to the high phase stability of the Heusler phases, the martensitic transformation was not observed in the Co-based Heusler alloys except for Co2NbSn, which does not exhibit half-metallic behavior [9]. However, recently, martensitic transformations in Co-based Heusler alloys, such as Co-Cr-Ga-Si [10], Co-Cr-Al-Si [11], Co-V-Ga [12], Co-V-Si [13], and Co-V-Al [14], have been reported. Among them, the magnetic-field-induced phase transition was realized in Co-Cr-Ga-Si, Co-Cr-Al-Si, and Co-V-Ga alloys [15,16,17]. Furthermore, the Co-Cr-Ga-Si alloys show anomalous behavior, called reentrant martensitic transformation, which is a transformation from the paramagnetic martensite phase to the reentrant ferromagnetic parent phase, by cooling in addition to the normal martensitic transformation from the paramagnetic parent phase to the paramagnetic martensite phase [10]. Using the reentrant martensitic transformation, a cooling-induced shape memory effect was realized. This paper focuses on the CoV-based alloy system. In the Co-V-Si system, a martensitic transformation from L21 to D022 structures with decreasing temperature is found to occur at a high temperature of approximately 700 °C; thus, the use of a high-temperature shape memory alloy is considered [13]. However, the temperature is so high that a phase decomposition from L21 to A12 arises. Consequently, the forward martensitic transformation during cooling after heating to the parent phase cannot be detected owing to the diffusional transformation, and the sample degenerates only after one test of the shape memory effect for the as-quenched sample. To solve this problem, studies have been conducted by adding group III elements to lower the martensitic transformation temperature. For example, Ga-doped Co-V-Si-Ga alloys have been reported [18]. The addition of Ga has been found to be useful for decreasing the martensitic transformation temperature and improving the thermal stability, although also increasing the cost. Additionally, an increasing Ga composition improved the recovered strain of the shape memory effect [15]. Very recently, a good thermal stability of more than 200 thermal cycles from room temperature to 850 °C was reported in a Co-V-Si-Al alloy with a small concentration of Al [19]. Therefore, the Co-V-Si-Al system is expected to be an inexpensive solution for application as high-temperature shape memory alloys. However, systematic studies on quaternary alloys have not been conducted. In this study, the crystal structures, the martensitic transformation behavior, and magnetic properties of the Co64V15(Si21−xAlx) alloys were investigated, and a pseudo-binary magnetic phase diagram was determined. Furthermore, by the application of a pulsed high magnetic field, the magnetic-field-induced reverse martensitic transformation was realized, which also opens the possibility of its use as a multifunctional magnetic material for this new alloy system. Moreover, the temperature dependence of the transformation entropy, which had only been estimated for the Co-Cr-Ga-Si and Co-Cr-Al-Si alloys in the Co-based Heusler alloys [15,20], was further investigate by using the results of differential scanning calorimeter (DSC) measurements and magnetization measurements in the pulsed fields.
2. Materials and Methods
Co64V15(Si21−xAlx) (0 ≤ x ≤ 21) alloys were prepared from high-purity Co (99.9%), V (99.7%), Si (99.999%), and Al (99.99%) by arc melting in an argon atmosphere. The alloys were sealed into quartz tubes and solution-heat-treated at 1473 K for 24 h and then quenched in ice water by breaking the tubes. The microstructures were observed using a scanning electron microscope (SEM, JEOL Ltd., Tokyo, Japan). The compositions were analyzed using an electron probe microanalyzer equipped with a wavelength-dispersive X-ray spectrometer (EPMA-WDS, JEOL Ltd., Tokyo, Japan). The crystal structures were determined by powder X-ray diffraction (XRD, Bruker Corp., Billerica, MA, USA) with Co-Kα radiation. For the XRD measurements, some of the bulk samples were crushed into powders, and were then sealed into quartz tubes. Strain-relief heat treatments at 1473 K for 2 min were performed on these powders, followed by quenching in ice water without breaking the tubes. Thermoanalysis and thermomagnetization measurements were used to determine the martensitic transformation and magnetic transition temperatures. The thermoanalysis was conducted using a DSC. The thermomagnetization curves were measured using a vibrating sample magnetometer (VSM, Toei Industry Co., Ltd., Tokyo, Japan), a superconducting quantum interference device (SQUID) magnetometer (Quantum Design Inc., San Diego, CA, USA), and the ac magnetic susceptibility (ACMS) option of the physical properties measurement system (PPMS, Quantum Design Inc., San Diego, CA, USA). Magnetization measurements up to 67.5 kOe were performed at 6 K by SQUID.
Magnetization measurements in the pulsed high magnetic fields, up to approximately 550 kOe, were performed at the Institute for Solid State Physics, the University of Tokyo. The pulsed magnetic fields have a duration of approximately 36 ms. To generate the maximum fields of this study, 550 kOe, a pulse magnet is driven by three condenser banks having total capacitance of 18 mF with the 9 kV charged voltage. The measurements were performed by the induction method using coaxial pickup coils. Refer to Reference [21] for further details.
3. Results and Discussion
3.1. Microstructure Observation
Figure 1 shows typical SEM micrographs of Co64V15(Si21−xAlx) (xAl for short), captured by backscattered electrons (BSE), of the solution-heat-treated samples at room temperature. Figure 1a presents the microstructure of the martensite phase of the 0Al alloy with the residual parent phase. According to Jiang et al. [13], transmission electron microscope (TEM) observations of the Co63.5V17Si19.5 alloy revealed a martensitic microstructure with a residual parent phase. Therefore, this result is consistent with that in the aformentioned paper. However, for 5Al and 12Al, as shown in Figure 1b,c, respectively, an almost full martensite single-phase microstructure was obtained. For the 13Al to 16Al alloys, the microstructure changed to a parent single-phase, as shown in Figure 1d. As shown in Figure 1e, among the prepared alloys, only the 21Al alloy shows a two-phase microstructure consisting of the matrix parent and a small amount of Co-rich precipitates (Co77.2V15.4Al7.4). Each phase was identified by EPMA analysis and XRD measurements in Section 3.2.
Figure 1.
Micrographs taken by BSE of the (a) 0Al, (b) 5Al, (c) 12Al, (d) 13Al, and (e) 21Al alloys at room temperature. For (a) 0Al, parent and partial martensite phases were observed; (b) 5Al and (c) 12 Al exhibit a single martensite phase; and (d) 13Al has a single parent phase, whereas (e) 21Al contains Co-rich precipitates.
The compositions of the prepared alloys are summarized in Table 1. The Co and V concentrations in the alloys were found to be almost constant, and it is reasonable to plot the transformation temperatures within a pseudo-binary magnetic phase diagram.
Table 1.
The chemical compositions of Co64V15(Si21−xAlx) (xAl for short) alloys analyzed by an EPMA, where “P” and “M” mean parent phase and martensite phase, respectively.
3.2. Crystal Structures
Figure 2a depicts the powder XRD patterns at room temperature. For 0Al and 13Al to 21Al alloys, the B2 or L21 structure peaks, which indicate the parent phase [10], were observed. The L10 or D022 structure peaks, which indicate the martensite phase, were detected for 0Al to 13Al, as shown in Figure 2a. For the 21Al alloy, the peaks of the Co-rich precipitates were also found, as shown in Figure 2a. These peaks are consistent with the SEM observations. For the alloys with a small Al concentration, TEM observations confirmed that the martensite phase had a D022 structure [19]. For the alloys with a large Al concentration, the 111 and 200 superlattice reflection peaks for the L21 structure were observed for the 13Al to 15Al alloys, as shown in Figure 2a. Furthermore, Figure 2b depicts an additional XRD scan focusing on the area between 40° and 60° for the 12Al alloy whose martensitic transformation temperatures are near room temperature (TMs = 330 K in Section 3.3). No peak indicating a long-period stacking-ordered structure of martensite was detected. Consequently, the crystal structure change in the martensitic transformation was identified as the L21/D022 type for the Co64V15Si21−xAlx system, which is the same as that for other Co-based Heusler alloys, such as Co-Cr-Ga-Si, Co-Cr-Al-Si, and Co-V-Ga [10,11,12].
Figure 2.
(a) Powder XRD patterns at room temperature for the Co64V15Si21−xAlx system, and the calculated patterns for Co64V15Si9Al12 (D022) and Co64V15Si8Al13 (L21). (b) A detailed scan for the region near the main peaks of the 12Al alloy. (c) Bulk XRD patterns at room temperature for the 0Al, 5Al, and 9Al alloys. For the 5Al alloy, unknown peaks are marked with asterisks (*). (d) Composition dependence of the lattice constants for both the parent and martensite phases, together with (inset) the c/2a ratio indicating the tetragonality of the martensite. (e) The composition dependence of the molar volume for both the parent and martensite phases. Solid lines in (d,e) are guides for the eye.
In Figure 2a, some peaks originating from the residual parent phase or Co-rich precipitates appear for the 5Al to 12Al powder samples, which are not in agreement with the microstructural observation shown in Figure 1. This may originate from the fact that after the strain-relief heat treatments, the quartz tubes filled with powders were not broken when quenched in ice water, the cooling speed of which is slower than that of the bulk samples. Consequently, the residual parent phase, as well as the Co-rich precipitates partially appeared after the strain-relief heat treatments. A similar phenomenon has been reported for Co-Cr-Ga-Si [10] and Co-Cr-Al-Si alloys [11]. XRD measurements of bulk samples were also conducted for the 0Al, 5Al, and 9Al alloys, of which the 5Al and 9Al alloys were measured to compare with the powder XRD, and the results are shown in Figure 2c. Some peaks were missing, and the peak intensities were different from the calculated patterns, due to a small number of grains and/or the preferred textures in the bulk samples. However, the peaks of the D022 structure were found. For the 5Al and 9Al, the lattice constants are in good agreement with those determined by the powder and bulk XRD measurements.
The lattice constants at room temperature are listed in Table 2. Figure 2d shows the composition dependence of the lattice constants for both the parent and martensite phases. The lattice constants of the 0Al alloy were plotted from the bulk XRD patterns and the others were plotted from the powder XRD patterns. The c/2a ratio, which indicates the tetragonality of the martensite, is also shown in the inset of Figure 2d. The lattice constant of the L21 phase increases with an increasing Al content, which may be attributed to the difference in the Si and Al atomic radii. The c/2a ratio decreases when increasing the Al content. The composition dependence of the molar volume, which was calculated from the lattice constants determined at room temperature for each alloy, is shown in Figure 2e. The value of the volume change between the parent and martensite phases was estimated to be up to 0.68% for the 12Al alloy (indicated by ΔV). For 0Al, the molar volume of the martensite phase was larger than that of the parent phase, which is a similar result to that of the Co63.5V17Si19.5 alloy [13]. Note that these lattice parameters were determined only at room temperature; therefore, Figure 2e does not necessarily mean the volume change during the martensitic transformation, especially when the transformation temperature is high, such as in the case of the 0Al alloy.
Table 2.
Lattice constants determined for the parent and martensite phases at room temperature. A hyphen indicates that the phases do not exist, or that the lattice constants could not be determined. Unmeasured data are left blank.
3.3. Determination of Martensitic and Magnetic Transformation Temperatures
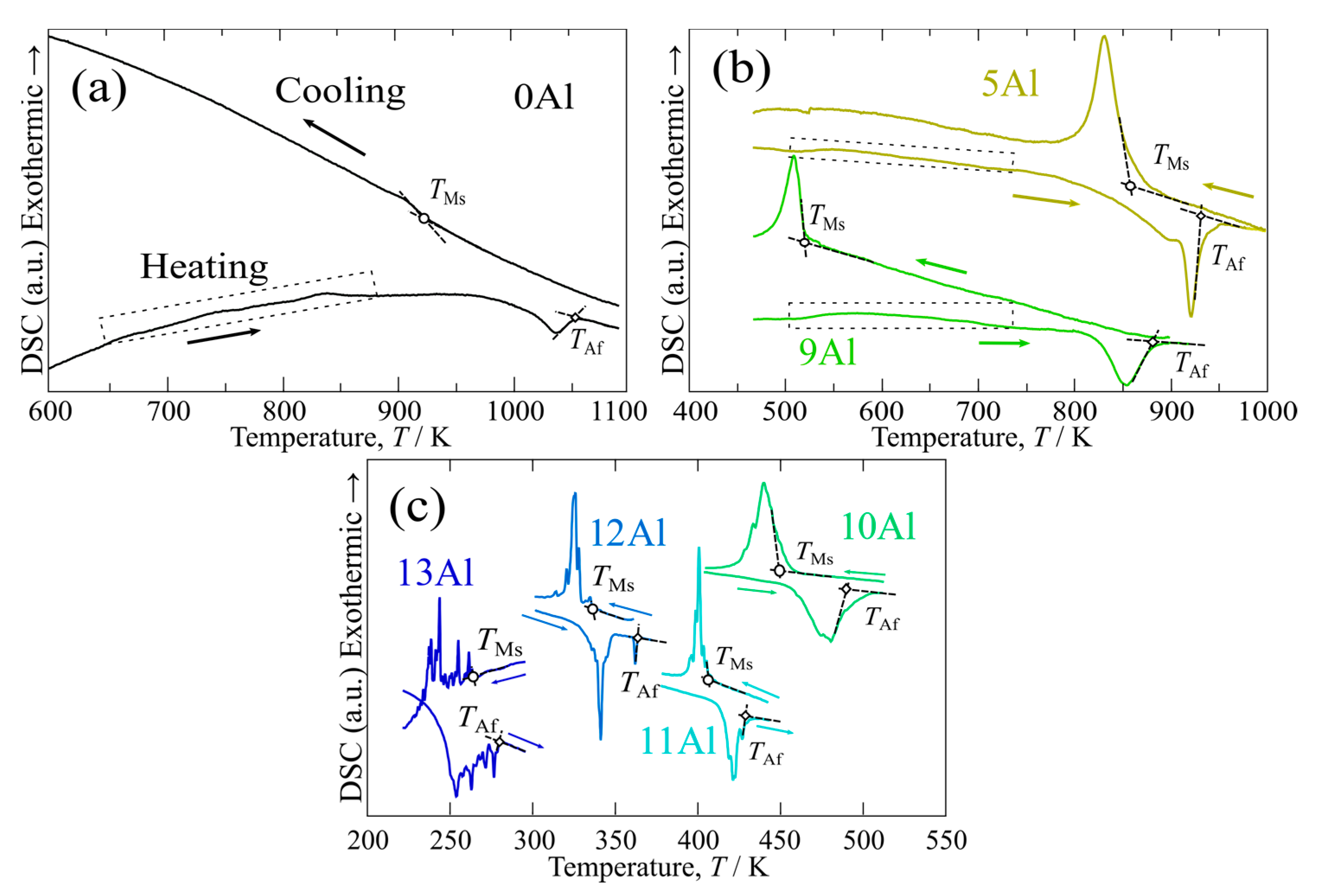
Figure 3 shows the thermoanalysis results of the (a) 0Al, (b) 5Al and 9Al, and (c) 10Al to 13Al alloys in the Co64V15Si21−xAlx system, where the peaks in the heating and cooling processes correspond to the martensitic transformation. Here, the forward martensitic transformation starting temperature (TMs) and the reverse martensitic transformation finishing temperature (TAf) were evaluated using the extrapolation method, as shown in Figure 3. Table 3 summarizes the determined temperatures, where the thermal hysteresis of the martensitic transformation is defined as TAf − TMs. The transformation temperatures decrease with an increasing Al content, and the TMs becomes lower than room temperature at 13Al, which is consistent with the electron microscopy observation shown in Figure 1. One may notice that the thermal hysteresis for the 10Al to 13Al alloys is less than 25 K (Figure 3c), which is a typical feature of the thermoelastic martensitic transformation. In contrast, for the 0Al to 9Al alloys, the hysteresis is large, as shown in Figure 3a,b. As indicated by the dashed frames, some exothermic peaks at approximately 500 to 900 K, which may result from some diffusional transformation in the as-quenched specimen, were confirmed in the heating process. Thus, the martensite aging effect [22] is considered as a possible cause for the large hysteresis. As shown in Figure 3c, some alloys such as 13Al were found to show multiple peaks in the DSC curves, and similar phenomena have been reported in Ni-Mn-Al [23], Ni-Mn-In [24], and Ni-Co-Mn-Ga [25] alloys. This is a phenomenon well-known for alloys showing low martensitic transformation temperatures where the transformation entropy is small and the transformation interval (TMs − TMf) is large. However, we still cannot rule out the possibility of an intermartensitic transformation as in Ni-Mn-Ga alloy [26]. Thus, a follow-up study may be required to clarify this problem.
Figure 3.
Thermoanalysis by DSC for the (a) 0Al, (b) 5Al and 9Al, and (c) 10Al to 13Al alloys.
Table 3.
Summary of magnetic and martensitic transformation temperatures determined by DSC, VSM, ACMS, and SQUID. TCP is the Curie temperature of the parent phase and TCM is that of martensite phase. TMs and TAf are the martensitic transformation starting temperature and the reverse martensitic transformation finishing temperature, respectively. The thermal hysteresis of the martensitic transformation is defined as TAf − TMs. A hyphen indicates that the transformation does not occur or cannot be determined. Unmeasured data are left blank.
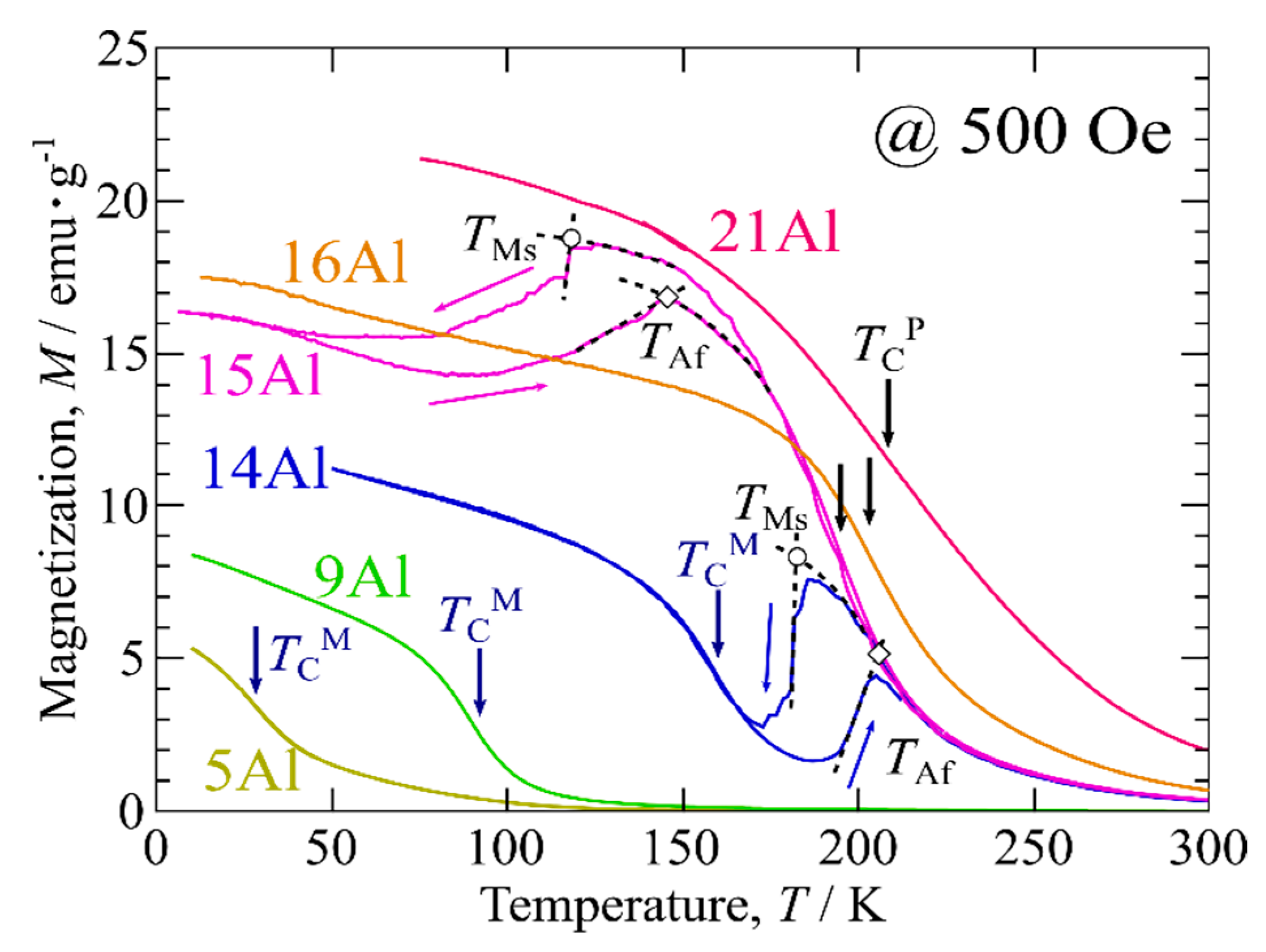
Figure 4 shows the thermomagnetization curves of the xAl alloys under a magnetic field of 500 Oe. For the 14Al and 15Al alloys, the thermal hysteresis associated with the martensitic transformation was confirmed, where TMs and TAf were determined by extrapolation. For the 15Al to 21Al alloys, the Curie temperature of the parent phase (TCP) was observed to slightly increase with an increasing Al composition. Moreover, the Curie temperature of the martensite phase (TCM) was observed to be below the TMs for the 5Al, 9Al, and 14Al alloys, which was also observed in the Ni-Mn-X (X = In, Sn, Sb [7], and Ga [27]) Heusler alloys, and the Co2NbSn Heusler alloy [9]. The Curie temperature of the martensite phase increases with increasing the Al content. Table 3 summarizes the transformation temperatures for the thermomagnetization measurements.
Figure 4.
Thermomagnetization curves for the Co64V15Si21−xAlx (xAl) alloys under a magnetic field of 500 Oe. The martensitic transformation temperatures (TMs, TAf) were determined for the 14Al and 15Al alloys. Additionally, the Curie temperatures of the martensite (TCM) and parent (TCP) phases were observed for the 5Al to 14Al and 15Al to 21Al alloys, respectively.
The data listed in Table 3 are plotted as a pseudo-binary magnetic phase diagram in Figure 5 and the Co64V15Si17Al4 data reported by Zhang et al. [19] are also shown for comparison. The TMs and TAf decrease with increasing Al from over 900 K (627 °C) to below room temperature. The magnetic phase diagram determined for the Co64V15Si21−xAlx pseudo-binary system is similar to that for the CoxV(100−x)/2Ga(100−x)/2 [12] and Ni50Mn50−xGax [27] systems because the martensitic transformation temperature can be extensively changed.
Figure 5.
Pseudo-binary magnetic phase diagram of the Co64V15Si21−xAlx system, where “Para” and “Ferro” mean paramagnetic and ferromagnetic, respectively. The martensitic transformation temperatures reported by Zhang et al. [19] are plotted by open circle and open rhombus and the solid lines are guides for the eye.
3.4. Magnetic Properties
Figure 6a depicts the magnetization curves at 6 K for the 5Al to 21Al alloys. At 6 K, the alloys from 5Al to 15Al were in the martensite phase, whereas the 16Al and 21Al alloys in the parent phase, as shown in the magnetic phase diagram in Figure 5. The values of spontaneous magnetization were determined using the Arrott plot method [28] and they are summarized in Table 4 and plotted against the Al composition in Figure 6b. When the Al composition increases, both the spontaneous magnetization and Curie temperature increase linearly, as shown in Figure 6b. Furthermore, as indicated by ΔM and ΔTC, discontinuous jumps in both the spontaneous magnetization and the Curie temperature can be seen around the 15Al alloy, which reflects the difference in magnetization of the parent and martensite phases. The difference in the magnetization is more pronounced than that of the Ni50Mn50−xGax alloys [27]; however, it is less obvious than that of the Ni50Mn50−xInx alloys [29].
Figure 6.
(a) Magnetization curves at 6 K for the 5Al to 21Al alloys. At 6 K, the alloys from 5Al to 15Al are in the martensite phase (plotted by filled circles), whereas the 16Al and 21Al alloys are in the parent phase (plotted by the open squares). (b) The spontaneous magnetization evaluated from the magnetization curves in (a) (filled marks). The Curie temperatures of the parent (TCP) and martensite (TCM) phases are also plotted (open marks). Solid lines are guides for the eye.
Table 4.
Spontaneous magnetization at 6 K.
3.5. Magnetic-Field-Induced Reverse Martensitic Transformation
For the 14Al alloy, a change in magnetization due to the martensitic transformation was observed during the thermomagnetization measurement, as shown in Figure 4. Thus, one can expect a magnetic-field-induced reverse martensitic transformation. Here, magnetization measurements, using pulsed high magnetic fields up to approximately 550 kOe, were performed. Figure 7a depicts the results. A magnetic-field-induced reverse martensitic transformation was observed at all measured temperatures. Except for 140 K, almost the full parent phase was induced before the magnetic field reached 550 kOe; when the magnetic field decreased, the parent phase transformed back to the martensite phase.
Figure 7.
(a,b) Magnetization curves of the Co64V15Si7Al14 (14Al) alloy under pulsed magnetic fields up to approximately 550 kOe. A magnetic-field-induced reverse martensitic transformation was observed. The forward martensitic transformation starting magnetic field (HMs) and the reverse martensitic transformation finishing magnetic field (HAf) were defined by the extrapolation method, as shown in (b,c) HMs, HAf, and H0 = (HMs + HAf)/2 are plotted against the measurement temperature. The solid lines are the least-square fits. The critical magnetic fields of the Co-Cr-Ga-Si [15] and Ni-Co-Mn-In [30] alloys are also shown by dashed lines. (d) Entropy changes, ΔS, were estimated using the Clausius-Clapeyron equation for the 14Al alloy and by thermoanalysis for the 10Al to 13Al alloys, together with that of the Ti-Ni, Cu-Al-Mn [31], Fe-Mn-Al-Cr-Ni [32], and Co-Cr-Ga-Si alloys [15] shown by dashed lines.
The critical magnetic fields, the forward martensitic transformation starting magnetic field HMs, and the reverse martensitic transformation finishing magnetic field HAf, were determined by the extrapolation method, as depicted in Figure 7b. The HMs and HAf are plotted against the measurement temperature in Figure 7c, where H0 = (HMs + HAf)/2 was assumed to be the thermodynamic equilibrium magnetic field. For comparison, the results of the Co-Cr-Ga-Si and Ni-Co-Mn-In alloys are also plotted [15,30]. It was confirmed that the critical magnetic fields decreased almost linearly with an increasing measurement temperature. The linear fits in Figure 7c were used to estimate the temperature dependence of the equilibrium magnetic field dH0/dT, and the entropy change ΔS could be calculated using the Clausius–Clapeyron equation:
where ΔS and ΔM are the entropy change and the magnetization difference during the martensitic transformation, respectively. The magnetization difference, ΔM, was assumed as 12.8 emu∙g−1 for simplicity, as shown in Figure 7a,b. Therefore, the entropy change, ΔS, was calculated and plotted in Figure 7d. Additionally, the entropy change was also evaluated from the DSC measurements in Figure 3c as:
where ΔH is the latent heat and Tp is the peak temperature in the reverse martensitic transformation. Figure 7d shows that the estimated entropy changes, −ΔS, from the magnetization and DSC measurements, shows a same temperature dependence. For comparison, the −ΔS of Ti-Ni, Cu-Al-Mn, Fe-Mn-Al-Cr-Ni, and Co-Cr-Ga-Si alloys [15,31,32] are also plotted in Figure 7d. The −ΔS of the current Co-V-Si-Al alloys is significantly smaller than those of the Ti-Ni and Cu-Al-Mn alloys in the temperature range of 160 to 500 K. Using the small transformation entropy at a wide temperature range, superelasticity, like in the Fe-Mn-Al-Ni-based [32,33] alloys which show a small temperature dependence of critical stress and operate in a wide temperature range, may be realized with the Co-V-Si-Al alloys.
4. Conclusions
In this work, the crystal structures, martensitic transformation behavior, magnetic properties, and metamagnetic transition were investigated for Co64V15(Si21−xAlx) alloys. The XRD measurement results revealed that the crystal structures of the martensite and the parent phases are D022 and L21, respectively, which are the same as those of the other Co-based Heusler alloys showing martensitic transformations.
A pseudo-binary magnetic phase diagram of the Co64V15Si21−xAlx system was determined. The martensitic transformation temperature decreases with increasing Al compositions from over 900 K to below room temperature. Both the Curie temperature of the parent and martensite phases were observed. The composition dependences of the spontaneous magnetization and the Curie temperature were investigated, and discontinuous jumps in both the spontaneous magnetization and the Curie temperature were observed, which reflects the difference in magnetization of the parent and martensite phases.
The magnetic-field-induced reverse martensitic transformation of the Co64V15Si7Al14 alloy was observed by magnetization measurements by using pulsed high magnetic fields up to 550 kOe. Moreover, the temperature dependence of the transformation entropy changes of the Co-V-Si-Al alloys was estimated from the results of the DSC and the pulsed magnetization measurements. Compared to the Ti-Ni and Cu-Al-Mn shape memory alloys, the transformation entropy of the Co-V-Si-Al alloys is significantly smaller in the temperature range of 160 and 500 K.
Author Contributions
Conceptualization, X.X., T.O., and R.K.; investigation, K.N. and A.M.; resources, R.K. and M.T.; writing—original draft preparation, K.N.; writing—review and editing, A.M., X.X., T.O., M.T., and R.K. All authors have read and agreed to the published version of the manuscript.
Funding
This study was partially supported by Grants-in-Aid (No. 19H02412 and No. 15H05766) from the Japan Society for the Promotion of Science (JSPS).
Data Availability Statement
The data presented in this study are available on request from the corresponding author.
Acknowledgments
A part of the experiments were performed at the Center for Low Temperature Science, Institute for Materials Research, Tohoku University.
Conflicts of Interest
The authors declare no conflict of interest.
References
- Buehler, W.J.; Gilfrich, J.V.; Wiley, R.C. Effect of low-temperature phase changes on the mechanical properties of alloys near composition TiNi. J. Appl. Phys. 1963, 34, 1475–1477. [Google Scholar] [CrossRef]
- Kainuma, R.; Takahashi, S.; Ishida, K. Thermoelastic martensite and shape memory effect in ductile Cu-Al-Mn alloys. Metall. Mater. Trans. A Phys. Metall. Mater. Sci. 1996, 27, 2187–2195. [Google Scholar] [CrossRef]
- Omori, T.; Ando, K.; Okano, M.; Xu, X.; Tanaka, Y.; Ohnuma, I.; Kainuma, R.; Ishida, K. Superelastic Effect in Polycrystalline Ferrous Alloys. Science 2011, 333, 68–71. [Google Scholar] [CrossRef] [PubMed]
- Ogawa, Y.; Ando, D.; Sutou, Y.; Koike, J. A lightweight shape-memory magnesium alloy. Science 2016, 353, 368–370. [Google Scholar] [CrossRef]
- Ullakko, K.; Huang, J.K.; Kantner, C.; O’Handley, R.C.; Kokorin, V.V. Large magnetic-field-induced strains in Ni2MnGa single crystals. Appl. Phys. Lett. 1996, 69, 1966–1968. [Google Scholar] [CrossRef]
- Kainuma, R.; Imano, Y.; Ito, W.; Sutou, Y.; Morito, H.; Okamoto, S.; Kitakami, O.; Oikawa, K.; Fujita, A.; Kanomata, T.; et al. Magnetic-field-induced shape recovery by reverse phase transformation. Nature 2006, 439, 957–960. [Google Scholar] [CrossRef]
- Sutou, Y.; Imano, Y.; Koeda, N.; Omori, T.; Kainuma, R.; Ishida, K.; Oikawa, K. Magnetic and martensitic transformations of NiMnX(X=In, Sn, Sb) ferromagnetic shape memory alloys. Appl. Phys. Lett. 2004, 85, 4358–4360. [Google Scholar] [CrossRef]
- Galanakis, I.; Dederichs, P.H.; Papanikolaou, N. Slater-Pauling behavior and origin of the half-metallicity of the full-Heusler alloys. Phys. Rev. B 2002, 66, 174429. [Google Scholar] [CrossRef]
- Terada, M.; Fujita, Y.; Endo, K. Magnetic properties of the Heusler alloys M2XSn (M=Co or Ni, X=Zr, Nb or Hf). J. Phys. Soc. Jpn. 1974, 36, 620. [Google Scholar] [CrossRef]
- Xu, X.; Omori, T.; Nagasako, M.; Okubo, A.; Umetsu, R.Y.; Kanomata, T.; Ishida, K.; Kainuma, R. Cooling-induced shape memory effect and inverse temperature dependence of superelastic stress in Co2Cr(Ga,Si) ferromagnetic Heusler alloys. Appl. Phys. Lett. 2013, 103, 164104. [Google Scholar] [CrossRef]
- Hirata, K.; Xu, X.; Omori, T.; Nagasako, M.; Kainuma, R. Martensitic transformation and superelasticity in off-stoichiometric Co2Cr(AlSi) Heusler alloys. J. Alloys Compd. 2015, 642, 200–203. [Google Scholar] [CrossRef]
- Xu, X.; Nagashima, A.; Nagasako, M.; Omori, T.; Kanomata, T.; Kainuma, R. Martensitic transformation and phase diagram in ternary Co-V-Ga Heusler alloys. Appl. Phys. Lett. 2017, 110, 121906. [Google Scholar] [CrossRef]
- Jiang, H.; Xu, X.; Omori, T.; Nagasako, M.; Ruan, J.; Yang, S.; Wang, C.; Liu, X.; Kainuma, R. Martensitic transformation and shape memory effect at high temperatures in off-stoichiometric Co2VSi Heusler alloys. Mater. Sci. Eng. A 2016, 676, 191–196. [Google Scholar] [CrossRef]
- Jiang, H.; Yang, S.; Wang, C.; Zhang, Y.; Xu, X.; Chen, Y.; Omori, T.; Kainuma, R.; Liu, X. Martensitic transformation and shape memory effects in Co-V-Al alloys at high temperatures. J. Alloys Compd. 2019, 786, 648–654. [Google Scholar] [CrossRef]
- Xu, X.; Kihara, T.; Miyake, A.; Tokunaga, M.; Kanomata, T.; Kainuma, R. Magnetic-field-induced transition for reentrant martensitic transformation in Co-Cr-Ga-Si shape memory alloys. J. Magn. Magn. Mater. 2018, 466, 273–276. [Google Scholar] [CrossRef]
- Odaira, T.; Xu, X.; Miyake, A.; Omori, T.; Tokunaga, M.; Kainuma, R. Thermal, magnetic field- and stress-induced transformation in Heusler-type Co-Cr-Al-Si shape memory alloys. Scripta Mater. 2018, 153, 35–39. [Google Scholar] [CrossRef]
- Liu, C.; Li, Z.; Zhang, Y.; Huang, Y.; Ye, M.; Sun, X.; Zhang, G.; Cao, Y.; Xu, K.; Jing, C. Realization of metamagnetic martensitic transformation with multifunctional properties in Co50V34Ga16 Heusler alloy. Appl. Phys. Lett. 2018, 112, 211903. [Google Scholar] [CrossRef]
- Jiang, H.; Wang, C.; Xu, W.; Xu, X.; Yang, S.; Kainuma, R.; Liu, X. Alloying effects of Ga on the Co-V-Si high-temperature shape memory alloys. Mater. Des. 2017, 116, 300–308. [Google Scholar] [CrossRef]
- Zhang, Y.; Jiang, H.; Liu, X.; Huang, L.; Yang, S.; Wang, C. Thermal cycle stability of Co64V15Si17Al4 high-temperature shape memory alloy. Mater. Lett. 2020, 260, 126930. [Google Scholar] [CrossRef]
- Odaira, T.; Xu, S.; Xu, X.; Omori, T.; Kainuma, R. Elastocaloric switching effect induced by reentrant martensitic transformation. Appl. Phys. Rev. 2020, 7, 031406. [Google Scholar] [CrossRef]
- Kindo, K. 100T magnet developed in Osaka. Phys. B Condens. Matter 2001, 294–295, 585–590. [Google Scholar] [CrossRef]
- Otsuka, K.; Ren, X. Mechanism of martensite aging effect. Scripta Mater. 2004, 50, 207–212. [Google Scholar] [CrossRef]
- Kainuma, R.; Ishida, K.; Nakano, H. Martensitic transformations in NiMnAl β phase alloys. Metall. Mater. Trans. A 1996, 27, 4153–4162. [Google Scholar] [CrossRef]
- Krenke, T.; Duman, E.; Acet, M.; Wassermann, E.F.; Moya, X.; Mañosa, L.; Planes, A.; Suard, E.; Ouladdiaf, B. Magnetic superelasticity and inverse magnetocaloric effect in Ni-Mn-In. Phys. Rev. B 2007, 75, 104414. [Google Scholar] [CrossRef]
- Xu, X.; Ito, W.; Umetsu, R.Y.; Koyama, K.; Kainuma, R.; Ishida, K. Kinetic arrest of martensitic transformation in Ni33.0Co13.4Mn39.7Ga13.9 metamagnetic shape memory alloy. Mater. Trans. 2010, 51, 469–471. [Google Scholar] [CrossRef]
- Sozinov, A.; Likhachev, A.A.; Lanska, N.; Ullakko, K. Giant magnetic-field-induced strain in NiMnGa seven-layered martensitic phase. Appl. Phys. Lett. 2002, 80, 1746–1748. [Google Scholar] [CrossRef]
- Xu, X.; Nagasako, M.; Ito, W.; Umetsu, R.Y.; Kanomata, T.; Kainuma, R. Magnetic properties and phase diagram of Ni50Mn 50-xGax ferromagnetic shape memory alloys. Acta Mater. 2013, 61, 6712–6723. [Google Scholar] [CrossRef]
- Arrott, A. Criterion for ferromagnetism from observations of magnetic isotherms. Phys. Rev. 1957, 108, 1394–1396. [Google Scholar] [CrossRef]
- Kanomata, T.; Yasuda, T.; Sasaki, S.; Nishihara, H.; Kainuma, R.; Ito, W.; Oikawa, K.; Ishida, K.; Neumann, K.U.; Ziebeck, K.R.A. Magnetic properties on shape memory alloys Ni2Mn1+xIn1-x. J. Magn. Magn. Mater. 2009, 321, 773–776. [Google Scholar] [CrossRef]
- Ito, W.; Ito, K.; Umetsu, R.Y.; Kainuma, R.; Koyama, K.; Watanabe, K.; Fujita, A.; Oikawa, K.; Ishida, K.; Kanomata, T. Kinetic arrest of martensitic transformation in the NiCoMnIn metamagnetic shape memory alloy. Appl. Phys. Lett. 2008, 92, 021908. [Google Scholar] [CrossRef]
- Niitsu, K.; Kimura, Y.; Omori, T.; Kainuma, R. Cryogenic superelasticity with large elastocaloric effect. NPG Asia Mater. 2018, 10, e457. [Google Scholar] [CrossRef]
- Xia, J.; Noguchi, Y.; Xu, X.; Odaira, T.; Kimura, Y.; Nagasako, M.; Omori, T.; Kainuma, R. Iron-based superelastic alloys with near-constant critical stress temperature dependence. Science 2020, 369, 855–858. [Google Scholar] [CrossRef] [PubMed]
- Xia, J.; Xu, X.; Miyake, A.; Kimura, Y.; Omori, T.; Tokunaga, M.; Kainuma, R. Stress- and magnetic field-induced martensitic transformation at cryogenic temperatures in Fe–Mn–Al–Ni shape memory alloys. Shape Mem. Superelasticity 2017, 3, 467–475. [Google Scholar] [CrossRef]
Publisher’s Note: MDPI stays neutral with regard to jurisdictional claims in published maps and institutional affiliations. |
© 2021 by the authors. Licensee MDPI, Basel, Switzerland. This article is an open access article distributed under the terms and conditions of the Creative Commons Attribution (CC BY) license (http://creativecommons.org/licenses/by/4.0/).






