Previous Issue
Volume 5, December
 
 

DNA, Volume 6, Issue 1 (March 2026) – 8 articles

  • Issues are regarded as officially published after their release is announced to the table of contents alert mailing list.
  • You may sign up for e-mail alerts to receive table of contents of newly released issues.
  • PDF is the official format for papers published in both, html and pdf forms. To view the papers in pdf format, click on the "PDF Full-text" link, and use the free Adobe Reader to open them.
Order results
Result details
Select all
Export citation of selected articles as:
13 pages, 1311 KB  
Article
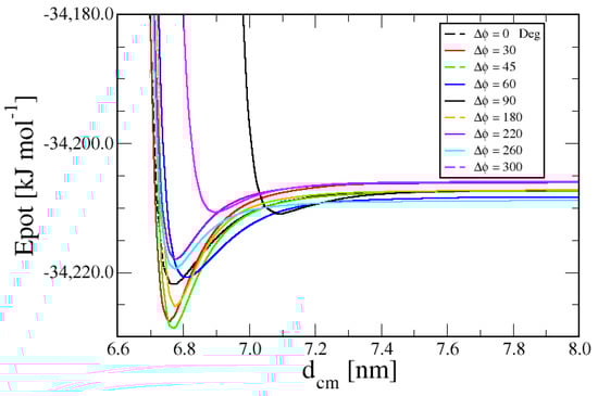
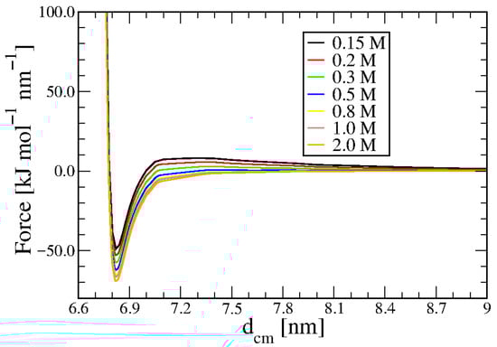
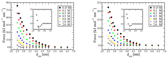
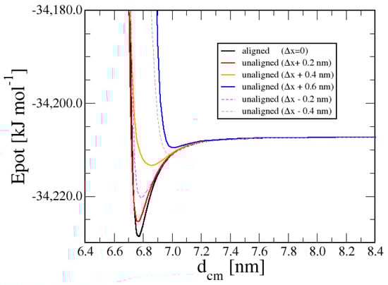
Using the SIRAH Force-Field to Model Interactions Between Short DNA Duplexes
by Romina Ruberto, Enrico Smargiassi and Giorgio Pastore
DNA 2026, 6(1), 8; https://doi.org/10.3390/dna6010008 - 2 Feb 2026
Abstract
Background/Objectives: In recent years, short DNA duplexes have been studied as promising self-assembling systems and versatile building blocks for DNA-based nanotechnologies. Numerical simulations of colloidal systems incorporating such components require, as an input ingredient, reliable yet simplified force-fields capable of capturing the essential [...] Read more.
Background/Objectives: In recent years, short DNA duplexes have been studied as promising self-assembling systems and versatile building blocks for DNA-based nanotechnologies. Numerical simulations of colloidal systems incorporating such components require, as an input ingredient, reliable yet simplified force-fields capable of capturing the essential features of duplex-duplex interactions. Methods: We employed the coarse-grained SIRAH force field under an implicit solvent approximation to investigate the interactions between a pair of short, rigid double-stranded DNA (dsDNA) duplexes. We investigated the effect of duplex size by employing duplexes of 8 and 20 base pairs. Results: Using this realistic coarse-grained model, we obtained detailed insights into how the interaction force depends on the relative positions and orientations of the duplexes, as well as on salt concentration. Conclusions: Our findings provide a foundational step toward the systematic development of simplified, yet qualitatively accurate model potentials for DNA-based colloidal systems. Beyond nanotechnology, the short-range interaction features captured here are also relevant to biological contexts, including chromatin compaction, homologous recombination, and DNA repair. Full article
Show Figures

Graphical abstract

18 pages, 1131 KB  
Review
Mitochondrial DNA Alterations in HPV-Related Cancers: Emerging Insights and Future Directions
by Muharrem Okan Cakir, Melis Selek, Guldide Kayhan, Betul Yilmaz, Mustafa Ozdogan and Gholam Hossein Ashrafi
DNA 2026, 6(1), 7; https://doi.org/10.3390/dna6010007 - 2 Feb 2026
Viewed by 34
Abstract
Human papillomavirus (HPV) infection is a leading cause of cervical cancer and a significant contributor to anogenital and oropharyngeal malignancies worldwide. While the oncogenic functions of HPV oncoproteins E6 and E7 in disrupting nuclear tumor suppressor pathways are well established, their influence on [...] Read more.
Human papillomavirus (HPV) infection is a leading cause of cervical cancer and a significant contributor to anogenital and oropharyngeal malignancies worldwide. While the oncogenic functions of HPV oncoproteins E6 and E7 in disrupting nuclear tumor suppressor pathways are well established, their influence on mitochondrial biology has only recently emerged as a critical facet of HPV-driven carcinogenesis. This review synthesizes current evidence on the qualitative and quantitative alterations of mitochondrial DNA (mtDNA) and their functional consequences in HPV-associated cancers. We discuss how E6 and E7 modulate mitochondrial dynamics, bioenergetics, and redox balance, contributing to metabolic reprogramming, resistance to apoptosis, and adaptation to tumor microenvironmental stress. We also examine the clinical significance of mtDNA mutations, deletions, and copy number variations as potential biomarkers for diagnosis, prognosis, and therapy response. Advances in multi-omics approaches, high-throughput sequencing, and patient-derived organoid models have accelerated the exploration of mitochondria as therapeutic targets. Integrating mitochondrial profiling into HPV-related cancer research holds promise for identifying novel metabolic vulnerabilities and guiding the development of mitochondria-directed treatment strategies. Full article
Show Figures

Graphical abstract

44 pages, 874 KB  
Review
Advancing Liver Cancer Treatment Through Dynamic Genomics and Systems Biology: A Path Toward Personalized Oncology
by Giovanni Colonna
DNA 2026, 6(1), 6; https://doi.org/10.3390/dna6010006 - 21 Jan 2026
Viewed by 178
Abstract
This review aims to provide a broad, multidisciplinary perspective on how dynamic genomics and systems biology are transforming modern healthcare, with a focus on cancer especially liver cancer (HCC). It explains how integrating multi-omics technologies such as genomics, transcriptomics, proteomics, interactomics, metabolomics, and [...] Read more.
This review aims to provide a broad, multidisciplinary perspective on how dynamic genomics and systems biology are transforming modern healthcare, with a focus on cancer especially liver cancer (HCC). It explains how integrating multi-omics technologies such as genomics, transcriptomics, proteomics, interactomics, metabolomics, and spatial transcriptomics deepens our understanding of the complex tumor environment. These innovations enable precise patient stratification based on molecular, spatial, and functional tumor characteristics, allowing for personalized treatment plans. Emphasizing the role of regulatory networks and cell-specific pathways, the review shows how mapping these networks using multi-omics data can predict resistance, identify therapeutic targets, and aid in the development of targeted therapies. The approach shifts from standard, uniform treatments to flexible, real-time strategies guided by technologies such as liquid biopsies and wearable biosensors. A case study showcases the benefits of personalized therapy, which integrates epigenetic modifications, checkpoint inhibitors, and ongoing multi-omics monitoring in a patient with HCC. Future innovations, such as cloud-based genomic ecosystems, federated learning for privacy, and AI-driven data analysis, are also discussed to enhance decision-making and outcomes. The review underscores a move toward predictive and preventive healthcare by integrating layered data into clinical workflows. It reviews ongoing clinical trials using advanced molecular and immunological techniques for HCC. Overall, it promotes a systemic, technological, and spatial approach to cancer treatment, emphasizing the importance of experimental, biochemical–functional, and biophysical data-driven insights in personalizing medicine. Full article
Show Figures

Figure 1

14 pages, 426 KB  
Review
Genetic Basis of Familial Cancer Risk: A Narrative Review
by Eman Fares Sabik
DNA 2026, 6(1), 5; https://doi.org/10.3390/dna6010005 - 13 Jan 2026
Viewed by 301
Abstract
Familial cancers are caused by inherited mutations in specific genes that regulate cell growth, division, and repair. Approximately 5–10% of all cancer cases have a hereditary component, where germline mutations in certain genes increase an individual’s susceptibility to developing cancer. Two major categories [...] Read more.
Familial cancers are caused by inherited mutations in specific genes that regulate cell growth, division, and repair. Approximately 5–10% of all cancer cases have a hereditary component, where germline mutations in certain genes increase an individual’s susceptibility to developing cancer. Two major categories of genes are involved in cancer development: tumour suppressor genes and oncogenes. Both play critical roles in regulating normal cell behaviour, and when mutated, they can contribute to uncontrolled cell proliferation and tumour formation. In addition to genetic mutations, epigenetic alterations also play a significant role in familial cancer. Epigenetics refers to changes in gene expression due to DNA methylation, histone modifications, and the dysregulation of non-coding RNAs without alter the underlying DNA sequence. Familial cancer syndromes follow various inheritance patterns, including autosomal dominant, autosomal recessive, X-linked, and mitochondrial inheritance, each with distinct characteristics. Identifying genetic mutations associated with familial cancers is a cornerstone of genetic counselling, which helps individuals and families navigate the complex intersection of genetics, cancer risk, and prevention. Early identification of mutations enables personalized strategies for risk reduction, early detection, and, when applicable, targeted treatment options, ultimately improving patient outcomes. Full article
Show Figures

Figure 1

12 pages, 410 KB  
Article
The Effect of Fatty Acid-Binding Protein 3 Exposure on Endothelial Transcriptomics
by Hien C. Nguyen, Aman Singh, Christina A. Castellani, Mohammad Qadura and Krishna K. Singh
DNA 2026, 6(1), 4; https://doi.org/10.3390/dna6010004 - 8 Jan 2026
Viewed by 245
Abstract
Background: Fatty acid-binding protein 3 (FABP3) is released in circulation following myocardial infarction, and an increased level of circulatory FABP3 has also been reported in peripheral artery disease patients, exposing endothelial cells to higher levels of FABP3. Recently, loss of endothelial FABP3 was [...] Read more.
Background: Fatty acid-binding protein 3 (FABP3) is released in circulation following myocardial infarction, and an increased level of circulatory FABP3 has also been reported in peripheral artery disease patients, exposing endothelial cells to higher levels of FABP3. Recently, loss of endothelial FABP3 was shown to protect endothelial cells against inflammation-induced endothelial dysfunction; however, the effect of FABP3 exposure on endothelial cells is unknown. Accordingly, to study the effect of FABP3 exposure on endothelial cells, we performed transcriptomic profiling following recombinant human FABP3 (rhFABP3) treatment of endothelial cells. Methods: Cultured human endothelial cells were treated with either a vehicle or rhFABP3 (50 ng/mL, 6 h); then, RNA sequencing was performed. Gene expression analysis followed by gene ontology (GO) and Kyoto Encyclopedia of Genes and Genomes (KEGG) pathway analyses was performed to identify differentially expressed genes and affected cellular functions and pathways. Results: Differential gene expression analysis revealed kinesin family member 26b (KIF26B) to be the most upregulated and survival of motor neuron 2 (SMN2) to be the most downregulated genes in rhFABP3-treated compared to vehicle-treated endothelial cells. Most of the differentially expressed genes were associated with endothelial cell motility, immune response, and angiogenesis. GO and KEGG analyses indicated that rhFABP3 exposure impacts several crucial pathways, predominantly “Regulation of leukocyte mediated cytotoxicity” and “Natural killer cell mediated cytotoxicity”, suggesting its involvement in endothelial cell physiology and response mechanisms to cardiovascular stress. Conclusions: This is the first study to evaluate rhFABP3-induced transcriptomics in human endothelial cells. Our data reveal novel genes and pathways affected by the exposure of endothelial cells to FABP3. Further research is necessary to validate these findings and fully understand FABP3’s role in endothelial biology and in cardiovascular diseases like myocardial infarction and peripheral artery disease. Full article
Show Figures

Figure 1

15 pages, 3051 KB  
Article
A Preliminary Machine Learning Assessment of Oxidation-Reduction Potential and Classical Sperm Parameters as Predictors of Sperm DNA Fragmentation Index
by Emmanouil D. Oikonomou, Efthalia Moustakli, Athanasios Zikopoulos, Stefanos Dafopoulos, Ermioni Prapa, Antonis-Marios Gkountis, Athanasios Zachariou, Agni Pantou, Nikolaos Giannakeas, Konstantinos Pantos, Alexandros T. Tzallas and Konstantinos Dafopoulos
DNA 2026, 6(1), 3; https://doi.org/10.3390/dna6010003 - 8 Jan 2026
Viewed by 211
Abstract
Background/Objectives: Traditional semen analysis techniques frequently result in incorrect male infertility diagnoses, despite advancements in assisted reproductive technology (ART). Reduced fertilization potential, decreased embryo development, and lower pregnancy success rates are associated with elevated DNA Fragmentation Index (DFI), which has been proposed as [...] Read more.
Background/Objectives: Traditional semen analysis techniques frequently result in incorrect male infertility diagnoses, despite advancements in assisted reproductive technology (ART). Reduced fertilization potential, decreased embryo development, and lower pregnancy success rates are associated with elevated DNA Fragmentation Index (DFI), which has been proposed as a diagnostic indicator of sperm DNA integrity. Improving reproductive outcomes requires incorporating DFI into predictive models due to its diagnostic importance. Methods: In this study, semen samples were stratified into low and high DFI groups across two datasets: the “Reference” dataset (162 samples) containing sperm motility (A, B, and C), total sperm count, and morphology percentage, and the “ORP” dataset (37 samples) with the same features plus oxidation-reduction potential (ORP). We trained and evaluated four machine learning (ML) models—Logistic Regression, Support Vector Machines (SVM), Bernoulli Naive Bayes (BNB), and Random Forest (RF)- using three feature subsets and three preprocessing techniques (Robust Scaling, Min-Max Scaling, and Standard Scaling). Results: Feature subset selection had a significant impact on model performance, with the full feature set (X_all) yielding the best results, and the combination of Robust and MinMax scaling forming the most effective preprocessing pipeline. Conclusions: ORP proved to be a critical feature, enhancing model generalization and prediction performance. These findings suggest that data enrichment, particularly with ORP, could enable the development of ML frameworks that improve prognostic precision and patient outcomes in ART. Full article
Show Figures

Graphical abstract

18 pages, 765 KB  
Review
Dermatogenomic Insights into Systemic Diseases: Implications for Primary and Preventive Medicine
by Yu Xuan Jin, David Alexandru Anton, Ming Yuan Zhou, Amir Pourghadiri and Chaocheng Liu
DNA 2026, 6(1), 2; https://doi.org/10.3390/dna6010002 - 6 Jan 2026
Viewed by 405
Abstract
The emerging field of dermatogenomics, which examines visible dermatologic phenotypes alongside their polygenic factors, offers insights for early disease recognition and initiation of preventative measures. This review explores key dermatologic manifestations serving as clinical markers of systemic diseases, emphasizing cardiovascular, autoimmune, neuropsychiatric, metabolic/endocrine, [...] Read more.
The emerging field of dermatogenomics, which examines visible dermatologic phenotypes alongside their polygenic factors, offers insights for early disease recognition and initiation of preventative measures. This review explores key dermatologic manifestations serving as clinical markers of systemic diseases, emphasizing cardiovascular, autoimmune, neuropsychiatric, metabolic/endocrine, and cancer-related conditions. Importantly, the pathogenesis of certain skin conditions including psoriasis, atopic dermatitis, vitiligo, and hidradenitis suppurativa is linked to systemic disease through shared genetic and epigenetic mechanisms. The diagnostic markers for these integumentary diseases are discussed alongside their shared mechanisms to systemic diseases, highlighting the clinical manifestation typically seen in primary care settings. This narrative review integrates dermatology with genomics, primary care, preventative care, public health, and internal medicine perspectives, underscoring the importance of an interdisciplinary and collaborative approach to patient care. Lastly, this review advocates for standardized dermatogenomic screening thresholds, inclusivity and expansion of genomic datasets, and the leverage of artificial intelligence and multi-omic technologies in preventative healthcare. Full article
Show Figures

Figure 1

22 pages, 3316 KB  
Article
Integrating Genome Mining and Untargeted Metabolomics to Uncover the Chemical Diversity of Streptomyces galbus I339, a Strain from the Unique Brazilian Caatinga Biome
by Edson Alexandre Nascimento-Silva, André Luiz Leocádio de Souza Matos, Thalisson Amorim de Souza, Anauara Lima e Silva, Lucas Silva Abreu, Monalisa Mota Merces, Renata Priscila Almeida Silva, Ubiratan Ribeiro da Silva Filho, Adrielly Silva Albuquerque de Andrade, Josean Fechine Tavares, Celso José Bruno de Oliveira, Patrícia Emilia Naves Givisiez, Demetrius Antonio Machado de Araújo, Valnês da Silva Rodrigues-Junior and Samuel Paulo Cibulski
DNA 2026, 6(1), 1; https://doi.org/10.3390/dna6010001 - 24 Dec 2025
Viewed by 838
Abstract
Background/Objectives: The escalating antimicrobial resistance crisis underscores the urgent need to explore underexplored ecological niches as reservoirs of novel bioactive compounds. The Brazilian Caatinga, a unique semi-arid biome, represents a promising reservoir for microbial discovery. Methods: In this study, we report [...] Read more.
Background/Objectives: The escalating antimicrobial resistance crisis underscores the urgent need to explore underexplored ecological niches as reservoirs of novel bioactive compounds. The Brazilian Caatinga, a unique semi-arid biome, represents a promising reservoir for microbial discovery. Methods: In this study, we report the polyphasic characterization of Streptomyces galbus I339, a strain isolated from Caatinga soil. Whole-genome sequencing and phylogenomic analysis confirmed its taxonomic identity. In silico mining of the genome was conducted to assess biosynthetic potential. This genetic promise was experimentally validated through an integrated metabolomic approach, including liquid chromatography-tandem mass spectrometry (LC-MS/MS), nuclear magnetic resonance (NMR) spectroscopy, and gas chromatography-mass spectrometry (GC-MS) profiling. The anti-mycobacterial activity of the crude extract was evaluated against Mycobacterium tuberculosis. Results: The strain S. galbus I339 possesses a 7.55 Mbp genome with a high GC content (73.17%). Genome mining uncovered a remarkable biosynthetic potential, with 45 biosynthetic gene clusters (BGCs) predicted, including those for known antibiotics like actinomycins, as well as numerous orphan clusters. Genome mining uncovered a remarkable biosynthetic potential, with 45 biosynthetic gene clusters (BGCs) predicted, including those for known antibiotics like actinomycins, as well as numerous orphan clusters. Metabolomic analyses confirmed the production of actinomycins and identified abundant diketopiperazines. Furthermore, the crude extract exhibited antimycobacterial activity, with a potent MIC of 0.625 µg/mL. Conclusions: The convergence of genomic and metabolomic data not only validates the expression of a fraction of this strain’s biosynthetic arsenal but also highlights a significant untapped potential, with the majority of BGCs remaining silent under the tested conditions. Our work establishes S. galbus I339 as a compelling candidate for biodiscovery and underscores the value of integrating genomics and metabolomics to unlock the chemical diversity of microbes from extreme environments. Full article
Show Figures

Graphical abstract

Previous Issue
Back to TopTop