Correlating the Compositional Changes to the Rheological Properties of Recovered Asphalt Binders from Recycled Asphalt Mixtures: Insights from the Thermogravimetric Measurements
Abstract
1. Introduction
2. Materials and Methods
2.1. Materials
2.2. Methods
2.2.1. Recovery of Binders from Asphalt Mixtures
2.2.2. Short-Term Aging of Original Asphalt Binders
2.2.3. Thermogravimetric Analyzer Measurements
2.2.4. Rheological Measurements
3. Results and Discussion
3.1. Analyses of Thermal Measurements
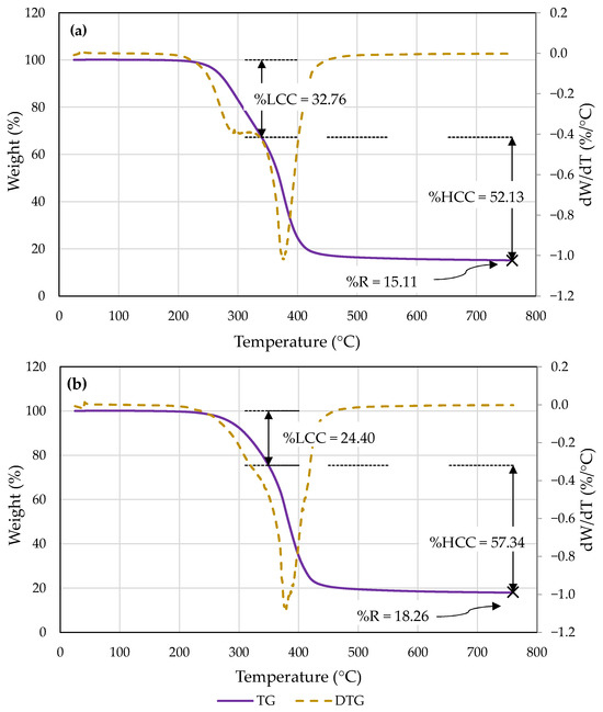
3.1.1. TG and DTG Parameters
3.1.2. TG and DTG Shapes
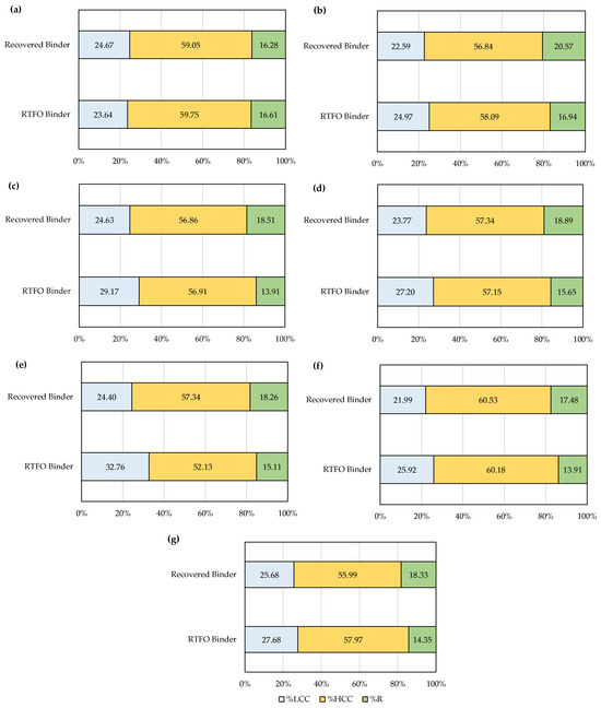
3.1.3. Thermal Compositional Changes
3.2. Analyses of Rheological Measurements
3.3. Thermal and Rheological Measurements Correlations
| Term | Estimate | Std Error | t Ratio | Prob > |t| | Confidence Interval | |
|---|---|---|---|---|---|---|
| Lower 95% | Upper 95% | |||||
| Intercept | −2639.81 | 197.12 | −13.39 | <0.05 | −3267.14 | −2012.48 |
| %R | 26.33 | 1.68 | 15.70 | <0.05 | 20.99 | 31.67 |
| %LCC | −0.09 | 0.48 | −0.18 | 0.87 | −1.63 | 1.45 |
| DTG area | 26.55 | 1.96 | 13.56 | <0.05 | 20.32 | 32.78 |
| Asphalt Mixture | Original Binder PG | %ABR Using RAP | Total AC% | Additives |
|---|---|---|---|---|
| M8 | PG 64-22V | 0.0 | 6.0 | 0.5% Evotherm 1 & 0.3% Cellulose Fibers 2 |
| M9 | PG 64-22V | 16.0 | 5.0 | |
| M10 | PG 58-28 | 31.0 | 5.1 |


4. Conclusions
- The article imposes an innovative traceable methodology for evaluating the influence of recycled materials (e.g., RAP) on asphalt binder properties by correlating thermal with rheological measurements, thereby enhancing quality control capabilities.
- An outstanding 1170.67% improvement in the G*/sinδ parameter of the recovered binder over the RTFO original binder demonstrated that blending Evoflex into RAP-containing asphalt mixtures was crucial to optimizing binder compatibility. Evoflex’s crucial function as a rejuvenator is highlighted by this notable improvement in binder stiffness and elasticity, which successfully enables the amalgamation of aged RAP binders with the original ones.
- Increasing the ABR with RAP markedly expedited the aging process in the recovered binders, as demonstrated by an elevated asphaltene fraction (explored by %R) and a diminished low-molecular-weight fraction (detected by %LCC). The incorporation of RAP considerably altered the thermal decomposition behavior, particularly the DTG curves, wherein the second DTG zone for the maltene fraction was reduced. A drop in %LCC from 7.22% to 25.52%, and a rise in %R from 20.69% to 33.06%, demonstrating the aging impact of RAP, decreasing light-molecular-weight fractions while increasing high-molecular-weight components.
- The temperature range for a 10% weight loss in RTFO binders was 282.22 °C to 331.56 °C, whereas, in recovered binders, it was from 309.65 °C to 327.27 °C. This value, although reflecting thermal stability within a certain range, does not reflect the total thermal response across a larger range. Conversely, the DTG area, which varied between 80.48 and 83.74 [(%/°C). °C] for the recovered binders and between 83.17 and 86.39 [(%/°C). °C] for RTFO binders, provides a more extensive evaluation, validating that recovered binders exhibit better thermal stability throughout the entire decomposition range.
- Uncertainty measurements for the G*/sinδ regression model revealed that %R and DTG area parameters are highly reliable predictors of G*/sinδ, with t-ratios of 15.70 and 13.56 and p-values < 0.05, while %LCC had a negligible impact with a t-ratio of −0.18 and a p-value of 0.87, indicating high uncertainty.
5. Future Work
- To better understand the impact on pavement performance and spur innovations in asphalt recycling techniques, future studies should extend the suggested model to a wider range of RAP sources and virgin binder grades, including a larger independent dataset to enhance the model’s generalizability.
- It is critical to continue investigating the effects of various rejuvenators and their synergistic interaction with RAP binders. This will pave the way for establishing the best rejuvenator mixes to increase binder performance and, eventually, the durability and sustainability of recycled asphalt mixtures.
Author Contributions
Funding
Data Availability Statement
Acknowledgments
Conflicts of Interest
References
- Wang, Y.; Wang, W.; Wang, L. Understanding the relationships between rheology and chemistry of asphalt binders: A review. Constr. Build. Mater. 2022, 329, 127161. [Google Scholar] [CrossRef]
- Deef Allah, E.; Abdelrahman, M.; Ragab, M. Thermal and chemical validation of the compatibility of virgin and recycled asphalt binders. Curr. Trends Civ. Struct. Eng. 2024, 11, 1–20. [Google Scholar] [CrossRef]
- Primerano, K.; Mirwald, J.; Hofko, B. Asphaltenes and maltenes in crude oil and bitumen: A comprehensive review of properties, separation methods, and insights into structure, reactivity and aging. Fuel 2024, 368, 131616. [Google Scholar] [CrossRef]
- Yuan, H.; Nili, A.; Chen, J.; Ding, H.; Liu, H.; Qiu, Y. Solubility and structural parameters of asphaltene subfractions separated from bitumen via an improved method. Fuel 2023, 344, 128113. [Google Scholar] [CrossRef]
- Wang, J.; Wang, T.; Hou, X.; Xiao, F. Modelling of rheological and chemical properties of asphalt binder considering SARA fraction. Fuel 2019, 238, 320–330. [Google Scholar] [CrossRef]
- Yu, H.; Leng, Z.; Gao, Z. Thermal analysis on the component interaction of asphalt binders modified with crumb rubber and warm mix additives. Constr. Build. Mater. 2016, 125, 168–174. [Google Scholar] [CrossRef]
- Nikookar, M.; Omidkhah, M.R.; Pazuki, G.R.; Mohammadi, A.H. An insight into molecular weight distributions of asphaltene and asphalt using gel permeation chromatography. J. Mol. Liq. 2022, 362, 119736. [Google Scholar] [CrossRef]
- Alves, C.T.; Peters, M.A.; Onwudili, J.A. Application of thermogravimetric analysis method for the characterisation of products from triglycerides during biodiesel production. J. Anal. Appl. Pyrolysis 2022, 168, 105766. [Google Scholar] [CrossRef]
- Wang, Z.; Zhou, Y.; Zhang, J.; Ji, X.; Zhan, H. Molecular components and molecular modelling for asphalt: A review. Adv. Phy. Res. 2024, 2400128. [Google Scholar] [CrossRef]
- You, L.; Spyriouni, T.; Dai, Q.; You, Z.; Khanal, A. Experimental and molecular dynamics simulation study on thermal, transport, and rheological properties of asphalt. Constr. Build. Mater. 2020, 265, 120358. [Google Scholar] [CrossRef]
- Deef-Allah, E.; Abdelrahman, M. Effect of used motor oil as a rejuvenator on crumb rubber modifier’s released components to asphalt binder. Prog. Rubber Plast. Recycl. Technol. 2021, 37, 87–114. [Google Scholar] [CrossRef]
- Sun, D.; Kandare, E.; Maniam, S.; Zhou, A.; Robert, D.; Buddhacosa, N.; Giustozzi, F. Thermal-based experimental method and kinetic model for predicting the composition of crumb rubber derived from end-of-life vehicle tyres. J. Clean. Prod. 2022, 357, 132002. [Google Scholar] [CrossRef]
- Zhang, W.; Jia, J.; Ding, Y.; Jiang, G.; Sun, L.; Lu, K. Effects of heating rate on thermal degradation behavior and kinetics of representative thermoplastic wastes. J. Environ. Manag. 2022, 314, 115071. [Google Scholar] [CrossRef] [PubMed]
- ISO 11358-1; Plastics—Thermogravimetry (TG) of Polymers, First edit. International Organization for Standardization: Geneva, Switzerland, 2014.
- Xing, M.; Li, G.; Zhou, X.; Liu, H.; Cao, Z.; Li, Z.; Chen, H. Investigation of the properties of high-viscosity modified asphalt binder under hygrothermal environments. Materials 2024, 17, 2869. [Google Scholar] [CrossRef] [PubMed]
- Deef-Allah, E.; Abdelrahman, M. Investigating the relationship between the fatigue cracking resistance and thermal characteristics of asphalt binders extracted from field mixes containing recycled materials. Transp. Eng. 2021, 4, 100055. [Google Scholar] [CrossRef]
- Deef-Allah, E.; Abdelrahman, M. Thermal, Chemical and rheological properties of asphalt binders extracted from field cores. Innov. Infrastruct. Solut. 2022, 7, 235. [Google Scholar] [CrossRef]
- Bongomin, O.; Nzila, C.; Igadwa Mwasiagi, J.; Maube, O. Comprehensive thermal properties, kinetic, and thermodynamic analyses of biomass wastes pyrolysis via TGA and coats-redfern methodologies. Ener. Convers. Man. X 2024, 24, 100723. [Google Scholar] [CrossRef]
- Dollimore, D. Thermal Analysis. In Encyclopedia of Physical Science and Technology; Elsevier: Amsterdam, The Netherlands, 2003; pp. 591–612. [Google Scholar] [CrossRef]
- Almusafir, R.; Smith, J.D. Thermal decomposition and kinetic parameters of three biomass feedstocks for the performance of the gasification process using a thermogravimetric analyzer. Energies 2024, 17, 396. [Google Scholar] [CrossRef]
- Nada, A.A.; Edris, W.F.; Al-Jabali, H.M.; Almutairi, A.D.; A. Al Sayed, A.A.-K.; Khairy, S. An investigation of the capabilities of resin tire carbon black “N-330” as a waste binder in asphalt concrete mixtures. Buildings 2025, 15, 158. [Google Scholar] [CrossRef]
- Elkashef, M.; Williams, R.C.; Cochran, E. Thermal stability and evolved gas analysis of rejuvenated reclaimed asphalt pavement (RAP) bitumen using thermogravimetric analysis–Fourier transform infrared (TG–FTIR). J. Therm. Anal. Calorim. 2018, 131, 865–871. [Google Scholar] [CrossRef]
- Alavi, M.Z.; Jones, D.; He, Y.; Chavez, P.; Liang, Y. Investigation of the Effect of Reclaimed Asphalt Pavement and Reclaimed Asphalt Shingles on the Performance Properties of Asphalt Binders: Phase 1 Laboratory Testing; Final Report UCPRC-RR-2016-06; University of California: Davis, CA, USA, 2016. [Google Scholar]
- Yao, Y.; Yang, J.; Gao, J.; Zheng, M.; Song, L.; Xu, J.; Sun, C. RAP chunks produced in cold milling operation of asphalt pavement: Evaluation, mechanism, and engineering investigation in China. J. Traffic Transp. Eng. 2024, 11, 972–1000. [Google Scholar] [CrossRef]
- Dhandapani, B.P.; Mullapudi, R.S. Design and performance characteristics of cement grouted bituminous mixtures—A review. Constr. Build. Mater. 2023, 369, 130586. [Google Scholar] [CrossRef]
- Deef-Allah, E.; Abdelrahman, M. Performance evaluation of extracted asphalt binders from field cores containing recycled components: Load- and non-load-associated cracking resistance. Adv. Mat. Res. 2023, 1175, 149–170. [Google Scholar] [CrossRef]
- Wang, Z.; Wang, P.; Guo, H.; Wang, X.; Li, G. Adhesion improvement between RAP and emulsified asphalt by modifying the surface characteristics of RAP. Adv. Mater. Sci. Eng. 2020, 2020, 1–10. [Google Scholar] [CrossRef]
- Costa, D.B.; de Medeiros Melo Neto, O.; Luz, P.M.S.G.; de Figueiredo Lopes Lucena, L.C.; de Figueiredo Lopes Lucena, A.E. Influence of aging, RAP content, and recycling agent on the performance of asphalt mixtures. Environ. Sci. Pollut. Res. 2023, 31, 1419–1441. [Google Scholar] [CrossRef] [PubMed]
- Prosperi, E.; Bocci, E. A review on bitumen aging and rejuvenation chemistry: Processes, materials and analyses. Sustainability 2021, 13, 6523. [Google Scholar] [CrossRef]
- Ren, S.; Liu, X.; Lin, P.; Jing, R.; Erkens, S. Toward the long-term aging influence and novel reaction kinetics models of bitumen. Int. J. Pavement Eng. 2023, 24, 2024188. [Google Scholar] [CrossRef]
- Zhang, D.; Chen, M.; Wu, S.; Liu, J.; Amirkhanian, S. Analysis of the relationships between waste cooking oil qualities and rejuvenated asphalt properties. Materials 2017, 10, 508. [Google Scholar] [CrossRef]
- Kleizienė, R.; Panasenkienė, M.; Vaitkus, A. Effect of aging on chemical composition and rheological properties of neat and modified bitumen. Materials 2019, 12, 4066. [Google Scholar] [CrossRef]
- Nciri, N.; Kim, J.; Kim, N.; Cho, N. An in-depth investigation into the physicochemical, thermal, microstructural, and rheological properties of petroleum and natural asphalts. Materials 2016, 9, 859. [Google Scholar] [CrossRef]
- Deef-Allah, E.; Abdelrahman, M. Evaluating the low-temperature properties of asphalt binders extracted from mixtures containing recycled materials. Period. Polytech. Civ. Eng. 2022, 66, 593–602. [Google Scholar] [CrossRef]
- ASTM D2172/D2172M-17e1; Standard Test Methods for Quantitative Extraction of Asphalt Binder from Asphalt Mixtures. ASTM International: West. Conshohocken, PA, USA, 2017. [CrossRef]
- ASTM D5404/D5404M-12(2017); Standard Practice for Recovery of Asphalt from Solution Using the Rotary Evaporator. ASTM International: West. Conshohocken, PA, USA, 2017. [CrossRef]
- ASTM D2872-19; Standard Test Method for Effect of Heat and Air on a Moving Film of Asphalt (Rolling Thin-Film Oven Test). ASTM International: West. Conshohocken, PA, USA, 2019. [CrossRef]
- ASTM E1131-20; Standard Test Method for Compositional Analysis by Thermogravimetry. ASTM International: West. Conshohocken, PA, USA, 2020. [CrossRef]
- Wagner, D.R. Advanced thermogravimetric analyses of stem wood and straw devolatilization: Torrefaction through combustion. Reactions 2024, 5, 350–360. [Google Scholar] [CrossRef]
- Liu, S.; Yu, D.; Chen, Y.; Shi, R.; Zhou, F.; Mu, T. High-resolution thermogravimetric analysis is required for evaluating the thermal stability of deep eutectic solvents. Ind. Eng. Chem. Res. 2022, 61, 14347–14354. [Google Scholar] [CrossRef]
- ASTM D7175-15; Standard Test Method for Determining the Rheological Properties of Asphalt Binder Using a Dynamic Shear Rheometer. ASTM International: West. Conshohocken, PA, USA, 2015. [CrossRef]
- Baghel, P.; Sakhiya, A.K.; Kaushal, P. Influence of temperature on slow pyrolysis of prosopis juliflora: An experimental and thermodynamic approach. Renew. Energy 2022, 185, 538–551. [Google Scholar] [CrossRef]
- Goli, V.S.N.S.; Singh, D.N. Discussion on “Thermal and mechanical characterization of composite materials from industrial plastic wastes and recycled nylon fibers for floor paving tiles application” by Owen et al., Waste Management 166 (2023) 25–34. Waste Manag. 2023, 169, 286–288. [Google Scholar] [CrossRef]
- Wang, J.; Baker, S.N. Pyrrolidinium salt based binary and ternary deep eutectic solvents: Green preparations and physiochemical property characterizations. Green. Process Synth. 2018, 7, 353–359. [Google Scholar] [CrossRef]
- Barra, G.; Guadagno, L.; Raimondo, M.; Santonicola, M.G.; Toto, E.; Vecchio Ciprioti, S. A comprehensive review on the thermal stability assessment of polymers and composites for aeronautics and space applications. Polymers 2023, 15, 3786. [Google Scholar] [CrossRef]
- Nurazzi, N.M.; Asyraf, M.R.M.; Rayung, M.; Norrrahim, M.N.F.; Shazleen, S.S.; Rani, M.S.A.; Shafi, A.R.; Aisyah, H.A.; Radzi, M.H.M.; Sabaruddin, F.A.; et al. Thermogravimetric analysis properties of cellulosic natural fiber polymer composites: A review on influence of chemical treatments. Polymers 2021, 13, 2710. [Google Scholar] [CrossRef] [PubMed]
- Hao, J.; Che, Y.; Tian, Y.; Li, D.; Zhang, J.; Qiao, Y. Thermal cracking characteristics and kinetics of oil sand bitumen and its SARA fractions by TG–FTIR. Energy Fuels 2017, 31, 1295–1309. [Google Scholar] [CrossRef]
- Boytsova, A.; Kondrasheva, N.; Ancheyta, J. Thermogravimetric determination and pyrolysis thermodynamic parameters of heavy oils and asphaltenes. Energy Fuels 2017, 31, 10566–10575. [Google Scholar] [CrossRef]














| Asphalt Mixture | Original Binder PG | %ABR Using RAP | Total %AC | Additives 1 |
|---|---|---|---|---|
| M1 | PG 76-22 | 0.0 | 6.5 | 0.5% LOF 65-00 2 |
| M2 | PG 64-22H | 17.0 | 5.7 | 0.5% Morelife T280 2 |
| M3 | PG 58-28 | 27.0 | 5.5 | |
| M4 | PG 64-22 | 27.0 | 5.6 | |
| M5 | PG 58-28 | 31.0 | 5.1 | 1.0% Morelife T280 2 |
| M6 | PG 58-28 | 35.0 | 5.1 | 1.8% Evoflex CA 3 & 0.5% Evotherm 4 |
| M7 | PG 58-28 | 40.0 | 5.0 |
| Asphalt Mixture | Asphalt Binder | TG Parameters | DTG Parameters | ||
|---|---|---|---|---|---|
| Tonset (°C) | Tendset (°C) | T at 10% Weight Loss (°C) | Area Under the Curve [(%/°C). °C] | ||
| M1 | RTFO binder | 356.89 | 425.49 | 321.38 | 83.41 |
| Recovered binder | 355.13 | 423.27 | 315.18 | 83.74 | |
| M2 | RTFO binder | 333.03 | 402.93 | 301.70 | 83.17 |
| Recovered binder | 331.54 | 412.46 | 311.58 | 80.48 | |
| M3 | RTFO binder | 346.53 | 424.09 | 306.23 | 86.01 |
| Recovered binder | 348.30 | 427.49 | 311.68 | 81.38 | |
| M4 | RTFO binder | 353.30 | 424.92 | 331.56 | 84.29 |
| Recovered binder | 352.80 | 429.55 | 327.27 | 81.06 | |
| M5 | RTFO binder | 318.13 | 404.00 | 282.22 | 84.95 |
| Recovered binder | 336.32 | 413.24 | 309.65 | 81.92 | |
| M6 | RTFO binder | 339.47 | 407.52 | 318.86 | 86.39 |
| Recovered binder | 343.75 | 411.17 | 322.89 | 82.67 | |
| M7 | RTFO binder | 348.87 | 424.28 | 306.89 | 85.57 |
| Recovered binder | 343.64 | 427.49 | 311.94 | 81.58 | |
Disclaimer/Publisher’s Note: The statements, opinions and data contained in all publications are solely those of the individual author(s) and contributor(s) and not of MDPI and/or the editor(s). MDPI and/or the editor(s) disclaim responsibility for any injury to people or property resulting from any ideas, methods, instructions or products referred to in the content. |
© 2025 by the authors. Licensee MDPI, Basel, Switzerland. This article is an open access article distributed under the terms and conditions of the Creative Commons Attribution (CC BY) license (https://creativecommons.org/licenses/by/4.0/).
Share and Cite
Deef-Allah, E.; Abdelrahman, M. Correlating the Compositional Changes to the Rheological Properties of Recovered Asphalt Binders from Recycled Asphalt Mixtures: Insights from the Thermogravimetric Measurements. Metrology 2025, 5, 16. https://doi.org/10.3390/metrology5010016
Deef-Allah E, Abdelrahman M. Correlating the Compositional Changes to the Rheological Properties of Recovered Asphalt Binders from Recycled Asphalt Mixtures: Insights from the Thermogravimetric Measurements. Metrology. 2025; 5(1):16. https://doi.org/10.3390/metrology5010016
Chicago/Turabian StyleDeef-Allah, Eslam, and Magdy Abdelrahman. 2025. "Correlating the Compositional Changes to the Rheological Properties of Recovered Asphalt Binders from Recycled Asphalt Mixtures: Insights from the Thermogravimetric Measurements" Metrology 5, no. 1: 16. https://doi.org/10.3390/metrology5010016
APA StyleDeef-Allah, E., & Abdelrahman, M. (2025). Correlating the Compositional Changes to the Rheological Properties of Recovered Asphalt Binders from Recycled Asphalt Mixtures: Insights from the Thermogravimetric Measurements. Metrology, 5(1), 16. https://doi.org/10.3390/metrology5010016

