Improving Phenolic-Linked Antioxidant, Antihyperglycemic and Antibacterial Properties of Emmer and Conventional Wheat Using Beneficial Lactic Acid Bacteria
Abstract
:1. Introduction
2. Materials and Methods
2.1. Preparation of Wheat Extracts
2.2. Bacterial Strains Used
2.3. Wheat Fermentation
2.4. Total Soluble Phenolic Content
2.5. Phenolic Compound Characterization (High-Performance Liquid Chromatography Assay)
2.6. Antioxidant Activity Assay
2.7. α-Amylase Enzyme Inhibitory Activity
2.8. α-Glucosidase Enzyme Enhibitory Activity
2.9. Antimicrobial Activity
2.10. Prebiotic Activity
2.11. Statistical Analysis
3. Results and Discussion
3.1. Total Soluble Phenolic Content and Phenolic Profile
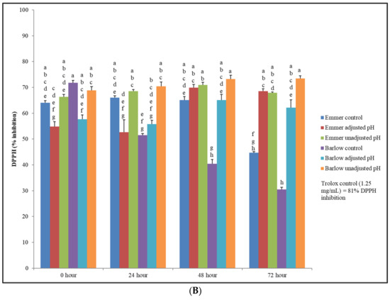
3.2. Total Antioxidant Activity
3.3. AntiHyperglycemic Property Relevant α-Amylase and α-Glucosidase Enzyme Inhibitory Activities
3.4. Antimicrobial and Prebiotic Activity
4. Conclusions
Author Contributions
Funding
Institutional Review Board Statement
Informed Consent Statement
Data Availability Statement
Acknowledgments
Conflicts of Interest
References
- Skrajda-Brdak, M.; Konopka, I.; Tańska, M.; Czaplicki, S. Changes in the content of free phenolic acids and antioxidative capacity of wholemeal bread in relation to cereal species and fermentation type. Eur. Food Res. Technol. 2019, 245, 2247–2256. [Google Scholar] [CrossRef] [Green Version]
- Zhou, Y.; Wang, R.; Zhang, Y.; Yang, Y.; Sun, X.; Zhang, Q.; Yang, N. Biotransformation of phenolics and metabolites and the change in antioxidant activity in kiwifruit induced by Lactobacillus plantarum fermentation. J. Sci. Food Agric. 2020, 100, 3283–3290. [Google Scholar] [CrossRef] [PubMed]
- Rakhmanova, A.; Khan, Z.A.; Shah, K. A mini review fermentation and preservation: Role of Lactic Acid Bacteria. MOJ Food Process. Technol. 2018, 6, 414–417. [Google Scholar] [CrossRef]
- Gobbetti, M. The sourdough microflora: Interactions of lactic acid bacteria and yeasts. Trends Food Sci. Technol. 1998, 9, 267–274. [Google Scholar] [CrossRef]
- Charalampopoulos, D.; Pandiella, S.S.; Webb, C. Growth studies of potentially probiotic lactic acid bacteria in cereal-based substrates. J. Appl. Microbiol. 2002, 92, 851–859. [Google Scholar] [CrossRef]
- Paramithiotis, S.; Chouliaras, Y.; Tsakalidou, E.; Kalantzopoulos, G. Application of selected starter cultures for the production of wheat sourdough bread using a traditional three-stage procedure. Process. Biochem. 2005, 40, 2813–2819. [Google Scholar] [CrossRef]
- Paramithiotis, S.; Gioulatos, S.; Tsakalidou, E.; Kalantzopoulos, G. Interactions between Saccharomyces cerevisiae and lactic acid bacteria in sourdough. Process. Biochem. 2006, 41, 2429–2433. [Google Scholar] [CrossRef]
- Plessas, S.; Alexopoulos, A.; Mantzourani, I.; Koutinas, A.; Voidarou, C.; Stavropoulou, E.; Bezirtzoglou, E. Application of novel starter cultures for sourdough bread production. Anaerobe 2011, 17, 486–489. [Google Scholar] [CrossRef]
- Robert, H.; Gabriel, V.; Lefebvre, D.; Rabier, P.; Vayssier, Y.; Fontagné-Faucher, C. Study of the behaviour of Lactobacillus plantarum and Leuconostoc starters during a complete wheat sourdough breadmaking process. LWT-Food Sci. Technol. 2006, 39, 256–265. [Google Scholar] [CrossRef]
- Arendt, E.K.; Ryan, L.A.; Bello, F.D. Impact of sourdough on the texture of bread. Food Microbiol. 2007, 24, 165–174. [Google Scholar] [CrossRef] [PubMed]
- Clarke, C.I.; Schober, T.J.; Dockery, P.; O’Sullivan, K.; Arendt, E.K. Wheat Sourdough Fermentation: Effects of Time and Acidification on Fundamental Rheological Properties. Cereal Chem. J. 2004, 81, 409–417. [Google Scholar] [CrossRef]
- Corsetti, A.; Gobbetti, M.; De Marco, B.; Balestrieri, F.; Paoletti, F.; Russi, L.; Rossi, J. Combined Effect of Sourdough Lactic Acid Bacteria and Additives on Bread Firmness and Staling. J. Agric. Food Chem. 2000, 48, 3044–3051. [Google Scholar] [CrossRef]
- Bello, F.D.; Clarke, C.; Ryan, L.; Ulmer, H.; Schober, T.; Ström, K.; Sjögren, J.; van Sinderen, D.; Schnürer, J.; Arendt, E. Improvement of the quality and shelf life of wheat bread by fermentation with the antifungal strain Lactobacillus plantarum FST 1.7. J. Cereal Sci. 2007, 45, 309–318. [Google Scholar] [CrossRef]
- Gül, H.; Özçelik, S.; Sağdıç, O.; Certel, M. Sourdough bread production with lactobacilli and S. cerevisiae isolated from sourdoughs. Process. Biochem. 2005, 40, 691–697. [Google Scholar] [CrossRef]
- Leenhardt, F.; Levrat-Verny, M.-A.; Chanliaud, E.; Rémésy, C. Moderate Decrease of pH by Sourdough Fermentation Is Sufficient to Reduce Phytate Content of Whole Wheat Flour through Endogenous Phytase Activity. J. Agric. Food Chem. 2005, 53, 98–102. [Google Scholar] [CrossRef]
- Palacios, M.C.; Haros, M.; Sanz, Y.; Rosell, C.M. Phytate degradation by Bifidobacterium on whole wheat fermentation. Eur. Food Res. Technol. 2008, 226, 825–831. [Google Scholar] [CrossRef]
- Thiele, C.; Gänzle, M.; Vogel, R.F. Contribution of Sourdough Lactobacilli, Yeast, and Cereal Enzymes to the Generation of Amino Acids in Dough Relevant for Bread Flavor. Cereal Chem. J. 2002, 79, 45–51. [Google Scholar] [CrossRef]
- Cakmak, I.; Torun, A.; Millet, E.; Feldman, M.; Fahima, T.; Korol, A.; Nevo, E.; Braun, H.; Özkan, H. Triticum dicoccoides: An important genetic resource for increasing zinc and iron concentration in modern cultivated wheat. Soil. Sci. Plant. Nutr. 2004, 50, 1047–1054. [Google Scholar] [CrossRef] [Green Version]
- Chatzav, M.; Peleg, Z.; Ozturk, L.; Yazici, A.; Fahima, T.; Cakmak, I.; Saranga, Y. Genetic diversity for grain nutrients in wild emmer wheat: Potential for wheat improvement. Ann. Bot. 2010, 105, 1211–1220. [Google Scholar] [CrossRef] [Green Version]
- Chen, L.; Ren, J.; Shi, H.; Chen, X.; Zhang, M.; Pan, Y.; Fan, J.; Nevo, E.; Sun, D.; Fu, J.; et al. Physiological and Molecular Responses to Salt Stress in Wild Emmer and Cultivated Wheat. Plant. Mol. Biol. Rep. 2013, 31, 1212–1219. [Google Scholar] [CrossRef]
- Christopher, A.; Sarkar, D.; Zwinger, S.; Shetty, K. Ethnic food perspective of North Dakota Common Emmer Wheat and relevance for health benefits targeting type 2 diabetes. J. Ethn. Foods 2018, 5, 66–74. [Google Scholar] [CrossRef]
- Nevo, E. Evolution of wild emmer wheat and crop improvement. J. Syst. Evol. 2014, 52, 673–696. [Google Scholar] [CrossRef]
- Peleg, Z.; Saranga, Y.; Yazici, A.; Fahima, T.; Ozturk, L.; Cakmak, I. Grain zinc, iron and protein concentrations and zinc-efficiency in wild emmer wheat under contrasting irrigation regimes. Plant. Soil 2008, 306, 57–67. [Google Scholar] [CrossRef] [Green Version]
- Stallknecht, G.F.; Gilbertson, K.M.; Ranney, J.E. Alternative wheat cereals as food grains: Einkorn, Emmer, Spelt, Kamut, and Triticale. Prog. New Crop. 1996, 156–170. [Google Scholar]
- Serpen, A.; Gökmen, V.; Karagöz, A.; Koksel, H. Phytochemical Quantification and Total Antioxidant Capacities of Emmer (Triticum dicoccon Schrank) and Einkorn (Triticum monococcum L.) Wheat Landraces. J. Agric. Food Chem. 2008, 56, 7285–7292. [Google Scholar] [CrossRef]
- Zaharieva, M.; Ayana, N.G.; Al Hakimi, A.; Misra, S.C.; Monneveux, P. Cultivated emmer wheat (Triticum dicoccon Schrank), an old crop with promising future: A review. Genet. Resour. Crop. Evol. 2010, 57, 937–962. [Google Scholar] [CrossRef]
- Coda, R.; Rizzello, C.G.; Trani, A.; Gobbetti, M. Manufacture and characterization of functional emmer beverages fermented by selected lactic acid bacteria. Food Microbiol. 2011, 28, 526–536. [Google Scholar] [CrossRef] [PubMed]
- Ranilla, L.G.; Christopher, A.; Sarkar, D.; Shetty, K.; Chirinos, R.; Campos, D. Phenolic Composition and Evaluation of the Antimicrobial Activity of Free and Bound Phenolic Fractions from a Peruvian Purple Corn (Zea mays L.) Accession. J. Food Sci. 2017, 82, 2968–2976. [Google Scholar] [CrossRef]
- Ankolekar, C.; Pinto, M.D.S.; Greene, D.; Shetty, K. In vitro bioassay based screening of antihyperglycemia and antihypertensive activities of Lactobacillus acidophilus fermented pear juice. Innov. Food Sci. Emerg. Technol. 2012, 13, 221–230. [Google Scholar] [CrossRef]
- Shetty, K.; Curtis, O.F.; Levin, R.E.; Witkowsky, R.; Ang, W. Prevention of Vitrification Aßociated with in vitro Shoot Culture of Oregano. (Origanum vulgare) by Pseudomonas spp. J. Plant. Physiol. 1995, 147, 447–451. [Google Scholar] [CrossRef]
- Kwon, Y.I.; Vattem, D.A.; Shetty, K. Evaluation of clonal herbs of Lamiaceae species for management of diabetes and hypertension. Asia Pac. J. Clin. Nutr. 2006, 15, 107–118. [Google Scholar]
- Re, R.; Pellegrini, N.; Proteggente, A.; Pannala, A.; Yang, M.; Rice-Evans, C. Antioxidant activity applying an improved ABTS radical cation decolorization assay. Free Radic. Biol. Med. 1999, 26, 1231–1237. [Google Scholar] [CrossRef]
- Friedman, M.; Jürgens, H.S. Effect of pH on the Stability of Plant Phenolic Compounds. J. Agric. Food Chem. 2000, 48, 2101–2110. [Google Scholar] [CrossRef] [PubMed]
- Brandolini, A.; Castoldi, P.; Plizzari, L.; Hidalgo, A. Phenolic acids composition, total polyphenols content and antioxidant activity of Triticum monococcum, Triticum turgidum and Triticum aestivum: A two-years evaluation. J. Cereal Sci. 2013, 58, 123–131. [Google Scholar] [CrossRef]
- Heimler, D.; Vignolini, P.; Isolani, L.; Arfaioli, P.; Ghiselli, L.; Romani, A. Polyphenol Content of Modern and Old Varieties of Triticum aestivum L. and T. durum Desf. Grains in Two Years of Production. J. Agric. Food Chem. 2010, 58, 7329–7334. [Google Scholar] [CrossRef]
- Reddivari, L.; Hale, A.L.; Miller, J.C., Jr. Genotype, Location, and Year Influence Antioxidant Activity, Carotenoid Content, Phenolic Content, and Composition in Specialty Potatoes. J. Agric. Food Chem. 2007, 55, 8073–8079. [Google Scholar] [CrossRef]
- Liyana-Pathirana, C.M.; Shahidi, F. Antioxidant Activity of Commercial Soft and Hard Wheat (Triticum aestivum L.) as Affected by Gastric pH Conditions. J. Agric. Food Chem. 2005, 53, 2433–2440. [Google Scholar] [CrossRef]
- Ripari, V.; Bai, Y.; Gänzle, M.G. Metabolism of phenolic acids in whole wheat and rye malt sourdoughs. Food Microbiol. 2019, 77, 43–51. [Google Scholar] [CrossRef]
- Sánchez-Maldonado, A.; Schieber, A.; Gänzle, M. Structure-function relationships of the antibacterial activity of phenolic acids and their metabolism by lactic acid bacteria. J. Appl. Microbiol. 2011, 111, 1176–1184. [Google Scholar] [CrossRef]
- Antognoni, F.; Mandrioli, R.; Potente, G.; Saa, D.L.T.; Gianotti, A. Changes in carotenoids, phenolic acids and antioxidant capacity in bread wheat doughs fermented with different lactic acid bacteria strains. Food Chem. 2019, 292, 211–216. [Google Scholar] [CrossRef]
- Arora, S.; Jood, S.; Khetarpaul, N. Effect of germination and probiotic fermentation on nutrient composition of barley based food mixtures. Food Chem. 2010, 119, 779–784. [Google Scholar] [CrossRef]
- Adebo, O.A.; Medina-Meza, I.G. Impact of Fermentation on the Phenolic Compounds and Antioxidant Activity of Whole Cereal Grains: A Mini Review. Mol. 2020, 25, 927. [Google Scholar] [CrossRef] [PubMed] [Green Version]
- Cotter, P.D.; Hill, C. Surviving the Acid Test: Responses of Gram-Positive Bacteria to Low pH. Microbiol. Mol. Biol. Rev. 2003, 67, 429–453. [Google Scholar] [CrossRef] [PubMed] [Green Version]
- Rosenquist, H.; Hansen, Å. The antimicrobial effect of organic acids, sour dough and nisin against Bacillus subtilis and B. licheniformis isolated from wheat bread. J. Appl. Microbiol. 1998, 85, 621–631. [Google Scholar] [CrossRef]
- Cleveland, J.; Montville, T.J.; Nes, I.F.; Chikindas, M.L. Bacteriocins: Safe, natural antimicrobials for food preservation. Int. J. Food Microbiol. 2001, 71, 1–20. [Google Scholar] [CrossRef]
- Hirshfield, I.N.; Terzulli, S.; O’Byrne, C. Weak Organic Acids: A Panoply of Effects on Bacteria. Sci. Prog. 2003, 86, 245–270. [Google Scholar] [CrossRef]
- Bonifácio, B.V.; Ramos, M.A.D.S.; Da Silva, P.B.; Bauab, T.M. Antimicrobial activity of natural products against Helicobacter pylori: A review. Ann. Clin. Microbiol. Antimicrob. 2014, 13, 1–10. [Google Scholar] [CrossRef] [Green Version]
- Lin, Y.T.; Kwon, Y.I.; Labbe, R.G.; Shetty, K. Inhibition of Helicobacter pylori and Associated Urease by Oregano and Cranberry Phytochemical Synergies. Appl. Environ. Microbiol. 2005, 71, 8558–8564. [Google Scholar] [CrossRef] [Green Version]
- Sarkar, D.; Ankolekar, C.; Pinto, M.; Shetty, K. Dietary functional benefits of Bartlett and Starkrimson pears for potential management of hyperglycemia, hypertension and ulcer bacteria Helicobacter pylori while supporting beneficial probiotic bacterial response. Food Res. Int. 2015, 69, 80–90. [Google Scholar] [CrossRef]
- Daglia, M. Polyphenols as antimicrobial agents. Curr. Opin. Biotechnol. 2012, 23, 174–181. [Google Scholar] [CrossRef]
- Cowan, M.M. Plant Products as Antimicrobial Agents. Clin. Microbiol. Rev. 1999, 12, 564–582. [Google Scholar] [CrossRef] [PubMed] [Green Version]
- Jayaraman, P.; Sakharkar, M.K.; Lim, C.S.; Tang, T.H.; Sakharkar, K.R. Activity and interactions of antibiotic and phytochemical combinations against Pseudomonas aeruginosa in vitro. Int. J. Biol. Sci. 2010, 6, 556–568. [Google Scholar] [CrossRef] [PubMed] [Green Version]
- Jayaraman, P.; Sakharkar, K.R.; Sing, L.C.; Chow, V.; Sakharkar, M.K. Insights into antifolate activity of phytochemicals against Pseudomonas aeruginosa. J. Drug Target. 2010, 19, 179–188. [Google Scholar] [CrossRef] [PubMed]
- Chibane, L.B.; Degraeve, P.; Ferhout, H.; Bouajila, J.; Oulahal, N. Plant antimicrobial polyphenols as potential natural food preservatives. J. Sci. Food Agric. 2019, 99, 1457–1474. [Google Scholar] [CrossRef] [PubMed] [Green Version]
- Radulovic, N.; Blagojevic, P.; Stojanovic-Radic, Z.; Stojanovic, N. Antimicrobial Plant Metabolites: Structural Diversity and Mechanism of Action. Curr. Med. Chem. 2013, 20, 932–952. [Google Scholar] [CrossRef] [PubMed]
- Díaz-Gómez, R.; López-Solís, R.; Obreque-Slier, E.; Toledo-Araya, H. Comparative antibacterial effect of gallic acid and catechin against Helicobacter pylori. LWT-Food Sci. Technol. 2013, 54, 331–335. [Google Scholar] [CrossRef]





| Time Point (Hours) | Sample Extract a | Benzoic Acid | Catechin | Gallic Acid | Protocatechuic Acid | Ferulic Acid | |
|---|---|---|---|---|---|---|---|
| 0 | Emmer | Unfermented | 0.88 ± 0.0fghij | 9.95 ± 0.0cd | 11.50 ± 0.0abcdef | 0.31 ± 0.0hij | 1.17 ± 0.0ef |
| Fermented/adjusted pH | 0.93 ± 0.0defg | 9.68 ± 0.2d | 10.79 ± 0.0bcdef | 0.28 ± 0.0ijk | 1.10 ± 0.1f | ||
| Fermented/unadjusted pH | 1.03 ± 0.0abc | 9.94 ± 0.3cd | 10.99 ± 0.1abcdef | 0.33 ± 0.0ghij | 1.39 ± 0.0d | ||
| Barlow | Unfermented | 0.93 ± 0.0defg | 8.65 ± 0.4ef | 12.33 ± 0.0abcd | 0.52 ± 0.0ab | 2.20 ± 0.0a | |
| Fermented/adjusted pH | 0.96 ± 0.0cdef | 7.94 ± 0.0g | 11.91 ± 0.0abcde | 0.48 ± 0.0abcde | 1.60 ± 0.0c | ||
| Fermented/unadjusted pH | 1.07 ± 0.0a | 8.73 ± 0.1e | 12.35 ± 0.0abcd | 0.52 ± 0.0abc | 2.17 ± 0.0a | ||
| 24 | Emmer | Unfermented | 0.91 ± 0.0efg | 10.35 ± 0.0bc | 13.0 ± 0.0a | 0.37 ± 0.0fghi | 1.12 ± 0.0f |
| Fermented/adjusted pH | 0.92 ± 0.0defg | 0.35 ± 0.1h | 9.53 ± 0.0f | 0.26 ± 0.0jk | ND | ||
| Fermented/unadjusted pH | 1.06 ± 0.0ab | 0.40 ± 0.0h | 7.29 ± 0.0g | 0.20 ± 0.0kl | ND | ||
| Time Point (Hours) | Sample Extract a | Benzoic Acid | Catechin | Gallic Acid | Protocatechuic Acid | Ferulic Acid | |
| Barlow | Unfermented | 0.86 ± 0.0ghij | 8.15 ± 0.0fg | 12.73 ± 0.0ab | 0.57 ± 0.0a | 1.93 ± 0.0b | |
| Fermented/adjusted pH | 0.92 ± 0.0defg | 0.29 ± 0.0h | 11.41 ± 0.0abcdef | 0.37 ± 0.0fghi | ND | ||
| Fermented/unadjusted pH | 0.99 ± 0.0abcd | 0.44 ± 0.0h | 10.11 ± 0.0ef | 0.14 ± 0.0l | ND | ||
| 48 | Emmer | Unfermented | 0.79 ± 0.0jk | 10.82 ± 0.0ab | 12.84 ± 0.5a | 0.38 ± 0.0efghi | 0.97 ± 0.0g |
| Fermented/adjusted pH | 0.90 ± 0.0efgh | 0.06 ± 0.0h | 10.10 ± 0.6ef | 0.33 ± 0.0ghij | ND | ||
| Fermented/unadjusted pH | 0.98 ± 0.0bcde | 0.34 ± 0.0h | 12.48 ± 0.3abc | 0.41 ± 0.0defgh | ND | ||
| Barlow | Unfermented | 0.81 ± 0.0ijk | 7.89 ± 0.0g | 12.27 ± 0.0abcd | 0.56 ± 0.0a | 1.21 ± 0.0e | |
| Fermented/adjusted pH | 0.87 ± 0.0ghij | 0.10 ± 0.0h | 10.48 ± 0.0cdef | 0.43 ± 0.0bcdef | ND | ||
| Fermented/unadjusted pH | 0.89 ± 0.0fghi | 0.13 ± 0.0h | 11.16 ± 0.1abcdef | 0.49 ± 0.1abcd | ND | ||
| Time Point (Hours) | Sample Extract a | Benzoic Acid | Catechin | Gallic Acid | Protocatechuic Acid | Ferulic Acid | |
| 72 | Emmer | Unfermented | 0.74 ± 0.0k | 10.94 ± 0.0a | 12.62 ± 0.0ab | 0.37 ± 0.0fghi | 0.66 ± 0.0h |
| Fermented/adjusted pH | 0.92 ± 0.0defg | 0.08 ± 0.0h | 9.79 ± 0.5f | 0.37 ± 0.0fghi | ND | ||
| Fermented/unadjusted pH | 0.94 ± 0.1defg | 0.33 ± 0.0h | 10.34 ± 1.5def | 0.42 ± 0.0cdefg | ND | ||
| Barlow | Unfermented | 0.82 ± 0.0hijk | 8.36 ± 0.0efg | 12.47 ± 0.0abc | 0.56 ± 0.0a | 0.59 ± 0.0h | |
| Fermented/adjusted pH | 0.85 ± 0.0ghij | 0.10 ± 0.0h | 10.69 ± 0.0bcdef | 0.42 ± 0.0defg | ND | ||
| Fermented/unadjusted pH | 0.85 ± 0.0ghij | 0.10 ± 0.0h | 10.74 ± 0.0bcdef | 0.52 ± 0.1abc | ND |
| Time Point (Hours) | Sample Extract a | α-Amylase Inhibition | α-Glucosidase Inhibition | |||||
|---|---|---|---|---|---|---|---|---|
| Undiluted | 1:2 diluted | 1:5 diluted | Undiluted | 1:2 diluted | 1:5 diluted | |||
| 0 | Emmer | Unfermented | 90.9 ± 1.4a | 79.5 ± 1.1abcd | 75.2 ± 0.8ab | 34.7 ± 1.5efgh | 23.2 ± 1.1defg | 11.9 ± 0.8defg |
| Fermented/adjusted pH | 94.4 ± 2.1a | 79.4 ± 1.1abcd | 75.6 ± 1.5a | 26.3 ± 1.3hij | 14.2 ± 1.2hi | 7.4 ± 0.7hijk | ||
| Fermented/unadjusted pH | 91.8 ± 1.2a | 84.6 ± 0.8ab | 80.9 ± 1.7a | 37.6 ± 5.9efg | 21.0 ± 0.9efg | 9.4 ± 0.6fghij | ||
| Barlow | Unfermented | 93.2 ± 1.5a | 89.9 ± 1.0a | 79.9 ± 1.7a | 29.1 ± 0.9fghi | 20.7 ± 0.5fg | 9.9 ± 0.4efghi | |
| Fermented/adjusted pH | 92.9 ± 2.9a | 83.1 ± 1.6abc | 79.7 ± 1.2a | 20.9 ± 0.8ijk | 13.5 ± 0.8hi | 5.6 ± 0.8ijklm | ||
| Fermented/unadjusted pH | 94.7 ± 1.2a | 88.3 ± 1.6ab | 82.0 ± 1.9a | 28.1 ± 0.9ghi | 16.9 ± 0.9gh | 7.0 ± 0.8hijkl | ||
| 24 | Emmer | Unfermented | 85.2 ± 1.9ab | 79.2 ± 1.7abcd | 66.7 ± 1.8abcd | 41.2 ± 0.7def | 27.3 ± 0.8cde | 16.9 ± 0.6bc |
| Fermented/adjusted pH | 68.6 ± 1.0cd | 60.6 ± 0.3cdefg | 51.6 ± 0.7defgh | 15.6 ± 0.7kl | 8.8 ± 0.6ijk | 4.2 ± 0.4klmn | ||
| Fermented/unadjusted pH | 91.2 ± 0.8a | 53.2 ± 0.7efgh | 49.2 ± 2.2efgh | 48.6 ± 1.2bcd | 24.1 ± 0.9def | 9.6 ± 0.5fghi | ||
| Time Point (Hours) | Sample Extract a | α-Amylase Inhibition | α-Glucosidase Inhibition | |||||
| Undiluted | 1:2 diluted | 1:5 diluted | Undiluted | 1:2 diluted | 1:5 diluted | |||
| Barlow | Unfermented | 91.4 ± 1.7a | 80.9 ± 1.2abcd | 71.5 ± 1.3abc | 33.4 ± 0.7fgh | 22.2 ± 0.4defg | 11.9 ± 0.5defg | |
| Fermented/adjusted pH | 62.0 ± 0.8de | 47.2 ± 0.8fgh | 35.8 ± 1.4hij | 9.2 ± 0.5l | 4.8 ± 0.4jk | 0.8 ± 0.3n | ||
| Fermented/unadjusted pH | 85.3 ± 0.5ab | 59.8 ± 0.9defg | 39.5 ± 1.0ghi | 40.8 ± 1.3def | 19.5 ± 0.5fgh | 4.4 ± 0.9klmn | ||
| 48 | Emmer | Unfermented | 87.3 ± 2.4ab | 74.9 ± 0.9abcde | 58.4 ± 3.5bcdef | 43.7 ± 1.7cde | 33.9 ± 0.9ab | 20.2 ± 0.6ab |
| Fermented/adjusted pH | 24.4 ± 2.7g | 14.2 ± 1.9ij | 2.5 ± 0.9k | 13.7 ± 0.4kl | 5.2 ± 0.9jk | 3.3 ± 0.5klmn | ||
| Fermented/unadjusted pH | 92.9 ± 0.9a | 78.1 ± 1.0abcd | 2.6 ± 1.2k | 57.2 ± 1.9ab | 31.8 ± 0.8abc | 11.4 ± 0.7defgh | ||
| Barlow | Unfermented | 85.5 ± 1.4ab | 73.3 ± 2.9abcde | 67.6 ± 2.8abcd | 36.9 ± 0.7efg | 24.7 ± 0.7def | 14.0 ± 0.8cde | |
| Fermented/adjusted pH | 54.9 ± 1.4def | 40.8 ± 1.3gh | 28.3 ± 1.4ij | 9.2 ± 0.4l | 3.1 ± 0.6k | 1.5 ± 0.3mn | ||
| Fermented/unadjusted pH | 90.2 ± 1.2ab | 66.5 ± 1.0bcdef | 41.7 ± 0.5fghi | 53.3 ± 0.9bc | 28.2 ± 0.8bcd | 12.2 ± 1.1defg | ||
| Time Point (Hours) | Sample Extract a | α-Amylase Inhibition | α-Glucosidase Inhibition | |||||
| Undiluted | 1:2 diluted | 1:5 diluted | Undiluted | 1:2 diluted | 1:5 diluted | |||
| 72 | Emmer | Unfermented | 86.8 ± 2.3ab | 72.1 ± 1.7abcde | 54.5 ± 6.2cdefg | 49.3 ± 0.5bcd | 36.9 ± 0.5a | 22.4 ± 0.5a |
| Fermented/adjusted pH | 9.6 ± 0.9h | 1.8 ± 0.7j | 0.2 ± 0.2k | 16.3 ± 0.6jkl | 9.4 ± 0.5ij | 5.1 ± 0.5jklmn | ||
| Fermented/unadjusted pH | 91.8 ± 0.8a | 82.8 ± 0.6abc | 2.6 ± 0.6k | 64.5 ± 1.1a | 34.9 ± 0.6a | 13.8 ± 0.9cdef | ||
| Barlow | Unfermented | 78.1 ± 1.7bc | 70.7 ± 9.6abcde | 66.4 ± 3.4abcde | 41.6 ± 0.9def | 28.4 ± 0.9bcd | 15.4 ± 0.5cd | |
| Fermented/adjusted pH | 49.2 ± 1.7f | 34.4 ± 2.3hi | 21.6 ± 1.1j | 11.5 ± 0.7kl | 5.8 ± 0.7jk | 2.9 ± 0.6lmn | ||
| Fermented/unadjusted pH | 91.5 ± 1.1a | 75.5 ± 1.3abcde | 40.0 ± 1.4ghi | 58.2 ± 0.9ab | 27.7 ± 1.1bcd | 9.2 ± 1.1ghij | ||
| Acarbose control | 10 mg/mL | 89 | 63 |
| Time Point (Hours) | Sample Extract a | 0 Hour b | 6 Hour b | 12 Hour b | 24 Hour b | 48 Hour b | |
|---|---|---|---|---|---|---|---|
| 0 | Assay control | 4.9 ± 0.3 | 4.7 ± 1.6 | 8.1 ± 0.2 | 9.5 ± 0.0 | 9.5 ± 0.2 | |
| Emmer | Unfermented | 5.1 ± 0.2 | 6.3 ± 0.2 | 8.5 ± 0.0 | 9.5 ± 0.0 | 9.4 ± 0.1 | |
| Fermented/adjusted pH | 5.4 ± 0.1 | 4.7 ± 1.6 | 8.4 ± 0.1 | 9.2 ± 0.1 | 9.2 ± 0.2 | ||
| Fermented/unadjusted pH | 5.4 ± 0.1 | 5.9 ± 0.3 | 8.4 ± 0.1 | 9.2 ± 0.2 | 9.6 ± 0.1 | ||
| Barlow | Unfermented | 4.9 ± 0.3 | 6.5 ± 0.1 | 8.2 ± 0.1 | 9.5 ± 0.0 | 9.6 ± 0.0 | |
| Fermented/adjusted pH | 5.3 ± 0.2 | 6.0 ± 0.2 | 8.2 ± 0.2 | 9.4 ± 0.1 | 9.3 ± 0.3 | ||
| Fermented/unadjusted pH | 5.4 ± 0.1 | 4.4 ± 1.5 | 8.3 ± 0.1 | 9.4 ± 0.1 | 9.4 ± 0.1 | ||
| 24 | Assay control | 5.1 ± 0.3 | 6.5 ± 0.1 | 8.3 ± 0.0 | 9.0 ± 0.1 | 9.1 ± 0.1 | |
| Emmer | Unfermented | 5.5 ± 0.0 | 6.6 ± 0.1 | 8.3 ± 0.1 | 9.2 ± 0.1 | 9.0 ± 0.1 | |
| Time Point (Hours) | Sample Extract a | 0 hour b | 6 hour b | 12 hour b | 24 hour b | 48 hour b | |
| Fermented/adjusted pH | 5.5 ± 0.1 | 6.8 ± 0.1 | 8.2 ± 0.1 | 8.9 ± 0.0 | 9.1 ± 0.2 | ||
| Fermented/unadjusted pH | 5.6 ± 0.1 | 6.6 ± 0.1 | 8.2 ± 0.1 | 9.2 ± 0.2 | 8.9 ± 0.4 | ||
| Barlow | Unfermented | 5.5 ± 0.1 | 6.5 ± 0.2 | 8.4 ± 0.1 | 9.1 ± 0.1 | 8.9 ± 0.1 | |
| Fermented/adjusted pH | 5.5 ± 0.1 | 6.4 ± 0.2 | 8.3 ± 0.1 | 9.4 ± 0.1 | 9.2 ± 0.1 | ||
| Fermented/unadjusted pH | 5.5 ± 0.1 | 6.3 ± 0.2 | 8.3 ± 0.1 | 9.2 ± 0.1 | 9.6 ± 0.0 | ||
| 48 | Assay control | 5.5 ± 0.1 | 6.5 ± 0.1 | 8.3 ± 0.1 | 9.2 ± 0.1 | 9.2 ± 0.2 | |
| Emmer | Unfermented | 5.1 ± 0.1 | 5.9 ± 0.1 | 8.1 ± 0.3 | 9.4 ± 0.1 | 9.3 ± 0.0 | |
| Fermented/adjusted pH | 5.4 ± 0.1 | 5.9 ± 0.4 | 7.9 ± 0.4 | 9.4 ± 0.1 | 9.4 ± 0.1 | ||
| Fermented/unadjusted pH | 5.2 ± 0.2 | 4.8 ± 1.6 | 8.4 ± 0.1 | 9.3 ± 0.2 | 9.0 ± 0.3 | ||
| Barlow | Unfermented | 5.4 ± 0.1 | 6.6 ± 0.1 | 8.4 ±0.0 | 9.3 ± 0.2 | 9.4 ± 0.1 | |
| Time Point (Hours) | Sample Extract a | 0 hour b | 6 hour b | 12 hour b | 24 hour b | 48 hour b | |
| Fermented/adjusted pH | 5.5 ± 0.1 | 4.8 ± 1.6 | 8.3 ± 0.1 | 9.2 ± 0.1 | 9.3 ± 0.1 | ||
| Fermented/unadjusted pH | 5.5 ± 0.1 | 6.4 ± 0.1 | 8.5 ± 0.1 | 9.1 ± 0.2 | 9.3 ± 0.1 | ||
| 72 | Assay control | 5.1 ± 0.2 | 6.1 ± 0.2 | 7.7 ± 0.5 | 9.3 ± 0.1 | 9.5 ± 0.1 | |
| Emmer | Unfermented | 5.4 ± 0.1 | 6.0 ± 0.3 | 8.0 ± 0.4 | 9.4 ± 0.1 | 9.5 ± 0.1 | |
| Fermented/adjusted pH | 5.5 ± 0.2 | 5.9 ± 0.2 | 8.4 ± 0.2 | 9.3 ± 0.1 | 9.5 ± 0.2 | ||
| Fermented/unadjusted pH | 5.5 ± 0.1 | 6.6 ± 0.0 | 8.4 ± 0.1 | 9.3 ± 0.1 | 9.5 ± 0.2 | ||
| Barlow | Unfermented | 5.5 ± 0.1 | 6.4 ± 0.2 | 8.2 ± 0.2 | 9.3 ± 0.1 | 9.2 ± 0.2 | |
| Fermented/adjusted pH | 5.3 ± 0.2 | 4.5 ± 1.6 | 8.3 ± 0.1 | 9.3 ± 0.1 | 9.4 ± 0.2 | ||
| Fermented/unadjusted pH | 5.3 ± 0.1 | 6.4 ± 0.1 | 8.2 ± 0.2 | 9.3 ± 0.1 | 9.3 ± 0.2 |
Publisher’s Note: MDPI stays neutral with regard to jurisdictional claims in published maps and institutional affiliations. |
© 2021 by the authors. Licensee MDPI, Basel, Switzerland. This article is an open access article distributed under the terms and conditions of the Creative Commons Attribution (CC BY) license (https://creativecommons.org/licenses/by/4.0/).
Share and Cite
Christopher, A.; Sarkar, D.; Shetty, K. Improving Phenolic-Linked Antioxidant, Antihyperglycemic and Antibacterial Properties of Emmer and Conventional Wheat Using Beneficial Lactic Acid Bacteria. Appl. Microbiol. 2021, 1, 270-288. https://doi.org/10.3390/applmicrobiol1020020
Christopher A, Sarkar D, Shetty K. Improving Phenolic-Linked Antioxidant, Antihyperglycemic and Antibacterial Properties of Emmer and Conventional Wheat Using Beneficial Lactic Acid Bacteria. Applied Microbiology. 2021; 1(2):270-288. https://doi.org/10.3390/applmicrobiol1020020
Chicago/Turabian StyleChristopher, Ashish, Dipayan Sarkar, and Kalidas Shetty. 2021. "Improving Phenolic-Linked Antioxidant, Antihyperglycemic and Antibacterial Properties of Emmer and Conventional Wheat Using Beneficial Lactic Acid Bacteria" Applied Microbiology 1, no. 2: 270-288. https://doi.org/10.3390/applmicrobiol1020020
APA StyleChristopher, A., Sarkar, D., & Shetty, K. (2021). Improving Phenolic-Linked Antioxidant, Antihyperglycemic and Antibacterial Properties of Emmer and Conventional Wheat Using Beneficial Lactic Acid Bacteria. Applied Microbiology, 1(2), 270-288. https://doi.org/10.3390/applmicrobiol1020020

