A Comparison Between the Use of an Infrared Contact Mat and an IMU During Kinematic Analysis of Horizontal Jumps
Abstract
1. Introduction
2. Materials and Methods
2.1. Participants
2.2. Procedure
2.3. Measurements
2.4. Statistical Analysis
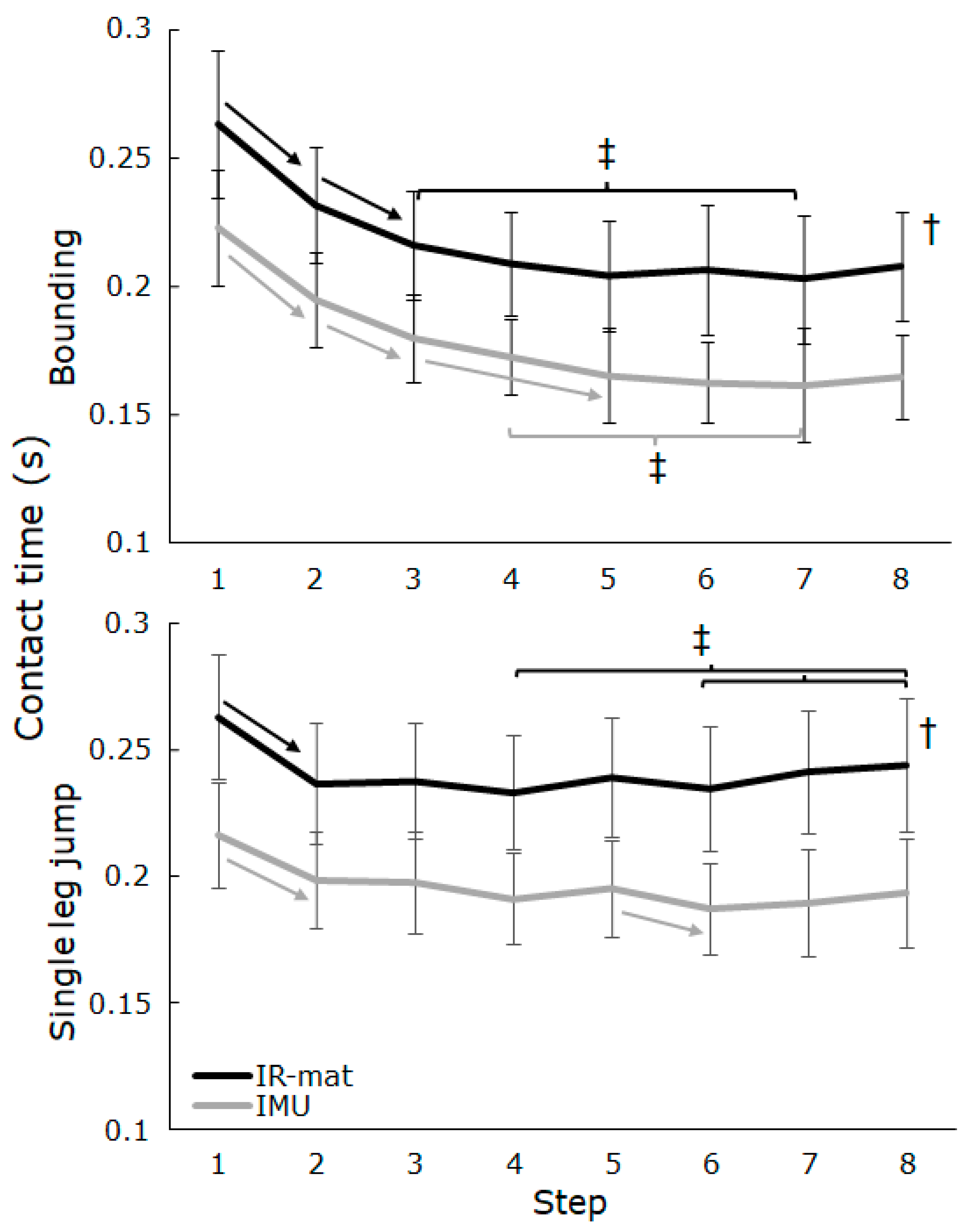
3. Results
4. Discussion
Limitations and Future Studies
5. Conclusions
Author Contributions
Funding
Institutional Review Board Statement
Informed Consent Statement
Data Availability Statement
Conflicts of Interest
References
- Montoro-Bombú, R.; Miranda-Oliveira, P.; Valamatos, M.J.; João, F.; Buurke, T.J.; Santos, A.C.; Rama, L. Spatiotemporal variables comparison between drop jump and horizontal drop jump in elite jumpers and sprinters. PeerJ 2024, 12, e17026. [Google Scholar] [CrossRef]
- Wang, Y.; Mei, Q.; Jiang, H.; Hollander, K.; Van den Berghe, P.; Fernandez, J.; Gu, Y. The Biomechanical Influence of Step Width on Typical Locomotor Activities: A Systematic Review. Sports Med. Open 2024, 10, 83. [Google Scholar] [CrossRef]
- Möhler, F.; Fadillioglu, C.; Stein, T. Fatigue-related changes in spatiotemporal parameters, joint kinematics and leg stiffness in expert runners during a middle-distance run. Front. Sports Act. Liv. 2021, 3, 634258. [Google Scholar] [CrossRef]
- Mero, A.; Komi, P.V. EMG, force, and power analysis of sprint-specific strength exercises. J. Appl. Biomech. 1994, 10, 1–13. [Google Scholar] [CrossRef]
- Bobbert, M.F. Why do people jump the way they do? Exerc. Sport Sci. Rev. 2001, 29, 95–102. [Google Scholar] [CrossRef] [PubMed]
- Luebbers, P.E.; Potteiger, J.A.; Hulver, M.W.; Thyfault, J.P.; Carper, M.J.; Lockwood, R.H. Effects of plyometric training and recovery on vertical jump performance and anaerobic power. J. Strength Cond. Res. 2003, 17, 704–709. [Google Scholar] [PubMed]
- Mero, A.; Komi, P.V. Effects of supramaximal velocity on biomechanical variables in sprinting. J. Appl. Biomech. 1985, 1, 240–252. [Google Scholar] [CrossRef]
- Miyashiro, K.; Nagahara, R.; Yamamoto, K.; Nishijima, T. Kinematics of maximal speed sprinting with different running speed, leg length, and step characteristics. Front. Sports Act. Liv. 2019, 1, 37. [Google Scholar] [CrossRef]
- Ettema, G.; McGhie, D.; Danielsen, J.; Sandbakk, Ø.; Haugen, T. On the existence of step-to-step breakpoint transitions in accelerated sprinting. PLoS ONE 2016, 11, e0159701. [Google Scholar] [CrossRef] [PubMed]
- van den Tillaar, R. Comparison of development of step-kinematics of assisted 60 m sprints with different pulling forces between experienced male and female sprinters. PLoS ONE 2021, 16, e0255302. [Google Scholar] [CrossRef] [PubMed]
- Blauberger, P.; Horsch, A.; Lames, M. Detection of ground contact times with inertial sensors in elite 100-m sprints under competitive field conditions. Sensors 2021, 21, 7331. [Google Scholar] [CrossRef] [PubMed]
- Schmidt, M.; Rheinländer, C.; Nolte, K.F.; Wille, S.; Wehn, N.; Jaitner, T. IMU-based determination of stance duration during sprinting. Proc. Engin. 2016, 147, 747–752. [Google Scholar] [CrossRef]
- Zeng, Z.; Liu, Y.; Hu, X.; Tang, M.; Wang, L. Validity and reliability of inertial measurement units on lower extremity kinematics during running: A systematic review and meta-analysis. Sports Med. Open 2022, 8, 86. [Google Scholar] [CrossRef]
- van den Tillaar, R. Comparison of step-by-step kinematics of elite sprinters’ unresisted and resisted 10-m sprints measured with Optojump or Musclelab. J. Strength Cond. Res. 2021, 35, 1419–1424. [Google Scholar] [CrossRef]
- Healy, R.; Kenny, I.C.; Harrison, A.J. Assessing reactive strength measures in jumping and hopping using the Optojump™ system. J. Hum. Kinet. 2016, 54, 23. [Google Scholar] [CrossRef] [PubMed]
- van den Tillaar, R.; Nagahara, R.; Gleadhill, S.; Jiménez-Reyes, P. Step-to-step kinematic validation between an Inertial Measurement Unit (IMU) 3D system, a combined Laser+IMU system and force plates during a 50 M sprint in a cohort of sprinters. Sensors 2021, 21, 6560. [Google Scholar] [CrossRef] [PubMed]
- García-Pinillos, F.; Jaén-Carrillo, D.; Hermoso, V.S.; Román, P.L.; Delgado, P.; Martinez, C.; Carton, A.; Seruendo, L.R. Agreement Between Spatiotemporal Gait Parameters Measured by a Markerless Motion Capture System and Two Reference Systems—A Treadmill-Based Photoelectric Cell and High-Speed Video Analyses: Comparative Study. JMIR mHealth uHealth 2020, 8, e19498. [Google Scholar] [CrossRef] [PubMed]
- Ding, Y.; Xiong, Z.; Li, W.; Cao, Z.; Wang, Z. Pedestrian navigation system with trinal-IMUs for drastic motions. Sensors 2020, 20, 5570. [Google Scholar] [CrossRef] [PubMed]
- de Ruiter, C.J.; van Dieën, J.H. Stride and step length obtained with inertial measurement units during maximal sprint acceleration. Sports 2019, 7, 202. [Google Scholar] [CrossRef]
- Weyand, P.G.; Sternlight, D.B.; Bellizzi, M.J.; Wright, S. Faster top running speeds are achieved with greater ground forces not more rapid leg movements. J. Appl Physiol. 2000, 89, 1991–1999. [Google Scholar] [CrossRef] [PubMed]
- Swearingen, J.; Lawrence, E.; Stevens, J.; Jackson, C.; Waggy, C.; Davis, D.S. Correlation of single leg vertical jump, single leg hop for distance, and single leg hop for time. Phys. Ther. Sport 2011, 12, 194–198. [Google Scholar] [CrossRef] [PubMed]
- FIFA. FIFA 11+ Manual. Available online: https://docslib.org/doc/876010/fifa-11-manual-pdf (accessed on 11 July 2024).
- Kariyama, Y.; Hobara, H.; Zushi, K. The effect of increasing jump steps on stance leg joint kinetics in bounding. Int. J. Sports Med. 2018, 39, 661–667. [Google Scholar] [CrossRef] [PubMed]
- Kariyama, Y.; Hobara, H.; Zushi, K. Differences in take-off leg kinetics between horizontal and vertical single-leg rebound jumps. Sports Biomech. 2017, 16, 187–200. [Google Scholar] [CrossRef] [PubMed]
- Cohen, J. Statistical Power Analysis for the Behavioral Sciences; Lawrence Erlbaum Associates: Hillsdale, NJ, USA, 1988; p. 174. [Google Scholar]



Disclaimer/Publisher’s Note: The statements, opinions and data contained in all publications are solely those of the individual author(s) and contributor(s) and not of MDPI and/or the editor(s). MDPI and/or the editor(s) disclaim responsibility for any injury to people or property resulting from any ideas, methods, instructions or products referred to in the content. |
© 2025 by the authors. Licensee MDPI, Basel, Switzerland. This article is an open access article distributed under the terms and conditions of the Creative Commons Attribution (CC BY) license (https://creativecommons.org/licenses/by/4.0/).
Share and Cite
Johansen, B.; Neville, J.; van den Tillaar, R. A Comparison Between the Use of an Infrared Contact Mat and an IMU During Kinematic Analysis of Horizontal Jumps. Biomechanics 2025, 5, 14. https://doi.org/10.3390/biomechanics5010014
Johansen B, Neville J, van den Tillaar R. A Comparison Between the Use of an Infrared Contact Mat and an IMU During Kinematic Analysis of Horizontal Jumps. Biomechanics. 2025; 5(1):14. https://doi.org/10.3390/biomechanics5010014
Chicago/Turabian StyleJohansen, Bjørn, Jono Neville, and Roland van den Tillaar. 2025. "A Comparison Between the Use of an Infrared Contact Mat and an IMU During Kinematic Analysis of Horizontal Jumps" Biomechanics 5, no. 1: 14. https://doi.org/10.3390/biomechanics5010014
APA StyleJohansen, B., Neville, J., & van den Tillaar, R. (2025). A Comparison Between the Use of an Infrared Contact Mat and an IMU During Kinematic Analysis of Horizontal Jumps. Biomechanics, 5(1), 14. https://doi.org/10.3390/biomechanics5010014

