A Photoswitchable Chalcone-Carbohydrate Conjugate Obtained by CuAAC Click Reaction
Abstract
:1. Introduction
2. Materials and Methods
2.1. General
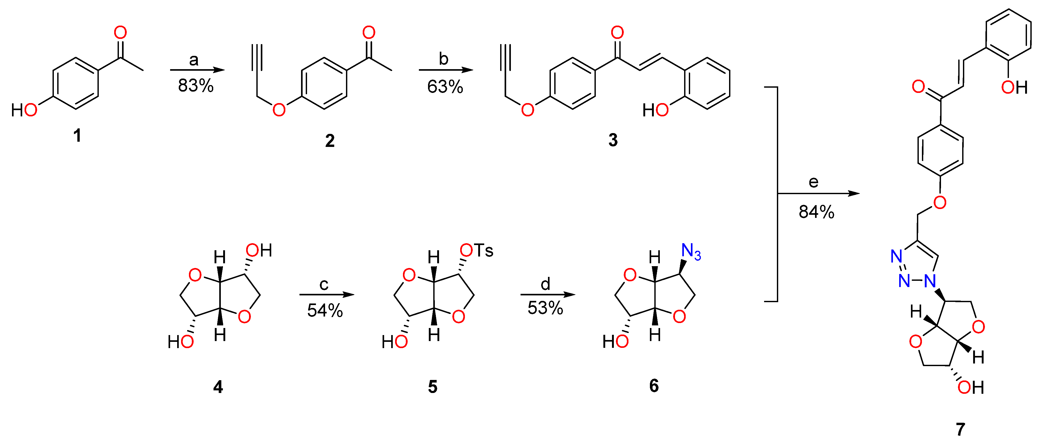
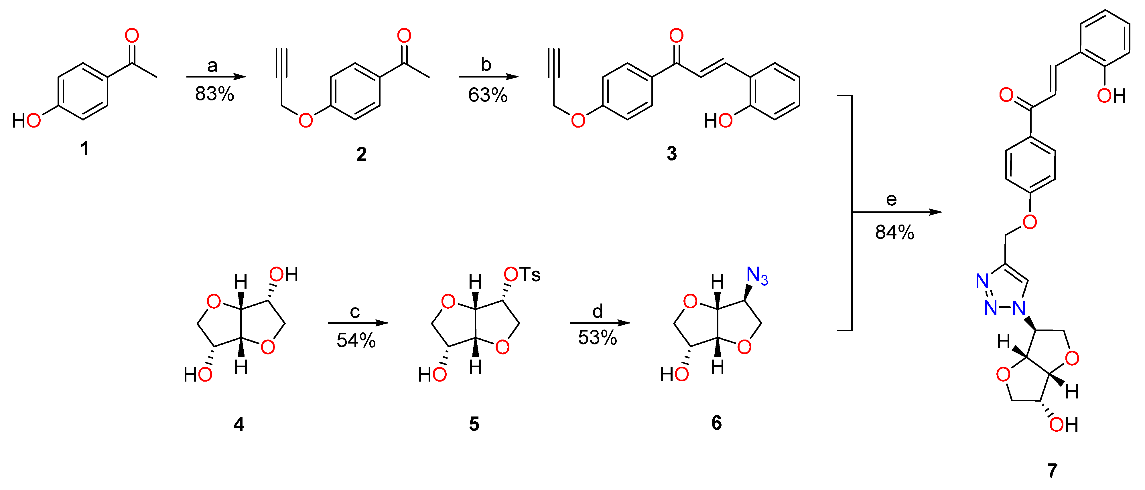
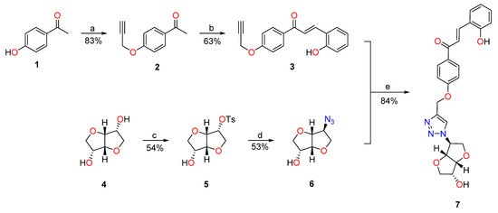
2.2. Synthesis of -(4-(Prop-2-yn-1-yloxy)phenyl)ethan-1-one (2)
2.3. Synthesis of (E)-3-(2-Hydroxyphenyl)-1-(4-(prop-2-yn-1-yloxy)phenyl)prop-2-en-1-one (3)
2.4. Synthesis of (3R,3aS,6R,6aR)-6-Hydroxyhexahydrofuro[3,2-b]furan-3-yl 4-methylbenzenesulfonate (5)
2.5. Synthesis of (3R,3aR,6S,6aR)-6-Azidohexahydrofuro[3,2-b]furan-3-ol (6)
2.6. Synthesis of (E)-1-(4-((1-((3S,3aR,6R,6aR)-6-Hydroxyhexahydrofuro[3,2-b]furan-3-yl)-1H-1,2,3-triazol-4-yl)methoxy)phenyl)-3-(2-hydroxyphenyl)prop-2-en-1-one (7)
3. Results and Discussion
4. Conclusions
Supplementary Materials
Author Contributions
Funding
Institutional Review Board Statement
Informed Consent Statement
Data Availability Statement
Conflicts of Interest
References
- Cruz, L.; Basílio, N.; Mateus, N.; De Freitas, V.; Pina, F. Natural and Synthetic Flavylium-Based Dyes: The Chemistry Behind the Color. Chem. Rev. 2021, 122, 1416–1481. [Google Scholar] [CrossRef]
- Pina, F.; Melo, M.J.; Laia, C.A.; Parola, A.J.; Lima, J.C. Chemistry and applications of flavylium compounds: A handful of colours. Chem. Soc. Rev. 2012, 41, 869–908. [Google Scholar] [CrossRef]
- Yoshida, K.; Mori, M.; Kondo, T. Blue flower color development by anthocyanins: From chemical structure to cell physiology. Nat. Prod. Rep. 2009, 26, 884–915. [Google Scholar] [CrossRef]
- Dangles, O.; Fenger, J.A. The chemical reactivity of anthocyanins and its consequences in food science and nutrition. Molecules 2018, 23, 1970. [Google Scholar] [CrossRef] [PubMed] [Green Version]
- Silva, V.O.; Freitas, A.A.; Maçanita, A.L.; Quina, F.H. Chemistry and photochemistry of natural plant pigments: The anthocyanins. J. Phys. Org. Chem. 2016, 29, 594–599. [Google Scholar] [CrossRef]
- Pina, F.; Alejo-Armijo, A.; Clemente, A.; Mendoza, J.; Seco, A.; Basílio, N.; Parola, A.J. Evolution of Flavylium-Based Color Systems in Plants: What Physical Chemistry Can Tell Us. Int. J. Mol. Sci. 2021, 22, 3833. [Google Scholar] [CrossRef]
- Crnolatac, I.; Giestas, L.; Horvat, G.; Parola, A.J.; Piantanida, I. Flavylium Dye as pH-Tunable Fluorescent and CD Probe for Double-Stranded DNA and RNA. Chemosensors 2020, 8, 129. [Google Scholar] [CrossRef]
- Czerney, P.; Graneß, G.; Birckner, E.; Vollmer, F.; Rettig, W. Molecular engineering of cyanine-type fluorescent and laser dyes. J. Photochem. Photobiol. A Chem. 1995, 89, 31–36. [Google Scholar] [CrossRef]
- Costa, D.; Galvao, A.M.; Di Paolo, R.E.; Freitas, A.A.; Lima, J.C.; Quina, F.H.; Macanita, A.L. Photochemistry of the hemiketal form of anthocyanins and its potential role in plant protection from UV-B radiation. Tetrahedron 2015, 71, 3157–3162. [Google Scholar] [CrossRef]
- Matsushima, R.; Fujimoto, S.; Tokumura, K. Dual photochromic properties of 4-dialkylamino-2-hydroxychalcones. Bull. Chem. Soc. Jpn. 2001, 74, 827–832. [Google Scholar] [CrossRef]
- Alejo-Armijo, A.; Basílio, N.; Freitas, A.A.; Maçanita, A.L.; Lima, J.C.; Parola, A.J.; Pina, F. Ground and excited state properties of furanoflavylium derivatives. Phys. Chem. Chem. Phys. 2019, 21, 21651–21662. [Google Scholar] [CrossRef] [PubMed]
- Calogero, G.; Sinopoli, A.; Citro, I.; Di Marco, G.; Petrov, V.; Diniz, A.M.; Parola, A.J.; Pina, F. Synthetic analogues of anthocyanins as sensitizers for dye-sensitized solar cells. Photochem. Photobiol. Sci. 2013, 12, 883–894. [Google Scholar] [CrossRef] [PubMed]
- Pinto, A.L.; Oliveira, J.; Araujo, P.; Calogero, G.; de Freitas, V.; Pina, F.; Parola, A.J.; Lima, J.C. Study of the multi-equilibria of red wine colorants pyranoanthocyanins and evaluation of their potential in dye-sensitized solar cells. Sol. Energy 2019, 191, 100–108. [Google Scholar] [CrossRef]
- Lopes-Costa, T.; Basílio, N.; Pedrosa, J.M.; Pina, F. Photochromism of the natural dye 7, 4′-dihydroxy-5-methoxyflavylium (dracoflavylium) in the presence of (2-hydroxypropyl)-β-cyclodextrin. Photochem. Photobiol. Sci. 2014, 13, 1420–1426. [Google Scholar] [CrossRef] [PubMed]
- Czerney, P.; Grummt, U.-W. New near infrared absorbing acidochromic dyes and their application in sensor techniques. Sens. Actuators B Chem. 1997, 39, 395–400. [Google Scholar] [CrossRef]
- Ferreira da Silva, P.; Lima, J.C.; Quina, F.H.; Maçanita, A.L. Excited-state electron transfer in anthocyanins and related flavylium salts. J. Phys. Chem. A 2004, 108, 10133–10140. [Google Scholar] [CrossRef]
- Cosco, E.D.; Arús, B.A.; Spearman, A.L.; Atallah, T.L.; Lim, I.; Leland, O.S.; Caram, J.R.; Bischof, T.S.; Bruns, O.T.; Sletten, E.M. Bright chromenylium polymethine dyes enable fast, four-color in vivo imaging with shortwave infrared detection. J. Am. Chem. Soc. 2021, 143, 6836–6846. [Google Scholar] [CrossRef]
- Cosco, E.D.; Spearman, A.L.; Ramakrishnan, S.; Lingg, J.G.P.; Saccomano, M.; Pengshung, M.; Arús, B.A.; Wong, K.C.Y.; Glasl, S.; Ntziachristos, V.; et al. Shortwave infrared polymethine fluorophores matched to excitation lasers enable non-invasive, multicolour in vivo imaging in real time. Nat. Chem. 2020, 12, 1123–1130. [Google Scholar] [CrossRef]
- Galindo, F.; Lima, J.C.; Luis, S.V.; Parola, A.J.; Pina, F. Write-Read-Erase Molecular-Switching System Trapped in a Polymer Hydrogel Matrix. Adv. Funct. Mater. 2005, 15, 541–545. [Google Scholar] [CrossRef]
- Figueiredo, P.; Lima, J.C.; Santos, H.; Wigand, M.C.; Brouillard, R.; Macanita, A.L.; Pina, F. Photochromism of the synthetic 4′, 7-dihydroxyflavylium chloride. J. Am. Chem. Soc. 1994, 116, 1249–1254. [Google Scholar] [CrossRef] [Green Version]
- Pina, F.; Melo, M.J.; Parola, A.J.; Maestri, M.; Balzani, V. pH-Controlled Photochromism of Hydroxyflavylium Ions. Chem. Eur. J. 1998, 4, 2001–2007. [Google Scholar] [CrossRef]
- Gago, S.; Basílio, N.; Moro, A.J.; Pina, F. Flavylium based dual photochromism: Addressing cis-trans isomerization and ring opening-closure by different light inputs. Chem. Commun. 2015, 51, 7349–7351. [Google Scholar] [CrossRef] [PubMed]
- Mendoza, J.; Basílio, N.; de Freitas, V.; Pina, F. New procedure to calculate all equilibrium constants in flavylium compounds: Application to the copigmentation of anthocyanins. ACS Omega 2019, 4, 12058–12070. [Google Scholar] [CrossRef] [PubMed] [Green Version]
- Pina, F.; Petrov, V.; Laia, C.A. Photochromism of flavylium systems. An overview of a versatile multistate system. Dye. Pigment. 2012, 92, 877–889. [Google Scholar] [CrossRef]
- Pina, F.; Roque, A.; Melo, M.J.; Maestri, M.; Belladelli, L.; Balzani, V. Multistate/multifunctional molecular-level systems: Light and pH switching between the various forms of a synthetic flavylium salt. Chem. Eur. J. 1998, 4, 1184–1191. [Google Scholar] [CrossRef]
- Basílio, N.; Cruz, L.; De Freitas, V.; Pina, F. A Multistate Molecular Switch Based on the 6,8-Rearrangement in Bromo-apigeninidin Operated with pH and Host-Guest Inputs. J. Phys. Chem. B 2016, 120, 7053–7061. [Google Scholar] [CrossRef]
- Castet, F.; Champagne, B.; Pina, F.; Rodriguez, V. A Multistate pH-Triggered Nonlinear Optical Switch. ChemPhysChem 2014, 15, 2221–2224. [Google Scholar] [CrossRef]
- Pina, F.; Melo, M.J.; Maestri, M.; Ballardini, R.; Balzani, V. Photochromism of 4′-Methoxyflavylium Perchlorate. A “Write-Lock-Read-Unlock-Erase” Molecular Switching System. J. Am. Chem. Soc. 1997, 119, 5556–5561. [Google Scholar] [CrossRef]
- Pina, F.; Melo, M.J.; Maestri, M.; Passaniti, P.; Balzani, V. Artificial chemical systems capable of mimicking some elementary properties of neurons. J. Am. Chem. Soc. 2000, 122, 4496–4498. [Google Scholar] [CrossRef]
- Seco, A.; Yu, S.; Tron, A.; McClenaghan, N.D.; Pina, F.; Jorge Parola, A.; Basílio, N. Light-and pH-regulated Water-soluble Pseudorotaxanes Comprising a Cucurbit [7] uril and a Flavylium-based Axle. Chem. Eur. J. 2021, 27, 16512–16522. [Google Scholar] [CrossRef]
- Seco, A.; Diniz, A.M.; Sarrato, J.; Mourão, H.; Cruz, H.; Parola, A.J.; Basílio, N. A pseudorotaxane formed from a cucurbit[7] uril wheel and a bioinspired molecular axle with pH, light and redox-responsive properties. Pure Appl. Chem. 2020, 92, 301–313. [Google Scholar] [CrossRef]
- Romero, M.A.; Mateus, P.; Matos, B.; Acuña, A.; García-Río, L.; Arteaga, J.F.; Pischel, U.; Basílio, N. Binding of flavylium ions to sulfonatocalix [4] arene and implication in the photorelease of biologically relevant guests in water. J. Org. Chem. 2019, 84, 10852–10859. [Google Scholar] [CrossRef] [PubMed]
- Zubillaga, A.; Ferreira, P.; Parola, A.J.; Gago, S.; Basílio, N. pH-Gated photoresponsive shuttling in a water-soluble pseudorotaxane. Chem. Commun. 2018, 54, 2743–2746. [Google Scholar] [CrossRef] [PubMed]
- Basílio, N.; Pischel, U. Drug delivery by controlling a supramolecular host–guest assembly with a reversible photoswitch. Chem. Eur. J. 2016, 22, 15208–15211. [Google Scholar] [CrossRef]
- Romero, M.A.; Fernandes, R.J.; Moro, A.J.; Basílio, N.; Pischel, U. Light-induced cargo release from a cucurbit[8]uril host by means of a sequential logic operation. Chem. Commun. 2018, 54, 13335–13338. [Google Scholar] [CrossRef]
- Al Bittar, S.; Mora, N.; Loonis, M.; Dangles, O. A simple synthesis of 3-deoxyanthocyanidins and their O-glucosides. Tetrahedron 2016, 72, 4294–4302. [Google Scholar] [CrossRef]
- Mora-Soumille, N.; Al Bittar, S.; Rosa, M.; Dangles, O. Analogs of anthocyanins with a 3′, 4′-dihydroxy substitution: Synthesis and investigation of their acid-base, hydration, metal binding and hydrogen-donating properties in aqueous solution. Dye. Pigment. 2013, 96, 7–15. [Google Scholar] [CrossRef]
- Katritzky, A.R.; Czerney, P.; Levell, J.R. Benzotriazole-mediated conversions of para-H-substituted pyrylium, benzo [b] pyrylium, and xanthylium salts into para-position functionalized derivatives (an indirect electrophilic substitution of electron-deficient heteroaromatics). J. Org. Chem. 1997, 62, 8198–8200. [Google Scholar] [CrossRef]
- Katritzky, A.R.; Czerney, P.; Levell, J.R.; Du, W. Molecular engineering of benzo [b] pyrylium salts by indirect electrophilic substitution. Eur. J. Org. Chem. 1998, 1998, 2623–2629. [Google Scholar] [CrossRef]
- Chassaing, S.; Kueny-Stotz, M.; Isorez, G.; Brouillard, R. Rapid preparation of 3-deoxyanthocyanidins and novel dicationic derivatives: New insight into an old procedure. Eur. J. Org. Chem. 2007, 2007, 2438–2448. [Google Scholar] [CrossRef]
- Basílio, N.; Garnier, T.; Avó, J.; Danel, M.; Chassaing, S.; Pina, F. Synthesis and multistate characterization of bis-flavylium dications–symmetric resorcinol-and phloroglucinol-type derivatives as stochastic systems. RSC Adv. 2016, 6, 69698–69707. [Google Scholar] [CrossRef]
- Cruz, L.; Guimarães, M.; Araujo, P.; Evora, A.; de Freitas, V.; Mateus, N. Malvidin 3-glucoside–fatty acid conjugates: From hydrophilic toward novel lipophilic derivatives. J. Agric. Food Chem. 2017, 65, 6513–6518. [Google Scholar] [CrossRef]
- Hatchard, C.G.; Parker, C.A. A new sensitive chemical actinometer-II. Potassium ferrioxalate as a standard chemical actinometer. Proc. R. Soc. A Math. Phys. Eng. Sci. 1956, 235, 518–536. [Google Scholar]
- Hans, R.H.; Guantai, E.M.; Lategan, C.; Smith, P.J.; Wan, B.; Franzblau, S.G.; Gut, J.; Rosenthal, P.J.; Chibale, K. Synthesis, antimalarial and antitubercular activity of acetylenic chalcones. Bioorg. Med. Chem. Lett. 2010, 20, 942–944. [Google Scholar] [CrossRef] [PubMed]
- Kumar, S.; Ramachandran, U. The synthesis and applications of asymmetric phase-transfer catalysts derived from isomannide and isosorbide. Tetrahedron 2005, 61, 4141–4148. [Google Scholar] [CrossRef]
- Bhagat, S.; Sharma, R.; Sawant, D.M.; Sharma, L.; Chakraborti, A.K. LiOH·H2O as a novel dual activation catalyst for highly efficient and easy synthesis of 1, 3-diaryl-2-propenones by Claisen–Schmidt condensation under mild conditions. J. Mol. Catal. A Chem. 2006, 244, 20–24. [Google Scholar] [CrossRef]
- Worrell, B.T.; Malik, J.A.; Fokin, V.V. Direct evidence of a dinuclear copper intermediate in Cu(I)-catalyzed azide-alkyne cycloadditions. Science 2013, 340, 457–460. [Google Scholar] [CrossRef] [Green Version]
- Rodionov, V.O.; Fokin, V.V.; Finn, M.G. Mechanism of the ligand-free CuI-catalyzed azide-alkyne cycloaddition reaction. Angew. Chem. Int. Ed. 2005, 44, 2210–2215. [Google Scholar] [CrossRef]
- Anastácio, R.; Seco, A.; Mateus, P.; Parola, A.J.; Basílio, N. Exploring the pH-dependent kinetics, thermodynamics and photochemistry of a flavylium-based pseudorotaxane. Pure Appl. Chem. 2021, 93, 1313–1325. [Google Scholar] [CrossRef]






Publisher’s Note: MDPI stays neutral with regard to jurisdictional claims in published maps and institutional affiliations. |
© 2022 by the authors. Licensee MDPI, Basel, Switzerland. This article is an open access article distributed under the terms and conditions of the Creative Commons Attribution (CC BY) license (https://creativecommons.org/licenses/by/4.0/).
Share and Cite
Paulino, M.; Pereira, M.M.A.; Basílio, N. A Photoswitchable Chalcone-Carbohydrate Conjugate Obtained by CuAAC Click Reaction. Compounds 2022, 2, 111-120. https://doi.org/10.3390/compounds2020008
Paulino M, Pereira MMA, Basílio N. A Photoswitchable Chalcone-Carbohydrate Conjugate Obtained by CuAAC Click Reaction. Compounds. 2022; 2(2):111-120. https://doi.org/10.3390/compounds2020008
Chicago/Turabian StylePaulino, Micael, Maria Manuela A. Pereira, and Nuno Basílio. 2022. "A Photoswitchable Chalcone-Carbohydrate Conjugate Obtained by CuAAC Click Reaction" Compounds 2, no. 2: 111-120. https://doi.org/10.3390/compounds2020008
APA StylePaulino, M., Pereira, M. M. A., & Basílio, N. (2022). A Photoswitchable Chalcone-Carbohydrate Conjugate Obtained by CuAAC Click Reaction. Compounds, 2(2), 111-120. https://doi.org/10.3390/compounds2020008

