Of Whales and Genes: Unraveling the Physiological Response to Stressors in Belugas (Delphinapterus leucas) at the Molecular Level
Abstract
1. Introduction
2. Materials and Methods
2.1. Animals and Samples
2.2. RNA Extraction and qPCR Quantification
2.3. Hematology and Hormone Analysis
2.4. Analyses and Statistics
3. Results
3.1. Transport and Novel Environment (T/NEnv) Study
3.2. Out-of-Water Examination (OWE) Study
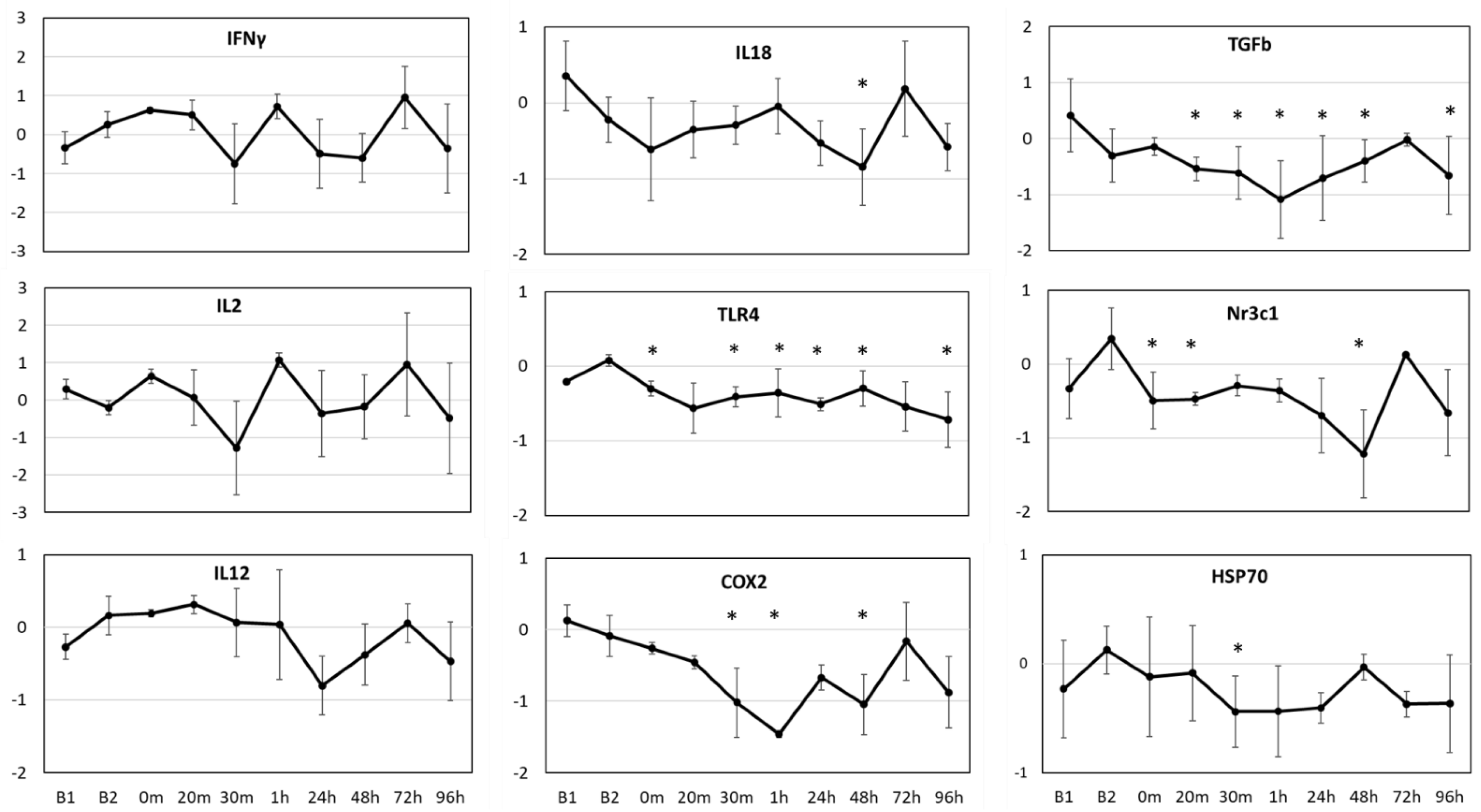
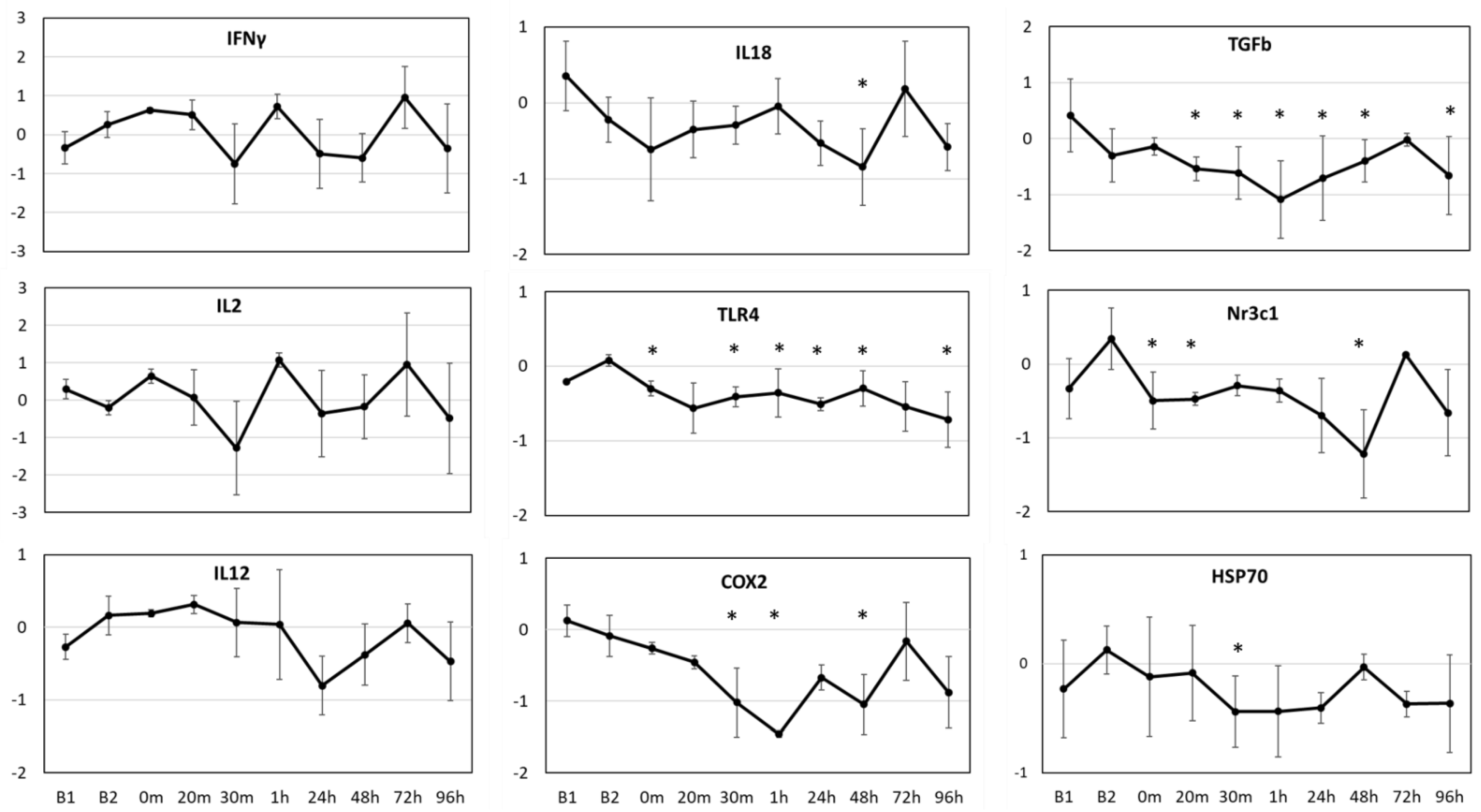
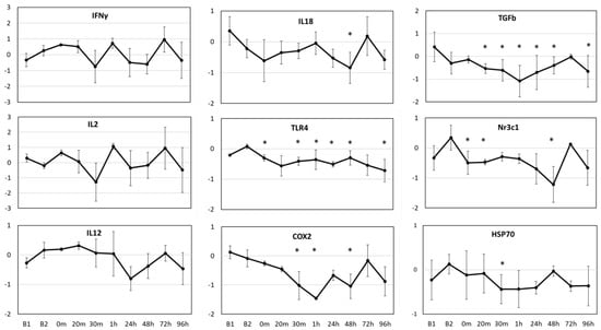
3.3. Wild Beluga Live Capture–Release (WLCR) Study
3.4. Relationships with Other Variables
4. Discussion
4.1. T/NEnv Event
4.2. OWE Event
4.3. WLCR Event
4.4. Relationship of Gene Expression with Hormones and Hematology
4.5. Limitations
5. Conclusions
Author Contributions
Funding
Institutional Review Board Statement
Informed Consent Statement
Data Availability Statement
Acknowledgments
Conflicts of Interest
Abbreviations
| EPI | Epinephrine |
| NE | Norepinephrine |
| CORT | Cortisol |
| ACTH | Adrenocorticotropic hormone |
| HPA | Hypothalamic–pituitary–adrenal |
| NEUT | Neutrophil absolute counts |
| LYMP | Lymphocyte absolute counts |
| MON | Monocyte absolute counts |
| EOS | Eosinophil absolute counts |
| OWE | Out of water examination |
| T/NEnv | Transport and Novel environment |
| Tr | Transport |
| Tr-1 | First whale transport |
| Tr-2 | Return transport of the whales |
| WLCR | Wild live capture-release |
| PCR | Polymerase chain reaction |
| qPCR | Quantitative polymerase chain reaction |
| mRNA | Messenger RNA |
| Cq | Cycle quantification (threshold) values for qPCR |
| ∆Cq | Delta Cq representing reference gene normalized values |
| MIQE | Minimum Information for Publication of Quantitative Real-Time PCR Experiments |
| CI | Confidence intervals |
| LMM | Linear Mixed Model |
| VIF | Variance Inflation Factor |
| MLE | Maximum Likelihood Estimation |
| IFNγ/IFNg | Interferon gamma |
| IL2 | Interleukin-2 |
| IL10 | Interleukin-10 |
| IL12 | Interleukin-12 |
| IL18 | Interleukin-18 |
| COX2 | Cyclooxygenase-2 |
| TGFβ/TGFb | Transforming growth factor beta |
| Nr3c1 | Glucocorticoid receptor |
| TLR4 | Toll-like receptor-4 |
| HSP70 | Heat shock protein 70 |
| GAPDH | Glyceraldehyde 3-phosphate dehydrogenase |
| RPS9 | Ribosomal protein S9 |
| Th1 | T-helper cell type I |
| Th2 | T-helper cell type II |
References
- De Guise, S.; Martineau, D.; Béland, P.; Fournier, M. Possible mechanisms of action of environmental contaminants on St. Lawrence beluga whales (Delphinapterus leucas). Environ. Health Perspect. 1995, 103 (Suppl. 4), 73–77. [Google Scholar] [CrossRef]
- De Guise, S.; Levin, M.; Cote, E.; Jasperse, L.; Hart, B.L.; Smith, C.; Venn-Watson, S.; Townsend, F.; Wells, R.; Balmer, B.; et al. Changes in immune functions in bottlenose dolphins in the northern Gulf of Mexico associated with the Deepwater Horizon oil spill. Endanger. Species Res. 2017, 33, 291–303. [Google Scholar] [CrossRef]
- Pillet, S.; Fournier, M.; Measures, L.N.; Bouquegneau, J.; Cyr, D.G. Presence and regulation of metallothioneins in peripheral blood leukocytes of grey seals. Toxicol. Appl. Pharm. 2002, 185, 207–217. [Google Scholar] [CrossRef] [PubMed]
- Fair, P.; Romano, T.; Schaefer, A.; Reif, J.; Bossart, G.; Houde, M.; Muir, D.; Adams, J.; Rice, C.; Hulsey, T.; et al. Associations between perfluoroalkyl compounds and immune and clinical chemistry parameters in highly exposed bottlenose dolphins (Tursiops truncatus). Environ. Toxicol. Chem. 2013, 32, 736–746. [Google Scholar] [CrossRef] [PubMed]
- Burek, K.A.; Gulland, F.M.D.; O’Hara, T.M. Effects of climate change in Arctic marine mammal health. Ecol. Appl. 2008, 18, S126–S134. [Google Scholar] [CrossRef]
- Bossart, G.D. Marine mammals as sentinel species for oceans and human health. Vet. Pathol. 2011, 48, 676–690. [Google Scholar] [CrossRef]
- Desforges, J.W.; Sonne, C.; Levin, M.; Siebert, U.; De Guise, S.; Dietz, R. Immunotoxic effects of environmental pollutants in marine mammals. Environ. Int. 2016, 86, 126–139. [Google Scholar] [CrossRef]
- Moore, S.E.; Huntington, H.P. Arctic marine mammals and climate change: Impacts and resilience. Ecol. Appl. 2008, 18, S157–S165. [Google Scholar] [CrossRef]
- Kovacs, K.; Lydersen, C.; Overland, J.; Moore, S. Impacts of changing sea-ice conditions on Arctic marine mammals. Mar. Biodivers. 2011, 41, 181–194. [Google Scholar] [CrossRef]
- Capellino, S.; Claus, M.; Watzl, C. Regulation of natural killer cell activity by glucocorticoids, serotonin, dopamine, and epinephrine. Cell Mol. Immunol. 2020, 17, 705–711. [Google Scholar] [CrossRef]
- Manley, K.; Han, W.; Zelin, G.; Lawrence, D.A. Crosstalk between the immune, endocrine, and nervous systems in immunotoxicology. Curr. Opin. Toxicol. 2018, 10, 37–45. [Google Scholar] [CrossRef]
- Fair, P.; Schaefer, A.M.; Romano, T.A.; Bossart, G.D.; Lamb, S.V.; Reif, J.S. Stress response of wild bottlenose dolphins (Tursiops truncatus) during capture-release health assessment studies. Gen. Comp. Endocrinol. 2014, 206, 203–212. [Google Scholar] [CrossRef]
- St. Aubin, D.J.; Forney, K.A.; Chivers, S.J.; Scott, M.D.; Danil, K.; Romano, T.A.; Wells, R.S.; Gulland, F.M.D. Hematological, serum, and plasma chemical constituents in pantropical spotted dolphins (Stenella attenuata) following chase, encirclement, and tagging. Mar. Mamm. Sci. 2013, 29, 14–35. [Google Scholar] [CrossRef]
- Unal, E.; Goertz, C.E.C.; Hobbs, R.C.; Suydam, R.; Romano, T. Investigation of molecular biomarkers as potential indicators of health in wild belugas (Delphinapterus leucas). Mar. Biol. 2018, 165, 182. [Google Scholar] [CrossRef]
- Romano, T.A.; Thompson, L.A.; Driscoll, M.V.; Unal, E.; Tuttle, A.D.; Sirpenski, G.; Mateleska, M.E.; Wolbrink, D. The role of aquaria in beluga research and conservation. Polar. Res. 2021. In press. [Google Scholar]
- Romano, T.A.; Keogh, M.J.; Schlundt, C.; Carder, D.; Finneran, J. Anthropogenic Sound and Marine Mammal Health: Measures of the Nervous and Immune Systems Before and After Intense Sound. Can. J. Fish. Aquat. Sci. 2004, 61, 1124–1134. [Google Scholar] [CrossRef]
- Schmitt, T.L.; St. Aubin, D.J.; Schaefer, A.M.; Dunn, J.L. Baseline, diurnal variations, and stress-induced changes of stress hormones in three captive beluga whales, Delphinapterus leucas. Mar. Mamm. Sci. 2010, 26, 635–647. [Google Scholar] [CrossRef]
- Spoon, T.R.; Romano, T.A. Neuroimmunological response of beluga whales (Delphinapterus leucas) to translocation and a novel social environment. Brain Behav. Immun. 2012, 26, 122–131. [Google Scholar] [CrossRef]
- Valones, M.A.A.; Guimarães, R.L.; Brandão, L.A.C.; de Souza, P.R.E.; de Albuquerque, A.T.C.; Crovela, S. Principles and applications of polymerase chain reaction in medical diagnostic fields: A review. Braz. J. Microbiol. 2009, 40, 1–11. [Google Scholar] [CrossRef]
- Burd, E.M. Validation of laboratory-developed molecular assays for infectious diseases. Clin. Microbiol. Rev. 2010, 23, 550–576. [Google Scholar] [CrossRef]
- Tsai, M.; Chen, I.; Wang, J.; Chou, S.; Li, T.; Leu, M.; Ho, H.; Yang, W.C. A probe-based qRT-PCR method to profile immunological gene expression in blood of captive beluga whales (Delphinapterus leucas). PeerJ 2017, 5, e3840. [Google Scholar] [CrossRef] [PubMed][Green Version]
- Norman, S.A.; Delaney, M.A.; Haman, K.H.; Thomas, A.C.; Godfroid, J.; Larsen, A.K.; Nymo, I.H.; Robbe-Austerman, S.; Quance, C.; Rhyan, J.C.; et al. Application of real-time quantitative PCR assays for detecting marine Brucella spp. in fish. J. Vet. Diagn. Investig. 2018, 30, 150–154. [Google Scholar] [CrossRef]
- Hofstetter, A.R.; Van Bonn, W.; Sacco, R.E. Immunomediator gene transcription profiling in beluga whale (Delphinapterus leucas) clinical cases. J. Zoo Wildl. Med. 2020, 51, 334–349. [Google Scholar] [CrossRef]
- Beineke, A.; Siebert, U.; Van Elk, N.; Baumgärtner, W. Development of a lymphocyte-transformation-assay for peripheral blood lymphocytes of the harbor porpoise and detection of cytokines using the reverse-transcription polymerase chain reaction. Vet. Immunol. Immunopathol. 2004, 98, 59–68. [Google Scholar] [CrossRef]
- Beineke, A.; Siebert, U.; Muller, G.; Baumgartner, W. Increased blood interleukin-10 mRNA levels in diseased free-ranging harbor porpoises (Phocoena phocoena). Vet. Immunol. Immunopathol. 2007, 115, 100–106. [Google Scholar] [CrossRef] [PubMed]
- Mancia, A.; Lundqvist, M.L.; Romano, T.A.; Peden-Adams, M.M.; Fair, P.A.; Kindy, M.S.; Ellis, B.C.; Gattoni-Celli, S.; McKillen, D.J.; Trent, H.F.; et al. A dolphin peripheral blood leukocyte cDNA microarray for studies of immune function and stress reactions. Dev. Comp. Immunol. 2007, 31, 520–529. [Google Scholar] [CrossRef]
- Mancia, A.; Warr, G.W.; Chapman, R.W. A transcriptomic analysis of the stress induced by capture-release health assessment studies in wild dolphins (Tursiops truncatus). Mol. Ecol. 2008, 17, 2581–2589. [Google Scholar] [CrossRef] [PubMed]
- Sitt, T.; Bowen, L.; Blanchard, M.T.; Smith, B.R.; Gershwin, L.J.; Byrne, B.A.; Stott, J.L. Quantitation of leukocyte gene expression in cetaceans. Dev. Comp. Immunol. 2008, 32, 1253–1259. [Google Scholar] [CrossRef]
- Sitt, T.; Bowen, L.; Blanchard, M.T.; Gershwin, L.J.; Byrne, B.A.; Dold, C.; McBain, J.; Stott, J.L. Cellular immune responses in cetaceans immunized with a porcine erysipelas vaccine. Vet. Immunol. Immunopathol. 2010, 137, 181–189. [Google Scholar] [CrossRef]
- Scheerlinck, J.Y.; Yen, H. Veterinary applications of cytokines. Vet. Immunol. Immunopathol. 2005, 108, 17–22. [Google Scholar] [CrossRef]
- Bashir, S.; Bashir, H.; Qadri, S. Heat shock and the heat shock proteins: An overview. Int. J. Med. Sci. Public Health 2013, 2, 489–494. [Google Scholar]
- Ierardi, J.L.; Mancia, A.; McMillan, J.; Lundqvist, M.L.; Romano, T.A.; Wise, J.P.; Warr, G.W.; Chapman, R.W. Sampling the skin transcriptome of the North Atlantic right whale. Comp. Biochem. Physiol. Part D Genom. Proteom. 2009, 4, 154–158. [Google Scholar] [CrossRef] [PubMed]
- Buckman, A.H.; Veldhoen, N.; Ellis, G.; Ford, J.K.; Helbing, C.C.; Ross, P.S. PCB-associated changes in mRNA expression in killer whales (Orcinus orca) from the NE Pacific Ocean. Environ. Sci. Technol. 2011, 45, 10194–10202. [Google Scholar] [CrossRef]
- Müller, S.; Lehnert, K.; Seibel, H.; Driver, J.; Ronnenberg, K.; Teilmann, J.; van Elk, C.; Kristensen, J.; Everaarts, E.; Siebert, U. Evaluation of immune and stress status in harbour porpoises (Phocoena phocoena): Can hormones and mRNA expression levels serve as indicators to assess stress? BMC Vet. Res. 2013, 9, 145. [Google Scholar] [CrossRef]
- Mancia, A.; Abelli, L.; Kucklick, J.R.; Rowles, T.K.; Wells, R.S.; Balmer, B.C.; Hohn, A.A.; Baatz, J.E.; Ryan, J.C. Microarray applications to understand the impact of exposure to environmental contaminants in wild dolphins (Tursiops truncatus). Mar. Genom. 2015, 19, 47–57. [Google Scholar] [CrossRef]
- Norman, S.A.; Goertz, C.E.; Burek, K.A.; Quakenbush, L.T.; Cornick, L.A.; Romano, T.A.; Spoon, T.; Miller, W.; Beckett, L.A.; Hobbs, R.C. Seasonal hematology and serum chemistry of wild beluga whales (Delphinapterus leucas) in Bristol Bay, Alaska, USA. J. Wildl. Dis. 2012, 48, 21–32. [Google Scholar] [CrossRef] [PubMed]
- Goertz, C.; Burek-Huntington, K.; Royer, K.; Quakenbush, L.; Clauss, T.; Hobbs, R.; Kellar, N. Comparing progesterone in blubber and serum to assess pregnancy in wild beluga whales (Delphinapterus leucas). Conserv. Physiol. 2019, 7, coz071. [Google Scholar] [CrossRef]
- Pfaffl, M.W. Chapter 3: Quantification strategies in real-time PCR. In A-Z of Quantitative PCR; Bustin, S.A., Ed.; IUL Biotechnology Series: La Jolla, CA, USA, 2004; pp. 87–112. [Google Scholar]
- Thompson, L.A.; Spoon, T.R.; Goertz, C.E.C.; Hobbs, R.C.; Romano, T.A. Blow collection as a non-invasive method for measuring cortisol in the beluga (Delphinapterus leucas). PLoS ONE 2014, 9, e114062. [Google Scholar] [CrossRef] [PubMed]
- Livak, K.J.; Schmittgen, T.D. Analysis of relative gene expression data using real-time quantitative PCR and the 2−ΔΔCT method. Methods 2001, 25, 402–408. [Google Scholar] [CrossRef]
- Schmittgen, T.D.; Livak, K.J. Analyzing real-time PCR data by the comparative C(T) method. Nat. Protoc. 2008, 3, 1101–1108. [Google Scholar] [CrossRef]
- Bustin, S.A.; Benes, V.; Garson, J.A.; Hellemans, J.; Huggett, J.; Kubista, M.; Mueller, R.; Nolan, T.; Pfaffl, M.W.; Shipley, G.L.; et al. The MIQE Guidelines: Minimum Information for Publication of Quantitative Real-Time PCR Experiments. Clin. Chem. 2009, 55, 611. [Google Scholar] [CrossRef] [PubMed]
- Ghasemi, A.; Zahediasl, S. Normality tests for statistical analysis: A guide for non-statisticians. Int. J. Endocrinol. Metab. 2012, 10, 486–489. [Google Scholar] [CrossRef] [PubMed]
- Akaike, H. A new look at the statistical model identification. IEEE Trans. Autom. Control 1974, 19, 716–723. [Google Scholar] [CrossRef]
- Sidak, Z. Rectangular confidence regions for the means of multivariate normal distributions. J. Am. Stat. Assoc. 1967, 62, 626–633. [Google Scholar] [CrossRef]
- Stratakis, C.A.; Chrousos, G.P. Neuroendocrinology and pathophysiology of the stress system. Ann. N. Y. Acad. Sci. 1995, 771, 1–18. [Google Scholar] [CrossRef]
- Romano, T.A.; Felten, S.Y.; Olschowka, J.A.; Felten, D.L. Noradrenergic and peptidergic innervation of lymphoid organs in the beluga, Delphinapterus leucas: An anatomical link between the nervous and immune systems. J. Morphol. 1994, 221, 243–259. [Google Scholar] [CrossRef] [PubMed]
- Romano, T.A.; Olschowka, J.A.; Felten, S.Y.; Quaranta, V.; Ridgway, S.H.; Felten, D.L. Immune response, stress, and environment: Implications for cetaceans. In Molecular and Cell Biology of Marine Mammals; Pfeiffer, C.J., Ed.; Krieger Publishing Company: Malabar, FL, USA, 2002; pp. 253–279. [Google Scholar]
- Elenkov, I.J.; Wilder, R.L.; Chrousos, G.P.; Vizi, E.S. The Sympathetic Nerve—An integrative interface between two supersystems: The brain and the immune system. Pharm. Rev. 2000, 52, 595. [Google Scholar]
- Elenkov, I.J.; Chrousos, G.P. Stress System—Organization, physiology and immunoregulation. Neuroimmunomodulation 2006, 13, 257–267. [Google Scholar] [CrossRef]
- Engelhard, G.H.; Brasseur, S.M.; Hall, A.J.; Burton, H.R.; Reijnders, P.J. Adrenocortical responsiveness in southern elephant seal mothers and pups during lactation and the effect of scientific handling. J. Comp. Physiol. B 2002, 172, 315–328. [Google Scholar] [CrossRef]
- Taub, D.D. Neuroendocrine interactions in the immune system. Cell Immunol. 2008, 252, 1–6. [Google Scholar] [CrossRef]
- Fair, P.A.; Schaefer, A.M.; Houser, D.S.; Bossart, G.D.; Romano, T.A.; Champagne, C.D.; Stott, J.L.; Rice, C.D.; White, N.; Reif, J.S. The environment as a driver of immune and endocrine responses in dolphins (Tursiops truncatus). PLoS ONE 2017, 12, e0176202. [Google Scholar] [CrossRef]
- Brattsand, R.; Linden, M. Cytokine modulation by glucocorticoids: Mechanisms and actions in cellular studies. Aliment. Pharm. 1996, 10 (Suppl. 2), 81–90. [Google Scholar] [CrossRef]
- Szelényi, J.; Vizi, E.S. The Catecholamine–Cytokine Balance. Ann. N. Y. Acad. Sci. 2007, 1113, 311–324. [Google Scholar] [CrossRef]
- Arango Duque, G.; Descoteaux, A. Macrophage cytokines: Involvement in immunity and infectious diseases. Front. Immunol. 2014, 5, 491. [Google Scholar] [CrossRef]
- Ellis, T.N.; Beaman, B.L. Interferon-gamma activation of polymorphonuclear neutrophil function. Immunology 2004, 112, 2–12. [Google Scholar] [CrossRef]
- Curtin, N.M.; Boyle, N.T.; Mills, K.H.G.; Connor, T.J. Psychological stress suppresses innate IFN-γ production via glucocorticoid receptor activation: Reversal by the anxiolytic chlordiazepoxide. Brain Behav. Immun. 2009, 23, 535–547. [Google Scholar] [CrossRef] [PubMed]
- Wen, F.; Kohyama, T.; Sköld, C.; Zhu, Y.; Liu, X.; Romberger, D.; Stoner, J.; Rennard, S. Glucocorticoids modulate TGF-beta production. Inflammation 2002, 26, 279–290. [Google Scholar] [CrossRef] [PubMed]
- Martineau, D. Potential Synergism between stress and contaminants in free-ranging cetaceans. Int. J. Comp. Psychol. 2007, 20, 194–216. [Google Scholar]
- Martinon, F.; Chen, X.; Lee, A.; Glimcher, L.H. TLR activation of the transcription factor XBP1 regulates innate immune responses in macrophages. Nat. Immunol. 2010, 11, 411–418. [Google Scholar] [CrossRef]
- Du, Q.; Min, S.; Chen, L.Y.; Ma, Y.D.; Guo, X.L.; Wang, Z.; Wang, Z.G. Major stress hormones suppress the response of macrophages through down-regulation of TLR2 and TLR4. J. Surg. Res. 2012, 173, 354–361. [Google Scholar] [CrossRef] [PubMed]
- Arso Civil, M.; Cheney, B.; Quick, N.J.; Islas-Villanueva, V.; Graves, J.A.; Janik, V.M.; Thompson, P.M.; Hammond, P.S. Variations in age- and sex-specific survival rates help explain population trend in a discrete marine mammal population. Ecol. Evol. 2019, 9, 533–544. [Google Scholar] [CrossRef]
- Sapolsky, R.M.; Romero, L.M.; Munck, A.U. How do glucocorticoids influence stress responses? Integrating permissive, suppressive, stimulatory, and preparative actions. Endocr. Rev. 2000, 21, 55–89. [Google Scholar] [CrossRef]
- Von Holst, D. The concept of stress and its relevance for animal behavior. In Advances in the Study of Behavior; Møller, A.P., Milinski, M., Slater, P.J.B., Eds.; Academic Press: Cambridge, MA, USA, 1998; Volume 27, pp. 1–131. [Google Scholar]
- Liu, P.Z.; Nusslock, R. How stress gets under the skin: Early life adversity and glucocorticoid receptor epigenetic regulation. Curr. Genom. 2018, 19, 653–664. [Google Scholar] [CrossRef] [PubMed]
- Sporer, K.R.B.; Xiao, L.; Tempelman, R.J.; Burton, J.L.; Earley, B.; Crowe, M.A. Transportation stress alters the circulating steroid environment and neutrophil gene expression in beef bulls. Vet. Immunol. Immunopathol. 2008, 121, 300–320. [Google Scholar] [CrossRef]
- Murata, H.; Takahashi, H.; Matsumoto, H. The effects of road transportation on peripheral blood lymphocyte subpopulations, lymphocyte blastogenesis and neutrophil function in calves. Br. Vet. J. 1987, 143, 166–174. [Google Scholar] [CrossRef]
- Noda, K.; Akiyoshi, H.; Aoki, M.; Shimada, T.; Ohashi, F. Relationship between transportation stress and polymorphonuclear cell functions of bottlenose dolphins, Tursiops truncatus. J. Vet. Med. Sci. 2007, 69, 379–383. [Google Scholar] [CrossRef] [PubMed]




| Events | Sample Group | Markers Measured | Time Points | Sample No | Sample Date |
|---|---|---|---|---|---|
| T/NEnv (Aquarium whales) | Transported whales (n = 7) | IFNγ, IL2, IL12, COX2, TGFβ, Nr3c1, IL10, TLR4, HSP70 | Transport-1 arrival Transport acclimation Transport-2 pre Transport-2 arrival | 5 | August–September 2008 September 2008–April 2009 April–May 2009 April–May 2009 |
| 6 | |||||
| 7 | |||||
| 5 | |||||
| Resident whales (n = 3) | IFNγ, IL2, COX2, TGFβ, Nr3c1 | Resident baseline Resident arrival Resident acclimation | 3 | July–August 2008 August–September 2008 October–November 2008 | |
| 2 | |||||
| 4 | |||||
| OWE (Aquarium whales) | OWE-1 (n = 3) OWE-2 (n = 2) OWE-3 (n = 1) | IFNγ, IL2, IL12, IL18, TLR4, COX2, TGFβ, Nr3c1, HSP70 | Baseline/OWE/Post-OWE Baseline/OWE/Post-OWE OWE/Post-OWE | 22 | May–June 2011 April 2013 May 2013 |
| 11 | |||||
| 3 | |||||
| WLCR (Wild whales) | Bristol Bay 2014 (n = 10) Bristol Bay 2016 (n = 9) | IFNγ, IL12, TGFβ, AHR | Pre- and post-assessment Pre- and post-assessment | 19 | September 2014 September 2016 |
| 15 |
| Gene | N | NE (102× pg/mL) | ACTH (10× pg/mL) | CORT (µg/dL) | NEUT (103/µL) | LYMP (103/µL) |
|---|---|---|---|---|---|---|
| IFNγ | 85–94 | −0.656 (<0.001) | n.s. | n.s. | 0.223 (0.041) | n.s. |
| IL2 | 34–61 | −0.496 (0.006) | −0.555 (0.035) | n.s. | n.s. | n.s. |
| IL12 | 66–86 | n.s. | n.s. | 0.571 (0.038) | 0.464 (0.004) | −0.365 (0.003) |
| IL18 | 25–28 | −0.582 (0.031) | n.s. | n.s. | n.s. | 0.218 (0.033) |
| COX2 | 33–61 | −0.684 (0.046) | −1.557 (0.014) | n.s. | 0.377 (0.001) | n.s. |
| AHR | 30–34 | n.s. | n.s. | 4.557 (<0.001) | n.s. | −1.730 (0.002) |
Publisher’s Note: MDPI stays neutral with regard to jurisdictional claims in published maps and institutional affiliations. |
© 2021 by the authors. Licensee MDPI, Basel, Switzerland. This article is an open access article distributed under the terms and conditions of the Creative Commons Attribution (CC BY) license (https://creativecommons.org/licenses/by/4.0/).
Share and Cite
Unal, E.; Romano, T.A. Of Whales and Genes: Unraveling the Physiological Response to Stressors in Belugas (Delphinapterus leucas) at the Molecular Level. J. Zool. Bot. Gard. 2021, 2, 559-575. https://doi.org/10.3390/jzbg2040040
Unal E, Romano TA. Of Whales and Genes: Unraveling the Physiological Response to Stressors in Belugas (Delphinapterus leucas) at the Molecular Level. Journal of Zoological and Botanical Gardens. 2021; 2(4):559-575. https://doi.org/10.3390/jzbg2040040
Chicago/Turabian StyleUnal, Ebru, and Tracy A. Romano. 2021. "Of Whales and Genes: Unraveling the Physiological Response to Stressors in Belugas (Delphinapterus leucas) at the Molecular Level" Journal of Zoological and Botanical Gardens 2, no. 4: 559-575. https://doi.org/10.3390/jzbg2040040
APA StyleUnal, E., & Romano, T. A. (2021). Of Whales and Genes: Unraveling the Physiological Response to Stressors in Belugas (Delphinapterus leucas) at the Molecular Level. Journal of Zoological and Botanical Gardens, 2(4), 559-575. https://doi.org/10.3390/jzbg2040040

