Next Article in Journal
NR-IQA with Gaussian Derivative Filter, Convolutional Block Attention Module, and Spatial Pyramid Pooling
Previous Article in Journal
Fault Diagnosis of Vehicle Tire Pressure Using Bayesian Networks with Real-Time Robot Operating Systems (ROS) Applications
 
 
Font Type:
Arial Georgia Verdana
Font Size:
Aa Aa Aa
Line Spacing:
Column Width:
Background:
Proceeding Paper

The Influence of MIM Metamaterial Absorbers on the Thermal and Electro-Optical Characteristics of Uncooled CMOS-SOI-MEMS Infrared Sensors †

Electrical and Computer Engineering Department, Technion—Israel Institute of Technology, Haifa 32000, Israel
*
Author to whom correspondence should be addressed.
Presented at the 11th International Electronic Conference on Sensors and Applications (ECSA-11), 26–28 November 2024; Available online: https://sciforum.net/event/ecsa-11.
Eng. Proc. 2024, 82(1), 11; https://doi.org/10.3390/ecsa-11-20442
Published: 25 November 2024

Abstract

Uncooled infrared (IR) sensors, including bolometers, thermopiles, and pyroelectrics, have traditionally dominated the market. Nevertheless, a new innovative technology, dubbed the TMOS sensor, has emerged. It is based on CMOS-SOI-MEMS (complementary-metal-oxide-semiconductor silicon-on-insulator micro-electromechanical systems) fabrication. This pioneering technology utilizes a suspended, micro-machined, thermally insulated transistor to directly convert absorbed infrared radiation into an electrical signal. The miniaturization of IR sensors, including the TMOS, is crucial for seamless integration into wearable and mobile technologies. However, this presents a significant challenge: balancing size reduction with sensor sensitivity. Smaller sensor footprints can often lead to decreased signal capture and, consequently, diminished performance. Metamaterial advancements offer a promising solution to this challenge. These engineered materials exhibit unique electromagnetic properties that can potentially boost sensor sensitivity while enabling miniaturization. The strategic integration of metamaterials into sensor design offers a pathway towards compact, high-sensitivity IR systems with diverse applications. This study explores the impact of electro-optical metal-insulator-metal (MIM) metamaterial absorbers on the thermal and electro-optical characteristics of CMOS-SOI-MEMS sensors in the mid-IR region. We target the key thermal properties critical to IR sensor performance: thermal conductance (Gth), thermal capacitance (Cth), and thermal time constant (τth). This study shows how material selection, layer thickness, and metamaterial geometry fill-factor affect the sensor’s thermal performance. An analytical thermal model is employed alongside 3D finite element software for precise numerical simulations.

1. Introduction

Thermal infrared (IR) sensors have gained widespread adoption in diverse fields, including automotive, Internet of Things (IoT), intrusion detection systems, and smart building management (lighting/heating/temperature sensing) and wearable devices. This trend is expected to continue with a growing market forecast [1].
Commercially available uncooled IR technologies primarily rely on bolometers, thermopiles, and pyroelectric sensors [2]. However, recent advancements have introduced a new generation of uncooled thermal sensors based on CMOS-SOI-MEMS (complementary-metal-oxide-semiconductor silicon-on-insulator micro-electromechanical systems) technology, termed “TMOS” [3].
TMOS is a MEMS device featuring a suspended, thermally isolated, micro-machined floating transistor that absorbs infrared radiation. The resulting temperature change is converted into an electrical signal. Operating in the subthreshold regime, TMOS offers significant advantages, such as low power consumption (micro-Watts) and high temperature sensitivity. Figure 1 illustrates the TMOS schematically.
The miniaturization of infrared (IR) sensors has emerged as a critical aspect of their ongoing evolution, driven by the increasing demand for their integration into modern technologies like wearable electronics, mobile applications, optical gas sensing, and biosensing [4,5]. Achieving this without compromising sensitivity presents a significant challenge, as shrinking size can often lead to diminished signal capture and performance.
However, recent advancements in metamaterial fabrication and design offer a promising solution to this conundrum. Metamaterials are artificially constructed structures engineered to exhibit electromagnetic properties unattainable in naturally occurring materials [6]. Meta-absorbers are a specific class designed to optimize absorption of incident electromagnetic radiation. These novel materials possess unique electro-magnetic properties that can potentially enhance sensor sensitivity while simultaneously enabling reductions in sensor size [7]. By strategically incorporating metamaterials into IR sensor architectures, researchers are paving the way for the development of a new generation of compact and highly sensitive IR systems with applications across diverse fields.
This work builds upon the investigation of thermal performance in Wafer-Level-Packaged (WLP) TMOS devices, as reported in [8,9]. The key thermal properties influencing the performance of infrared thermal sensors, including TMOS devices, are thermal conductivity (denoted by Gth), thermal capacitance (denoted by Cth), and thermal time constant (denoted by τth). The present study focuses on the thermal performance of an integrated metamaterial absorber within a CMOS-SOI-MEMS thermal infrared sensor. Electromagnetic simulations of the metal-insulator-metal absorbers and TMOS performance were conducted using commercial Finite-Difference-Time-Domain (FDTD) software. We investigate the impact of material selection, layer thickness, and metamaterial geometry fill-factor on the sensor’s thermal behavior. An analytical thermal model is employed alongside 3D finite element software for accurate numerical simulations.

2. Design and Methodology

2.1. MIM Meta-Absorber Design

MIM meta-absorbers consist of a thin dielectric layer sandwiched between two metal layers, with the top layer patterned into sub-wavelength size structures such as squares, circles, or other shapes. A MIM example with the top layer patterned into sub-wavelength disks is illustrated in Figure 2.
The patterned top metal layer interacts with incident radiation, supporting localized surface plasmon resonances that concentrate the electromagnetic field within the dielectric layer.

2.2. Integration Approach with CMOS

The uniqueness of the TMOS is that the entire process of the fabrication is conducted in standard CMOS-SOI-MEMS fabrication facilities. The goal is to design and manufacture a CMOS-compatible metamaterial absorber. Hence, the constraints of the standard CMOS and MEMS fabrication limitations must be addressed. For example, the novel metamaterial absorber often uses Au (gold) and Ag (silver) due to their naturally high conductivity. However, gold and silver are not suitable for CMOS fabrication due to high diffusivity and cost. Therefore, other metals need to be considered when designing a CMOS-compatible metamaterial, such as Al (aluminum), Cu (copper), or W (Tungsten) [10]. In addition, the thickness of the material’s layers and patterns should be considered to fabricate the design in CMOS fabrication facilities.

2.3. Electromagnetic Simulation and Modelling Techniques

A three-dimensional FDTD simulation was conducted using Ansys Lumerical software [11] to model the MIM absorber. A plane wave source was employed to generate electromagnetic radiation spanning wavelengths from 2.5 µm to 14 µm. Periodic boundary conditions were applied to the lateral boundaries to simulate an infinite periodic structure. Perfectly matched layer (PML) boundary conditions were implemented at the top and the bottom of the FDTD region to absorb outgoing waves. To quantify the reflected and absorbed electromagnetic energy, a two-dimensional field monitor was positioned above the source. Figure 3 illustrates the FDTD model. The material’s refractive indexes were taken from the software library based on Palik or CRC references.
The reflected field and energy (R) were measured directly; the power in the field monitor in Lumerical was normalized to the total power launched into the simulation, while the absorbed energy was calculated by subtracting the reflected energy from the incident energy. Given the presence of a bottom metal layer, transmission (T) was negligible and considered zero. Consequently, since the power launched into the simulation was normalized, the absorbed energy (A) could be determined using the energy conservation principle (the sum of the transmission, reflected and absorbed, should be equal to the power injected into the simulation, knowing that the input power is normalized to 1):
A = 1 R

2.4. Thermal Simulation and Modelling Techniques

The thermal modeling of the TMOS has been extensively discussed in previous publications [9,12]. This section provides a concise overview of the key components. The TMOS functions as a thermal infrared (IR) sensor by converting absorbed radiation power into an electrical signal. A thermally isolated sensor stage undergoes a temperature change due to the absorbed energy, which is then transduced into an electrical signal by the TMOS transistor. The conservation of energy dictates that the absorbed power within the device must be equivalent to the sum of the increase in stored power and the power dissipated or emitted. Hence, the power balance equation is as follows:
P a b s o r b e d = C t h d T t d t + G t h T t
The absorbed optical power in the device is denoted by Pabsorbed. Cth represents the thermal capacitance of the device, while Gth signifies its thermal conductance. ΔT denotes the time-dependent temperature change within the device. Given the deep vacuum packaging of the TMOS device (a few pascals, see [8]) and the dimensional disparity between the stage and the holding arms, the thermal conductance of the device is primarily determined by the thermal conductance of the holding arms (refer to Figure 1). The thermal conductance of the arms can be calculated using the following equation:
G t h , a r m = k a r m A a r m L a r m = 1 L a r m i = 1 N k i A i
The area through which heat flows is denoted by Aarm, while Larm represents the arm length. The thermal conductivity of the material is given by ki, and the material area is given by Ai.
The thermal capacitance of the device is primarily influenced by the sensor stage, which houses the TMOS transistor. It can be calculated using the following equation:
C t h = ρ c V = i = 1 N ρ i c i V i
where the mass density of material i is represented by ρ i , while c i denotes its specific heat capacity. V i signifies the volume of material i. The thermal and physical properties used in this work are presented in Table 1.

3. Results and Discussion

3.1. Electromagnetic Simulation Results

The electromagnetic energy absorption of the TMOS material layers was simulated using the FDTD method, as outlined in the design and methodology section. Initial simulations were conducted without the MIM absorber. Figure 4 illustrates the resulting electromagnetic absorption as a function of wavelength.
The absorption spectrum exhibited two prominent peaks centered at approximately 5 μm and 10 μm, with maximum absorption coefficients of 0.88 and 0.8, respectively. The average absorption across the examined band was approximately 0.5. While the non-uniform absorption profile and broad spectral features may limit the suitability of this material for direct application in Non-Dispersive Infrared (NDIR) gas sensing without additional optical filtering, the absorption efficiency could potentially be enhanced by at least 12% at the 5 μm wavelength and even more at other wavelengths through the integration of optical components.
Figure 5 illustrates the FDTD simulation results for a proposed integrated MIM structure with a periodic disk array as the top metal layer. The absorption spectrum of the MIM structure is shown as a function of wavelength and disk radius.
The depicted figure illustrates near-perfect absorption (>98%) of single-frequency resonance in the mid-infrared region. As the disk radius increased, a discernible redshift in the peak resonance frequency was observed, accompanied by a corresponding decrease in the quality factor of the absorbance. This reduction in the quality factor can be attributed to increased losses associated with larger disk radii. Additionally, the spectra reveal a secondary absorption peak centered around 10 microns, which is primarily due to the intrinsic absorption of silicon dioxide. As the disk radius grows, enhanced scattering and increased field interaction with the oxide contribute to a heightened absorption at this wavelength. However, given the relatively thin silicon dioxide layer, the secondary absorption remains relatively modest: approximately 10% at a radius disk of 600 nm.

3.2. Thermal Simulation Results and Impact

Steady-state thermal simulations were conducted using a 3D FEA model in Ansys Mechanical software [13] to assess the impact of the MIM structure on the pixel array. Boundary conditions consisted of a fixed temperature at the pixel frame and a heat load of 1 μW applied to the pixel stage. The simulation outcomes are illustrated in Figure 6.
The thermal conductance of the TMOS sensor, as calculated using Equation (2), was determined to be 1.0069 × 10⁻7 W/K and 1.0089 × 10⁻7 W/K for the configurations without and with the MIM structure, respectively. Analytical calculation using Equation (3) and properties from Table 1 yields 1.0012 × 10⁻7 W/K. The steady-state thermal simulation results demonstrate that the MIM structure exerts a negligible influence on the overall thermal conductance. This observation aligns with the theoretical predictions derived from Equations (3) and (4). At a steady state, the temperature differential within the device is primarily determined by the applied power load and the thermal conductance of the TMOS holding arms. As the MIM structure does not materially affect the thermal conductance of these arms, its impact on the steady-state thermal behavior is minimal.
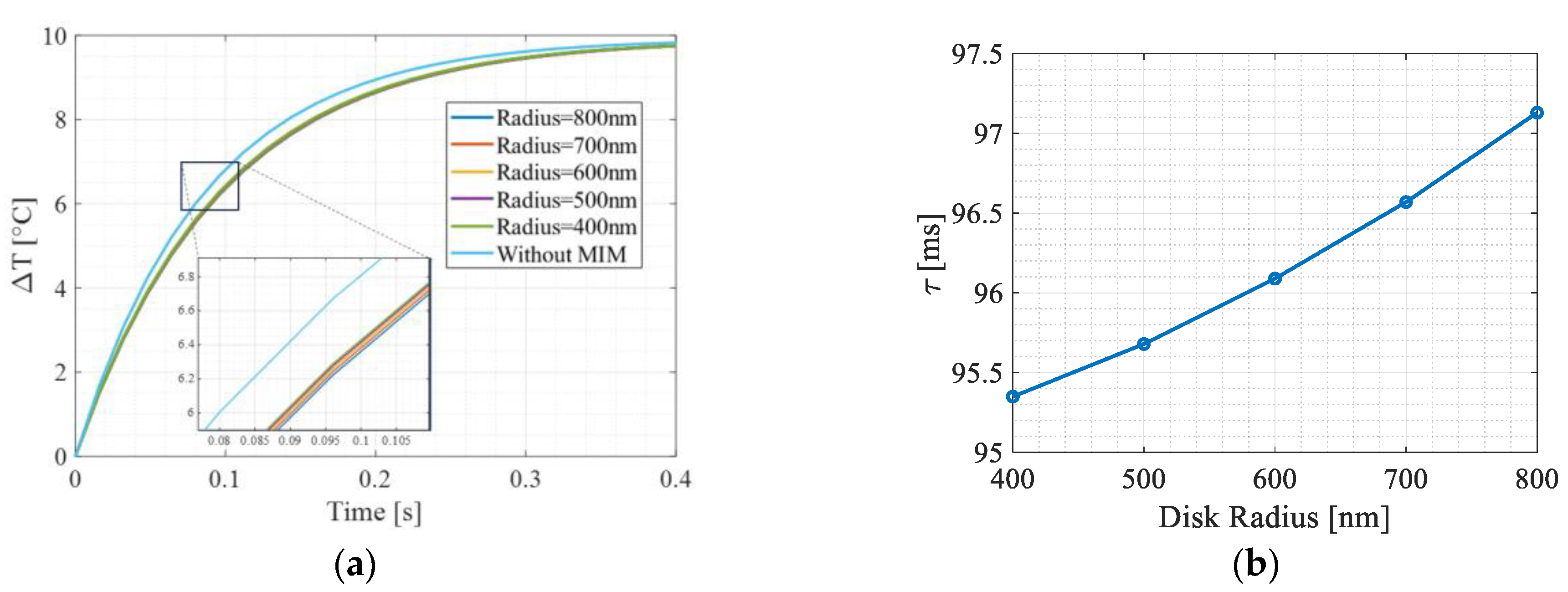
While the MIM structure does not significantly affect the thermal conductance, it is expected to influence the thermal capacitance. Consequently, the thermal time constant, which is a function of both conductance and capacitance τ = C t h / G t h , should be impacted by the presence of the MIM structure. Figure 7 illustrates the transient simulation results comparing the thermal response with and without the MIM structure.
As depicted in Figure 7, the radius of the MIM structure exerts a small influence on the thermal time constant of the TMOS. Specifically, an increase in the MIM radius leads to a slightly corresponding rise in the thermal time constant. Furthermore, it is intriguing to investigate the potential impact of the MIM metal on this thermal behavior. Figure 8 presents transient thermal simulations conducted with various CMOS-compatible metals to address this question.
As shown in Figure 8, the choice of metal for the MIM within the TMOS structure had a minimal impact on its thermal performance, consistent with the simulation results. The heat capacity equation coupled with Table 1 indicate that copper has the longest thermal time constant among CMOS-compatible metals due to its high specific heat capacity and density. However, transient simulations revealed that MIM thickness rather than metal selection significantly influenced thermal performance. To further investigate this effect, Figure 9 presents the results for TMOS structures with varying MIM insulator thicknesses.
As depicted in Figure 9, thicker MIM structures exhibit a pronounced increase in thermal time constant, suggesting a delayed thermal response.
Table 2 summarizes the thermal and optical impacts of MIM integration with TMOS and CMOS-SOI-MEMS thermal sensors:

4. Conclusions

This study used FDTD simulations to examine the integration of a metal-insulator-metal (MIM) metamaterial absorber with a CMOS-SOI-MEMS infrared sensor. The results showed near-perfect absorption (>98%) in the mid-infrared region. The MIM disk radius affected the absorption spectrum, with larger radii causing a redshift and decreased quality factor. While the MIM structure minimally impacted thermal conductance, it influenced the thermal capacitance and time constant. Transient thermal simulations revealed that larger MIM radii slightly increased thermal time constants. The MIM insulator thickness significantly affected thermal performance, with thicker structures increasing thermal time constants. Metal choice had minimal impact. This study concludes that MIM integration can enhance sensor absorption efficiency, but careful design consideration is necessary to minimize adverse thermal effects.
The MIM structure exhibits exceptional selectivity, making it highly advantageous for NDIR gas sensor applications. Various gases possess distinct resonance frequencies, exemplified by CO2, which demonstrates an absorption resonance at 4.26 μm, utilized for optical detection in the mid-infrared range. The proposed MIM structure in this study enhances the TMOS absorption efficiency by 20% at this resonance, potentially improving sensor sensitivity.
Furthermore, the MIM’s high selectivity facilitates multi-gas detection, as non-combustion gases exhibit unique resonance frequencies. The integration of diverse MIM structures on different pixels within a single device may enable the development of miniaturized NDIR gas sensors. Consequently, the incorporation of metamaterial absorbers, particularly MIM absorbers, on CMOS-SOI thermal sensors demonstrates significant potential. The findings of this study indicate the suitability of this approach for advanced IR and gas sensing applications.

Author Contributions

Conceptualization, M.A. and Y.N.; methodology, M.A. and M.K.; software, M.A. and M.K.; validation, M.A. and M.K.; formal analysis, M.A. and Y.N.; investigation, M.A., M.K. and Y.N.; resources, M.A. and M.K.; data curation, M.A., M.K. and Y.N.; writing—original draft preparation, M.A.; writing—review and editing, M.A., M.K. and Y.N.; visualization, M.A. and M.K.; supervision, Y.N.; project administration, Y.N.; funding acquisition, Y.N. All authors have read and agreed to the published version of the manuscript.

Funding

This research received no external funding.

Institutional Review Board Statement

Not applicable.

Informed Consent Statement

Not applicable.

Data Availability Statement

The data presented in this study are available on reasonable request from the corresponding author.

Acknowledgments

The authors would like to express their gratitude to their colleagues in Nemirovsky’s group for support and advice and to the VLSI laboratory at the electrical and computer engineering department for providing the necessary infrastructure.

Conflicts of Interest

The authors declare no conflicts of interest.

References

  1. Balcerak, R.S. Uncooled infrared sensors: Rapid growth and future perspective. In Proceedings of the AeroSense 2000, Orlando, FL, USA, 24–28 April 2000; Dereniak, E.L., Sampson, R.E., Eds.; pp. 36–39. [Google Scholar] [CrossRef]
  2. Moisello, E.; Malcovati, P.; Bonizzoni, E. Thermal Sensors for Contactless Temperature Measurements, Occupancy Detection, and Automatic Operation of Appliances during the COVID-19 Pandemic: A Review. Micromachines 2021, 12, 148. [Google Scholar] [CrossRef] [PubMed]
  3. Saraf, T.; Brouk, I.; Shefi, S.B.-L.; Unikovsky, A.; Blank, T.; Radhakrishnan, P.K.; Nemirovsky, Y. CMOS-SOI-MEMS Uncooled Infrared Security Sensor with Integrated Readout. IEEE J. Electron Devices Soc. 2016, 4, 155–162. [Google Scholar] [CrossRef]
  4. Wei, J.; Ren, Z.; Lee, C. Metamaterial technologies for miniaturized infrared spectroscopy: Light sources, sensors, filters, detectors, and integration. J. Appl. Phys. 2020, 128, 240901. [Google Scholar] [CrossRef]
  5. Lochbaum, A.; Dorodnyy, A.; Koch, U.; Koepfli, S.M.; Volk, S.; Fedoryshyn, Y.M.; Wood, V.; Leuthold, J. Compact Mid-Infrared Gas Sensing Enabled by an All-Metamaterial Design. Nano Lett. 2020, 20, 4169–4176. [Google Scholar] [CrossRef] [PubMed]
  6. Sharma, A.; Singh, H.; Gupta, A. A Review Analysis of Metamaterial-Based Absorbers and Their Applications. J. Supercond. 2022, 35, 3067–3083. [Google Scholar] [CrossRef]
  7. Glybovski, S.B.; Tretyakov, S.A.; Belov, P.A.; Kivshar, Y.S.; Simovski, C.R. Metasurfaces: From microwaves to visible. Phys. Rep. 2016, 634, 1–72. [Google Scholar] [CrossRef]
  8. Urquia, M.A.; Allegato, G.; Paleari, S.; Tripodi, F.; Oggioni, L.; Garavaglia, M.; Nemirovsky, Y.; Blank, T. High vacuum wafer level packaging for uncooled infrared sensor. In Proceedings of the 2020 Symposium on Design, Test, Integration & Packaging of MEMS and MOEMS (DTIP), Lyon, France, 15–26 June 2020; IEEE: Piscataway, NJ, USA, 2020; pp. 1–5. [Google Scholar] [CrossRef]
  9. Avraham, M.; Golan, G.; Vaiana, M.; Bruno, G.; Castagna, M.E.; Stolyarova, S.; Blank, T.; Nemirovsky, Y. Wafer-Level Packaged CMOS-SOI-MEMS Thermal Sensor at Wide Pressure Range for IoT Applications. Eng. Proc. 2020, 2, 30. [Google Scholar] [CrossRef]
  10. Dorodnyy, A.; Koepfli, S.M.; Lochbaum, A.; Leuthold, J. Design of CMOS-compatible metal–insulator–metal metasurfaces via extended equivalent-circuit analysis. Sci. Rep. 2020, 10, 17941. [Google Scholar] [CrossRef] [PubMed]
  11. Ansys Lumerical. Available online: https://www.lumerical.com (accessed on 29 August 2024).
  12. Avraham, M.; Stolyarova, S.; Blank, T.; Bar-Lev, S.; Golan, G.; Nemirovsky, Y. A Novel Miniature and Selective CMOS Gas Sensor for Gas Mixture Analysis—Part 2: Emphasis on Physical Aspects. Micromachines 2020, 11, 587. [Google Scholar] [CrossRef] [PubMed]
  13. Ansys Mechanical. Available online: https://www.ansys.com/products/structures/ansys-mechanical (accessed on 29 August 2024).
Figure 1. Schematic geometry of the TMOS: (a) Top view; (b) Cross-section view of the geometry.
Figure 1. Schematic geometry of the TMOS: (a) Top view; (b) Cross-section view of the geometry.
Engproc 82 00011 g001
Figure 2. Schematic geometry of the MIM: (a) Side view; (b) three-dimensional view of the MIM geometry; (c) three-dimensional schematic illustration of the TMOS with MIM absorber.
Figure 2. Schematic geometry of the MIM: (a) Side view; (b) three-dimensional view of the MIM geometry; (c) three-dimensional schematic illustration of the TMOS with MIM absorber.
Engproc 82 00011 g002
Figure 3. FDTD model illustration.
Figure 3. FDTD model illustration.
Engproc 82 00011 g003
Figure 4. TMOS layers electromagnetic absorption as a function of the wavelength.
Figure 4. TMOS layers electromagnetic absorption as a function of the wavelength.
Engproc 82 00011 g004
Figure 5. The MIM electromagnetic absorption as a function of wavelength and top metal disk radius. The simulation employed an aluminum top metal layer, a silicon dioxide insulator, and a bottom metal layer. The top metal layer was 100 nm, the insulator was 55 nm, and the bottom metal layer was 150 nm. The periodicity of the MIM is 1 µm. The color bar visually represents the fraction of absorbed energy.
Figure 5. The MIM electromagnetic absorption as a function of wavelength and top metal disk radius. The simulation employed an aluminum top metal layer, a silicon dioxide insulator, and a bottom metal layer. The top metal layer was 100 nm, the insulator was 55 nm, and the bottom metal layer was 150 nm. The periodicity of the MIM is 1 µm. The color bar visually represents the fraction of absorbed energy.
Engproc 82 00011 g005
Figure 6. Steady-state thermal simulation results of the temperature changes: (a) The TMOS without MIM; (b) TMOS with MIM.
Figure 6. Steady-state thermal simulation results of the temperature changes: (a) The TMOS without MIM; (b) TMOS with MIM.
Engproc 82 00011 g006
Figure 7. Transient thermal simulation results: (a) The TMOS temperature difference as a function of the time, with and without the MIM structure; (b) Thermal time constant results from the transient simulation as a function of the disk radius. Without the MIM structure the thermal time constant of the TMOS is 86 ms.
Figure 7. Transient thermal simulation results: (a) The TMOS temperature difference as a function of the time, with and without the MIM structure; (b) Thermal time constant results from the transient simulation as a function of the disk radius. Without the MIM structure the thermal time constant of the TMOS is 86 ms.
Engproc 82 00011 g007
Figure 8. Transient thermal simulation results for different metal selections of the MIM. The thermal time constants in the figure are in milliseconds.
Figure 8. Transient thermal simulation results for different metal selections of the MIM. The thermal time constants in the figure are in milliseconds.
Engproc 82 00011 g008
Figure 9. Transient simulation results for different MIM insulator thicknesses: (a) The temperature difference of the TMOS pixel as a function of the time for different MIM insulator thicknesses; (b) the calculated thermal time constant versus the MIM insulator thickness.
Figure 9. Transient simulation results for different MIM insulator thicknesses: (a) The temperature difference of the TMOS pixel as a function of the time for different MIM insulator thicknesses; (b) the calculated thermal time constant versus the MIM insulator thickness.
Engproc 82 00011 g009
Table 1. Thermal and physical properties of CMOS-SOI compatible materials.
Table 1. Thermal and physical properties of CMOS-SOI compatible materials.
ParameterUnitsAluminumSilicon DioxideSiliconPolycrystalline SiliconCopperTungstenTitanium
k —Thermal conductivity W m × K 2371.4404040117316.9
c —Specific heat capacity J k g × K 900730700700385134520
ρ —Mass density K g m 3 2700220023292320896019,3004510
Table 2. Summarization of MIM disk with radius of 633 nm in this study on the thermal and optical properties of the TMOS sensor at a wavelength of 4.26 μ m .
Table 2. Summarization of MIM disk with radius of 633 nm in this study on the thermal and optical properties of the TMOS sensor at a wavelength of 4.26 μ m .
ParameterUnitsWithout MIMWith MIMImpact of MIM IntegrationNotes
η —Optical absorption efficiency N . A 0.770.987128.19%
increasement
Excellent efficiency improvement and good for sensor selectivity
G t h —Thermal conductance W K 1.0069 × 10⁻71.0089 × 10⁻70.2%
increasement
Practically no effect
τ t h —Thermal time constant m s 8696.2512%
increasement
Unwanted tradeoff—slower response time
R T ω = 0 = T P o p t = η G t h .
DC temperature responsivity: temperature difference to optical power ratio
K W 7.65 × 1069.78 × 10627.84%
increasement
Since the thermal conductance has a small impact, the change in responsivity is relative to the change in the optical absorption efficiency
Disclaimer/Publisher’s Note: The statements, opinions and data contained in all publications are solely those of the individual author(s) and contributor(s) and not of MDPI and/or the editor(s). MDPI and/or the editor(s) disclaim responsibility for any injury to people or property resulting from any ideas, methods, instructions or products referred to in the content.

Share and Cite

MDPI and ACS Style

Avraham, M.; Klinov, M.; Nemirovsky, Y. The Influence of MIM Metamaterial Absorbers on the Thermal and Electro-Optical Characteristics of Uncooled CMOS-SOI-MEMS Infrared Sensors. Eng. Proc. 2024, 82, 11. https://doi.org/10.3390/ecsa-11-20442

AMA Style

Avraham M, Klinov M, Nemirovsky Y. The Influence of MIM Metamaterial Absorbers on the Thermal and Electro-Optical Characteristics of Uncooled CMOS-SOI-MEMS Infrared Sensors. Engineering Proceedings. 2024; 82(1):11. https://doi.org/10.3390/ecsa-11-20442

Chicago/Turabian Style

Avraham, Moshe, Mikhail Klinov, and Yael Nemirovsky. 2024. "The Influence of MIM Metamaterial Absorbers on the Thermal and Electro-Optical Characteristics of Uncooled CMOS-SOI-MEMS Infrared Sensors" Engineering Proceedings 82, no. 1: 11. https://doi.org/10.3390/ecsa-11-20442

APA Style

Avraham, M., Klinov, M., & Nemirovsky, Y. (2024). The Influence of MIM Metamaterial Absorbers on the Thermal and Electro-Optical Characteristics of Uncooled CMOS-SOI-MEMS Infrared Sensors. Engineering Proceedings, 82(1), 11. https://doi.org/10.3390/ecsa-11-20442

Article Metrics

Back to TopTop