Next Article in Journal
Steel Ladle Slag
Previous Article in Journal
Sensor Fusion of Doppler Microwave and Multizone ToF for Short-Range Dynamic Object Tracking
 
 
Font Type:
Arial Georgia Verdana
Font Size:
Aa Aa Aa
Line Spacing:
Column Width:
Background:
Proceeding Paper

The Influence of Printing Parameters on the Impact Strength of FDM 3D-Printed Polylactic Acid †

Department of Mechanics, Faculty of Transport, Technical University of Sofia, 1000 Sofia, Bulgaria
*
Author to whom correspondence should be addressed.
Presented at the 17th International Scientific Conference on Aerospace, Automotive, and Railway Engineering (BulTrans-2025), Sozopol, Bulgaria, 10–13 September 2025.
Eng. Proc. 2026, 121(1), 14; https://doi.org/10.3390/engproc2025121014
Published: 13 January 2026

Abstract

The paper investigates experimentally the influence of infill density, infill pattern, layer height, wall number, printing orientation, and material color on the impact strength of 3D-printed PLA (polylactic acid) samples by using the Charpy test method. The used printing method is FDM (Fused Deposition Modeling) performed on a desktop printer. For each parameter changed in the study, five separate unnotched specimens were produced and tested, and the average impact strength value was taken into account. The filament rolls went through a drying process before printing and were then stored in a low-humidity environment filled with desiccant in order to minimize the effect of absorbed humidity in the filament during the experiments. The conditioning and testing of samples were performed according to the EN ISO 179-1 standard. Dimensional accuracy, print times, and filament consumption were also estimated in the study. The results revealed that the infill density, infill pattern, and wall number have a larger influence on the impact energy absorbed by the samples in comparison to the layer height, printing orientation, and the PLA filament color. The best optimization of the studied mechanical property was obtained by increasing the infill percentage and the number of walls. Applying different PLA colors has a slight effect on the impact strength, yet it should be taken into consideration when designing 3D-printed products that are intended to withstand impact. Moreover, it was found out that the studied parameters have an insignificant effect on the dimensional accuracy of the produced samples.

1. Introduction

Today, 3D printing (also known as additive manufacturing) is being used extensively in many engineering fields, enabled by its low price, fast prototyping capabilities, shape flexibility of the model printed, usage of a broad array of polymeric materials, and wide availability [1]. So many different brands of desktop 3D printers exist today that are capable of producing fine parts ready for direct installation into the machine they are intended for, thus competing with industrially manufactured parts. Particularly popular is the FDM (Fused Deposition Modeling) method of printing, in which the material, supplied in the form of filament on a spool, is melted and extruded through a nozzle layer by layer to form the object [2,3].
The rapid development of 3D printing has sparked interest in evaluating the mechanical properties of polymeric materials by testing specimens produced via FDM technology, depending on the chosen print parameters [4]. Knowing these mechanical properties is important for choosing the correct material, as well as the shape and dimensions of the specific part or element being printed, so that it withstands the load applied to it. For example, in paper [5], the influence of infill pattern (linear, diamond, and hexagonal) and infill density (25%, 50%, 75%, and 100%—no infill pattern) on the tensile strength and elastic modulus of PLA (polylactic acid)-printed specimens was studied. The results revealed that both the studied mechanical properties improve when increasing the infill density for all studied patterns. In a different study [6], the layer height and filament color influence on the dimensional accuracy and tensile strength of PLA specimens was addressed. It was found that regardless of the PLA color, the tensile strength decreased with the increase in the layer height. Nonetheless, the color of the material exerted a strong effect on both the dimensional accuracy of the produced parts and their tensile strength. Out of the four colors tested under the same printing conditions—natural, black, red, and gray—the black one ensured the best dimensional accuracy, while the gray one ensured the best tensile strength. The study concluded that the filament color should be included among the process parameters when fabricating samples as it is influential to the final results. The effect of the object’s printing orientation on its tensile strength has also been studied [7,8]. Both studies concluded that the specimens printed at 0° relative to the build plate (flatwise) exhibited higher tensile strength in comparison to the ones printed at 45° and 90° due to better interlayer adhesion and fewer gaps between the print lines. Study [9] also focused on evaluating the tensile strength of 3D-printed PLA based on process parameter variation and concluded that in general, the nozzle diameter, top and bottom layer orientation, layer height, and infill density have the highest influence on the mentioned mechanical property.
Apart from tensile strength, another important mechanical parameter, especially for materials used for personal protective equipment, is the impact strength, also known as impact toughness. The impact strength test estimates the resistance of a material to fracture under a sudden force/impact by measuring the energy needed to break the specimen. There are two impact test procedures: the Izod impact test, which is defined by the EN ISO 180 standard [10] for plastics, and the Charpy impact test specified by the EN ISO 179-1 [11] standard for plastics.
The Izod method was applied in [12] to estimate the impact behavior of unnotched PLA, ABS (acrylonitrile butadiene styrene), PETG (polyethylene terephthalate glycol), and PC (polycarbonate) specimens printed via FDM with different layer thicknesses/heights and orientations. In the case of the PLA and ABS, the results revealed that the impact strength changed slightly by varying the layer thickness, which was not the case for PETG and PC. The PC samples produced in the flatwise position had an increase in the impact strength by 35 to 400% with increasing layer thickness. The PLA impact strength was in the range of 10–20 kJ/m2, while the highest average value of 103 kJ/m2 was achieved for the PC specimens with flatwise printing orientation and 0.3 mm layer thickness. The upright orientation was found to exhibit the lowest impact strength in all cases. A different study [13] also applied the Izod method to determine the impact strength as well as the standard deviation of the values of PLA unnotched specimens by changing the infill density and print orientation. It was observed that the upright printing position produced specimens with lower impact strength in comparison to the edgewise and flatwise ones, yet the standard deviation was lower than in the other two cases. It was also concluded that, naturally, by increasing the infill density, the printing time and impact strength also increase, yet the lowest standard deviation was observed in the 45% infill specimens due to achieving stable internal structure, according to the authors. In paper [14], the emphasis was on 3D printing PEEK for impact strength testing via the Izod method. The conclusions drawn were that a printed notch does not perform the same way as a notch produced according to the standard by using a notcher. The obtained impact strength value of a printed notch is comparable to the ones of unnotched specimens.
The influence of infill density on the impact strength of FDM-printed ABS was studied with the Charpy method in [15]. The authors tested V-notched and U-notched specimens and observed slightly higher average results for the U-notched ones. It was also found that the best mass-to-energy-absorbed ratio was achieved at 10% infill for V-notched and at 30% infill for U-notched specimens. The effect of infill pattern (linear, gyroid, and trihexagonal) on the impact strength of PLA FDM unnotched specimens was the research topic of [16]. The results indicated that the values lie in a narrow range of variation, with the trihexagonal infill pattern achieving the highest impact strength. The impact strength in regard to changing the infill direction/raster angle (45°, 60°, 90°, 55° conventional, and 55° with an optimal winding angle for filament-wound pipes) of ABS 3D-printed samples was studied in [17]. The raster angle for filament-wound pipes gave the best results in terms of Charpy impact strength for all ABS materials tested, and according to the authors, the 3D-printed samples (unnotched) had greater strength than the injection-molded ABS ones.
This study focuses on experimentally evaluating the effect of layer height, infill density, infill pattern, wall (shell) number, printing orientation, and PLA color on the impact strength of 3D-printed polymeric samples by using the Charpy test method. Overall, the Izod method is more popular when the testing of plastics and polymers is considered. Therefore, as there is less available research with the Charpy method, it is the one being applied in the current study. Moreover, the notch in the specimens acts as a stress concentration point, which is inherent to many product designs; hence, notched specimens are favored in scientific articles. For this reason, in the current study, unnotched samples are tested, as not all designs have stress collectors; moreover, this study fills in the research gap. The study also aims to enrich the available experimental data on the impact strength of 3D-printed polymers and to validate the existing results from already published research in the same field. Additionally, the influence of parameters, such as the filament color and the wall number, on the impact strength of the printed part has been poorly studied; hence, this research complements the available knowledge on the topic by drawing new conclusions. In general, the experimental data obtained could be useful for designing and manufacturing 3D-printed objects made out of various polymeric materials.

2. Materials and Methods

For the testing of the impact strength, the standardized Charpy impact test was applied. This method makes use of an impact machine with a pendulum and a heavy weight (hammer) at its end. After the pendulum is released, it hits the specimen, which absorbs some of the pendulum’s energy. The absorbed energy can be read on the indicator/scale of the machine. It is calculated via Formula (1), where the impact energy KV is equal to the potential energy at the initial height of the pendulum ( m g H 1 ) minus the potential energy at the height to which it rises after the impact with the specimen ( m g H 2 ) and minus the friction losses E F . The mass of the hammer and the pendulum is marked with m, g is the gravitational constant, and H 1 and H 2 are the corresponding heights. The impact machine typically uses J or kg.cm as a measurement unit but the impact strength is given in kJ/m2 as per the standard; hence, the cross section of the specimen ( h . b ) should be taken into account in Formula (2). The impact strength of an unnotched specimen is marked with acU.
K V = m g H 1 m g H 2 E F ,
a c U = K V h . b × 10 3 ,
A photo and a 3D model of the used impact testing machine are given in Figure 1a. The hammer had a mass of 883 g, while the pendulum and mounting bracket had a total mass of 72 g. The hammer and pendulum were released from an angle of 163° relative to the horizontal axis. The span between the specimen supports was 62 mm. An unnotched specimen type with dimensions 80 × 10 × 4 mm was used for this study, as shown in Figure 1b. The conditioning and testing of samples were performed according to the EN ISO 179-1 standard [11]. The specimens were printed with filaments from the same brand. Before printing, the rolls were dried according to the instructions of the producer—for PLA material, a 6 h drying process at 55 °C was applied. For the procedure an industrial dryer with a mercury thermometer was applied, as shown in Figure 2a. After the printing process and cooling of the print bed finished, the specimens were taken out of the printer and conditioned according to the standard before being tested. The filament rolls were in a low-humidity environment (<10% humidity) during the print process. The dimensions of each specimen were measured in order to guarantee dimensional accuracy before each test. The print times and the amount of filament used based on the data in the slicing software are presented in the results – Section 3. Before each printing the self-calibration procedure of the printer was initiated—it incorporates bed level and flow calibration. The printer used in the study was a X1-Carbon Combo (Manufacturer: Bambu Lab, Shenzhen, China), presented in Figure 2b.
The printing parameters have a direct influence on the formation of the specimen and, therefore, on the outcome of the testing. The parameters varied in the study were infill percentage (25%, 50%, 75%, and 100%—no infill pattern), infill pattern (grid, rectilinear, triangular, honeycomb, gyroid, and trihexagonal—Figure 3), number of wall loops/shells (1, 2, 3, 4, and 5), layer height (0.08 mm, 0.12 mm, 0.16 mm, and 0.20 mm), and printing orientation (flat, on-edge, and upright—Figure 4a). Additionally, different PLA colors (white, red, green, blue, yellow, orange, black, gray, wood brown, starlight brown, and sparkle dark blue) were tested, as shown in Figure 4b.
The starlight brown filament displays different colors from different viewing angles, while the sparkle dark blue displays a shimmering effect.
A benchmark PLA specimen was chosen with set parameters that are presented in Table 1. For each of the cases presented, only a specific parameter was changed, while all other parameters were the same as in the benchmark specimen. When testing the impact strength of differently colored PLAs, all the specimens had the printing parameters of the benchmark specimen. A total of 5 specimens were tested for each separate case. A textured PEI plate was used for the print bed. The fan was always running except for the first layer.

3. Results

Figure 5a–f represent graphically the results of the influence of infill percentage, infill pattern, layer height, number of walls, printing orientation, and filament color, respectively, on the impact strength of 3D-printed PLA Charpy test samples. The error bars on the graphs indicate the standard deviation from the mean value. In Table 2 the measured average impact strength values, the printing times (PTs), and the amount of filament consumed (FC) are given for all cases examined. A total of 140 specimens (SPs) were tested.
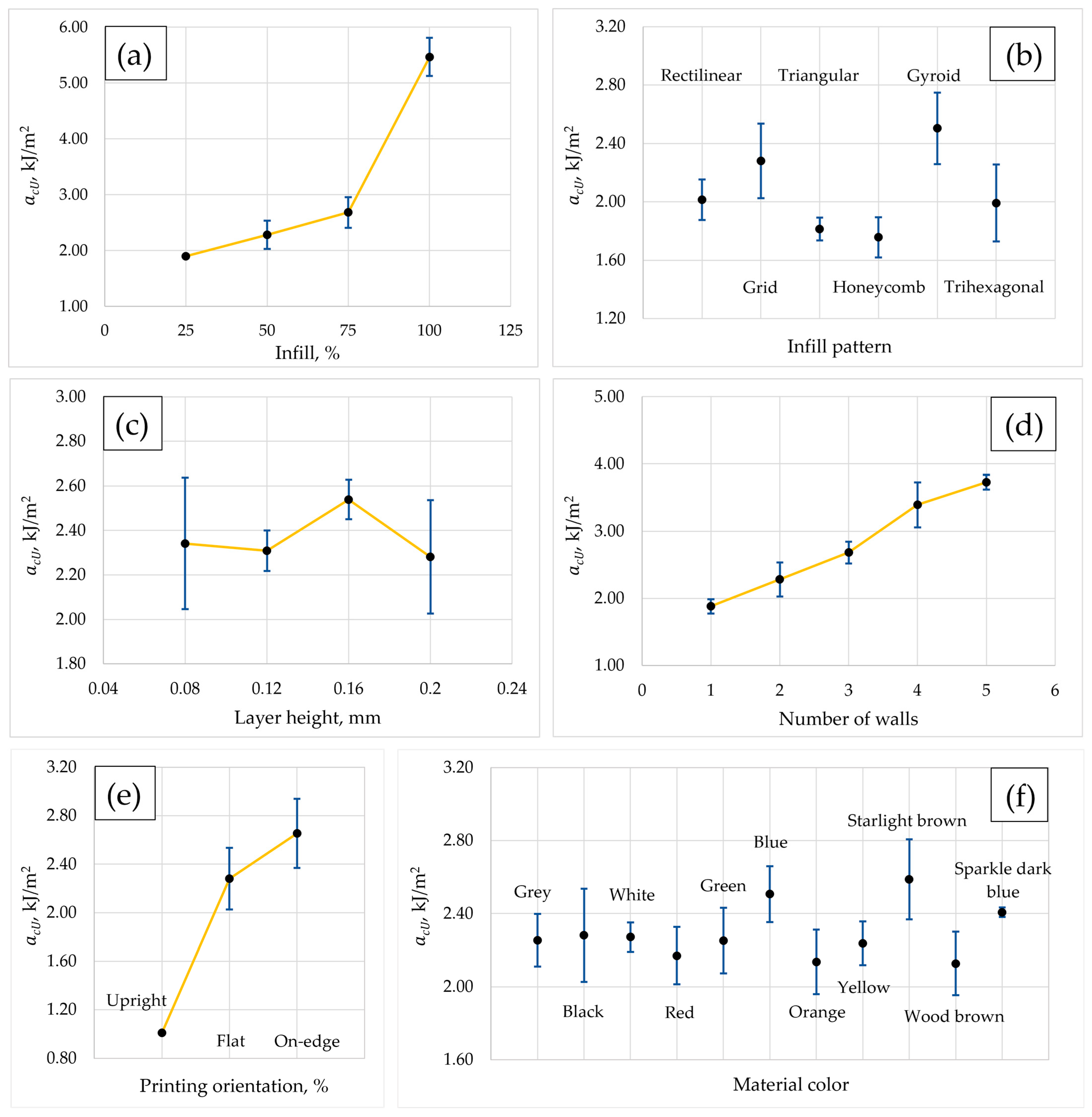
The results from Figure 5a indicate that the impact strength increases with the increase in the infill percentage in a linear trend from 25 to 75%, though this trend does not continue up to the maximum infill value. Naturally, the sample with 100% infill has the highest mean impact strength (5.46 kJ/m2), which is more than twice the mean value at 50% infill (2.28 kJ/m2). The best mass-to-energy-absorbed ratio is also achieved by the 100% infill specimen, yet the longest print time and the highest standard deviation also belong to it. The dimensional accuracy is approximately the same for all the infill density cases, and the values are within the tolerances in accordance with the standard—the dimensional accuracy is, on average, 99.58% for the length, 98.75% for the height, and 97.75% for the width.
It is evident from Figure 5b and Table 2 that the gyroid infill pattern guarantees the highest impact energy absorbed (2.50 kJ/m2) and the highest mass-to-energy-absorbed ratio. The lowest impact strength is achieved by the triangular (1.81 kJ/m2) and the honeycomb (1.76 kJ/m2) patterns, yet they also possess the lowest standard deviations. Both the honeycomb and gyroid patterns have complex meshes (Figure 3) with large area coverage at the specimen’s walls. Nonetheless, the different tendency in the results is probably due to print direction (45°), as the gyroid pattern is printed perpendicular to the wall, but this is not case for the honeycomb pattern. The influence of infill pattern on the dimensional accuracy is negligible, with average accuracy being 99.56%, 98.58%, and 98.4% for the length, height, and width, respectively. In terms of impact strength to print time, the optimal result is achieved by the grid infill pattern.
Although the change in layer height does not have a significant effect on the impact energy absorbed by the specimens for the PLA material tested, when increasing it, the print time also increases drastically, as shown in Table 2. The best mass-to-energy-absorbed ratio is achieved by applying the 0.16 mm layer height setting, which also corresponds to the highest a c U . Large standard deviations are observable from Figure 5c for the lowest and highest setting of the layer height. Moreover, the maximum positive value of the standard deviation for the 0.08 mm, 0.12 mm, and 0.20 mm layer height is approximately the same. The dimensional accuracy of the specimens with different layer heights is, on average, 99.55%, 98.57%, and 97.94% for the length, height, and width, respectively.
A linear positive trend is revealed in Figure 5d between the number of walls and the impact strength, the highest value being achieved at five walls (3.73 kJ/m2) and the lowest at a single wall (1.88 kJ/m2). This effect is due to the overall increase in density (infill) of the specimen. Regardless of the change in this setting, the print times remain relatively the same for all cases, which suggests the usage of more walls is a better option rather than a higher infill value in specific designs when the impact strength needs to be increased. The best mass-to-energy-absorbed ratio among the cases compared is realized by the five-walls case. The change in the number of walls has an unsignificant effect on the specimen’s dimensional accuracy: the coincidence with the designed dimensions of the specimens is, on average, 99.55%, 98.62%, and 98.00% considering the length, height, and width.
Printing the specimen with an on-edge orientation leads to a higher mean impact strength and faster print time (about 13%) but a lower mass-to-energy-absorbed ratio in comparison to the flat orientation. The specimens with upright print orientation exhibit a substantially lower impact strength and no standard deviation due to the parallel placement of their walls and infill relative to the impact surface of the test hammer. Printing in a different orientation leads only to a slight change in dimensional accuracy, which is not outside of the tolerances according to the standard (average accuracy of 99.66%, 97.72%, and 97.92% for the length, height, and width, respectively).
The usage of a different PLA color has a small influence on optimizing the impact strength of the material. The results indicate values from 2.13 kJ/m2 for the wood brown to 2.59 kJ/m2 for the starlight brown at the benchmark infill pattern and percentage. The high values of the starlight brown may be due to its color-changing effect and the possible addition of thermochromic compounds in the filament. Moreover, it is possible that the blue colorant additive predisposes a higher impact strength as the blue and sparkle dark blue colors have the second and third highest values. The color change has an insignificant influence on the dimensional accuracy of the produced specimens. The average dimensional accuracy is 99.61%, 98.88%, and 97.75% for the length, height, and width of the specimen, respectively.

4. Discussion and Conclusions

The study explores the influence of infill density, infill pattern, layer height, wall number, printing orientation, and filament color on the impact strength of FDM 3D-printed PLA by applying the Charpy impact strength test method. Additionally, the dimensional accuracy, print time, and filament consumption were also estimated for all the cases examined in the study. An unnotched specimen was applied, and the studied parameters were varied relative to a benchmark setting.
Overall, the results indicate that the infill percentage has the highest influence on the impact strength, followed by the wall number and the infill pattern. The highest value of 5.46 kJ/m2 was achieved by applying a 100% infill. A weak dependence between the layer height and the impact strength was observed in the results.
An important part of this research is the comparison of different PLA colors and their effect on the studied mechanical property, as very few studies focus on investigating this matter. The mean value for all colors tested was estimated at 2.29 kJ/m2, while the deviations between the mean values of the data sets for different colors were within 0.35 kJ/m2, which only proves that the impact strength is dependent on the PLA color of the filament but the link is weak. Nonetheless, it should be kept in mind that the results may be different when applying a different set of conditions, such as printer and slicer software configuration, filament brand, and print settings. The mechanical properties of parts fabricated by FDM out of PLA may vary not only based on the color but also on the filament spool batch, even if the material is from the same color.
None of the selected parameters that were varied in study exerted any significant effect on the dimensional accuracy of the tested samples. In the future the effect of printing temperature and the inclusion of adhesion assistants on the final accuracy of the part will be the focus of a study. In general, more investigation of the mechanical properties, including the impact strength, of polymeric materials intended for 3D printing is required, as this would assist in better tailoring the performance characteristics of final parts.

Author Contributions

T.G.: conceptualization, investigation, resources, writing—original draft preparation, and visualization; V.T.: conceptualization, writing—review and editing, and validation; P.I.: writing—review and editing and validation; I.K.: writing—review and editing, supervision, project administration, and funding acquisition; K.N.: writing—review and editing and validation. All authors have read and agreed to the published version of the manuscript.

Funding

This work has been accomplished with financial support by the European Regional Development Fund within the Operational Programme “Bulgarian national recovery and resilience plan”, procedure for direct provision of grants “Establishing of a network of research higher education institutions in Bulgaria”, and under Project BG-RRP-2.004-0005, “Improving the research capacity anD quality to achieve intErnAtional recognition and reSilience of TU-Sofia (IDEAS)”. The author I. Kralov is thankful to the “National Center of Excellence Mechatronics and Clean Technologies” (BG05M2OP001-1.001-0008) supported by the European Regional Development Fund for providing materials used for the experiments in the study. This work was also supported by Technical University of Sofia research project № 253CH0001-04 “Building infrastructure and environment for aerospace training and research at Technical University of Sofia”.

Institutional Review Board Statement

Not applicable.

Informed Consent Statement

Not applicable.

Data Availability Statement

The raw data supporting the conclusions of this article will be made available by the authors on request.

Acknowledgments

The authors would like to thank to Tenyo Tenev from the Faculty of Transport at TU-Sofia for the assistance in the drying of the filament rolls. The authors would also like to thank Damyan Ganchev from the Faculty of Mechanical Engineering at TU-Sofia and to Konstantin Dimitrov from the Faculty of Industrial Technology at TU-Sofia for sharing valuable information about the Charpy impact testing method.

Conflicts of Interest

The authors declare no conflicts of interest. The funders had no role in the design of the study; in the collection, analyses, or interpretation of data; in the writing of the manuscript; or in the decision to publish the results.

References

  1. Nowak, R.; Rodak, D.; Pytel, S.; Rumianek, P.; Wawrzyniak, P.; Dębski, D.K.; Dudziak, A.; Caban, J. Experiments and Modeling of Three-Dimensionally Printed Sandwich Composite Based on ULTEM 9085. Materials 2024, 17, 5341. [Google Scholar] [CrossRef] [PubMed]
  2. Gechev, T. A short review of the 3D printing methods used in the automotive industry. Bulg. J. Eng. Des. 2021, 44, 67–76. [Google Scholar]
  3. Schwicker, M.; Nikolov, N. Fused Deposition Modeling: From Idea to Physical Part; AIP Conference Proceedings: Pforzheim, Germany, 2022; p. 060002. [Google Scholar]
  4. Rouf, S.; Raina, A.; Irfan Ul Haq, M.; Naveed, N.; Jeganmohan, S.; Farzana Kichloo, A. 3D Printed Parts and Mechanical Properties: Influencing Parameters, Sustainability Aspects, Global Market Scenario, Challenges and Applications. Adv. Ind. Eng. Polym. Res. 2022, 5, 143–158. [Google Scholar] [CrossRef]
  5. Derise, M.R.; Zulkharnain, A. Effect of Infill Pattern and Density on Tensile Properties of 3D Printed Polylactic Acid Parts via Fused Deposition Modeling (FDM). Int. J. Mech. Mechatron. Eng. 2020, 20, 56–63. [Google Scholar]
  6. Frunzaverde, D.; Cojocaru, V.; Bacescu, N.; Ciubotariu, C.-R.; Miclosina, C.-O.; Turiac, R.R.; Marginean, G. The Influence of the Layer Height and the Filament Color on the Dimensional Accuracy and the Tensile Strength of FDM-Printed PLA Specimens. Polymers 2023, 15, 2377. [Google Scholar] [CrossRef] [PubMed]
  7. Hamid, R.A.; Husni, S.N.H.; Ito, T. Effect of Printing Orientation and Layer Thickness on Microstructure and Mechanical Properties of PLA Parts. MJCSM 2022, 8, 11–23. [Google Scholar] [CrossRef]
  8. Syaefudin, E.A.; Kholil, A.; Hakim, M.; Wulandari, D.A.; Riyadi; Murtinugraha, E. The Effect of Orientation on Tensile Strength 3D Printing with ABS and PLA Materials. J. Phys. Conf. Ser. 2023, 2596, 012002. [Google Scholar] [CrossRef]
  9. Schwicker, M.P.; Nikolov, N.D.; Häßel, M. Strength Optimization and Strength Prediction of Fused Deposition Modelled Specimens Based on Process Parameters. IJMERR 2022, 527–534. [Google Scholar] [CrossRef]
  10. ISO 180:2023; Plastics—Determination of Izod Impact Strength. ISO: Geneva, Switzerland, 2023.
  11. ISO 179-1:2023; Plastics—Determination of Charpy Impact Properties—Part 1: Non-Instrumented Impact Test. ISO: Geneva, Switzerland, 2023.
  12. Tezel, T.; Ozenc, M.; Kovan, V. Impact Properties of 3D-Printed Engineering Polymers. Mater. Today Commun. 2021, 26, 102161. [Google Scholar] [CrossRef]
  13. Lennert, J.R.; Sárosi, J. Investigation of 3D printing parameters affecting the impact strength. Int. J. Eng. 2021, 19, 133–139. [Google Scholar]
  14. Gong, H.; Xing, X.; Nel, J. Impact Strength of 3D Printed Polyether-Ether-Ketone (PEEK); University of Texas at Austin: Austin, TX, USA, 2019. [Google Scholar]
  15. Korga, S.; Barszcz, M.; Zgryza, Ł. The Effect of the 3D Printout Filling Parameter on the Impact Strength of Elements Made with the FDM Method. IOP Conf. Ser. Mater. Sci. Eng. 2019, 710, 012027. [Google Scholar] [CrossRef]
  16. Dakhil, G.Y.; Salih, R.M.; Hameed, A.M. The Influence of Infill Pattern and Infill Density on the (Tensile, Flexural and Impact) Strength of 3D Printed Polymers. AIP Conf. Proc. 2022, 2681, 020109. [Google Scholar] [CrossRef]
  17. Galeja, M.; Hejna, A.; Kosmela, P.; Kulawik, A. Static and Dynamic Mechanical Properties of 3D Printed ABS as a Function of Raster Angle. Materials 2020, 13, 297. [Google Scholar] [CrossRef] [PubMed]
Figure 1. A photo and a 3D model of the used Charpy impact testing machine (a) and the unnotched test specimen according to EN ISO 179-1 [11] (b).
Figure 1. A photo and a 3D model of the used Charpy impact testing machine (a) and the unnotched test specimen according to EN ISO 179-1 [11] (b).
Engproc 121 00014 g001
Figure 2. Industrial dryer (Manufacturer: OM3-COΦИЯ, Sofia, Bulgaria) for filament spool drying (a) and 3D printer used for production of specimens (b).
Figure 2. Industrial dryer (Manufacturer: OM3-COΦИЯ, Sofia, Bulgaria) for filament spool drying (a) and 3D printer used for production of specimens (b).
Engproc 121 00014 g002
Figure 3. Varied infill pattern parameter at 50% infill and 45° infill direction.
Figure 3. Varied infill pattern parameter at 50% infill and 45° infill direction.
Engproc 121 00014 g003
Figure 4. Different print orientations of the specimen (a) and a photo of the tested PLA specimens in different colors (b).
Figure 4. Different print orientations of the specimen (a) and a photo of the tested PLA specimens in different colors (b).
Engproc 121 00014 g004
Figure 5. The influence of the infill percentage (a), infill pattern (b), layer height (c), number of walls (d), printing orientation (e), and material color (f) on the impact strength of PLA specimens.
Figure 5. The influence of the infill percentage (a), infill pattern (b), layer height (c), number of walls (d), printing orientation (e), and material color (f) on the impact strength of PLA specimens.
Engproc 121 00014 g005
Table 1. Print parameters of the benchmark specimen.
Table 1. Print parameters of the benchmark specimen.
Infill, %50Infill patternGridMaterialPLA
Layer height, mm0.2Top infill patternMonotonicColorBlack
Initial layer height, mm0.2Bottom infill patternMonotonicFilament diameter, mm1.75
Default line width, mm0.42Internal solid infill patternMonotonicFilament flow ratio0.95
Wall loops (shells), num2Internal solid infill width, mm0.42Print orientationFlat
Top shell layers, num3Inner wall width, mm0.45Bridge direction, °0
Bottom shell layers, num3Initial layer width, mm0.5Seam positionBack
Infill/Wall Overlap, %15Sparse infill width, mm0.45Nozzle diameter, mm0.4
Infill direction, °45Top surface width, mm0.42Outer wall width, mm0.42
Nozzle temperature; all layers, °C220Ambient temperature, °C25Initial layer speed, mm/s50
Plate temperature; all layers, °C55Material density, kg/m31.31Initial layer infill speed, mm/s105
Outer wall speed, mm/s150Sparse infill speed, mm/s220Top surface speed, mm/s180
Inner wall speed, mm/s220Internal solid infill, mm/s220Bridge speed, mm/s50
The names of the parameters are bolded, while their values are not.
Table 2. Results of the impact strength.
Table 2. Results of the impact strength.
Varied ParameterParameter Value Average   a c U , kJ/m2PT (5 SP), minFC (5 SP), g
Infill, %251.9023 m 49 s12.12
502.2828 m 46 s15.11
752.6832 m 9 s17.63
1005.4635 m 58 s20.36
Infill patternRectilinear2.0128 m 39 s15.16
Grid2.2828 m 46 s15.11
Triangular1.8128 m 26 s15.12
Honeycomb1.7649 m 34 s16.12
Gyroid2.5041 m 39 s14.72
Trihexagonal1.9927 m 48 s14.89
Layer height, mm0.082.3450 m 53 s14.17
0.122.3138 m 20 s14.72
0.162.5432 m 49 s15.02
0.202.2828 m 46 s15.11
Number of walls11.8827 m 13 s14.19
22.2828 m 46 s15.11
32.6828 m 34 s15.36
43.3929 m 1 s15.98
53.7328 m 27 s16.73
Printing orientationUpright1.0149 m 45 s20.06
Flat2.2828 m 46 s15.11
On-edge2.6524 m 59 s20.25
ColorGray2.2528 m 46 s15.11
Black2.28
White2.27
Red2.17
Green2.25
Blue2.51
Orange2.14
Yellow2.24
Starlight brown2.59
Wood brown2.13
Sparkle dark blue2.41
Disclaimer/Publisher’s Note: The statements, opinions and data contained in all publications are solely those of the individual author(s) and contributor(s) and not of MDPI and/or the editor(s). MDPI and/or the editor(s) disclaim responsibility for any injury to people or property resulting from any ideas, methods, instructions or products referred to in the content.

Share and Cite

MDPI and ACS Style

Gechev, T.; Tsonev, V.; Ivanov, P.; Kralov, I.; Nedelchev, K. The Influence of Printing Parameters on the Impact Strength of FDM 3D-Printed Polylactic Acid. Eng. Proc. 2026, 121, 14. https://doi.org/10.3390/engproc2025121014

AMA Style

Gechev T, Tsonev V, Ivanov P, Kralov I, Nedelchev K. The Influence of Printing Parameters on the Impact Strength of FDM 3D-Printed Polylactic Acid. Engineering Proceedings. 2026; 121(1):14. https://doi.org/10.3390/engproc2025121014

Chicago/Turabian Style

Gechev, Tsvetomir, Veselin Tsonev, Petar Ivanov, Ivan Kralov, and Krasimir Nedelchev. 2026. "The Influence of Printing Parameters on the Impact Strength of FDM 3D-Printed Polylactic Acid" Engineering Proceedings 121, no. 1: 14. https://doi.org/10.3390/engproc2025121014

APA Style

Gechev, T., Tsonev, V., Ivanov, P., Kralov, I., & Nedelchev, K. (2026). The Influence of Printing Parameters on the Impact Strength of FDM 3D-Printed Polylactic Acid. Engineering Proceedings, 121(1), 14. https://doi.org/10.3390/engproc2025121014

Article Metrics

Back to TopTop