Abstract
Drying is a primary and suitable preservation method before storage for tobacco leaves to minimize mold/mycotoxin development. The drying temperature of leaves and stems of tobacco are 333 K and 348 K, respectively. The current study investigates the performance of a new type of mixed mode solar cabinet dryer for the purpose of drying tobacco. The proposed construction of cabinet dryer allows drying of tobacco leaves and stems in separate sections near to the desired temperature ranges. Numerical simulations of unsteady laminar airflow and heat transfer through a two-dimensional model was carried out for a typical day in August under the climatic conditions of Islamabad (Pakistan). Moreover, the effects of air inlet velocity and comparison of left and right drying sections of the solar cabinet dryer have been analyzed. Overall results indicated that the proposed design configuration was able to maintain required uniform temperature distribution in separate sections of the single cabinet dryer and, thus, offers promising results to keep the standard quality of the dried tobacco leaves and stems.
1. Introduction
The practical use of the energy from the sun, electricity, or fossil fuels for the purpose of drying agricultural products will go a long way in reducing post-harvest loss [1].
Traditional open-air sun drying process is one of the oldest, simplest, and widely practiced by local farmers in rural areas. The process requires relatively low capital investment, but a large drying area, and is time consuming and generally unhygienic [2].
Some studies used this method [3,4,5] at the dryer chamber corners. The yellowing phase is generally at a constant temperature of about 313 K, while an average temperature increase gradually allows it to reach 333 K at the end of the leaf-drying phase and 348 K at the end of the stem-drying phase [6].
Most of the studies reported in the literature were focused on the drying of tobacco leaves with multiple processes. No one focused on tobacco leaves drying with single process, and very few authors have discussed the parametric analysis of the solar dryers.
This work focused on tobacco leaves drying in single phase. The novelty of the proposed design of drying cabinet is divided into two portions, one for stem and other for leaves. Both components of the tobacco leaves will be dried in one process simultaneously by using this drying cabinet.
2. Material and Methods
2.1. Design of Solar Dryer
The solar cabinet dryer geometrical set up is shown in Figure 1. The solar cabinet drying system consists of a blower, and a flatbed drying chamber. The drying chamber is 1.5 m in length and 1.0 m in width. There are 15 on the left side and 11 trays on right side, with a distance of 0.12 m between each tray. The drying system was classified as a forced convection mixed-mode type, and angle of inclination of the dryer was set to 30° and faced south. Blower was placed on the outlet to suck air. The solar cabinet dryer was built to store 50 kg of tobacco leaves, which was separated into eight trays and evenly distributed. The cabinet dryer was divided into two portions, one portion used for stem and the other for leaves. The stem needed higher temperature to dry, compared to leaves. The dried leaves were removed when the required temperature was achieved, then the dryer was heated up to the required temperature of stem.
Figure 1.
Schematic sketch of solar cabinet dryer.
Design Considerations for Solar Dryer
- Temperature—The minimum temperature for drying tobacco leaves was 313 K and the maximum temperature was 348 K, therefore 318 K and above was considered normal for drying tobacco leaves.
- Efficiency of solar dryer—This was defined as the ratio of the useful output of a device to the input of the device.
- Dryer Trays—Aluminum can be used as dryer trays to pass air circulation within the drying chamber. The design of the dryer chamber that made use of wooden wall sides and a glass top (tilted) protects the leaves placed on the trays from direct sunlight.
2.2. Numerical Modeling
The proposed dryer section was two dimensional with a height of 1.57 m and width of 0.99 m. During the drying process, ambient air was pumped into the drying chamber from the inlet section, causing inlet temperature to increase as time passed. The transient numerical model was based on two-phase Schumann model equations formulated using mass, momentum, and energy conservation equations.
Initial and Boundary Condition
The governing mathematical equations were solved using suitable initial and boundary conditions. The fluid domain in the cabinet was assumed to be at a temperature of 298 K before the start of drying process as shown in Table 1.
Table 1.
Boundary condition of the solar dryer.
2.3. Mesh Independency
The mesh size of 0.005 m was chosen for further examination of the suggested cabinet design and was described in the following section in order to maintain calculation accuracy and save computational time as shown in Figure 2.
Figure 2.
Graph between time and temperature with mesh size variation.
3. Result and Discussion
In this section, a parametric sensitivity analysis of the proposed cabinet of mixed mode solar dryer was presented by variation in velocity and performance analysis of the left and right portion of the cabinet dryer.
3.1. Effect of Velocity Variation at Dryer Entry
This section shows the velocity variation of the solar cabinet dryer and analyzes the effect on temperature and pressure. By increasing the air flow velocity at the entry point of the dryer, the temperature and pressure will also increase with the time. Heat is the transfer of kinetic energy between molecules. If the velocity is increased, the kinetic energy will be increased, so that the heat is increased. Since temperature is the measure of heat, the temperature increases as the velocity increases.
Figure 3 shows the contours of temperature, with respect to the velocity variation in air of the solar cabinet dryer after 8 h.
Figure 3.
Temperature contours with respect to velocity variation.
The temperature and pressure is directly proportional to the air velocity of the solar cabinet dryer. The above simulation results show that by increasing the air velocity, temperature of dryer cabinet increases simultaneously.
Utilize an air flow velocity of 0.15 m/s to attain the required drying temperature and optimal efficiency. The leaves will dry properly and in the appropriate period this way as shown in Figure 4.
Figure 4.
(a) Graph between time and temperature. (b) Graph between time and pressure. (c) Graph between time and velocity.
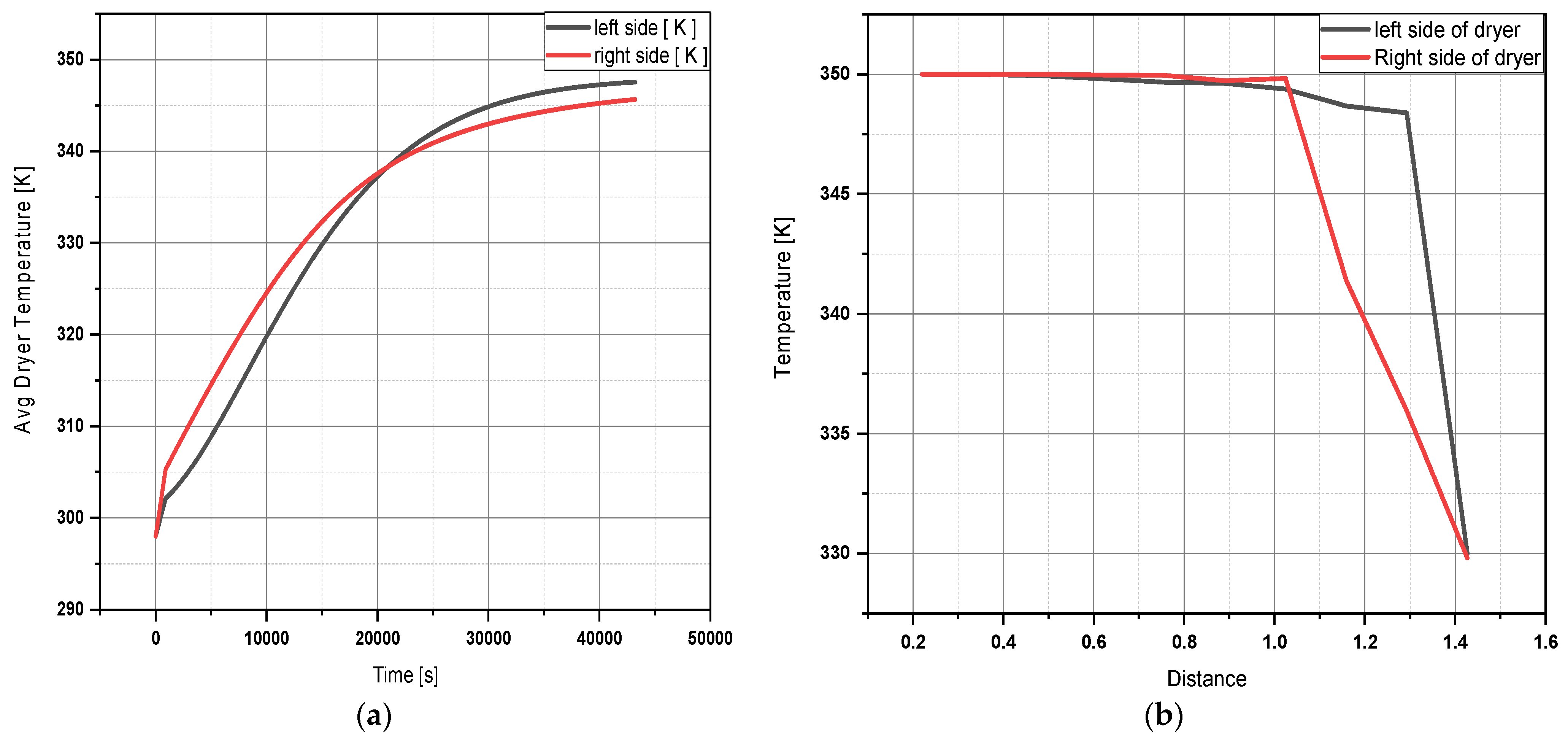
3.2. Performance Analsysis of Left and Right Sections of the Dryer
In this section, the left and right portion of the solar cabinet dryer were investigated by analyzing the effect on average drying air temperature as a function of time and spatial coordinates as shown in Figure 5. The results showed that, the left side heated slowly with respect to time, but at the end, the left side dryer reached a higher temperature compared to the right side of the dryer.
Figure 5.
(a) Graph between time and dryer temperature. (b) Graph between distance and dryer temperature.
This result showed placement of the stem on the side which is more heated (left side), and placement of leaves on the right side of dryer. This, way both products will be dried appropriately and properly.
4. Conclusions
A new design of mixed mode solar dryer was proposed for the drying of tobacco leaves and stems simultaneously. Moreover, a detailed parametric performance analysis of the proposed solar dryer was presented using numerical simulations. The main findings from the current study can be summarized as follows:
- By increasing the air flow velocity at the entry point of the dryer, the temperature and pressure also increases with the time. If we need to achieve the required drying temperature and best efficiency, we have to use air flow velocity of 0.15 m/s. This way, the tobacco stem and leaves will dry properly and in the required time.
- The left side of the cabinet dryer heated slowly with respect to time, but, at the end, the left side dryer reached a higher temperature compared to right side of the dryer. This result shows that we can place the stem on the side which is more heated (left side) and place the leaves on the right side of dryer.
- Overall results indicated that the proposed design configuration was able to maintain required uniform temperature distribution in separate sections of the single cabinet dryer and, thus, offers promising results to keep the standard quality of the dried tobacco leaves and stems.
Author Contributions
S.A.W.A. contributed to the design and implementation of the research, to the analysis of the results and to the writing of the manuscript. N.A. supervised the project. All authors have read and agreed to the published version of the manuscript.
Data Availability Statement
Not applicable.
Acknowledgments
First and foremost, I want to express my most profound appreciation to Allah Almighty for his countless blessings during my study. Second, I’d like to express my extreme gratitude to Naveed Ahmed, for granting me the chance to work on my field of interest under his kind and expert guidance.
Conflicts of Interest
The authors declare no conflict of interest.
References
- Waewsak, J.; Chindaruksa, S.; Punlek, C. A mathematical modeling study of hot air drying for some agricultural products. Sci. Technol. Asia 2006, 2006, 14–20. [Google Scholar]
- Mehta, P.; Samaddar, S.; Patel, P.; Markam, B.; Maiti, S. Design and performance analysis of a mixed mode tent-type solar dryer for fish-drying in coastal areas. Sol. Energy 2018, 170, 671–681. [Google Scholar] [CrossRef]
- Mathioulakis, E.; Karathanos, V.T.; Belessiotis, V.G. Belessiotis, Simulation of air movement in a dryer by computational fluid dynamics: Application for the drying of fruits. J. Food Eng. 1998, 36, 183–200. [Google Scholar] [CrossRef]
- Mirade, P.S. Prediction of the air velocity field in modern meat dryers using unsteady computational fluid dynamics (CFD) models. J. Food Eng. 2003, 60, 41–48. [Google Scholar] [CrossRef]
- Margaris, D.P.; Ghiaus, A.G. Ghiaus, Dried product quality improvement by air flow manipulation in tray dryers. J. Food Eng. 2006, 75, 542–550. [Google Scholar] [CrossRef]
- ELkhadraoui, A.; Kooli, S.; Hamdi, I.; Farhat, A. Experimental investigation and economic evaluation of a new mixed-mode solar greenhouse dryer for drying of red pepper and grape. Renew. Energy 2015, 77, 1–8. [Google Scholar] [CrossRef]
Publisher’s Note: MDPI stays neutral with regard to jurisdictional claims in published maps and institutional affiliations. |
© 2022 by the authors. Licensee MDPI, Basel, Switzerland. This article is an open access article distributed under the terms and conditions of the Creative Commons Attribution (CC BY) license (https://creativecommons.org/licenses/by/4.0/).




