Abstract
In this study, we investigated two flavone glycosides isolated from Agastache rugosa for their potential as natural XO inhibitors using molecular docking and in silico ADMET (Absorption, Distribution, Metabolism, Excretion, and Toxicity) analyses. Both compounds exhibited stable binding within the XO active site through multiple interactions, including hydrogen bonding, π-π stacking, and hydrophobic contacts, with docking scores comparable to the reference compound quercetin. ADMET predictions revealed favorable pharmacokinetic profiles and compliance with Lipinski’s Rule of Five, indicating good oral bioavailability and drug-likeness.
1. Introduction
Xanthine oxidase (XO) is a key enzyme in purine metabolism, catalyzing the sequential oxidation of hypoxanthine to xanthine and subsequently to uric acid. This process also generates reactive oxygen species (ROS) as by-products. Excessive XO activity, leading to elevated levels of uric acid and ROS, has been implicated in various pathological conditions, including gout, cardiovascular diseases, diabetes, and other oxidative stress-related disorders [1].
While conventional XO inhibitors, such as allopurinol, are clinically effective, their use is often limited by adverse side effects such as hypersensitivity reactions, gastrointestinal disturbances, and nephrotoxicity. These drawbacks have spurred the search for safer, naturally derived alternatives with improved tolerability. Plant-derived secondary metabolites have attracted considerable attention for their diverse bioactivities and relatively low toxicity profiles. Among these, flavonoids, a large class of polyphenolic compounds abundantly found in fruits, vegetables, and medicinal plants, have been extensively studied for their antioxidant, anti-inflammatory, and enzyme-inhibitory properties [2].
Flavone glycosides, a specific subclass of flavonoids, are characterized by a flavone backbone consisting of two aromatic rings (A and B) connected by a heterocyclic pyrone ring (C) that is glycosylated at one or more hydroxyl groups. The attached sugar moieties, such as glucose, rhamnose, or galactose, play a crucial role in modulating the solubility, stability, bioavailability, and biological activity of these compounds [3]. Glycosylation generally enhances water solubility, facilitating absorption and transport within biological systems, while also influencing their binding interactions with enzymes and receptors.
Flavone glycosides are widely distributed in medicinal plants and have been reported to exhibit a broad spectrum of pharmacological activities, including antioxidant, anti-inflammatory, antimicrobial, and antitumor effects [4]. Their antioxidant capacity arises primarily from their ability to donate hydrogen atoms or electrons, scavenge free radicals, and chelate pro-oxidant metal ions. Previous studies have suggested that the presence of hydroxyl groups at specific positions on the flavone ring system, as well as the type and position of the glycosylated sugar, can strongly influence their enzyme inhibitory potency and selectivity [5].
In the present study, we investigated the XO inhibitory potential of two flavone glycosides both isolated from Agastache rugosa [6]. Molecular docking was employed to characterize their binding interactions and to elucidate their potential mechanisms of XO inhibition. Furthermore, ADMET predictions were conducted to evaluate the pharmacokinetic profiles and drug likeness of these compounds, providing insight into their theoretical suitability as drug candidates.
2. Materials and Methods
2.1. Molecular Docking
The X-ray crystal structure of quercetin bound to XO (PDB ID: 3NVY) [7] was retrieved from the RSC Protein Data Bank. The XO enzyme structure was prepared using the Protein Preparation Wizard in the Schrödinger Suite 2021-3 software package. The three-dimensional structures of the flavone glucoside derivatives were generated in Maestro and further optimized using LigPrep with the OPLS4 force field.
The final prepared PDB files of both the enzyme and the studied compounds were used for the molecular docking process. Docking studies were carried out using Glide in extra precision (XP) mode [8]. The resulting docked complexes of the compounds with XO were visualized and analyzed using ChimeraX [9].
2.2. In Silico ADMET Prediction
To evaluate the pharmacokinetic properties of the flavone glucoside compounds, ADMET analysis was performed using reliable online platforms such as SwissADME and PKCSM [10,11]. These tools provide comprehensive in silico predictions of key pharmacokinetic parameters, including oral bioavailability, gastrointestinal absorption, blood–brain barrier permeability, and potential metabolic pathways. Their application enables early screening of drug-like properties, thereby streamlining the drug discovery process and facilitating the identification of compounds with favorable pharmacokinetic profiles.
3. Results and Discussion
3.1. Molecular Docking
Recent advances in computational drug discovery, particularly molecular docking and structure activity relationship (SAR) analyses, have provided valuable insights into how molecules interact with enzymes. These techniques enable the prediction of binding affinity, interaction stability, and inhibitory mechanisms, thus accelerating the identification of promising therapeutic candidates.
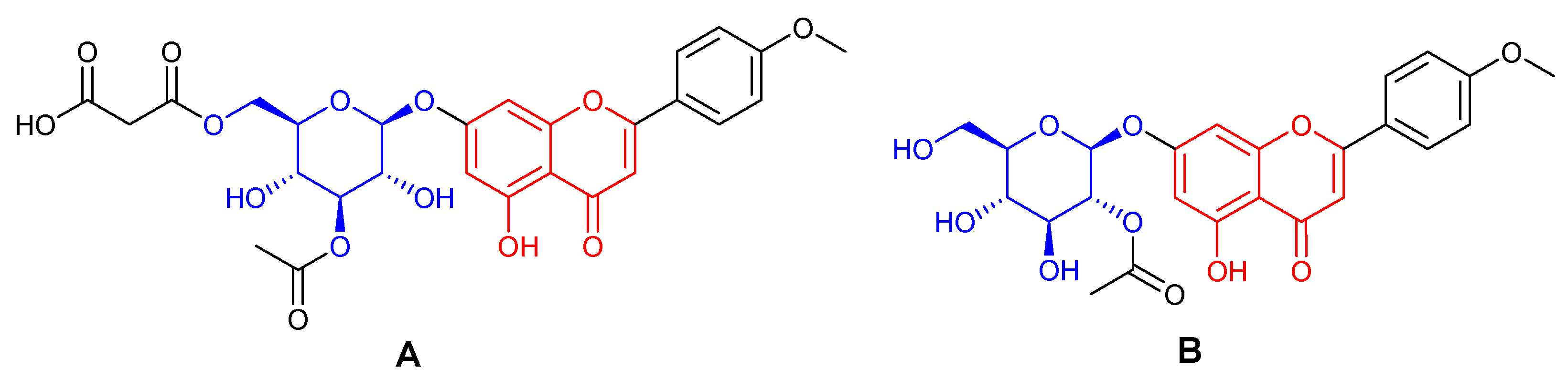
This study employed molecular docking to investigate the binding mode of two flavone glucosides A and B and the XO protein (Figure 1).
Figure 1.
Chemical structures of the flavone glucosides A and B.
To validate the docking protocol, quercetin was re-docked into the active site of the XO enzyme. The docked pose closely overlapped with the crystallized structure, (RMSD = 0.24 Å). This confirmed the reliability of the docking approach, which utilized the XP scoring function. The docking results, including the estimated docking scores, are summarized in Table 1. The two ligands A and B demonstrated strong binding stability, with docking scores of −7.03 and −7.23 kcal/mol, respectively, both closely the reference ligand quercetin, which had a docking score of −8.48 kcal/mol.
Table 1.
Docking scores (kcal/mol) of studies flavone glucoside A, B and quercetin.
The molecular docking analysis revealed that both flavone glycosides bound stably within the active site of XO, forming multiple interactions that contribute to their inhibitory potential. Compound A established a hydrogen bond between its malonyl group and the Leu684 residue, in addition to engaging in π–π stacking interactions with the aromatic side chains of Phe914 and Phe1009. These interactions suggest a strong stabilization of the compound within the catalytic pocket.
Similarly, Compound B formed a hydrogen bond between its glucosidic group and Glu879, highlighting the importance of the sugar moiety in anchoring the molecule to the active site. Furthermore, it engaged in two distinct π–π stacking interactions: one between the flavone aromatic ring and Phe649, and another with Phe1009, which further reinforced its binding affinity.
In addition to these key interactions, both compounds were stabilized by hydrophobic contacts with several surrounding residues, including Leu1014, Phe1013, Val1011, Leu873, Pro1012, and Ala1078. These hydrophobic interactions contribute to the overall stability of the ligand–enzyme complex and play a critical role in maintaining an optimal conformation for enzyme inhibition (Figure 2).
Figure 2.
2D binding disposition of Flavone glucoside A and B after docking calculations in the active site of XO enzyme.
3.2. ADMET Prediction
Potential drug candidates often exhibit similar physicochemical properties that influence their pharmacokinetics and overall drug-likeness. To evaluate these properties, various computational tools and filters have been developed, among which Lipinski’s Rule of Five is one of the most widely recognized. According to this rule, a compound is considered drug-like if it has a molecular weight less than 500 Da (<500 Da), no more than 5 hydrogen bond donors (HBD ≤ 5), no more than 10 hydrogen bond acceptors (HBA ≤ 10), and a logP value (octanol–water partition coefficient) less than 5 (<5). Compounds that violate more than one of these parameters are generally associated with poor absorption or permeability. According to Swiss ADME analysis, the Flavone glucosides A and B in this study satisfy Lipinski’s criteria, indicating good oral bioavailability and supporting their potential as promising drug candidates (Table 2).
Table 2.
In Silico ADMET and Drug-Likeness profile of compounds A and B.
4. Conclusions
The present study highlights the potential of two flavone glycosides from Agastache rugosa as natural XO inhibitors. Molecular docking revealed that both compounds fit well into the active site of XO, establishing key hydrogen bonds, π–π stacking interactions, and hydrophobic contacts with critical residues, thereby suggesting a strong inhibitory mechanism and the ADMET analysis demonstrated that both compounds possess favorable pharmacokinetic properties, including high gastrointestinal absorption and compliance with Lipinski’s Rule of Five, indicating their potential suitability for oral administration. Collectively, these results provide a strong theoretical basis for considering these flavone glycosides as lead compounds in the development of safer, plant-based therapeutics for hyperuricemia and related oxidative stress disorders.
Author Contributions
Conceptualization, R.M. and A.B.; methodology, R.M.; software, R.M.; validation, N.F.; formal analysis, A.B.; investigation, R.M.; writing—original draft preparation, R.M.; writing—review and editing, A.B. All authors have read and agreed to the published version of the manuscript.
Funding
This research received no external funding.
Institutional Review Board Statement
Not applicable.
Informed Consent Statement
Not applicable.
Data Availability Statement
All data are provided within the article.
Conflicts of Interest
The authors declare no conflict of interest.
References
- Bortolotti, M.; Polito, L.; Battelli, M.G.; Bolognesi, A. Xanthine oxidoreductase: One enzyme for multiple physiological tasks. Redox Biol. 2021, 41, 101882. [Google Scholar] [CrossRef] [PubMed]
- Dias, M.C.; Pinto, D.C.; Silva, A.M. Plant flavonoids: Chemical characteristics and biological activity. Molecules 2021, 26, 5377. [Google Scholar] [CrossRef] [PubMed]
- Xu, T.; Lv, Y.; Cui, Y.; Liu, D.; Xu, T.; Lu, B.; Yang, X. Properties of Dietary Flavone Glycosides, Aglycones, and Metabolites on the Catalysis of Human Endoplasmic Reticulum Uridine Diphosphate Glucuronosyltransferase 2B7 (UGT2B7). Nutrients 2023, 15, 4941. [Google Scholar] [CrossRef] [PubMed]
- Chagas, M.D.S.S.; Behrens, M.D.; Moragas-Tellis, C.J.; Penedo, G.X.; Silva, A.R.; Gonçalves-de-Albuquerque, C.F. Flavonols and flavones as potential anti-inflammatory, antioxidant, and antibacterial compounds. Oxidative Med. Cell Longev. 2022, 2022, 9966750. [Google Scholar] [CrossRef] [PubMed]
- Jomova, K.; Alomar, S.Y.; Valko, R.; Liska, J.; Nepovimova, E.; Kuca, K.; Valko, M. Flavonoids and their role in oxidative stress, inflammation, and human diseases. Chem.-Biol. Interact. 2025, 413, 111489. [Google Scholar] [CrossRef] [PubMed]
- Seo, Y.H.; Kang, S.Y.; Shin, J.S.; Ryu, S.M.; Lee, A.Y.; Choi, G.; Moon, B.C.; Jang, D.-S.; Shim, S.H.; Lee, D.; et al. Chemical constituents from the aerial parts of Agastache rugosa and their inhibitory activities on prostaglandin E2 production in lipopolysaccharide-treated RAW 264.7 macrophages. J. Nat. Prod. 2019, 82, 3379–3385. [Google Scholar] [CrossRef] [PubMed]
- Cao, H.; Pauff, J.M.; Hille, R. X-ray crystal structure of a xanthine oxidase complex with the flavonoid inhibitor quercetin. J. Nat. Prod. 2014, 77, 1693–1699. [Google Scholar] [CrossRef] [PubMed]
- Friesner, R.A.; Banks, J.L.; Murphy, R.B.; Halgren, T.A.; Klicic, J.J.; Mainz, D.T.; Repasky, M.P.; Knoll, E.H.; Shaw, D.E.; Shelley, M.; et al. Glide: A New Approach for Rapid, Accurate Docking and Scoring. 1. Method and Assessment of Docking Accuracy. J. Med. Chem. 2004, 47, 1739–1749. [Google Scholar] [CrossRef] [PubMed]
- Pettersen, E.F.; Goddard, T.D.; Huang, C.C.; Couch, G.S.; Greenblatt, D.M.; Meng, E.C.; Ferrin, T.E. UCSF Chimera—A visualization system for exploratory research and analysis. J. Comput. Chem. 2004, 25, 1605–1612. [Google Scholar] [CrossRef] [PubMed]
- Available online: https://www.swissadme.ch/ (accessed on 26 September 2025).
- Available online: https://biosig.lab.uq.edu.au/pkcsm/prediction (accessed on 26 September 2025).
Disclaimer/Publisher’s Note: The statements, opinions and data contained in all publications are solely those of the individual author(s) and contributor(s) and not of MDPI and/or the editor(s). MDPI and/or the editor(s) disclaim responsibility for any injury to people or property resulting from any ideas, methods, instructions or products referred to in the content. |
© 2025 by the authors. Licensee MDPI, Basel, Switzerland. This article is an open access article distributed under the terms and conditions of the Creative Commons Attribution (CC BY) license (https://creativecommons.org/licenses/by/4.0/).

