Biophysicochemical Design of a Dual-Function Hydrogel for Synergistic Shock-Absorption and Anti-Inflammatory Action for TMD Therapy
Abstract
1. Introduction
2. Materials and Methods
2.1. Chemical Reagents
2.2. Equipment
2.3. Hydrogels Preparation and Sterilization
2.4. Freeze-Drying
2.5. Attenuated Total Reflectance-Fourier Transform Infrared Spectroscopy (FTIR)
2.6. Thermogravimetric Analysis (TGA)
2.7. Rheology Assay in Cone Plate
2.7.1. Frequency Sweep
2.7.2. Amplitude Sweep
2.7.3. Temperature Ramp
2.8. Scanning Electron Microscopy with Field Emission Gun (SEM-FEG)
2.9. Biological Performance on in Vitro Cell Cultures
Treatment via Transwell
2.10. Cell Viability by Resazurin Assay
2.11. Genotoxicity Assay by Micronuclei
2.12. Confocal Analysis
2.13. Statistical Analysis
3. Results
3.1. Attenuated Total Reflectance-Fourier Transform Infrared Spectroscopy (FTIR)
3.2. Thermogravimetric Analysis (TGA)
3.3. Rheology Assay
3.3.1. Frequency Sweep
3.3.2. Amplitude Sweep
3.3.3. Temperature Ramp
3.4. Scanning Electron Microscopy with Field Emission Gun (SEM-FEG)
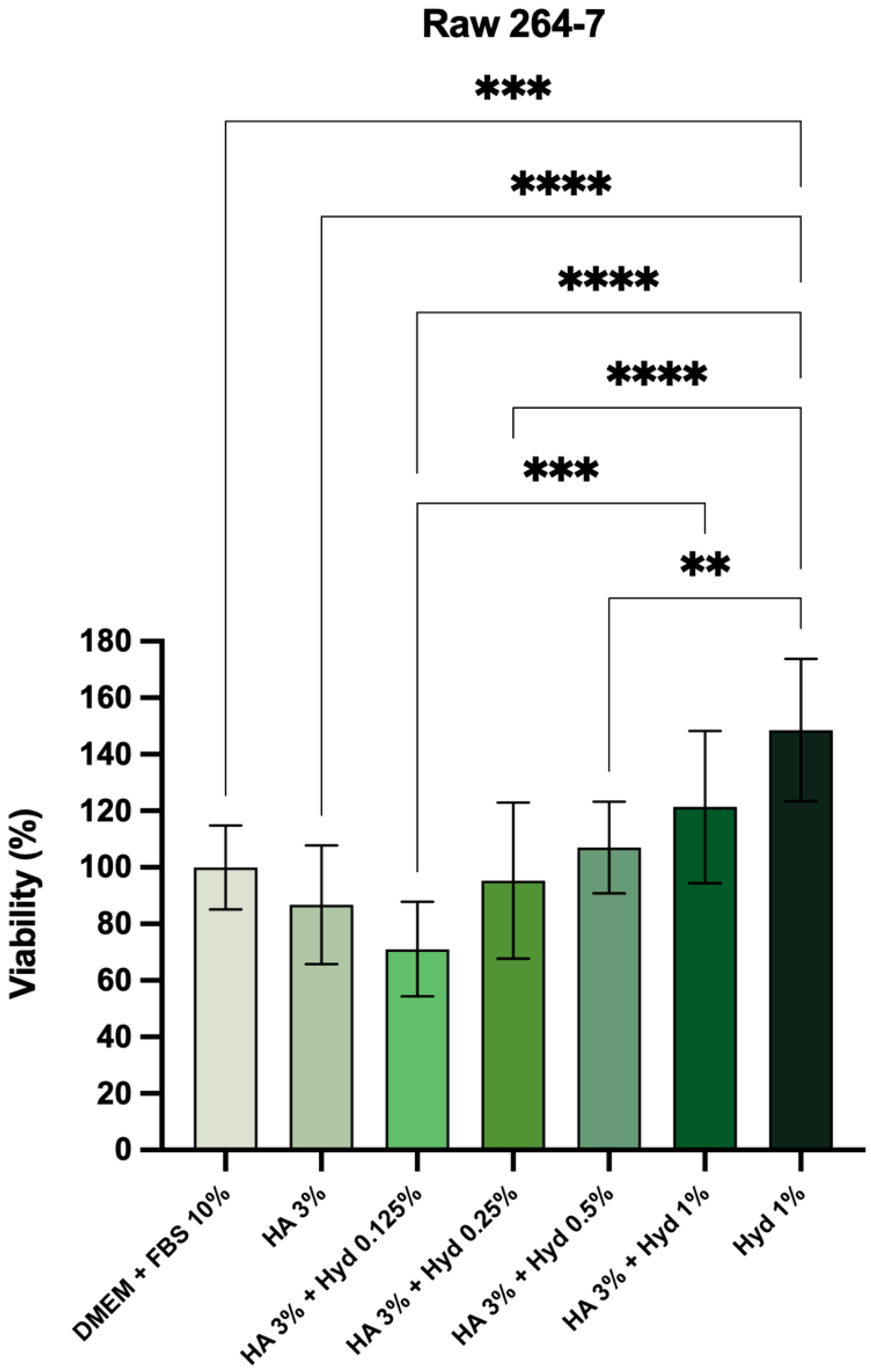
3.5. Cell Viability by Resazurin Essay
3.6. Genotoxicity Assay by Micronucleus
3.7. Confocal Analysis
4. Discussion
5. Conclusions
Author Contributions
Funding
Institutional Review Board Statement
Data Availability Statement
Conflicts of Interest
References
- Schiffman, E.; Ohrbach, R.; Truelove, E.; Look, J.; Anderson, G.; Goulet, J.P.; List, T.; Svensson, P.; Gonzalez, Y.; Lobbezoo, F.; et al. Diagnostic Criteria for Temporomandibular Disorders (DC/TMD) for Clinical and Research Applications: Recommendations of the International RDC/TMD Consortium Network* and Orofacial Pain Special Interest Group†. J. Oral Facial Pain Headache 2014, 28, 6–27. [Google Scholar] [CrossRef] [PubMed] [PubMed Central]
- Wu, J.; Huang, Z.; Chen, Y.; Chen, Y.; Pan, Z.; Gu, Y. Temporomandibular Disorders among Medical Students in China: Prevalence, Biological and Psychological Risk Factors. BMC Oral Health 2021, 21, 549. [Google Scholar] [CrossRef]
- Valesan, L.F.; Da-Cas, C.D.; Réus, J.C.; Denardin, A.C.S.; Garanhani, R.R.; Bonotto, D.; Januzzi, E.; De Souza, B.D.M. Prevalence of Temporomandibular Joint Disorders: A Systematic Review and Meta-Analysis. Clin. Oral Investig. 2021, 25, 441–453. [Google Scholar] [CrossRef]
- Xu, X.; Sui, B.; Liu, X.; Sun, J. A Bioinspired and High-Strengthed Hydrogel for Regeneration of Perforated Temporomandibular Joint Disc: Construction and Pleiotropic Immunomodulatory Effects. Bioact. Mater. 2023, 25, 701–715. [Google Scholar] [CrossRef]
- Monasterio, G.; Castillo, F.; Rojas, L.; Cafferata, E.A.; Alvarez, C.; Carvajal, P.; Núñez, C.; Flores, G.; Díaz, W.; Vernal, R. Th1/Th17/Th22 immune response and their association with joint pain, imagenological bone loss, RANKL expression and osteoclast activity in temporomandibular joint osteoarthritis: A preliminary report. J. Oral Rehabil. 2018, 45, 589–597. [Google Scholar] [CrossRef] [PubMed]
- Bouloux, G.F. Temporomandibular joint pain and synovial fluid analysis: A review of the literature. J. Oral Maxillofac. Surg. 2009, 67, 2497–2504. [Google Scholar] [CrossRef] [PubMed]
- Hunter, D.J.; Bierma-Zeinstra, S. Osteoarthritis. Lancet 2019, 393, 1745–1759. [Google Scholar] [CrossRef] [PubMed]
- Yap, A.U.; Qiu, L.Y.; Natu, V.P.; Wong, M.C. Functional, physical and psychosocial impact of Temporomandibular Disorders in adolescents and young adults. Med. Oral Patol. Oral Cir. Bucal 2020, 25, e188–e194. [Google Scholar] [CrossRef] [PubMed] [PubMed Central]
- Nicholls, M.; Manjoo, A.; Shaw, P.; Niazi, F.; Rosen, J. A Comparison Between Rheological Properties of Intra-Articular Hyaluronic Acid Preparations and Reported Human Synovial Fluid. Adv. Ther. 2018, 35, 523–530. [Google Scholar] [CrossRef]
- Jantzen, C.; Ebskov, L.B.; Andersen, K.H.; Benyahia, M.; Rasmussen, P.B.; Johansen, J.K. The Effect of a Single Hyaluronic Acid Injection in Ankle Arthritis: A Prospective Cohort Study. J. Foot Ankle Surg. 2020, 59, 961–963. [Google Scholar] [CrossRef]
- Webner, D.; Huang, Y.; Hummer, C.D. Intraarticular Hyaluronic Acid Preparations for Knee Osteoarthritis: Are Some Better Than Others? Cartilage 2021, 13, 1619S–1636S. [Google Scholar] [CrossRef]
- Yoshioka, K.; Kisukeda, T.; Zuinen, R.; Yasuda, Y.; Miyamoto, K. Pharmacological Effects of N-[2-[[2-[2-[(2,6Dichlorophenyl)Amino]Phenyl]Acetyl]Oxy]Ethyl]Hyaluronamide (Diclofenac Etalhyaluronate, SI-613), a Novel Sodium Hyaluronate Derivative Chemically Linked with Diclofenac. BMC Musculoskelet. Disord. 2018, 19, 157. [Google Scholar] [CrossRef]
- Haridas, N.; Rosemary, M.J. Effect of Steam Sterilization and Biocompatibility Studies of Hyaluronic Acid Hydrogel for Viscosupplementation. Polym. Degrad. Stab. 2019, 163, 220–227. [Google Scholar] [CrossRef]
- Vildanova, R.; Lobov, A.; Spirikhin, L.; Kolesov, S. Hydrogels on the Base of Modified Chitosan and Hyaluronic Acid Mix as Polymer Matrices for Cytostatics Delivery. Gels 2022, 8, 104. [Google Scholar] [CrossRef] [PubMed] [PubMed Central]
- Alcântara, L.O.; De Sousa, J.R.; Andrade, F.K.; Teixeira, E.H.; Cerqueira, M.Â.; Da Silva, A.L.C.; Souza Filho, M.D.S.M.; De Souza, B.W.S. Extraction and Characterization of Hyaluronic Acid from the Eyeball of Nile Tilapia (Oreochromis Niloticus). Int. J. Biol. Macromol. 2023, 226, 172–183. [Google Scholar] [CrossRef] [PubMed]
- Elhiss, S.; Hamdi, A.; Chahed, L.; Boisson-Vidal, C.; Majdoub, H.; Bouchemal, N.; Laschet, J.; Kraiem, J.; Le Cerf, D.; Maaroufi, R.M.; et al. Hyaluronic Acid from Bluefin Tuna By-Product: Structural Analysis and Pharmacological Activities. Int. J. Biol. Macromol. 2024, 264, 130424. [Google Scholar] [CrossRef]
- Shao, W.; Yang, Y.; Shen, W.; Ren, L.; Wang, W.; Zhu, P. Hyaluronic Acid-Conjugated Methotrexate and 5-Fluorouracil for Targeted Drug Delivery. Int. J. Biol. Macromol. 2024, 273, 132671. [Google Scholar] [CrossRef] [PubMed]
- Kaya, M.G.A.; Simonca, A.G.; Rau, I.; Coman, A.E.; Marin, M.M.; Popa, L.; Trusca, R.; Dinu-Pirvu, C.-E.; Ghica, M.V. Topical Biocomposites Based on Collagen, Hyaluronic Acid and Metronidazole as Periodontitis Treatment. Pharmaceuticals 2024, 17, 1336. [Google Scholar] [CrossRef]
- Altamimi, M.A.; Elzayat, E.M.; Qamar, W.; Alshehri, S.M.; Sherif, A.Y.; Haq, N.; Shakeel, F. Evaluation of the bioavailability of hydrocortisone when prepared as solid dispersion. Saudi Pharm. J. 2019, 27, 629–636. [Google Scholar] [CrossRef] [PubMed] [PubMed Central]
- Caspersen, M.B.; Roubroeks, J.P.; Qun, L.; Shan, H.; Fogh, J.; Ruidong, Z.; Tømmeraas, K. Thermal degradation and stability of sodium hyaluronate in solid state. Carbohydr. Polym. 2014, 107, 25–30. [Google Scholar] [CrossRef] [PubMed]
- Zhou, S.X.; Lin, X.T.; Wang, J.; Wang, H.X.; Chen, G.T. Novel hydrocortisone magnetic molecularly imprinted polymers: Preparation, characterization, and application. Food Chem. 2023, 421, 136196. [Google Scholar] [CrossRef] [PubMed]
- Miranda, D.G.; Malmonge, S.M.; Campos, D.M.; Attik, N.G.; Grosgogeat, B.; Gritsch, K. A Chitosan-hyaluronic Acid Hydrogel Scaffold for Periodontal Tissue Engineering. J. Biomed. Mater. Res. 2016, 104, 1691–1702. [Google Scholar] [CrossRef]
- Guess, P.C.; Vagkopoulou, T.; Zhang, Y.; Wolkewitz, M.; Strub, J.R. Marginal and Internal Fit of Heat Pressed versus CAD/CAM Fabricated All-Ceramic Onlays after Exposure to Thermo-Mechanical Fatigue. J. Dent. 2014, 42, 199–209. [Google Scholar] [CrossRef]
- Fagien, S.; Bertucci, V.; von Grote, E.; Mashburn, J.H. Rheologic and Physicochemical Properties Used to Differentiate Injectable Hyaluronic Acid Filler Products. Plast. Reconstr. Surg. 2019, 143, 707e–720e. [Google Scholar] [CrossRef] [PubMed] [PubMed Central]
- de la Guardia, C.; Virno, A.; Musumeci, M.; Bernardin, A.; Silberberg, M.B. Rheologic and Physicochemical Characteristics of Hyaluronic Acid Fillers: Overview and Relationship to Product Performance. Facial Plast. Surg. 2022, 38, 116–123. [Google Scholar] [CrossRef] [PubMed] [PubMed Central]
- OECD Organisation for Economic Co-operation and Development. Guidance Document on Using Cytotoxicity Tests to Estimate Starting Doses for Acute Oral Systemic Toxicity Tests (No. 129). 2010. Available online: https://ntp.niehs.nih.gov/sites/default/files/iccvam/suppdocs/feddocs/oecd/oecd-gd129.pdf (accessed on 21 February 2026).
- OECD Organisation for Economic Co-operation and Development. Test No. 487: In Vitro Mammalian Cell Micronucleus Test (OECD Guidelines for the Testing of Chemicals). 2016. Available online: https://www.oecd.org/content/dam/oecd/en/publications/reports/2023/07/test-no-487-in-vitro-mammalian-cell-micronucleus-test_g1g6fb2a/9789264264861-en.pdf (accessed on 21 February 2026).
- Habib, G.; Khatib, M.; Sakas, F.; Artul, S.; Jabaly-Habib, H. Pre-injection of hyaluronic acid does not affect the systemic effects of intra-articular depot betamethasone injection at the knee joint. Clin. Rheumatol. 2017, 36, 217–221. [Google Scholar] [CrossRef] [PubMed]
- Castor, C.W.; Prince, R.K. Modulation of the Intrinsic Viscosity of Hyaluronic Acid Formed By Human “Fibroblasts” In Vitro: The Effects of Hydrocortisone and Colchicine. Biochim. Biophys. Acta 1964, 83, 165–177. [Google Scholar] [CrossRef] [PubMed]
- Kongtawelert, P.; Brooks, P.M.; Ghosh, P. Pentosan polysulfate (Cartrophen) prevents the hydrocortisone induced loss of hyaluronic acid and proteoglycans from cartilage of rabbit joints as well as normalizes the keratan sulfate levels in their serum. J. Rheumatol. 1989, 16, 1454–1459. [Google Scholar] [PubMed]
- Jahanbekam, S.; Mozafari, N.; Bagheri-Alamooti, A.; Mohammadi-Samani, S.; Daneshamouz, S.; Heidari, R.; Azarpira, N.; Ashrafi, H.; Azadi, A. Ultrasound-responsive hyaluronic acid hydrogel of hydrocortisone to treat osteoarthritis. Int. J. Biol. Macromol. 2023, 240, 124449. [Google Scholar] [CrossRef] [PubMed]










Disclaimer/Publisher’s Note: The statements, opinions and data contained in all publications are solely those of the individual author(s) and contributor(s) and not of MDPI and/or the editor(s). MDPI and/or the editor(s) disclaim responsibility for any injury to people or property resulting from any ideas, methods, instructions or products referred to in the content. |
© 2026 by the authors. Licensee MDPI, Basel, Switzerland. This article is an open access article distributed under the terms and conditions of the Creative Commons Attribution (CC BY) license.
Share and Cite
Miranda, D.G.; Ramos, L.d.P.; Camargo, P.C.d.; Lopes, N.F.d.S.; Sani-Taiariol, T.; Baldan, M.R.; Pacheco-Soares, C.; Godoi, B.H.; Gritsch, K.; Grosgogeat, B.; et al. Biophysicochemical Design of a Dual-Function Hydrogel for Synergistic Shock-Absorption and Anti-Inflammatory Action for TMD Therapy. Polysaccharides 2026, 7, 40. https://doi.org/10.3390/polysaccharides7020040
Miranda DG, Ramos LdP, Camargo PCd, Lopes NFdS, Sani-Taiariol T, Baldan MR, Pacheco-Soares C, Godoi BH, Gritsch K, Grosgogeat B, et al. Biophysicochemical Design of a Dual-Function Hydrogel for Synergistic Shock-Absorption and Anti-Inflammatory Action for TMD Therapy. Polysaccharides. 2026; 7(2):40. https://doi.org/10.3390/polysaccharides7020040
Chicago/Turabian StyleMiranda, Diego Garcia, Lucas de Paula Ramos, Pyetra Claro de Camargo, Nicole Fernanda dos Santos Lopes, Thalita Sani-Taiariol, Mauricio Ribeiro Baldan, Cristina Pacheco-Soares, Bruno Henrique Godoi, Kerstin Gritsch, Brigitte Grosgogeat, and et al. 2026. "Biophysicochemical Design of a Dual-Function Hydrogel for Synergistic Shock-Absorption and Anti-Inflammatory Action for TMD Therapy" Polysaccharides 7, no. 2: 40. https://doi.org/10.3390/polysaccharides7020040
APA StyleMiranda, D. G., Ramos, L. d. P., Camargo, P. C. d., Lopes, N. F. d. S., Sani-Taiariol, T., Baldan, M. R., Pacheco-Soares, C., Godoi, B. H., Gritsch, K., Grosgogeat, B., & Borges, A. L. S. (2026). Biophysicochemical Design of a Dual-Function Hydrogel for Synergistic Shock-Absorption and Anti-Inflammatory Action for TMD Therapy. Polysaccharides, 7(2), 40. https://doi.org/10.3390/polysaccharides7020040

