Fabrication of Microcapsule Powders from Red Palm Oil-Loaded Pickering Emulsions Stabilized by Native and Modified Starches
Abstract
1. Introduction
2. Materials and Methods
2.1. Raw Materials
2.2. Preparation of Microcapsule Powders from RPO-Loaded Pickering Emulsions Stabilized by Native and Modified Starches
2.3. Characterization of Microcapsule Powders
2.3.1. Encapsulation Efficiency (EE)
2.3.2. Powder Flow Properties
2.3.3. Structural, Morphological, and Thermal Analysis
2.4. Changes in Microcapsule Powders from Red Palm Oil-Loaded Pickering Emulsions Stabilized by Native and Modified Starches During Storage
2.4.1. Color
2.4.2. Water Activity (aw) and pH
2.4.3. Particle Size Distribution and Zeta Potential
2.4.4. Total Carotenoid Content (TCC), α-Tocopherol Content, and Total Phenolic Content (TPC)
2.4.5. Antioxidant Activities
2.4.6. Acid Value (AV) and Free Fatty Acid (FFA)
2.4.7. Lipid Oxidation
2.5. Statistical Analysis
3. Results and Discussion
3.1. Encapsulation Efficiency (EE)
3.2. Powder Flow Properties
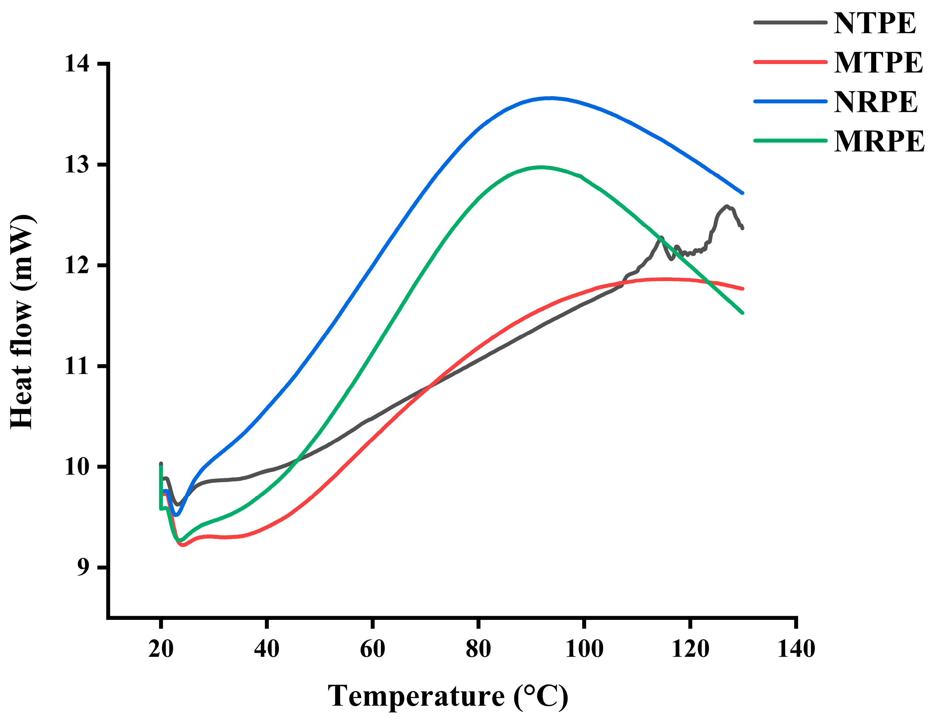
3.3. Thermal Properties
3.4. FTIR Spectra
3.5. Morphological Characteristics
3.6. Physicochemical Changes in Microcapsule Powders from Red Palm Oil-Loaded Pickering Emulsions Stabilized by Native and Modified Starches During Storage
3.6.1. Color Stability
3.6.2. Water Activity (aw) and pH
3.6.3. Particle Size Diameter, Polydispersity Index (PDI), and Zeta Potential
3.7. Stability of Bioactive Compounds of Microcapsule Powders from Red Palm Oil-Loaded Pickering Emulsions Stabilized by Native and Modified Starches During Storage
3.7.1. Total Phenolic Content (TPC)
3.7.2. Total Carotenoid Content
3.7.3. α-Tocopherol Content
3.8. Stability of Radical Scavenging Activities of Microcapsule Powders from Red Palm Oil-Loaded Pickering Emulsions Stabilized by Native and Modified Starches During Storage
3.8.1. DPPH• Scavenging Activity
3.8.2. ABTS•+ Scavenging Activity
3.9. Lipid Stability of Microcapsule Powders from Red Palm Oil-Loaded Pickering Emulsions Stabilized by Native and Modified Starches During Storage
3.9.1. Lipolysis
3.9.2. Lipid Oxidation
4. Conclusions
Author Contributions
Funding
Institutional Review Board Statement
Data Availability Statement
Acknowledgments
Conflicts of Interest
References
- Tan, C.H.; Lee, C.J.; Tan, S.N.; Poon, D.T.S.; Chong, C.Y.E.; Pui, L.P. Red palm oil: A review on processing, health benefits and its application in food. J. Oleo Sci. 2021, 70, 1201–1210. [Google Scholar] [CrossRef] [PubMed]
- Loganathan, R.; Subramaniam, K.M.; Radhakrishnan, A.K.; Choo, Y.-M.; Teng, K.-T. Health-promoting effects of red palm oil: Evidence from animal and human studies. Nutr. Rev. 2017, 75, 98–113. [Google Scholar] [CrossRef]
- Rodsamai, T.; Chaijan, M.; Rodjan, P.; Tamman, A.; Supaweera, N.; Yin, M.; Kim, S.R.; Panpipat, W. Design and bioanalysis of nanoliposome loaded with premium red palm oil for improved nutritional delivery and stability. Foods 2025, 14, 566. [Google Scholar] [CrossRef] [PubMed]
- Saleh, A.A.; Gawish, E.; Mahmoud, S.F.; Amber, K.; Awad, W.; Alzawqari, M.H.; Shukry, M.; Abdel-Moneim, A.-M.E. Effect of natural and chemical colorant supplementation on performance, egg-quality characteristics, yolk fatty-acid profile, and blood constituents in laying hens. Sustainability 2021, 13, 4503. [Google Scholar] [CrossRef]
- Nurdin, S.U.; Nurdjanah, S.; Triyandi, R.; Nurhadi, B. Antioxidant activity, glycemic response, and functional properties of rice cooked with red palm oil. J. Nutr. Metab. 2024, 2024, 3483292. [Google Scholar] [CrossRef]
- González-Peña, M.A.; Ortega-Regules, A.E.; Anaya de Parrodi, C.; Lozada-Ramírez, J.D. Chemistry, occurrence, properties, applications, and encapsulation of carotenoids—A review. Plants 2023, 12, 313. [Google Scholar] [CrossRef]
- Azfaralariff, A.; Fazial, F.F.; Sontanosamy, R.S.; Nazar, M.F.; Lazim, A.M. Food-grade particle stabilized Pickering emulsion using modified sago (Metroxylon sagu) starch nanocrystal. J. Food Eng. 2020, 280, 109974. [Google Scholar] [CrossRef]
- Mao, Z.; Li, F.; Qiao, X.; Zhou, Q.; Yang, L.; Liu, Y.; Wang, X.; Xu, J.; Xue, C. Chitosan/octenyl succinic anhydride starch complex particles stabilize Pickering emulsion for astaxanthin encapsulation. Int. J. Biol. Macromol. 2025, 299, 140056. [Google Scholar] [CrossRef] [PubMed]
- Ming, L.; Wu, H.; Liu, A.; Naeem, A.; Dong, Z.; Fan, Q.; Zhang, G.; Liu, H.; Li, Z. Evolution and critical roles of particle properties in Pickering emulsion: A review. J. Mol. Liq. 2023, 388, 122775. [Google Scholar] [CrossRef]
- Rayees, R.; Gani, A.; Noor, N.; Ayoub, A.; Ashraf, Z.U. General approaches to biopolymer-based Pickering emulsions. Int. J. Biol. Macromol. 2024, 267, 131430. [Google Scholar] [CrossRef]
- Almeida, R.L.J.; Santos, N.C.; Monteiro, S.S.; Rios, N.S.; dos Santos, E.S. Exploring the potential of native and modified starch and starch nanocrystals in Pickering emulsions: Current advances, future perspectives, and challenges. Food Biosci. 2024, 61, 104675. [Google Scholar] [CrossRef]
- Kargar, M.; Fayazmanesh, K.; Alavi, M.; Spyropoulos, F.; Norton, I.T. Investigation into the potential ability of Pickering emulsions (food-grade particles) to enhance the oxidative stability of oil-in-water emulsions. J. Colloid Interface Sci. 2012, 366, 209–215. [Google Scholar] [CrossRef]
- Schröder, A.; Sprakel, J.; Boerkamp, W.; Schroën, K.; Berton-Carabin, C.C. Can we prevent lipid oxidation in emulsions by using fat-based Pickering particles? Food Res. Int. 2019, 120, 352–363. [Google Scholar] [CrossRef]
- Du, M.; Chen, L.; Din, Z.-u.; Zhan, F.; Chen, X.; Wang, Y.; Zhuang, K.; Wang, G.; Cai, J.; Ding, W. Structure and surface properties of ozone-conjugated octenyl succinic anhydride modified waxy rice starch: Towards high-stable Pickering emulsion. Int. J. Biol. Macromol. 2023, 253, 126895. [Google Scholar] [CrossRef]
- Franco Ribeiro, E.; Carregari Polachini, T.; Dutra Alvim, I.; Quiles, A.; Hernando, I.; Nicoletti, V.R. Microencapsulation of roasted coffee oil Pickering emulsions using spray- and freeze-drying: Physical, structural and in vitro bioaccessibility studies. Int. J. Food Sci. Technol. 2022, 57, 145–153. [Google Scholar] [CrossRef]
- Bhatta, S.; Janezic, T.S.; Ratti, C. Freeze-drying of plant-based foods. Foods 2020, 9, 87. [Google Scholar] [CrossRef]
- Muhoza, B.; Yuyang, H.; Uriho, A.; Harindintwali, J.D.; Liu, Q.; Li, Y. Spray-and freeze-drying of microcapsules prepared by complex coacervation method: A review. Food Hydrocoll. 2023, 140, 108650. [Google Scholar] [CrossRef]
- Taghavi, E.; Andriani, C.; Nordin, N.; Awang Seruji, A.Z.R.; Wan Rasdi, N.; Abdul Hadi, N. Rheological and stability of mayonnaise-based Pickering emulsions stabilised by modified rice starch granules as a plant-based emulsifier. Int. J. Food Sci. Technol. 2024, 59, 5651–5663. [Google Scholar] [CrossRef]
- Kamboon, N.; Thepwatee, S.; Boonsith, S. Pickering emulsions of kaffir lime oil stabilized by modified tapioca starch: Impact of particle size reduction methods and octenyl succinic anhydride grafting. Appl. Sci. Eng. Prog. 2026, 19, 7882. [Google Scholar] [CrossRef]
- Mohan, K.; Makebe, C.W.; Jayamurthy, P.; Nisha, P. Red palm oil Pickering emulsion with pectin yields improved in vitro beta carotene bioaccessibility and oil stability: Physicochemical characterization and shelf stability studies. J. Food Process. Preserv. 2022, 12, e16930. [Google Scholar] [CrossRef]
- Marefati, A.; Rayner, M.; Timgren, A.; Dejmek, P.; Sjöö, M. Freezing and freeze-drying of Pickering emulsions stabilized by starch granules. Colloids Surf. A Physicochem. Eng. Asp. 2013, 436, 512–520. [Google Scholar] [CrossRef]
- Farjami, T.; Glomm, W.R.; Molesworth, P.P.; Jensen, I.-J.; Falch, E. Microencapsulation of fish oil with brewer’s spent grain proteins: Effect of citric acid and emulsion pH. Food Hydrocoll. 2024, 150, 109745. [Google Scholar] [CrossRef]
- Oppong, D.; Panpipat, W.; Chaijan, M. Chemical, physical, and functional properties of Thai indigenous brown rice flours. PLoS ONE 2021, 16, e0255694. [Google Scholar] [CrossRef] [PubMed]
- Mcconville, C.; Friend, D.R.; Clark, M.R.; Malcolm, K. Preformulation and development of a once-daily sustained-release tenofovir vaginal tablet containing a single excipient. J. Pharm. Sci. 2013, 102, 1859–1868. [Google Scholar] [CrossRef] [PubMed]
- Chumsri, P.; Panpipat, W.; Cheong, L.-Z.; Nisoa, M.; Chaijan, M. Comparative evaluation of hydrothermally produced rice starch–phenolic complexes: Contributions of phenolic type, plasma-activated water, and ultrasonication. Foods 2022, 11, 3826. [Google Scholar] [CrossRef]
- Tao, H.; Fang, X.-H.; Chen, P.; Yang, B.-Q.; Feng, R.; Zhang, B. Casein/butyrylated dextrin nanoparticles and chitosan stabilized bilayer emulsions as fat substitutes in sponge cakes. Food Chem. 2024, 448, 139043. [Google Scholar] [CrossRef]
- Alfrecha, F.; Nyam, K.L. Microencapsulation of red palm oil and its stability during accelerated storage. Mal. J. Nutr. 2018, 24, 597–605. [Google Scholar]
- Chinarak, K.; Chaijan, M.; Panpipat, W. Farm-raised sago palm weevil (Rhynchophorus ferrugineus) larvae: Potential and challenges for promising source of nutrients. J. Food Compos. Anal. 2020, 92, 103542. [Google Scholar] [CrossRef]
- Wongnen, C.; Ruzzama, N.; Chaijan, M.; Cheong, L.-Z.; Panpipat, W. Glochidion wallichianum leaf extract as a natural antioxidant in sausage model system. Foods 2022, 11, 1547. [Google Scholar] [CrossRef]
- AOAC International. Official Methods of Analysis of AOAC International; AOAC International: Rockville, MD, USA, 2000. [Google Scholar]
- Panpipat, W.; Chumin, T.; Thongkam, P.; Pinthong, P.; Shetty, K.; Chaijan, M. Relatively low lecithin inclusion improved gelling characteristics and oxidative stability of single-washed mackerel (Auxis thazard) surimi. Foods 2024, 13, 546. [Google Scholar] [CrossRef]
- Corongiu, F.P.; Banni, S. Detection of conjugated dienes by second derivative ultraviolet spectrophotometry. Methods Enzymol. 1994, 233, 303–310. [Google Scholar] [CrossRef]
- Yusri, S.; Meidiana, C.; Marpaung, A.M.; Sutanto, H. Encapsulation of candlenut oil by freeze-drying method. J. Funct. Food Nutraceutical 2020, 2, 53–61. [Google Scholar] [CrossRef]
- Xu, T.; Yang, J.; Hua, S.; Hong, Y.; Gu, Z.; Cheng, L.; Li, Z.; Li, C. Characteristics of starch-based Pickering emulsions from the interface perspective. Trends Food Sci. Technol. 2020, 105, 334–346. [Google Scholar] [CrossRef]
- Marefati, A.; Sjöö, M.; Timgren, A.; Dejmek, P.; Rayner, M. Fabrication of encapsulated oil powders from starch granule stabilized W/O/W Pickering emulsions by freeze-drying. Food Hydrocoll. 2015, 51, 261–271. [Google Scholar] [CrossRef]
- Wang, X.; Huang, L.; Zhang, C.; Deng, Y.; Xie, P.; Liu, L.; Cheng, J. Research advances in chemical modifications of starch for hydrophobicity and its applications: A review. Carbohydr. Polym. 2020, 240, 116292. [Google Scholar] [CrossRef]
- Suhag, R.; Kellil, A.; Razem, M. Factors influencing food powder flowability. Powders 2024, 3, 65–76. [Google Scholar] [CrossRef]
- Abdullah, E.C.; Geldart, D. The use of bulk density measurements as flowability indicators. Powder Technol. 1999, 102, 151–165. [Google Scholar] [CrossRef]
- Musa, H.; Gambo, A.; Bhatia, P. Studies on some physicochemical properties of native and modified starches from Digitaria iburua and Zea mays. Int. J. Pharm. Pharm. Sci. 2011, 3, 28–33. [Google Scholar]
- Awolu, O.O.; Ojewumi, M.E.; Isa, J.; Ojo, D.O.; Olofin, H.I.; Jegede, S.O. Comparative analyses of functional, pasting and morphological characteristics of native and modified tigernut starches with their blends. Cogent Food Agric. 2017, 3, 1306934. [Google Scholar] [CrossRef]
- Singh, T.P.; Siddiqi, R.A.; Sogi, D.S. Enzymatic modification of rice bran protein: Impact on structural, antioxidant and functional properties. LWT 2021, 138, 110648. [Google Scholar] [CrossRef]
- Mamat, H.; Hamid, M.A.; Hill, S.E. Characterization of cohesive cake formation and stickiness of starches at various water levels in the presence of palm oil and palm oil fractions. Int. J. Adv. Sci. Eng. D Inf. Technol. 2012, 2, 319–324. [Google Scholar] [CrossRef][Green Version]
- Gregorová, E.; Pabst, W.; Bohačenko, I. Characterization of different starch types for their application in ceramic processing. J. Eur. Ceram. Soc. 2006, 26, 1301–1309. [Google Scholar] [CrossRef]
- Baesso, I.; Karl, D.; Spitzer, A.; Gurlo, A.; Günster, J.; Zocca, A. Characterization of powder flow behavior for additive manufacturing. Addit. Manuf. 2021, 47, 102250. [Google Scholar] [CrossRef]
- Das, S.; Das, M.K.; Jamatia, T.; Bhattacharya, B.; Mazumder, R.; Yadev, P.K.; Bishwas, N.R.G.; Deka, T.; Roy, D.; Sinha, B.; et al. Advances of cassava starch-based composites in novel and conventional drug delivery systems: A state-of-the-art review. RSC Pharm. 2024, 1, 182–203. [Google Scholar] [CrossRef]
- Liu, C.; Li, M.; Ji, N.; Liu, J.; Xiong, L.; Sun, Q. Morphology and characteristics of starch nanoparticles self-assembled via a rapid ultrasonication method for peppermint oil encapsulation. J. Agric. Food Chem. 2017, 65, 8363–8373. [Google Scholar] [CrossRef] [PubMed]
- Wang, S.; Chao, C.; Xiang, F.; Zhang, X.; Wang, S.; Copeland, L. New insights into gelatinization mechanisms of cereal endosperm starches. Sci. Rep. 2018, 8, 3011. [Google Scholar] [CrossRef]
- Naz, M.; Sulaiman, S.; Ariwahjoedi, B.; Shaari, K.Z.K. Characterization of modified tapioca starch solutions and their sprays for high temperature coating applications. Sci. World J. 2014, 2014, 375206. [Google Scholar] [CrossRef]
- Rakprasoot, J.; Surayot, U.; Raviyan, P. Characterization of red palm oil from Elaeis guineensis produced by multi-step fractionation and assessment of anti-inflammatory activity. ASEAN J. Sci. Technol. Rep. 2025, 28, e256399. [Google Scholar] [CrossRef]
- Maphalla, T.G.; Emmambux, M.N. Functionality of maize, wheat, teff and cassava starches with stearic acid and xanthan gum. Carbohydr. Polym. 2016, 136, 970–978. [Google Scholar] [CrossRef]
- Rashid, I.; Omari, M.H.A.; Leharne, S.A.; Chowdhry, B.Z.; Badwan, A. Starch gelatinization using sodium silicate: FTIR, DSC, XRPD, and NMR studies. Starch-Stärke 2012, 64, 713–728. [Google Scholar] [CrossRef]
- Jan, R.; Saxena, D.C.; Singh, S. Pasting, thermal, morphological, rheological and structural characteristics of Chenopodium (Chenopodium album) starch. LWT—Food Sci. Technol. 2016, 66, 267–274. [Google Scholar] [CrossRef]
- Kizil, R.; Irudayaraj, J.; Seetharaman, K. Characterization of irradiated starches by using FT-Raman and FTIR spectroscopy. J. Agric. Food Chem. 2002, 50, 3912–3918. [Google Scholar] [CrossRef]
- Siddique, B.M.; Muhamad, I.I.; Ahmad, A.; Ayob, A.; Ibrahim, M.H.; Ak, M.O. Effect of frying on the rheological and chemical properties of palm oil and its blends. J. Food Sci. Technol. 2015, 52, 1444–1452. [Google Scholar] [CrossRef]
- Yuzhen, L.; Changwen, D.; Yanqiu, S.; Jianmin, Z. Characterization of rapeseed oil using FTIR-ATR spectroscopy. J. Food Sci. Eng. 2014, 4, 244–249. [Google Scholar]
- Aktaş, H.; Napiórkowska, A.; Szpicer, A.; Custodio-Mendoza, J.A.; Paraskevopoulou, A.; Pavlidou, E.; Kurek, M.A. Micro-encapsulation of green tea polyphenols: Utilizing oat oil and starch-based double emulsions for improved delivery. Int. J. Biol. Macromol. 2024, 274, 133295. [Google Scholar] [CrossRef]
- Hassan, N.A.; Darwesh, O.M.; Smuda, S.S.; Altemimi, A.B.; Hu, A.; Cacciola, F.; Haoujar, I.; Abedelmaksoud, T.G. Recent trends in the preparation of nano-starch particles. Molecules 2022, 27, 5497. [Google Scholar] [CrossRef]
- Rafiq, S.; Sofi, S.A.; Kumar, H.; Kaul, R.K.; Mehra, R.; Awuchi, C.G.; Okpala, C.O.R.; Korzeniowska, M. Physicochemical, antioxidant, and polyphenolic attributes of microencapsulated freeze-dried kinnow peel extract powder using maltodextrin as wall material. J. Food Process. Preserv. 2022, 46, e16177. [Google Scholar] [CrossRef]
- Biliaderis, C.G. The structure and interactions of starch with food constituents. Can. J. Physiol. Pharmacol. 1991, 69, 60–78. [Google Scholar] [CrossRef]
- Kaur, K.; Jindal, R. Self-assembled GO incorporated CMC and Chitosan-based nanocomposites in the removal of cationic dyes. Carbohydr. Polym. 2019, 225, 115245. [Google Scholar] [CrossRef] [PubMed]
- Perrechil, F.; Louzi, V.C.; da Silva Paiva, L.A.; Natal, G.S.V.; Braga, M.B. Evaluation of modified starch and rice protein concentrate as wall materials on the microencapsulation of flaxseed oil by freeze-drying. LWT 2021, 140, 110760. [Google Scholar] [CrossRef]
- Christakis, N.; Wang, J.; Patel, M.; Bradley, M.; Leaper, M.C.; Cross, M. Aggregation and caking processes of granular materials: Continuum model and numerical simulation with application to sugar. Adv. Powder Technol. 2006, 17, 543–565. [Google Scholar] [CrossRef]
- Fan, C.; Feng, T.; Wang, X.; Xia, S.; Swing, C.J. Liposomes for encapsulation of liposoluble vitamins (A, D, E and K): Comparison of loading ability, storage stability and bilayer dynamics. Food Res. Int. 2023, 163, 112264. [Google Scholar] [CrossRef]
- Hidajat, M.J.; Jo, W.; Kim, H.; Noh, J. Effective droplet size reduction and excellent stability of limonene nanoemulsion formed by high-pressure homogenizer. Colloids Interfaces 2020, 4, 5. [Google Scholar] [CrossRef]
- Xiao, H.; Lin, Q.; Liu, G.-Q.; Wu, Y.; Tian, W.; Wu, W.; Fu, X. Physicochemical properties of chemically modified starches from different botanical origin. Sci. Res. Essays 2011, 6, 4517–4525. [Google Scholar] [CrossRef]
- Xu, Y.; Wei, Y.; Jiang, S.; Xu, F.; Wang, H.; Shao, X. Preparation and characterization of tea tree oil solid liposomes to control brown rot and improve quality in peach fruit. LWT 2022, 162, 113442. [Google Scholar] [CrossRef]
- Comunian, T.A.; Silva, M.P.; Moraes, I.C.F.; Favaro-Trindade, C.S. Reducing carotenoid loss during storage by co-encapsulation of pequi and buriti oils in oil-in-water emulsions followed by freeze-drying: Use of heated and unheated whey protein isolates as emulsifiers. Food Res. Int. 2020, 130, 108901. [Google Scholar] [CrossRef] [PubMed]
- Ralla, T.; Salminen, H.; Edelmann, M.; Dawid, C.; Hofmann, T.; Weiss, J. Oat bran extract (Avena sativa L.) from food by-product streams as new natural emulsifier. Food Hydrocoll. 2018, 81, 253–262. [Google Scholar] [CrossRef]
- Ramos, G.V.C.; Ramírez-López, S.; Pinho, S.C.d.; Ditchfield, C.; Moraes, I.C.F. Starch-based pickering emulsions for bioactive compound encapsulation: Production, properties, and applications. Processes 2025, 13, 342. [Google Scholar] [CrossRef]
- Recamales, Á.F.; Sayago, A.; González-Miret, M.L.; Hernanz, D. The effect of time and storage conditions on the phenolic composition and colour of white wine. Food Res. Int. 2006, 39, 220–229. [Google Scholar] [CrossRef]
- Zhu, F. Interactions between starch and phenolic compound. Trends Food Sci. Technol. 2015, 43, 129–143. [Google Scholar] [CrossRef]
- Mussa, N.J.; Thongkam, P.; Wongnen, C.; Panpipat, W.; Kitipipit, W.; Cheong, L.-Z.; Chaijan, M. Exploring the potential of Mon-Pu (Glochidion wallichianum) leaf extract as a natural antioxidant for Ligor chicken meat gel: Impact on gelation functionality and oxidative stability. Poult. Sci. 2025, 104, 104839. [Google Scholar] [CrossRef]
- Kähkönen, M.P.; Hopia, A.I.; Vuorela, H.J.; Rauha, J.-P.; Pihlaja, K.; Kujala, T.S.; Heinonen, M. Antioxidant activity of plant extracts containing phenolic compounds. J. Agric. Food Chem. 1999, 47, 3954–3962. [Google Scholar] [CrossRef]
- Deng, L.-Z.; Xiong, C.-H.; Pei, Y.-P.; Zhu, Z.-Q.; Zheng, X.; Zhang, Y.; Yang, X.-H.; Liu, Z.-L.; Xiao, H.-W. Effects of various storage conditions on total phenolic, carotenoids, antioxidant capacity, and color of dried apricots. Food Control 2022, 136, 108846. [Google Scholar] [CrossRef]
- Ayetigbo, O.; Latif, S.; Abass, A.; Müller, J. Comparing characteristics of root, flour and starch of biofortified yellow-flesh and white-flesh cassava variants, and sustainability considerations: A review. Sustainability 2018, 10, 3089. [Google Scholar] [CrossRef]
- Chong, W.-T.; Tan, C.-P.; Cheah, Y.-K.; Lajis, A.F.B.; Habi Mat Dian, N.L.; Kanagaratnam, S.; Lai, O.-M. Optimization of process parameters in preparation of tocotrienol-rich red palm oil-based nanoemulsion stabilized by Tween80-Span 80 using response surface methodology. PLoS ONE 2018, 13, e0202771. [Google Scholar] [CrossRef]
- Chu, C.C.; Hasan, Z.A.B.A.; Tan, C.P.; Nyam, K.L. Application of Kenaf seed oil-nanostructured lipid carrier to palm-based α-tocopherol cream for photoprotection. J. Am. Oil Chem. Soc. 2021, 98, 201–210. [Google Scholar] [CrossRef]
- Francis, J.; Rogers, K.; Dickton, D.; Twedt, R.; Pardini, R. Decreasing retinol and α-tocopherol concentrations in human milk and infant formula using varied bottle systems. Matern. Child. Nutr. 2012, 8, 215–224. [Google Scholar] [CrossRef]
- Kaur, K.; Singh, J.; Singh, V. Effect of encapsulated vitamin E on physical, storage and retention parameters in cookies. J. Food Sci. Technol. 2020, 57, 3509–3517. [Google Scholar] [CrossRef]
- Cao, C.; Xu, L.; Xie, P.; Hu, J.; Qi, J.; Zhou, Y.; Cao, L. The characterization and evaluation of the synthesis of large-ring cyclodextrins (CD9–CD22) and α-tocopherol with enhanced thermal stability. RSC Adv. 2020, 10, 6584–6591. [Google Scholar] [CrossRef]
- Augustin, M.; Sanguansri, L. Encapsulation of bioactives. In Food Materials Science: Principles and Practice; Springer: New York, NY, USA, 2008; pp. 577–601. [Google Scholar]
- Alkandari, S.; Al-Hassawi, F.; Aldughpassi, A.; Sidhu, J.S.; Al-Amiri, H.A.; Al-Othman, A.; Ahmed, N.; Ahmad, A. Pilot scale production of functional foods using red palm olein: Antioxidant, vitamins’ stability and sensory quality during storage. Saudi J. Biol. Sci. 2021, 28, 5547–5554. [Google Scholar] [CrossRef]
- Verma, A.K.; Chatli, M.K.; Mehta, N.; Kumar, P. Assessment of physico-chemical, antioxidant and antimicrobial activity of porcine blood protein hydrolysate in pork emulsion stored under aerobic packaging condition at 4±1 °C. LWT 2018, 88, 71–79. [Google Scholar] [CrossRef]
- Gulcin, İ.; Alwasel, S.H. DPPH radical scavenging assay. Processes 2023, 11, 2248. [Google Scholar] [CrossRef]
- De Boer, A.A.; Ismail, A.; Marshall, K.; Bannenberg, G.; Yan, K.L.; Rowe, W.J. Examination of marine and vegetable oil oxidation data from a multi-year, third-party database. Food Chem. 2018, 254, 249–255. [Google Scholar] [CrossRef] [PubMed]
- Bansal, S.; Sundararajan, S.; Shekhawat, P.K.; Singh, S.; Soni, P.; Tripathy, M.K.; Ram, H. Rice lipases: A conundrum in rice bran stabilization: A review on their impact and biotechnological interventions. Physiol. Mol. Biol. Plants 2023, 29, 985–1003. [Google Scholar] [CrossRef]
- Wong, S.K.; Chew, C.L.; Supramaniam, J.; Tey, B.T.; Wong, T.W.; Tang, S.Y. Effect of sodium caseinate/cellulose nanocrystals addition on the physical and oxidative stability of red palm olein-in-water pickering emulsions. J. Oil Palm Res. 2022, 34, 380–393. [Google Scholar] [CrossRef]
- Charles, A.L.; Abdillah, A.A.; Saraswati, Y.R.; Sridhar, K.; Balderamos, C.; Masithah, E.D.; Alamsjah, M.A. Characterization of freeze-dried microencapsulation tuna fish oil with arrowroot starch and maltodextrin. Food Hydrocoll. 2021, 112, 106281. [Google Scholar] [CrossRef]
- Elik, A.; Yanık, D.K.; Göğüş, F. A comparative study of encapsulation of carotenoid enriched-flaxseed oil and flaxseed oil by spray freeze-drying and spray drying techniques. LWT 2021, 143, 111153. [Google Scholar] [CrossRef]
- Hosseini, F.; Ansari, S. Effect of modified tapioca starch on the physicochemical and sensory properties of liquid kashk. J. Food Sci. Technol. 2019, 56, 5374–5385. [Google Scholar] [CrossRef]
- Javadian, N.; Mohammadi Nafchi, A.; Bolandi, M. The effects of dual modification on functional, microstructural, and thermal properties of tapioca starch. Food Sci. Nutr. 2021, 9, 5467–5476. [Google Scholar] [CrossRef]
- Talón, E.; Vargas, M.; Chiralt, A.; González-Martínez, C. Antioxidant starch-based films with encapsulated eugenol: Application to sunflower oil preservation. LWT 2019, 113, 108290. [Google Scholar] [CrossRef]
- Orlien, V.; Risbo, J.; Rantanen, H.; Skibsted, L.H. Temperature-dependence of rate of oxidation of rapeseed oil encapsulated in a glassy food matrix. Food Chem 2006, 94, 37–46. [Google Scholar] [CrossRef]
- Drusch, S.; Schwarz, K. Microencapsulation properties of two different types of n-octenylsuccinate-derivatised starch. Eur. Food Res. Technol. 2006, 222, 155–164. [Google Scholar] [CrossRef]
- Athanasiadis, V.; Chatzimitakos, T.; Kalompatsios, D.; Bozinou, E.; Lalas, S.I. Exploration of high-nutritional-quality vegetable oil blend with enhanced oxidative stability as a frying medium substitute for palm oil. Lipidology 2024, 1, 75–91. [Google Scholar] [CrossRef]
- Ghani, M.A.; Barril, C.; Bedgood, D.R., Jr.; Prenzler, P.D. Substrate and TBARS variability in a multi-phase oxidation system. Eur. J. Lipid Sci. Technol. 2017, 119, 1500500. [Google Scholar] [CrossRef]
- Rashwan, A.K.; Younis, H.A.; Abdelshafy, A.M.; Osman, A.I.; Eletmany, M.R.; Hafouda, M.A.; Chen, W. Plant starch extraction, modification, and green applications: A review. Environ. Chem. Lett. 2024, 22, 2483–2530. [Google Scholar] [CrossRef]












| Parameter | NTPE | MTPE | NRPE | MRPE |
|---|---|---|---|---|
| Encapsulation efficiency (%) | 22.85 ± 1.75 b | 24.82 ± 2.16 ab | 17.54 ± 2.27 c | 27.41 ± 2.09 a |
| Flow properties | ||||
| Bulk density (ρb; g/mL) | 0.42 ± 0.00 d | 0.59 ± 0.01 a | 0.54 ± 0.01 c | 0.56 ± 0.01 b |
| Tapped density (ρt; g/mL) | 0.70 ± 0.01 c | 0.79 ± 0.01 b | 0.80 ± 0.01 b | 0.85 ± 0.02 a |
| Hausner’s ratio (H) | 1.66 ± 0.02 a | 1.35 ± 0.01 c | 1.49 ± 0.02 b | 1.51 ± 0.04 b |
| Compressibility index (%) | 39.89 ± 0.85 a | 25.78 ± 0.35 c | 32.86 ± 1.09 b | 33.82 ± 1.88 b |
| Thermal properties | ||||
| To (°C) NS | 23.50 ± 0.65 | 24.33 ± 0.72 | 23.17 ± 0.54 | 23.83 ± 0.20 |
| Tm (°C) | 93.00 ± 0.64 b | 90.70 ± 1.94 a | 114.17 ± 1.86 d | 111.84 ± 2.02 c |
| Tend (°C) NS | 130 ± 1.26 | 130 ± 1.84 | 130 ± 2.10 | 130 ± 1.86 |
| ΔH (J/g) | 51.94 ± 2.6 b | 46.62 ± 5.7 a | 75.75 ± 2.3 c | 86.86 ± 7.5 d |
| Parameter | Sample | Storage Time (Week) | |||
|---|---|---|---|---|---|
| 0 | 1 | 2 | 3 | ||
| Color | |||||
| L* | NTPE | 67.82 ± 3.29 cC | 69.67 ± 0.71 bcD | 71.15 ± 1.58 bD | 73.41 ± 0.46 aB |
| MTPE | 74.18 ± 1.17 bB | 77.99 ± 0.70 aC | 74.60 ± 1.32 bC | 75.55 ± 2.62 bB | |
| NRPE | 83.47 ± 3.84 aA | 87.01 ± 0.93 aB | 84.26 ± 0.89 aB | 87.30 ± 9.52 aA | |
| MRPE | 86.39 ± 4.93 bA | 104.69 ± 1.02 aA | 90.90 ± 1.82 bA | 87.79 ± 16.94 bA | |
| a* | NTPE | 16.76 ± 0.70 aA | 17.22 ± 0.40 aA | 14.70 ± 0.43 bA | 13.30 ± 0.76 cA |
| MTPE | 12.70 ± 0.20 aB | 12.30 ± 0.50 aB | 11.90 ± 0.50 aB | 17.00 ± 19.00 aA | |
| NRPE | 9.25 ± 0.33 aC | 9.00 ± 0.47 aC | 9.00 ± 0.20 aC | 7.60 ± 0.34 bAB | |
| MRPE | 4.95 ± 0.27 aD | 3.76 ± 0.58 bD | 3.19 ± 0.33 cD | 1.30 ± 0.36 dB | |
| b* | NTPE | 76.69 ± 2.45 bA | 87.73 ± 1.54 aA | 73.27 ± 1.31 cA | 70.25 ± 1.79 dB |
| MTPE | 75.91 ± 0.79 bA | 77.40 ± 1.40 aB | 73.76 ± 0.83 cA | 72.77 ± 1.43 cA | |
| NRPE | 64.34 ± 1.54 aB | 66.05 ± 2.37 aC | 64.91 ± 1.48 aB | 64.50 ± 1.47 aC | |
| MRPE | 49.23 ± 2.10 bC | 58.96 ± 2.14 aD | 47.40 ± 1.79 bC | 40.59 ± 1.88 cD | |
| aw | NTPE | 0.11 ± 0.00 cA | 0.17 ± 0.012 bA | 0.17 ± 0.004 bB | 0.27 ± 0.004 aA |
| MTPE | 0.10 ± 0.008 dB | 0.11 ± 0.004 cC | 0.15 ± 0.001 bD | 0.22 ± 0.005 aD | |
| NRPE | 0.10 ± 0.004 dC | 0.13 ± 0.003 cB | 0.15 ± 0.003 bC | 0.25 ± 0.005 aC | |
| MRPE | 0.11 ± 0.005 dA | 0.16 ± 0.004 cA | 0.18 ± 0.004 bA | 0.26 ± 0.003 aB | |
| pH | NTPE | 6.26 ± 0.01 cA | 6.31 ± 0.03 bA | 6.39 ± 0.01 aA | 6.36 ± 0.01 aA |
| MTPE | 6.02 ± 0.01 bC | 6.07 ± 0.02 aC | 6.08 ± 0.01 aC | 6.04 ± 0.00 bC | |
| NRPE | 6.16 ± 0.02 cB | 6.27 ± 0.02 bB | 6.31 ± 0.01 aB | 6.34 ± 0.00 aB | |
| MRPE | 5.84 ± 0.03 cD | 5.94 ± 0.01 aD | 5.92 ± 0.00 abD | 5.89 ± 0.01 bD | |
| Parameter | Sample | Storage Time (Week) | |||
|---|---|---|---|---|---|
| 0 | 1 | 2 | 3 | ||
| Particle size diameter (nm) | NTPE | 5888 ± 21 aA | 4025 ± 13 abA | 1973 ± 21 bcC | 1530 ± 55 cA |
| MTPE | 9057 ± 75 aA | 3781 ± 22 aA | 1920 ± 55 aC | 2395 ± 97 aA | |
| NRPE | 5182 ± 94 bA | 4062 ± 19 bA | 9768 ± 38 aA | 2215 ± 31 bA | |
| MRPE | 5125 ± 32 aA | 5633 ± 35 aA | 5865 ± 97 aB | 2715 ± 99 aA | |
| PDI | NTPE | 0.30 ± 0.19 bA | 0.84 ± 0.28 aA | 0.99 ± 0.01 aA | 0.88 ± 0.17 aA |
| MTPE | 0.75 ± 0.44 aA | 0.61 ± 0.42 aA | 0.76 ± 0.23 aA | 0.68 ± 0.36 aAB | |
| NRPE | 0.35 ± 0.08 bA | 0.27 ± 0.05 bA | 0.81 ± 0.17 aA | 0.64 ± 0.37 abAB | |
| MRPE | 0.58 ± 0.26 aA | 0.32 ± 0.28 aA | 0.66 ± 0.42 aA | 0.21 ± 0.05 aB | |
| Zeta potential (mV) | NTPE | −29.20 ± 0.70 cA | −35.33 ± 4.31 dB | 57.67 ± 3.94 aA | 24.10 ± 2.72 bAB |
| MTPE | −27.13 ± 3.09 cA | −45.47 ± 1.91 dC | 35.20 ± 2.72 aC | 17.97 ± 0.31 bC | |
| NRPE | −30.07 ± 3.42 cA | −28.97 ± 2.07 cA | 60.23 ± 2.58 aA | 21.17 ± 0.83 bBC | |
| MRPE | −32.73 ± 4.42 cA | −35.77 ± 0.95 cB | 47.30 ± 2.99 aB | 25.57 ± 2.22 bA | |
Disclaimer/Publisher’s Note: The statements, opinions and data contained in all publications are solely those of the individual author(s) and contributor(s) and not of MDPI and/or the editor(s). MDPI and/or the editor(s) disclaim responsibility for any injury to people or property resulting from any ideas, methods, instructions or products referred to in the content. |
© 2026 by the authors. Licensee MDPI, Basel, Switzerland. This article is an open access article distributed under the terms and conditions of the Creative Commons Attribution (CC BY) license.
Share and Cite
Mateen, A.; Waqar, M.; Ahmad, K.; Arslan, M.; Chaijan, M.; Rodjan, P.; Wongnen, C.; Cheong, L.-Z.; Panpipat, W. Fabrication of Microcapsule Powders from Red Palm Oil-Loaded Pickering Emulsions Stabilized by Native and Modified Starches. Polysaccharides 2026, 7, 39. https://doi.org/10.3390/polysaccharides7020039
Mateen A, Waqar M, Ahmad K, Arslan M, Chaijan M, Rodjan P, Wongnen C, Cheong L-Z, Panpipat W. Fabrication of Microcapsule Powders from Red Palm Oil-Loaded Pickering Emulsions Stabilized by Native and Modified Starches. Polysaccharides. 2026; 7(2):39. https://doi.org/10.3390/polysaccharides7020039
Chicago/Turabian StyleMateen, Abdul, Muhammad Waqar, Khalil Ahmad, Muhammad Arslan, Manat Chaijan, Prawit Rodjan, Chantira Wongnen, Ling-Zhi Cheong, and Worawan Panpipat. 2026. "Fabrication of Microcapsule Powders from Red Palm Oil-Loaded Pickering Emulsions Stabilized by Native and Modified Starches" Polysaccharides 7, no. 2: 39. https://doi.org/10.3390/polysaccharides7020039
APA StyleMateen, A., Waqar, M., Ahmad, K., Arslan, M., Chaijan, M., Rodjan, P., Wongnen, C., Cheong, L.-Z., & Panpipat, W. (2026). Fabrication of Microcapsule Powders from Red Palm Oil-Loaded Pickering Emulsions Stabilized by Native and Modified Starches. Polysaccharides, 7(2), 39. https://doi.org/10.3390/polysaccharides7020039

