Influencing Factors and Control Measures for Post-Construction Settlement of High-Fill Red Clay Embankment
Abstract
1. Introduction
2. Materials and Methods
2.1. Specimen Preparation
2.2. Test Program
2.2.1. One-Dimensional Oedometer Consolidation Test
2.2.2. Direct Shear Test
2.3. Numerical Modeling Framework
2.3.1. Simulation Schemes and Parameter Mapping
2.3.2. Simulation of Reinforcement Measures
3. Results and Analysis
3.1. Settlement Patterns During Staged Construction
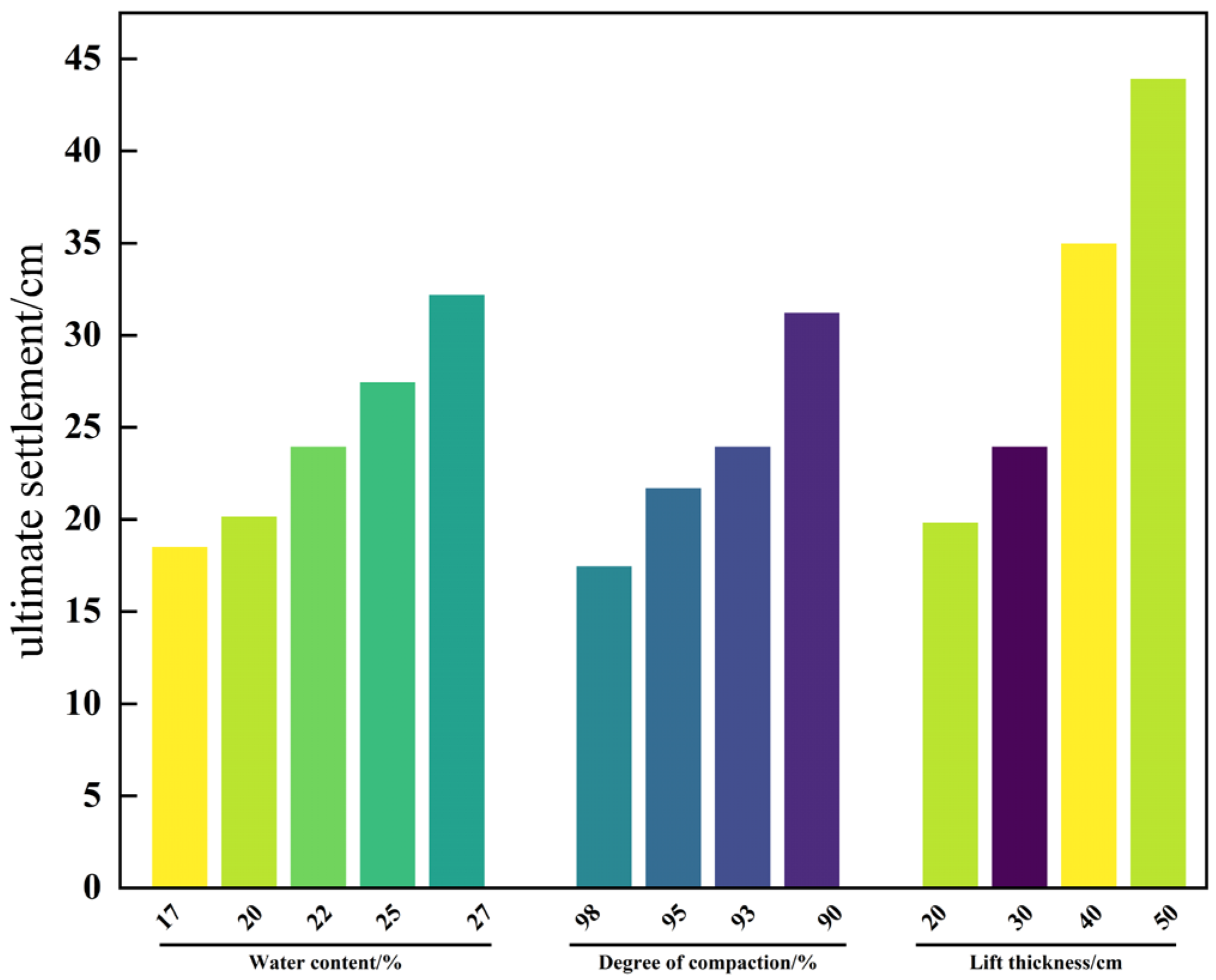
3.2. Sensitivity of Post-Construction Settlement to Moisture, Compaction, and Lift Thickness
3.2.1. Sensitivity of Water Content
3.2.2. Sensitivity of Degree of Compaction
3.2.3. Sensitivity of Lift Thickness
3.3. Analysis of Reinforcement Results
3.4. Model Reliability Analysis
4. Analysis of Settlement Influence Mechanisms
4.1. Influence of Water Content, Degree of Compaction, and Lift Thickness
4.2. Influence of Reinforcement Measures
5. Conclusions
- (1)
- Regardless of variations in filler water content, degree of compaction, and lift thickness, the vertical displacement distribution of high-fill red clay embankments exhibits a consistent characteristic pattern. Settlement is predominantly concentrated in the upper fill zone adjacent to the slope surface, with displacement contours presenting an inward sagging trend toward the original foundation. In contrast, the underlying natural foundation undergoes negligible settlement, with only marginal deformation observed at the interface between the fill and the foundation. This displacement pattern is primarily governed by the self-weight-induced consolidation of the embankment fill.
- (2)
- Filler water content and degree of compaction are critical controlling factors for post-construction settlement. Elevated water content compromises the shear strength of red clay and enhances its compressibility by thickening the bound water film, weakening interparticle bonding, and potentially dissolving cementitious components. Conversely, a higher degree of compaction improves the soil skeleton stiffness and reduces pore volume, thereby mitigating both the magnitude of ultimate settlement and the time required for stabilization. These findings underscore the necessity of strict moisture conditioning and compaction quality control in engineering practice.
- (3)
- Lift thickness exerts a significant regulatory effect on settlement behavior: increased lift thickness correlates with larger post-construction settlement and prolonged stabilization periods. This phenomenon is attributed to the inadequate compaction of deep fill layers when lift thickness exceeds a critical threshold, resulting in a loose soil structure with high compressibility under self-weight loading. Based on the comprehensive analysis of technical feasibility and economic efficiency, a lift thickness of approximately 30 cm is recommended as the optimal construction parameter for high-fill red clay embankments.
- (4)
- Geogrid-reinforced composite schemes, geogrid + anti-slide piles, and the geogrid + gravity retaining wall effectively mitigate post-construction settlement and enhance the embankment stability. The geogrid + anti-slide pile system achieves superior performance, reducing the maximum settlement by 56.9% and increasing the stability coefficient by 54.5% compared to the unreinforced condition, owing to the synergistic effects of the horizontal load redistribution by geogrids and vertical stress transfer by anti-slide piles. The geogrid + gravity retaining wall scheme provides a viable alternative with a 43.9% settlement reduction and 36.4% stability improvement, and the selection between the two should be determined by site-specific conditions, engineering requirements, and cost constraints.
- (5)
- For the design and construction of high-fill red clay embankments in southern China’s mountainous and hilly regions, optimizing moisture content control, maximizing the degree of compaction as much as practically feasible (with 93% serving as a minimum baseline), and adopting a lift thickness of approximately 30 cm constitute core technical measures for controlling post-construction settlement. The application of geogrid-based composite reinforcement schemes can further enhance the embankment stability and reduce deformation, providing reliable technical support for similar projects in red clay areas.
Author Contributions
Funding
Institutional Review Board Statement
Informed Consent Statement
Data Availability Statement
Conflicts of Interest
References
- Zhou, Y.; Tong, C.; Wang, Y. Road construction, economic growth, and poverty alleviation in China. Growth Change 2022, 53, 1306–1332. [Google Scholar]
- Ding, J.X.; Meng, Y.W. Review of applied study for red clay in highway subgrades. Adv. Mater. Res. 2014, 919, 1144–1149. [Google Scholar] [CrossRef]
- Chen, K.; Zhu, R. Study of the deformation characteristics for red clay under drying-wetting cycles. In Proceedings of the 5th International Conference on Civil Engineering and Transportation, Guangzhou, China, 28–29 November 2015; Atlantis Press: Dordrecht, The Netherlands, 2015; pp. 511–516. [Google Scholar]
- Wei, H.; Gu, Z.; Liu, Z.; Wang, Y.; Shi, Y. Creep properties and creep modelling of Guilin red clay. Appl. Sci. 2023, 13, 12052. [Google Scholar] [CrossRef]
- Zeng, B.; Wang, L.-F.; Tian, Y.; Zeng, T.-R.; Li, B. Study on compaction characteristics and construction control of mixtures of red clay and gravel. Adv. Civ. Eng. 2018, 2018, 8079379. [Google Scholar] [CrossRef]
- Yang, G.H. Difficulties and breakthroughs in calculation of foundation settlement. J. Geotech. Eng. 2019, 41, 1893–1898. (In Chinese) [Google Scholar]
- Diaz, E.; Tomas, R. Calculation of the three dimensional elastic settlement of foundations with variable rigidity on terrains with a rigid inclined layer. Inf. Constr. 2016, 68. [Google Scholar]
- Peng, B.; Feng, R.; Wu, L.; Wei, K.; Wang, P. Settlement calculation method for peat soil foundations. Int. J. Geomech. 2023, 23, 04023094. [Google Scholar] [CrossRef]
- Dong, X.M. Research on prediction method of soft soil foundation settlement. Appl. Mech. Mater. 2011, 97, 36–39. [Google Scholar] [CrossRef]
- Wang, Y.; Chen, S.; Ouyang, J.; Li, J.; Zhao, Y.; Lin, H.; Guo, P. Predicting ground surface settlements induced by deep excavation under embankment surcharge load in flood detention zone. Water 2022, 14, 3868. [Google Scholar] [CrossRef]
- Ouabel, H.; Zadjaoui, A.; Bendiouis-Benchouk, A. Numerical estimation of settlement under a shallow foundation by the pressuremeter method. Civ. Eng. J. 2020, 6, 156–163. [Google Scholar] [CrossRef]
- Lukić Kristić, I.; Szavits-Nossan, V.; Miščević, P. Direct method for determination of shallow foundation settlements. Građevinar 2017, 69, 467–477. [Google Scholar]
- Tan, F.; Zhou, T.Q.; Li, C. Finite Element Analysis for Pile Group Foundation Settlement in Soft Soil. Appl. Mech. Mater. 2013, 405, 168–172. [Google Scholar] [CrossRef]
- Bektas, F.; Uzuner, B.A. Comparison of the computed and the measured settlements of a flexible mat. In Proceedings of the 15th International Conference on Soil Mechanics and Geotechnical Engineering, İstanbul, Turkey, 27–31 August 2001. [Google Scholar]
- Wen, Y.; Yang, G.; Zhong, Z. Study on Calculation Method of Foundation Nonlinear Settlement Based on In Situ Loading Test. Geofluids 2023, 2023, 7845944. [Google Scholar] [CrossRef]
- Liu, K.; Yuan, K.; Shi, B. Study on prediction method for postconstruction settlement of loess fill foundation in Northern Shaanxi, China. Adv. Civ. Eng. 2020, 2020, 5703420. [Google Scholar] [CrossRef]
- Wang, Z.; Luo, Y.; Tang, S. Mechanism and calculation method of rheological settlement of high-filled embankment. J. Cent. South Univ. Technol. 2008, 15 (Suppl. 1), 381–385. [Google Scholar] [CrossRef]
- Morissette, L.; St-Louis, M.W.; McRostie, G.C. Empirical settlement predictions in overconsolidated Champlain Sea clays. Can. Geotech. J. 2001, 38, 720–731. [Google Scholar] [CrossRef]
- Huang, C.; Li, Q.; Wu, S.; Li, J.; Xu, X. Application of the Richards model for settlement prediction based on a bidirectional difference-weighted least-squares method. Arab. J. Sci. Eng. 2018, 43, 5057–5065. [Google Scholar]
- Liu, W.; Chao, W.; Jin, Y.; Yang, F.; Fan, L.; Zhang, W.; Wu, L.; Song, C. Study on GA-ANN-based prediction of paving time of cement-stabilized layer above ultra-high-filled subgrade. Buildings 2024, 14, 2312. [Google Scholar]
- Feng, S.; Lei, H. A settlement prediction model considering tidal loading and traffic loading of soft soil subgrade. Comput. Geotech. 2022, 144, 104639. [Google Scholar] [CrossRef]
- Tang, C.; Zhu, Z.; Ma, Y.; Yao, Z.; Tan, Q.; Liu, Z.; Xu, J.; Zheng, S. Numerical simulation for vibration-induced settlement and permanent deformation accumulation in permafrost subgrades of the Qinghai-Tibet Railway. Comput. Geotech. 2024, 167, 106047. [Google Scholar] [CrossRef]
- Lu, Y.N.; Li, G.W. FLAC3D numerical simulation study on deformation of subgrade construction process. Appl. Mech. Mater. 2011, 90, 466–470. [Google Scholar] [CrossRef]
- Lin, Q.; Zhang, Y.; Yang, C.; Wang, X.; Lei, T.; Ju, C.; Yao, Z.; Yao, K. Evaluation of differential settlement of subgrade for highway-widening projects. Sustainability 2023, 15, 2950. [Google Scholar] [CrossRef]
- Xie, L.; Tang, B.; Liu, S.; Gong, Y.; Cheng, X. Study on optimization of pouring time for late poured band. Front. Built Environ. 2023, 8, 1059920. [Google Scholar] [CrossRef]
- Abhishek, R.; Chawla, S.; Vinod, J.S. Enhancement of Existing Railway Tracks for Heavier Axle Loads: Innovative Retrofitting Techniques. Indian Geotech. J. 2025, 55, 3702–3709. [Google Scholar] [CrossRef]
- Wang, Z.; Zhu, J.; Ma, T. Review on monitoring of pavement subgrade settlement: Influencing factor, measurement and advancement. Measurement 2024, 237, 115225. [Google Scholar] [CrossRef]
- Gu, C.; Wang, J.; Cai, Y.; Sun, L.; Wang, P.; Dong, Q. Deformation characteristics of overconsolidated clay sheared under constant and variable confining pressure. Soils Found. 2016, 56, 427–439. [Google Scholar] [CrossRef]
- Peng, L.Y.; Liu, J.K.; Tian, Y.H. Study on thawing settlement and its influenced factors of embankment in seasonal frost area. Adv. Mater. Res. 2014, 838, 756–760. [Google Scholar] [CrossRef]
- Singh, A.K.; Sahoo, J.P. Undrained cyclic loading response of subgrade soil subjected to varying moisture content and stress level. Int. J. Geomech. 2023, 23, 04022284. [Google Scholar] [CrossRef]
- Wan, G.; Liu, J.; Liu, C.; Yang, J.; Wang, X.; Li, P. Numerical Study on Deformation Characteristics and Influencing Factors of Super-High Filled Subgrade. In Proceedings of the International Conference on Civil Architecture and Structural Engineering, Da Nang, Vietnam, 7–9 December 2024; Springer Nature: Cham, Switzerland, 2024; pp. 387–399. [Google Scholar]
- JTG/T 3340-2018; Technical Specifications for Highway Subgrade Construction. Ministry of Transport of the People’s Republic of China (MOT)/China Communications Press: Beijing, China, 2018. (In Chinese)
- GB/T 50123-2019; Standard for Geotechnical Testing Method. Ministry of Housing and Urban—Rural Development of the People’s Republic of China (MOHURD), & State Administration for Market Regulation (SAMR)/China Planning Press: Beijing, China, 2019. (In Chinese)
- Cheng, T.; Yan, K.; Hu, R.; Zheng, J.; Zhang, Y.; Jin, L.; Liu, J. A simplified method for one-dimensional consolidation of unsaturated soils. Int. J. Geomech. 2023, 23, 04022251. [Google Scholar] [CrossRef]
- Guerriero, V. 1923–2023: One Century since Formulation of the Effective Stress Principle, the Consolidation Theory and Fluid-Porous-Solid Interaction Models. Geotechnics 2022, 2, 961–988. [Google Scholar] [CrossRef]
- Feng, R.; Peng, B.; Wu, L.; Cai, X.; Shen, Y. Three-stage consolidation characteristics of highly organic peaty soil. Eng. Geol. 2021, 294, 106349. [Google Scholar] [CrossRef]
- Ahmad, H.; Mahboubi, A.; Noorzad, A. Scale effect study on the modulus of subgrade reaction of geogrid-reinforced soil. SN Appl. Sci. 2020, 2, 394. [Google Scholar] [CrossRef]
- Yang, L.; Xu, W.; Li, K. Analysis of the embankment settlement on soft soil subgrade with a cement mixed pile. Adv. Civ. Eng. 2021, 2021, 9949720. [Google Scholar] [CrossRef]
- Jastrzebska, M.; Lupiezowiec, M. Application of Clay–rubber Mixtures for the Transportation Geotechnics—The Numerical Analysis. Stud. Geotech. Mech. 2023, 45, 370–381. [Google Scholar] [CrossRef]
- Liu, W.; Xu, C.J.; Du, H.D.; Zhu, H.S.; Wang, C.H. Stability analysis of overconsolidated unsaturated red clay slope based on modified UH model. Rock Soil Mech. 2024, 45, 1233–1241. (In Chinese) [Google Scholar]
- Yu, Y.; Zhang, Z.; Dai, F.; Bai, S. A New Shear Strength Model with Structural Damage for Red Clay in the Qinghai-Tibetan Plateau. Appl. Sci. 2024, 14, 3169. [Google Scholar] [CrossRef]
- Li, X.Z.; Xu, Q.; Kong, J.M.; Ding, X.M. Numerical modeling analysis of settlements of high fill foundation for Jiuzai-Huanglong airport. Yanshilixue Yu Gongcheng Xuebao/Chin. J. Rock Mech. Eng. 2005, 24, 2188–2193. (In Chinese) [Google Scholar]
- Liu, H.; Li, P.; Zhang, Z. Prediction of the post-load settlement of high embankment by artificial neural network. J.-Chengdu Univ. Technol. 2005, 32, 284. (In Chinese) [Google Scholar]
- GB 51254-2017; technical Code for Deep Filled Ground. Ministry of Housing and Urban-Rural Development of the People’s Republic of China (MOHURD)/China Architecture & Building Press: Beijing, China, 2017. (In Chinese)
- JTG D30-2015; Specifications for Design of Highway Subgrades. Ministry of Transport of the People’s Republic of China (MOT)/China Communications Press Co., Ltd.: Beijing, China, 2015. (In Chinese)
- Feng, X.; Teng, J.; Wang, H. Influence mechanism of water content and compaction degree on shear strength of red clay with high liquid limit. Materials 2023, 17, 162. [Google Scholar] [CrossRef]
- Lu, X.; Yu, Q.; Xu, J.; Yue, B.; Sheng, M. Comparative experimental study on strength properties of red clay modified by cement and industrial solid waste powder. Adv. Civ. Eng. 2023, 2023, 6645563. [Google Scholar] [CrossRef]
- Lu, M.; Zheng, Y.Y.; Yin, Z.Y. Investigating the consolidation of kaolinite with Molecular Dynamics: The micro effective stress principle. Appl. Surf. Sci. 2025, 690, 162653. [Google Scholar] [CrossRef]
- Olinic, E.; Ivasuc, T.; Manea, S. Improvement of difficult soils by mixing with mineral materials and inorganic waste. Exp. Proj. Case Stud. Rom. 2015, 2437–2442. [Google Scholar]
- Song, J. Joint Evaluation Method for Soil Compaction Degree Based on Electrical Resistivity and Elastic Wave Property. In Proceedings of the 2015 3rd International Conference on Machinery, Materials and Information Technology Applications, Washington, DC, USA, 21–23 May 2015; Atlantis Press: Dordrecht, The Netherlands, 2015; pp. 1608–1611. [Google Scholar]












| Natural Density (g/cm3) | Liquid Limit (%) | Plastic Limit (%) | Plasticity Index | Maximum Dry Density (g/cm3) | Optimal Water Content (%) |
|---|---|---|---|---|---|
| 1.49 | 43.4 | 22.8 | 20.6 | 1.65 | 22 |
| Scheme | Water Content (%) | Degree of Compaction (%) | Lift Thickness (cm) |
|---|---|---|---|
| 1 | 17, 20, 25, 27 | 93 | 30 |
| 2 | 22 | 90, 93, 95, 98 | 30 |
| 3 | 22 | 93 | 20, 30, 40, 50 |
| Name | Constitutive Model | Elastic Modulus (MPa) | Poisson’s Ratio | Volumetric Weight | Cohesion (kPa) | Friction Angle (°) |
|---|---|---|---|---|---|---|
| Saprolite | Mohr–Coulomb | 48 | 0.25 | 23.5 | 78 | 34 |
| silty clay | Mohr–Coulomb | 20 | 0.35 | 19 | 30 | 12 |
| fill | Mohr–Coulomb | 15 | 0.30 | 18 | 29 | 15 |
| Water Content (%) | Cohesion (kPa) | Friction Angle (°) | Compression Modulus (MPa) | Unit Weight (kN/m3) |
|---|---|---|---|---|
| 17 | 25.2 | 18.3 | 6.0 | 18.1 |
| 20 | 28.9 | 16.5 | 5.4 | 18.5 |
| 25 | 25.9 | 12.4 | 4.7 | 19.3 |
| 27 | 22.5 | 11.1 | 4.6 | 19.6 |
| Compaction Degree (%) | Cohesion (kPa) | Friction Angle (°) | Compression Modulus (MPa) | Unit Weight (kN/m3) |
|---|---|---|---|---|
| 90 | 23.5 | 13.1 | 4.8 | 18.2 |
| 93 | 29.4 | 15.9 | 5.0 | 18.8 |
| 95 | 34.8 | 16.3 | 4.9 | 19.2 |
| 98 | 37.5 | 19.5 | 5.4 | 19.8 |
| Project | Mass per Unit Area (kg/m2) | Poisson’s Ratio | Thickness (mm) | Cohesion (kPa) | Friction Angle (°) | Elastic Modulus (MPa) | Average Unit Size (m) | Unit Number |
|---|---|---|---|---|---|---|---|---|
| Geogrid | 0.3 | 0.38 | 5 | 0 | 29.4 | 2000 | 1.0 | 1926 |
| anti-slide pile | - | 0.25 | - | - | - | 30,000 | 1.0 | 120 |
Disclaimer/Publisher’s Note: The statements, opinions and data contained in all publications are solely those of the individual author(s) and contributor(s) and not of MDPI and/or the editor(s). MDPI and/or the editor(s) disclaim responsibility for any injury to people or property resulting from any ideas, methods, instructions or products referred to in the content. |
© 2025 by the authors. Licensee MDPI, Basel, Switzerland. This article is an open access article distributed under the terms and conditions of the Creative Commons Attribution (CC BY) license (https://creativecommons.org/licenses/by/4.0/).
Share and Cite
Xie, J.-B.; Wu, B.; Jia, R.-G.; Yang, Y.-C.; Li, K.-N.; Zhang, X.-M. Influencing Factors and Control Measures for Post-Construction Settlement of High-Fill Red Clay Embankment. Eng 2025, 6, 363. https://doi.org/10.3390/eng6120363
Xie J-B, Wu B, Jia R-G, Yang Y-C, Li K-N, Zhang X-M. Influencing Factors and Control Measures for Post-Construction Settlement of High-Fill Red Clay Embankment. Eng. 2025; 6(12):363. https://doi.org/10.3390/eng6120363
Chicago/Turabian StyleXie, Jian-Bin, Bin Wu, Rong-Gu Jia, Yu-Chen Yang, Ke-Nu Li, and Xue-Min Zhang. 2025. "Influencing Factors and Control Measures for Post-Construction Settlement of High-Fill Red Clay Embankment" Eng 6, no. 12: 363. https://doi.org/10.3390/eng6120363
APA StyleXie, J.-B., Wu, B., Jia, R.-G., Yang, Y.-C., Li, K.-N., & Zhang, X.-M. (2025). Influencing Factors and Control Measures for Post-Construction Settlement of High-Fill Red Clay Embankment. Eng, 6(12), 363. https://doi.org/10.3390/eng6120363
