Optimization of Metallic Support Geometry for Automotive Doors Using CAD, CAE, and Taguchi Method to Improve Structural Rigidity
Abstract
1. Introduction
2. Methodology
2.1. Comparative Analysis of Geometric Factors
2.2. Parameter Diagram (P-Diagram)
2.3. Control Factors and Levels
Optimization Problem Formulation
- Design Variables: The eight geometric control factors (F1–F8) detailed in Table 1 constitute the design variables for the optimization. Each variable was studied at two levels (low and high) based on the feasible ranges identified from the CAD benchmarking analysis.
- Objective Function: Maximize the structural rigidity of the metallic support. This was implemented by maximizing the “Larger-the-Better” Signal-to-Noise (S/N) ratio for stiffness K, based on simulation results. The S/N ratio serves as a robust performance metric that simultaneously maximizes the mean stiffness while minimizing performance variation (sensitivity) due to noise factors (material variability) [24].
- Constraint Function: No explicit constraint functions were applied in this initial screening study. The design space was inherently constrained by defining the low and high levels for each geometric factor (Table 1) within manufacturable and physically feasible ranges, as determined by the prior analysis of production vehicle components. This approach aligns with methodologies used in similar component-level optimization studies [2,5,31].
2.4. Taguchi L16 Orthogonal Array Design
2.5. CAE Simulation and Setup
2.6. Simulation Setup
3. Results
3.1. Stiffness Results from the Taguchi Inner–Outer Array
3.2. Identification of Optimal Configuration
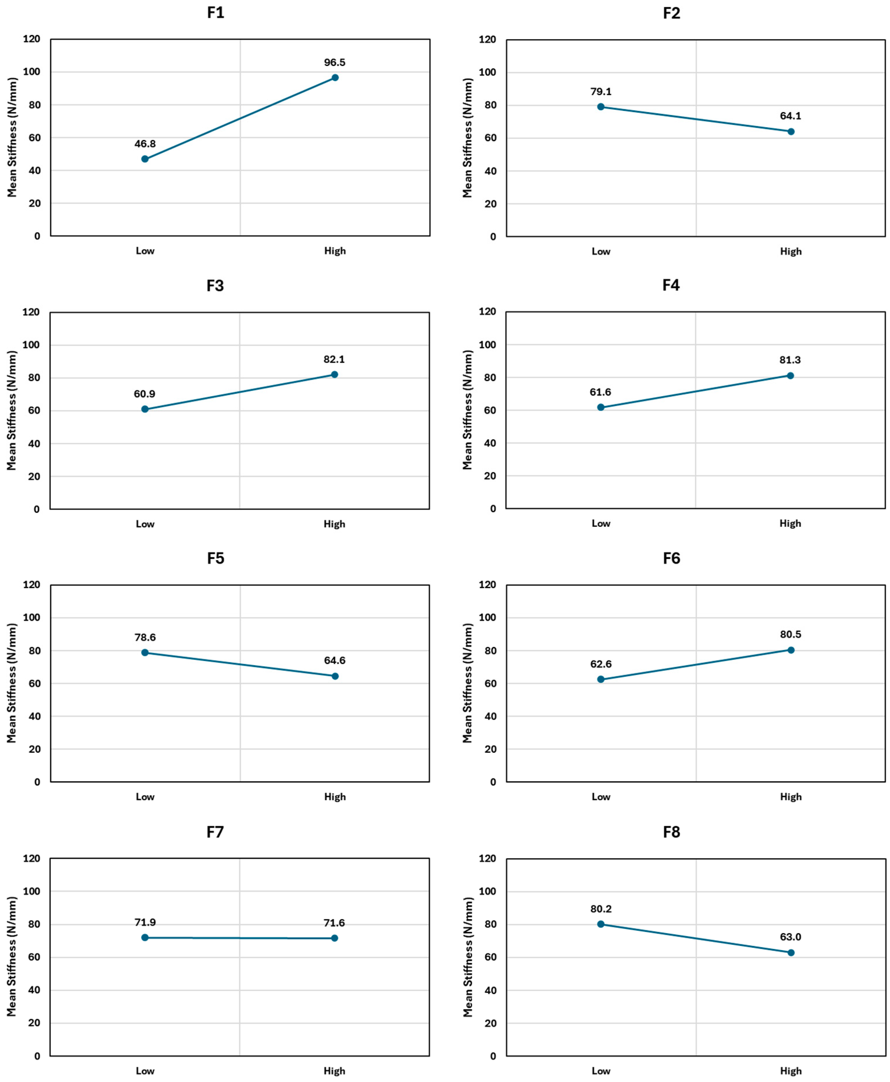
Factor Effect Analysis
3.3. Validation with Traditional FEA
3.4. Comparison with Baseline Designs
3.5. Stress Distribution Analysis
4. Discussion
5. Conclusions
- Novel Application: This work presents one of the first integral applications of the CAD-CAE–Taguchi framework, specifically the optimization of metallic door supports, which is an area previously largely unexplored compared to plastic components or general panels.
- Computational Efficiency: The use of the Altair SimSolid meshless solver was fundamental, eliminating the need for meshing and reducing simulation time to 2–3 min per design. Combined with the Taguchi L16 array, which reduced the number of required simulations by 93.75%, this approach resulted in an overall reduction in development time and computational effort by over 87.5% compared to a full-factorial design using traditional FEA, drastically shortening the development cycle.
- Performance Improvement: The methodology identified a robust optimal configuration that increased stiffness to 248 N/mm and a substantial 635% improvement over the baseline design (39 N/mm). This demonstrates the approach’s capacity to deliver dramatic performance gains from the early design stages.
Author Contributions
Funding
Institutional Review Board Statement
Informed Consent Statement
Data Availability Statement
Acknowledgments
Conflicts of Interest
References
- Yang, K.; Tang, L.; Wu, P. Research on Optimization of Injection Molding Process Parameters of Automobile Plastic Front-End Frame. Adv. Mater. Sci. Eng. 2022, 2022, 5955725. [Google Scholar] [CrossRef]
- Li, S.; Zhou, D.; Pan, A. Integrated Lightweight Optimization Design of Wall Thickness, Material, and Performance of Automobile Body Side Structure. Struct. Multidisc Optim. 2024, 67, 95. [Google Scholar] [CrossRef]
- Yang, F.; Brooker, A.; Kleinbaum, S.; Gotthold, D. Lightweighting Cost Impacts on Market Adoption and GHG Emissions in U.S. Light-Duty Vehicle Fleet. Environ. Res. Commun. 2024, 6, 101017. [Google Scholar] [CrossRef]
- Chirinda, G.P.; Matope, S. The Lighter the Better: Weight Reduction in the Automotive Industry and Its Impact on Fuel Consumption and Climate Change. In Proceedings of the 2nd African International Conference on Industrial Engineering and Operations Management, Harare, Zimbabwe, 7–10 December 2020. [Google Scholar]
- Salmani, H.; Khalkhali, A.; Ahmadi, A. Multi-Objective Optimization of Vehicle Floor Panel with a Laminated Structure Based on V-Shape Development Model and Taguchi-Based Grey Relational Analysis. Struct. Multidisc. Optim. 2022, 65, 95. [Google Scholar] [CrossRef]
- Sun, G.; Tan, D.; Lv, X.; Yan, X.; Li, Q.; Huang, X. Multi-Objective Topology Optimization of a Vehicle Door Using Multiple Material Tailor-Welded Blank (TWB) Technology. Adv. Eng. Softw. 2018, 124, 1–9. [Google Scholar] [CrossRef]
- Jones, D.R. Optimization in the Automotive Industry. In Optimization and Industry: New Frontiers; Pardalos, P.M., Korotkikh, V., Eds.; Applied Optimization; Springer: Boston, MA, USA, 2003; Volume 78, pp. 39–58. ISBN 978-1-4613-7953-9. [Google Scholar]
- Jankovics, D.; Barari, A. Customization of Automotive Structural Components Using Additive Manufacturing and Topology Optimization. IFAC-PapersOnLine 2019, 52, 212–217. [Google Scholar] [CrossRef]
- Kuo, C.-C.; Nguyen, T.-D.; Zhu, Y.-J.; Lin, S.-X. Rapid Development of an Injection Mold with High Cooling Performance Using Molding Simulation and Rapid Tooling Technology. Micromachines 2021, 12, 311. [Google Scholar] [CrossRef]
- Muhamat, W.A.N.W.; Mehat, N.M.; Kamaruddin, S. Multi-Objective Optimization of Injection-Molded Car Door Handles Using Taguchi Method and Grey Relational Analysis. Adv. Sustain. Technol. ASET 2025, 4, 97–112. [Google Scholar] [CrossRef]
- Cao, J.; Banu, M. Opportunities and Challenges in Metal Forming for Lightweighting: Review and Future Work. J. Manuf. Sci. Eng. 2020, 142, 110813. [Google Scholar] [CrossRef]
- Xia, P.; Sabirov, I.; Petrov, R.; Verleysen, P. Review of Performance of Advanced High Strength Steels under Impact. Adv. Eng. Mater. 2025, 27, 2402016. [Google Scholar] [CrossRef]
- Silva, M.B.; Baptista, R.M.S.O.; Martins, P.A.F. Stamping of Automotive Components: A Numerical and Experimental Investigation. J. Mater. Process. Technol. 2004, 155–156, 1489–1496. [Google Scholar] [CrossRef]
- Zhang, H.; Wei, W.; Long, S.; Zhou, M.; Li, C. Optimization of Stamping Process Parameters for Sustainable Manufacturing: Numerical Simulation Based on AutoForm. Sustainability 2025, 17, 341. [Google Scholar] [CrossRef]
- Xu, T.; Wu, H.; Xue, F.; Guo, J.; Ran, J.; Gong, F. Structural Design of Stamping Die of Advanced High-Strength Steel Part for Automobile Based on Topology Optimization with Variable Density Method. Int. J. Adv. Manuf. Technol. 2022, 121, 8115–8125. [Google Scholar] [CrossRef]
- Liu, B.; Zhang, K.; Xiao, F.; Yang, J. Application of Constitutive Model for High-Strength Steels in Automobile: A Review. Steel Res. Int. 2025, 96, 2400982. [Google Scholar] [CrossRef]
- Perka, A.K.; John, M.; Kuruveri, U.B.; Menezes, P.L. Advanced High-Strength Steels for Automotive Applications: Arc and Laser Welding Process, Properties, and Challenges. Metals 2022, 12, 1051. [Google Scholar] [CrossRef]
- Pereira, R.; Peixinho, N.; Costa, S.L. A Review of Sheet Metal Forming Evaluation of Advanced High-Strength Steels (AHSS). Metals 2024, 14, 394. [Google Scholar] [CrossRef]
- Mao, H.; Wang, Y.; Yang, D. Study of Injection Molding Process Simulation and Mold Design of Automotive Back Door Panel. J. Mech. Sci. Technol. 2022, 36, 2331–2344. [Google Scholar] [CrossRef]
- Huang, W.-T.; Tasi, Z.-Y.; Ho, W.-H.; Chou, J.-H. Integrating Taguchi Method and Gray Relational Analysis for Auto Locks by Using Multiobjective Design in Computer-Aided Engineering. Polymers 2022, 14, 644. [Google Scholar] [CrossRef]
- Salanke, S.R.S.; Shantha Raju, S.; Tejas, S.S.; Kolhapuri Srinivas, N.; Khot, M.B. A Review on Finite Element Modelling and Experimental Analysis of Crashworthiness Design of Automotive Body. Int. J. Crashworthiness 2024, 30, 471–495. [Google Scholar] [CrossRef]
- Patel, V.G.; Rachchh, N.V. Meshless Method—Review on Recent Developments. Mater. Today Proc. 2020, 26, 1598–1603. [Google Scholar] [CrossRef]
- Wang, H.-P.; Wu, C.-T.; Guo, Y.; Botkin, M.E. A Coupled Meshfree/Finite Element Method for Automotive Crashworthiness Simulations. Int. J. Impact Eng. 2009, 36, 1210–1222. [Google Scholar] [CrossRef]
- Swapna, D. Taguchi Based GRA-PCA Hybrid Optimization for the Forming of AL6061 Alloy in Automotive Applications. Sigma J. Eng. Nat. Sci-Sigma Müh Fen. Bil. Derg. 2022, 40, 742–754. [Google Scholar] [CrossRef]
- Kamaruddin, S.; Khan, Z.A.; Foong, S.H. Application of Taguchi Method in the Optimization of Injection Moulding Parameters for Manufacturing Products from Plastic Blend. Int. J. Eng. Technol. 2010, 2, 574–580. [Google Scholar] [CrossRef]
- Martínez-Hinojosa, R.; Garcia-Herrera, J.E.; Arcos-Gutiérrez, H.; Navarro-Rojero, M.G.; Mercado-Lemus, V.H.; Betancourt Cantera, J.A. Optimization of Polymer Stake Geometry by FEA to Enhance the Retention Force of Automotive Door Panels. Adeletters 2025, 4, 73–82. [Google Scholar] [CrossRef]
- Apanovitch, V. Using Altair SimsolidTM Technology Overview. 2020. Available online: https://altair.com/docs/default-source/resource-library/altair_whitepaper_simsolid-technology-overview_10_30_2020.pdf (accessed on 30 September 2025).
- Remigio-Reyes, J.O.; Garduño, I.E.; Rojas-García, J.M.; Arcos-Gutiérrez, H.; Ortigosa, R. Topology Optimization-Driven Design of Added Rib Architecture System for Enhanced Free Vibration Response of Thin-Wall Plastic Components Used in the Automotive Industry. Int. J. Adv. Manuf. Technol. 2022, 123, 1231–1247. [Google Scholar] [CrossRef]
- SimSolid Version 2022.1. Altair Engineering, Inc. Available online: https://altair.com/simsolid (accessed on 30 September 2025).
- Goelke, M. Simulation Revolution with Altair SimSolidTM; Altair Engineering, Inc.: Troy, MI, USA, 2021. [Google Scholar]
- Bai, J.; Meng, G.; Wu, H.; Zuo, W. Bending Collapse of Dual Rectangle Thin-Walled Tubes for Conceptual Design. Thin-Walled Struct. 2019, 135, 185–195. [Google Scholar] [CrossRef]
- Lee, K.-H.; Shin, J.-K.; Song, S.-I.; Yoo, Y.-M.; Park, G.-J. Automotive Door Design Using Structural Optimization and Design of Experiments. Proc. Inst. Mech. Eng. Part. D J. Automob. Eng. 2003, 217, 855–865. [Google Scholar] [CrossRef]
- Chen, H.; Lu, C.; Liu, Z.; Shen, C.; Sun, M. Multi-Response Optimisation of Automotive Door Using Grey Relational Analysis with Entropy Weights. Materials 2022, 15, 5339. [Google Scholar] [CrossRef] [PubMed]
- NX Version 2306. Siemens Digital Industries Software. 2023. Available online: https://www.plm.automation.siemens.com/global/en/products/nx (accessed on 30 September 2025).
- Martínez-González, J.A.; Juárez-Sosa, I.; Mercado–Lemus, V.H.; Arcos–Gutiérrez, H.; Garduño, I.E. Numerical Assessment and Characterization of Automobile High-Voltage Cable Coverings. Rev. Ci. Tec. 2024, 7, e335. [Google Scholar] [CrossRef]
- Wang, G.; Wang, Y.; Yang, D. Study on Automotive Back Door Panel Injection Molding Process Simulation and Process Parameter Optimization. Adv. Mater. Sci. Eng. 2021, 2021, 9996423. [Google Scholar] [CrossRef]
- Sunanta, A.; Julsri, W.; Suranuntchai, S. Optimization of Forming Process Parameters for Automotive Advanced High Strength Steel Parts Using the Taguchi Method. Eng. J. 2024, 28, 25–46. [Google Scholar] [CrossRef]
- Park, H.-S.; Dang, X.-P. Structural Optimization Based on CAD–CAE Integration and Metamodeling Techniques. Comput.-Aided Des. 2010, 42, 889–902. [Google Scholar] [CrossRef]
- Liu, T.; Feng, H.; Lei, Q.; Zhou, J.; Lin, W.; Zhu, X. Analysis of Large Tooling Rigidity for SimSolid under Binding Constraints. In Proceedings of the International Conference on Automation and Intelligent Technology (ICAIT 2025); Zhou, J., Khoo Boon Chong, M., Eds.; SPIE: Wuhan, China; p. 16.
- Symington, I. The International Magazine for Engineering Designers & Analysts. 2020, pp. 32–44. Available online: https://www.symetri.fi/media/8d880946040c544/simsolid-verification-by-nafems.pdf (accessed on 30 September 2025).
- Zhao, Y.; Dong, H.; Liang, H. Robust Design Optimization of Car-Door Structures with Spatially Varied Material Uncertainties. Math. Probl. Eng. 2020, 2020, 8835267. [Google Scholar] [CrossRef]
- Bash, M.S. Design and Finite Element Analysis of a Car Door on Different Speeds, Different Materials. Int. J. Mech. Prod. Eng. Res. Dev. 2019, 9, 63–72. [Google Scholar] [CrossRef]
- More, K.C.; Patil, G.M.; Belkhede, A.A. Design and Analysis of Side Door Intrusion Beam for Automotive Safety. Thin-Walled Struct. 2020, 153, 106788. [Google Scholar] [CrossRef]










| Control Factor | Low Level | High Level |
|---|---|---|
| F1 | 1.0 mm | 1.2 mm |
| F2 | 1 | 2 |
| F3 | 34 mm | 50 mm |
| F4 | 50 mm | 60 mm |
| F5 | 30 mm | 44 mm |
| F6 | No | Yes |
| F7 | 90° | 100° |
| F8 | No | Yes |
| Run | F1: Thickness (mm) | F2: Handle Fixation Points | F3: Distance Between Handle Fixation Points (mm) | F4: Distance Between Body Fixation Points (mm) | F5: Distance Between Handle–Body Fixation Points, Z Axis (mm) | F6: Geometric Reinforcements | F7: Angle (°) | F8: Geometric Locators |
|---|---|---|---|---|---|---|---|---|
| 1 | 1.0 | 1 | 34.0 | 50.0 | 30.0 | No | 90 | No |
| 2 | 1.0 | 1 | 34.0 | 50.0 | 44.0 | Yes | 100 | Yes |
| 3 | 1.0 | 1 | 50.0 | 60.0 | 30.0 | No | 100 | Yes |
| 4 | 1.0 | 1 | 50.0 | 60.0 | 44.0 | Yes | 90 | No |
| 5 | 1.0 | 2 | 34.0 | 60.0 | 30.0 | Yes | 90 | Yes |
| 6 | 1.0 | 2 | 34.0 | 60.0 | 44.0 | No | 100 | No |
| 7 | 1.0 | 2 | 50.0 | 50.0 | 30.0 | Yes | 100 | No |
| 8 | 1.0 | 2 | 50.0 | 50.0 | 44.0 | No | 90 | Yes |
| 9 | 1.2 | 1 | 34.0 | 60.0 | 30.0 | Yes | 100 | No |
| 10 | 1.2 | 1 | 34.0 | 60.0 | 44.0 | No | 90 | Yes |
| 11 | 1.2 | 1 | 50.0 | 50.0 | 30.0 | Yes | 90 | Yes |
| 12 | 1.2 | 1 | 50.0 | 50.0 | 44.0 | No | 100 | No |
| 13 | 1.2 | 2 | 34.0 | 50.0 | 30.0 | No | 100 | Yes |
| 14 | 1.2 | 2 | 34.0 | 50.0 | 44.0 | Yes | 90 | No |
| 15 | 1.2 | 2 | 50.0 | 60.0 | 30.0 | No | 90 | No |
| 16 | 1.2 | 2 | 50.0 | 60.0 | 44.0 | Yes | 100 | Yes |
| Property | Symbol | Unit | Material Type 1 | Material Type 2 |
|---|---|---|---|---|
| Young’s Modulus | E | GPa | 200 | 200 |
| Poisson’s Ratio | ν | ---- | 0.29 | 0.29 |
| Yield Strength | σy | MPa | 252 | 210 |
| Ultimate Tensile Strength | σuts | MPa | 340 | 340–480 |
| Density | ρ | Kg/m3 | 7840 | 7800–7870 |
| No. | N1 (N/mm) | N2 (N/mm) | S/N | Average Stiffness (N/mm) | Mass (kg) |
|---|---|---|---|---|---|
| 1 | 39.0 | 39.0 | 31.82 | 39.0 | 0.0821 |
| 2 | 40.0 | 40.0 | 32.04 | 40.0 | 0.0856 |
| 3 | 67.0 | 67.0 | 36.52 | 67.0 | 0.0817 |
| 4 | 28.0 | 28.0 | 28.94 | 28.0 | 0.0895 |
| 5 | 62.0 | 62.0 | 35.85 | 62.0 | 0.0825 |
| 6 | 34.0 | 34.0 | 30.63 | 34.0 | 0.0849 |
| 7 | 80.4 | 80.4 | 38.11 | 80.4 | 0.0827 |
| 8 | 23.0 | 23.0 | 27.23 | 23.0 | 0.0866 |
| 9 | 122.0 | 122.0 | 41.73 | 122.0 | 0.0995 |
| 10 | 40.0 | 40.0 | 32.04 | 40.0 | 0.1068 |
| 11 | 248.0 | 248.0 | 47.89 | 248.0 | 0.0996 |
| 12 | 49.0 | 49.0 | 33.80 | 49.0 | 0.1027 |
| 13 | 111.0 | 111.0 | 40.91 | 111.0 | 0.0976 |
| 14 | 45.0 | 45.0 | 33.06 | 45.0 | 0.1058 |
| 15 | 88.0 | 88.0 | 38.89 | 88.0 | 0.0981 |
| 16 | 69.0 | 69.0 | 36.78 | 69.0 | 0.1033 |
| Factor | Description | F-Value | p-Value | Contribution (%) |
|---|---|---|---|---|
| F1 | Thickness | 26.42 | 0.001 | 42.1% |
| F2 | Handle Fixation Points | 1.80 | 0.220 | 2.9% |
| F3 | Distance Between Handle Fixation Points | 7.96 | 0.023 | 12.7% |
| F4 | Distance Between Body Fixation Points | 4.26 | 0.075 | 6.8% |
| F5 | Handle–Body Distance (Z-axis) | 0.19 | 0.678 | 0.3% |
| F6 | Geometric Reinforcements | 9.40 | 0.018 | 15.0% |
| F7 | Angle | 0.00 | 0.947 | 0.0% |
| F8 | Geometric Locators | 5.42 | 0.050 | 8.6% |
| Error | 11.6% | |||
| Total | 100% |
| Configuration | SimSolid Stiffness [N/mm] | ANSYS Stiffness [N/mm] | Discrepancy [%] |
|---|---|---|---|
| Baseline (Run 1) | 39.00 | 39.58 | 1.49 |
| Intermediate (Run 9) | 122.01 | 119.63 | 1.98 |
| Intermediate (Run 13) | 109.74 | 111.49 | 1.58 |
| Optimal (Run 11) | 248.02 | 246.67 | 0.55 |
| Configuration | Max. Von Mises Stress [MPa] | Stress location | Safety Factor |
|---|---|---|---|
| Baseline (Run 1) | 122.23 | Upper mounting point fillet | 2.06 |
| Intermediate (Run 9) | 74.82 | Upper mounting point fillet | 3.36 |
| Intermediate (Run 13) | 61.57 | Upper mounting point fillet | 4.07 |
| Optimal (Run 11) | 89.29 | Upper mounting point fillet | 2.82 |
| Geometric Factor | Unit | Value |
|---|---|---|
| Minimum thickness | mm | 1.2 |
| Fixing points to the handle | ---- | 2 fixing points |
| Body attachment points | ---- | 2 fixing points (constant) |
| Distance between handle fixing points | mm | 50 mm |
| Distance between body fixing points | mm | 50 mm |
| Distance between the handle–body fixing points on the Z axis | mm | 30 mm |
| Geometric reinforcements | ---- | With reinforcements |
| Angle | degree | 90° |
| Geometric locators | ---- | With locators |
Disclaimer/Publisher’s Note: The statements, opinions and data contained in all publications are solely those of the individual author(s) and contributor(s) and not of MDPI and/or the editor(s). MDPI and/or the editor(s) disclaim responsibility for any injury to people or property resulting from any ideas, methods, instructions or products referred to in the content. |
© 2025 by the authors. Licensee MDPI, Basel, Switzerland. This article is an open access article distributed under the terms and conditions of the Creative Commons Attribution (CC BY) license (https://creativecommons.org/licenses/by/4.0/).
Share and Cite
Guzmán-Siles, A.; Tovar-Martínez, E.; Navarro-Rojero, M.G.; Mercado-Lemus, V.H.; Betancourt-Cantera, J.A.; Pereyra, I.; González-López, M.Á.; Mayén-Chaires, J.; Garduño, I.E.; del Ángel-Monroy, M. Optimization of Metallic Support Geometry for Automotive Doors Using CAD, CAE, and Taguchi Method to Improve Structural Rigidity. Eng 2025, 6, 361. https://doi.org/10.3390/eng6120361
Guzmán-Siles A, Tovar-Martínez E, Navarro-Rojero MG, Mercado-Lemus VH, Betancourt-Cantera JA, Pereyra I, González-López MÁ, Mayén-Chaires J, Garduño IE, del Ángel-Monroy M. Optimization of Metallic Support Geometry for Automotive Doors Using CAD, CAE, and Taguchi Method to Improve Structural Rigidity. Eng. 2025; 6(12):361. https://doi.org/10.3390/eng6120361
Chicago/Turabian StyleGuzmán-Siles, Abigail, Eduardo Tovar-Martínez, María Guadalupe Navarro-Rojero, Víctor Hugo Mercado-Lemus, José Antonio Betancourt-Cantera, Isabel Pereyra, Miguel Ángel González-López, Jan Mayén-Chaires, Isaías E. Garduño, and Mayra del Ángel-Monroy. 2025. "Optimization of Metallic Support Geometry for Automotive Doors Using CAD, CAE, and Taguchi Method to Improve Structural Rigidity" Eng 6, no. 12: 361. https://doi.org/10.3390/eng6120361
APA StyleGuzmán-Siles, A., Tovar-Martínez, E., Navarro-Rojero, M. G., Mercado-Lemus, V. H., Betancourt-Cantera, J. A., Pereyra, I., González-López, M. Á., Mayén-Chaires, J., Garduño, I. E., & del Ángel-Monroy, M. (2025). Optimization of Metallic Support Geometry for Automotive Doors Using CAD, CAE, and Taguchi Method to Improve Structural Rigidity. Eng, 6(12), 361. https://doi.org/10.3390/eng6120361

