Next Article in Journal
Crystallinity of Halogen-Free Flame-Retardant Polyolefin Compounds Loaded with Natural Magnesium Hydroxide
Previous Article in Journal
Evaluating Field-Effect Separation on Rare Earth and Critical Metals
 
 
Font Type:
Arial Georgia Verdana
Font Size:
Aa Aa Aa
Line Spacing:
Column Width:
Background:
Article

Design of Dual Loop Control to Attenuate Vibration of Payload Carried by a UAV

School of Engineering of Ilha Solteira, São Paulo State University (UNESP), R. Avenida Brasil Sul, n 56, Ilha Solteira, São Paulo 15385000, Brazil
*
Author to whom correspondence should be addressed.
Eng 2024, 5(3), 2033-2049; https://doi.org/10.3390/eng5030108
Submission received: 12 July 2024 / Revised: 19 August 2024 / Accepted: 25 August 2024 / Published: 1 September 2024

Abstract

Unmanned aerial vehicles (UAVs) are currently employed to carry different types of cargoes, such as medical products. Several advantages can be related to the integration of UAVs in health care systems, including the possibility to access remote areas, low costs and high mobility and speed. However, some concerns can arise regarding the payload integrity, especially considering medical products that can be sensitive to vibration and lose their therapeutic effect. This paper presents the flight dynamics of a quadrotor and an attached payload, assuming a flexible attachment between them. Constraint vector representation is used to model the flexible attachment and guarantee a physical distance between them. A dual loop control, formed by a sliding mode control and reduced dimension observer, is developed to improve the trajectory tracking and payload undesired oscillations. The estimated disturbance (DE) is then calculated by the difference between the estimated payload and the desired trajectories. Numerical results have shown that with the use of the DE strategy, the undesired oscillations are attenuated, showing a reduction from maximum peaks of 0.2 m to 0.05 m. Regarding performance index evaluation, a reduction of approximately 84% is observed in terms of payload oscillation. In a second case, with a different payload and external disturbance intensity, the proposed strategy is also able to positively estimate the payload vibration and, consequently, attenuate the undesired oscillation, with an 85% reduction. Therefore, the dual loop control represents an efficient strategy for tracking trajectory with low undesired oscillation intensity.

1. Introduction

UAVs are currently employed for delivery applications due to their mobility, low costs, possibility to carry different payloads and accessibility to remote areas [1]. Nowadays, one of the most important applications of UAVs include commercial delivery of medication and others medical supplies. Although this type of innovation generates important advances for medical delivery, especially in remote areas and low-infrastructure countries, some concerns regarding the medical products’ integrity may arise [2,3]. Compared to a single configuration, i.e., the absence of payload, some additional challenges can observed, especially due to nonlinearities of the suspended payload [4]. This complex dynamic coupling may make the drone more susceptible to undesired vibration caused by the UAV components, the nonlinear dynamics, and, especially, to gusts from the external environment [5].
Despite all the advantages of employing UAVs for medical transportation, some potential adverse effects of vibration on the medical products’ stability can be highlighted. Oakey et al. [6] assessed the effect of vibration intensity on medical insulin quality in both aerial and road transportation types. Insulin is a well-known medication for treating type I diabetes and, depending on the amplitude of the vibrations, it can cause irreversible aggregation. Two types of UAVs (fixed and multicopter UAVs) are equipped with several accelerometers, placed on their fuselage, and the medical packing, to investigate the vibration characteristics through the flight and then compare these with the vibration amplitudes from road transportation. The experimental trials have shown that at some range of frequency, the vibration intensities from the UAVs are more significant than those of road transportation, which highlights the need to carry out some tests before UAV delivery.
Blood cells may also hemolyze and lose their therapeutic effect through external forces and vibration. Amukele et al. [7] evaluate the stability of blood cells transported by commercial UAVs. The flights are carried out in an external environment to investigate the forces that can affect the medical product. These forces are mainly caused by sudden accelerations and decelerations, and changes in air pressure and temperature. Similarly, Scalea et al. [8] use a DJI M600 Pro to investigate kidney integrity after UAV transportation. Organs are investigated because their tissues can deteriorate due to vibration, which can compromise their functionality. A smart cooler is attached to the UAV, equipped with several sensors to monitor the temperature, vibration and altitude changes. A large number of take-off, cruise and landing phases are carried out to assess the vibration effects on the organs tissues. The results show that the fixed wing can generate a more significant vibration in comparison to the rotary UAV, especially in changes in velocity. Several other medical products may suffer adverse effects through significant vibration levels, and they must be assessed before the widespread use of UAVs, including adrenaline [9], vaccines and antimalarial injections [10], and many others
Due to the potential adverse effects on the transported cargo, different techniques and controllers have been developed to attenuate the undesired vibration on the payload. Lee et al. [11] investigated a stabilization method to attenuate the payload impact. The attached load may drift from the vertical position of the quadrotor when subjected to movement or external disturbances. Then, a virtual point is designed at the upward direction of the payload. The command signals for the virtual point are calculated by the Proportional Derivative control with the relative distance error. However, a disadvantage can be observed when generating this desired error. The proposed method requires several sensors, cameras and software to collect position information from the quadcopter and its payload, which can only be employed in a controlled environment.
Guerrero et al. [12] assess the use of nonlinear strategies to suppress the swing motion of a UAV. The control strategy is developed in a cascade scheme, including the dynamics of the rotational and translational. The proposed control is designed using a correlation between the horizontal movement of the UAV and the payload dynamic. A nonlinear term, based on a squared energy term, is included in the translational control for the swing load attenuation. In addition, feedback control is used to stabilize the attitude dynamics of the quadrotor. The results reveal that the method can enhance the control performance with a swing attenuation. Gao et al. [13] use a double-loop observer second-order SMC to attenuate the payload effect. The attached load is treated as a disturbance, whereas observers are used to estimate these disturbances on both loops. The proposed strategy aims to mitigate the disturbance as an offset of the impact of the payload in the SMC design. In addition, the literature commonly considers a rigid attachment, neglecting the elastic effects between the quadrotor and its payload [14,15].
Klausen et al. [16] evaluate the use of multiple observers on UAVs, developed by an extended state observer (ESO), to mitigate the adverse effect of payload dynamics and wind impact. In an external environment, it is cumbersome to accurately predict external disturbances, mainly its speed and direction. Two ESOs are designed in both loops (translational and rotational) for attenuating the adverse effect on the trajectory of the desired flight. In addition, an anti-disturbance control is combined with the ESO (in the translational loop) to enhance the control performance. Klausen et al. [17] investigate the development of an anti-disturbance trajectory tracking via GESO. The proposed technique aims to reduce the external disturbance and ground effect on the UAV and its payload. Then, as noted in previous works, the importance of estimating the adverse effect on payload has been studied to improve control performance and stability and to generalize the safe use of UAVs to transport medical products.
This paper investigates a novel configuration of a quadrotor carrying a payload, considering a flexible attachment system. A dual loop control strategy, comprised by the sliding mode control and reduced dimension observer, is used for trajectory tracking and undesired vibration attenuation. The RDO is employed to estimate the payload characteristics, even under external disturbance, and then calculate the disturbance estimation. Dryden continuous gust is assumed to assess the controller suppression performance. The main contributions of this paper are: (i) the use of a flexible attachment, modeled by a constraint vector, to represent the physical connection between them, (ii) the employment of a reduced dimension observer for estimating the trajectory of the payload and then calculating the disturbance estimation, and (iii) the use of the Absolute Magnitude of the Error to assess the level of undesired vibration.
The paper is divided into four sections: Section 2 shows the mathematical model of the quadrotor and its payload, including the use of a flexible attachment to link them. The dual loop control development is also assessed in this section to guide the quadrotor along the desired trajectory and also attenuate the undesired oscillations. Section 3 shows the numerical results of the proposed control strategy. Section 4 presents the final remarks achieved by the dual loop control strategy.

2. Methodology

The literature commonly presents several works regarding the quadrotor model without including the payload dynamics into their equation of motion, as noted in [18,19,20,21,22]. On the other hand, the attachment payload can change the quadrotor dynamics, and it generates an adverse effect on their movement. In addition, the attachment flexibility is often neglected in the equations of motion. Besides generating additional disturbance to the system, the undesired vibration on the payload can represent an adverse effect on safely carrying medical goods.
A direct attachment is assumed between the quadrotor and its payload attached. It is also assumed that there is only a vertical translation of the payload, since in this proposed configuration, both lateral stiffness components are more significant than those of the vertical component, which can be neglected. Figure 1 illustrates the proposed configuration of the quadrotor carrying a payload, with their corresponding constraint forces.
Three forces are used to define the flexible attachment, F x , F y and F z , which are generic as represented by F i = k p i ( i i p ) (such that i = x , y , z ), where K p i is the stiffness along the corresponding position and i and i p are the quadrotor and its payload positions, respectively. Then, since the payload motion is assumed to be restricted to the vertical direction, the components k p x and k p y > > > k p z allow us to simplify the component k p z by k p . Based on this purpose, the linear coordinates of the quadrotor, x and y, are then represented by the same direction as those of the payload x p and y p . The equation of motion, with the flexibility, is shown in the corresponding Equation (1)
M η ¨ + C η ˙ + K η + g = τ + F d + F c f
The matrices M , C and K correspond to the inertia, Coriolis and Stiffness matrices, respectively. The term g represents the vector of gravity, τ defines the control input, F d is the gust vector and F c f is the constraint force vector. Including the payload dynamic ( z p ), the corresponding generalized coordinate vector η is defined by η = { x y z ϕ θ ψ z p } T , such that x , y , z are the linear position of the quadrotor ϕ , θ , ψ are the rotational angles of the quadrotor and z p is the payload’s vertical coordinate. Payload dynamics are also included in all matrices of the equation of motion, which are detailed in Appendix A. Moreover, the stiffness matrix K ( η ) is given by J p M p 1 K p as shown in Appendix A and K p is expressed as
K p = 0 7 × 2 k p 0 7 × 3 k p T
where the vector k p is defined by k p = { 0 0 k p 0 0 0 k p } T and 0 a × b is a zero matrix. The input control is calculated by the quadrotor’s four inputs U i ( i = 1 , 2 , 3 , 4 ) , expressed by τ = { 0 0 U 1 U 2 U 3 U 4 0 } T . Equation (1) can be alternatively defined as follows
x ˙ s = A p x s + B p u + X g p + F d + B c F c
where the state vector is defined by x s = { η ˙ T η T } T , the input vector is u = { τ T 0 7 × 1 } T , X η c = { ( M 1 g ) T 0 7 × 1 } T is the gravity vector, F c = k p l b is the constraint vector, B c = [ B 0 c 0 7 × 1 ] , where B 0 c = J p M p 1 ( [ 0 0 1 0 0 0 1 ] T ). The matrices from Equation (3) are then defined by
A p = M 1 C M 1 K I 7 × 7 0 7 × 7 B p = M 1 0 7 × 7
Note that a physical distance is adopted to model the constraint forces F c , denoted by l b . Regarding the external disturbances, there are different expressions to define the turbulence; however, Dryden is one of the most realistic models adopted [5]. In this sense, the Dryden disturbance F d vector is expressed as
F d = 1 2 ρ C d z A z ( z ˙ v w z ) 2 s g n ( z ˙ v w z )
where ρ and C d z are, respectively, the air density and drag coefficient, whereas s g n ( . ) corresponds to the sign function. In addition, the projected area and vertical velocity are, respectively, represented by A z and z ˙ . Further details of the Dryden development can be found in [5].

2.1. Dual Loop Control Development

The dual loop control strategy aims to combine the sliding mode control (SMC) and reduced dimension observer (RDO) for both trajectory tracking and undesired vibration attenuation. The trajectory tracking methodology is designed based on inner and outer loops. Position Control (outer loop) is responsible for generating the input U 1 and calculating the desired states ( ϕ d , θ d ) for the inner loop. The Attitude Control (inner loop), on the other hand, is responsible for generating the inputs U 2 , U 3 , U 4 to the dynamic model.
In this configuration, the payload is directly influenced by the UAV trajectory, by undergoing the UAV dynamics and also its own uncertainties. As an underactuated system, the UAV and its payload present seven degrees of freedom (dofs), whereas four control inputs are needed to follow the desired trajectory. Due to the absence of a specific control strategy to reduce the payload dynamics, an RDO is employed for payload trajectory estimation and, consequently, to calculate disturbance behavior. This disturbance estimation can be included into the dynamic model aiming to mitigate the adverse impact of the payload motion caused by external disturbances. Once the disturbance is estimated, it is included as a control law directly to the desired state (in the vertical degree of freedom for the payload, z p ). Figure 2 illustrates the dual loop control strategy.

2.1.1. Sliding Mode Control

The design of the SMC strategy comprises two main steps: setting a sliding surface and a control law, according to the dynamic model. The sliding surface is formed mainly by the errors of the corresponding states from both the position and velocity. To ensure the convergence, the sliding surface for the position loop is commonly defined by [23]
s z = λ z e z + e ˙ z
where e z and e ˙ z are the error of the desired and actual states, i.e., e z = z d z and the error time derivative, and λ z is a tuning parameter. The sliding surface time derivative is obtained by the corresponding expression s ˙ z = λ z ( z ˙ d z ˙ ) + ( z ¨ d z ¨ ) . Moreover, a discontinuous state function can be used to enhance the control robustness, which can be represented by s ˙ z = ϵ z s a t ( s z ) η z s z , where ϵ z and η z are sliding coefficients, and sat(.) stands for the saturated function. Therefore, the corresponding control law is obtained as follows
U 1 = m ˜ c θ c ϕ ( z ¨ d + g + k d z z ˙ / m + λ z e ˙ z + η z s z + ϵ z s a t ( s z ) )
where k d z represents the aerodynamic friction factor [24]. The saturated function (sat(si)) is generally chosen to attenuate the chattering effect on the actuators. The term m ˜ is used in this first control law to compensate both the payload and UAV’s weights, and it can be defined by m ˜ = m + m p . The UAV motion in x and y directions are associated with the desired altitude angles ( ϕ d , θ d ), and can be calculated through two virtual inputs, as seen in
ϕ d = s i n 1 ( u x s ψ u y c ψ ) θ d = s i n 1 u x c ψ + u y s ψ c ψ
where u x and u y are expressed as u x = m ˜ U 1 ( x ¨ d + λ x e ˙ x + k d x x ˙ ) and u y = m ˜ U 1 ( y ¨ d + λ y e ˙ y + + k d y y ˙ ) , where λ x , λ y , η x , η y , ϵ x and ϵ y are real constants. Likewise, U 2 , U 3 and U 4 can be defined by
U 2 = I ˜ x l ( ϕ ¨ d + λ ϕ e ˙ ϕ + k f x I x ϕ ˙ + J r Ω ¯ I x θ ˙ + η ϕ s ϕ + ϵ ϕ s a t ( s ϕ ) ) ( I ˜ y I ˜ z ) l θ ˙ ψ ˙ U 3 = I ˜ y l ( θ ¨ d + λ θ e ˙ θ + k f y I y θ ˙ J r Ω ¯ I x θ ˙ + η θ s θ + ϵ θ s a t ( s θ ) ) ( I ˜ z I ˜ x ) l ϕ ˙ ψ ˙ U 4 = I ˜ z ( ψ ¨ d + λ ψ e ˙ ψ + k f z I z ψ ˙ + η ψ s ψ + ϵ ψ s a t ( s ψ ) ) ( I ˜ x I ˜ y ) θ ˙ ϕ ˙
where I ˜ i = I i + I i p , for i = x , y , z . The terms k f x , k f y and k f z are the aerodynamic friction factors, and λ ϕ , λ θ , λ ψ , ϵ ϕ , ϵ θ , ϵ ψ , η ϕ , η θ and η ψ are also positive parameters. As a result, a Lyapunov candidate is used to investigate the stability V i = 1 2 s i 2 . The Lyapunov function must be positive definitive, whereas its time derivative must be defined by a negative definite function. The derivative of the Lyapunov candidate is expressed as V ˙ i = s i s ˙ i . The V ˙ i is then obtained comprising the function derivative, the discontinuous state function ( s ˙ i = ϵ i s a t ( s i ) η i s i ) and the equation of motion for the corresponding state, as observed by
V ˙ i = ϵ i | s i | η i s i 2 0
which guarantees the stability requirement. Further details of the stability analysis can be found in [25].

2.1.2. Reduced Dimension Observer

Some requirements are needed for transporting medical goods by UAVs. A low vibration of the payload is essential to safely keep the product integrity through the flight. Moreover, in an indoor space, it is quite simple to measure the payload characteristics and then attenuate their adverse impact. However, in outdoor spaces, the use of several sensors and other measuring components can be a challenging and expensive solution. State Observer methodology, on the other hand, represents a cheap and promising alternative for the payload trajectory estimation. The RDO is then chosen to estimate the payload dynamics of the proposed model. The equation of motion (Equation (1)) is linearized and then represented in a state-space, as seen in [26]
x ˙ ( t ) = A x ( t ) + B u ( t ) y ( t ) = C x ( t )
where A is the dynamic matrix, x ( t ) corresponds to the state vector, B and u ( t ) are the control input and input vectors, whereas y ( t ) and C are the output state vector and output matrix, respectively. The states of the UAV can be directly measured by IMU, whereas there is no specific sensor to measure the payload displacement. In this sense, a reduced dimension observer (RDO) can be employed for estimating the payload trajectory. Since y ( t ) m , the RDO is obtained with n m states, whereas the output matrix is defined by C = [ I n × m 0 m × n m ] . This allows us to write the state vector as x ( t ) = { y ( t ) w ( t ) } T . Then
y ˙ ( t ) = A 11 y ( t ) + A 12 w ( t ) + B 1 u ( t ) w ˙ ( t ) = A 21 y ( t ) + A 22 w ( t ) + B 2 u ( t )
where the submatrices of Equation (12) are defined in Appendix A.2. The observer can be calculated by w ^ ˙ ( t ) = ( A 22 L A 12 ) w ^ + A 21 y ( t ) + B 2 u ( t ) + L ( y ˙ ( t ) A 11 y ( t ) ) L B 1 u ( t ) . The differentiation of y ( t ) is prevented by employing the corresponding equation z ( t ) = w ^ ( t ) L y ( t ) , as seen in
z ˙ ( t ) = ( A 22 L A 12 ) z + ( A 22 L A 12 ) L y ( t ) + ( A 21 L A 11 ) y ( t ) + ( B 2 L B 1 ) u ( t )
The gain matrix L is obtained using the portioned matrices, expressed in Appendix A.2, by employment of the Linear Quadratic Regulator (LQR).

3. Results and Discussion

This section investigates the numerical results of a dual loop control strategy. The parameters from the quadrotor are represented in Table 1, whereas the gains from the proposed control strategy are listed in Table 2. All the initial states are assumed to be zero, apart from the yaw angle, which is assumed as ψ = 0.5 rad.
Since the integrity of medical cargo can be negatively impacted by periodic undesired vibration, especially generated by external disturbances, the dual loop control strategy comprises the reduced dimension observer and sliding mode control to track the desired trajectory and attenuate the undesired oscillations. Figure 3 shows the desired trajectories from the UAV and its payload. Note that the desired trajectory is formed by five main stages: take-off, cruise + x , cruise + y , cruise x and finally cruise y . Note that in Figure 3, there is a physical distance between the quadrotor and its payload, represented by l b . This physical distance allows the approximation of a real transportation and also to visually separate their behaviors.
Additionally, a significant oscillation can be observed at the beginning of the flight, caused by the taking-off phase, i.e., the presence of acceleration. Apart from that stage, the payload oscillation does not present a significant intensity (since there is no change in altitude and, consequently, velocity), as seen in Figure 3b), which allows us to assess the external disturbance impact on the payload trajectory. This first case assumes a nominal payload weight of 20% of the quadrotor weight.
After investigating the trajectory characteristics for both the quadrotor and payload in the absence of the external disturbance, a continuous gust, modeled as a Dryden configuration (represented by Equation (5)), is included in the previous trajectory. As noted in Equation (5), the external disturbance force is calculated according to some air coefficients and especially by the difference in the velocity of the corresponding direction and velocity obtained by Dryden methodology. Figure 4 shows both the forces created by the (a) quadrotor and (b) payload. In both configurations, the maximum amplitude, i.e., the maximum difference between the upper and lower peaks, is almost the same, since the altitude (and consequently their velocity) remains the same without external influence, as seen in Figure 3b.
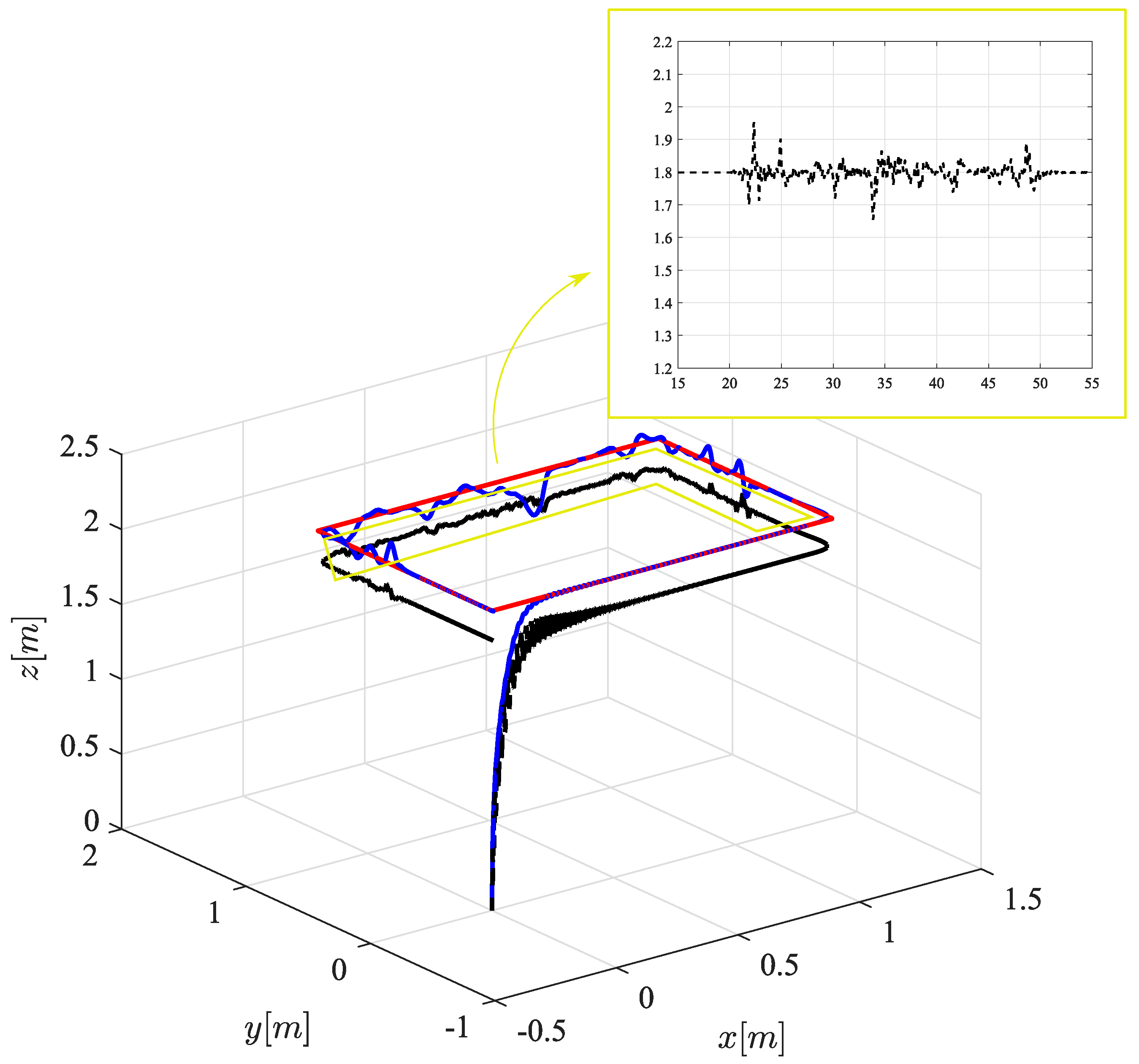
Therefore, the Dryden forces for both the UAV and its payload are included on the dynamic model over 15 s. Figure 5 depicts the external disturbance influence on their trajectories. Note that there is a significant oscillation, especially over the cruise phase. Figure 6 shows this influence on the vertical trajectories, where the Dryden disturbance is included in the time interval of [30–45] s. The oscillations caused by the Dryden show an influence over all time intervals, with peaks of oscillation up to 0.2 m. The higher impact on the payload oscillation is caused by attachment characteristics and is mainly due to the absence of a specific control law designed to the payload. This significant oscillation on the payload can negatively impact the transported cargo, representing the main challenge to widespread medical transportation using UAV.
The safe transportation of some medical products requires a low vibration intensity, due to the possible adverse impacts of the oscillations on their therapeutic effect. In this sense, an RDO is designed for estimating the payload characteristics. Initially, the payload trajectory is estimated, using Equation (13). Figure 7 depicts the vertical direction of the payload, for both the calculated and estimated configurations. Note that the RDO allows us to accurately estimate the payload characteristics, even under external disturbance influence. A slightly difference can be observed, mainly at the peaks; however, it does not compromise the methodology.
Based on Figure 2, after estimating the payload trajectory by the RDO, the disturbance estimation can be obtained. The estimated disturbance d e s t is calculated by the difference between the estimated payload trajectory z ^ p and the desired trajectory, which corresponds to the desired trajectory of the UAV minus l b , as seen in Figure 8. The estimated disturbance is calculated in each iteration of the dynamic model, allowing this methodology to be used for different attachment and external disturbance characteristics. Then, the estimated disturbance can be included in the control strategy to attenuate the Dryden impact. Figure 9 shows the vertical trajectory of the payload when employing the DE strategy. Note that the oscillations are significantly attenuated. In the absence of the DE strategy, the oscillations show peaks of around 0.2 m, whereas in this case, the oscillations peaks are lower than 0.05 m. Not only are the peaks attenuated, but the overall undesired oscillations of the payload are too.
Besides visual investigation, a performance index is employed to evaluate the payload trajectory for both strategies (the presence and absence of the DE). Regarding the performance index, the payload shows its best performance when the minimum values of the performance index are reached. The Integral of the Absolute Magnitude of the Error (IAE) is the adopted index, defined by I A E = 0 T | z p | d t , where | z p | is the payload trajectory and T is the final instance of the flight. Then, in the absence of the DE strategy, the IAE is 36.0177, whereas in the presence of the DE strategy, the value of IAE corresponds to 5.7672. In terms of percentage, i.e., P I A E = ( I A E z p I A E z p D E ) / I A E z p , where I A E z p and I A E z p D E correspond to the absence and the presence of the DE methodology, the calculated P I A E is 0.8399, which represents an attenuation of approximately 84% in terms of payload oscillation.
To investigate the robustness of the proposed strategy, a nominal cargo mass of 12.5% of the UAV weight is assumed for the second case. In contrast to the first case, the Dryden forces for both the quadrotor and its payload are included on the dynamic model over 30 s, with higher intensity, as seen in Figure 10. Note that the maximum peaks and the Dryden force duration are twice as high, in comparison to the first case. Likewise, the RDO is employed for estimating the payload trajectory, which allows positive estimation of the payload behavior. Figure 11 depicts the payload trajectory when employing the DE strategy. The oscillations are significantly attenuated, with a decrease of 85% in terms of amplitudes.
Appendix A.3 presents a circular trajectory configuration with height varying to investigate the overall control performance. As observed, the DE strategy can be designed for different values of nominal cargo mass, and external disturbance intensity and duration. Whereas the SMC is used for trajectory tracking, the RDO and, consequently, the DE are employed to estimate the disturbance characteristic and then to mitigate the payload oscillation. Therefore, hybrid methodologies can be used to enhance the controller performance and reduce the undesired vibrations.

4. Conclusions

Unmanned aerial vehicles are offering an increasing relevance in several applications attributable to their high mobility, speed, low costs, and possibility to access remote areas and carry different types of cargoes. Medical delivery is one of the most promising applications that UAVs have currently been employed for. Although this innovation generates several advances for their integration into the conventional health care system, some concerns regarding the medical products’ integrity may arise. Over the desired flight, the cargo can be subjected to periodic and significant vibration caused by the uncertainties of the system and mainly by external disturbances, which can compromise some of the medical products’ integrity. In this sense, different control strategies have been developed to mitigate the payload influence.
The dynamic model is developed including the flexible characteristics on the attachment between the UAV and its payload. In addition, the contributions of the payload dynamics are included on the conventional equation of motion. The elasticity, represented by stiffness components, is defined by a stiffness matrix, whereas the constraint force vector is responsible for connecting the UAV and the payload and assuring a physical distance between them. Regarding the dual loop control strategy, SMC is combined with the RDO to calculate the desired trajectory and also to attenuate the payload undesired oscillations. The RDO is designed to estimate the payload trajectory and then be used to calculate the the disturbance behavior. Therefore, the disturbance estimation is employed to attenuate the undesired vibration of the payload.
A five-stage trajectory is used to investigate both UAV and payload trajectories. Note that with changes in direction and altitude, there is a significant oscillation, especially on the payload trajectory. The presence of the RDO allows accurate estimation of the payload characteristics, even in the presence of the gust effect. In comparison to the calculated payload trajectory, a slight difference can be observed, making the RDO a promising strategy. The estimated disturbance is then calculated by the difference of the estimated payload and the desired trajectories. In the presence of the DE strategy, the oscillations are significantly attenuated, showing a reduction from maximum peaks of 0.2 m to 0.05 m. Regarding performance index evaluation, a reduction of approximately 84% is observed in terms of payload oscillation. Finally, a second case, with different nominal cargo and disturbance intensity, is used to investigate the robustness of the proposed strategy. The results reveal that the proposed strategy is able to positively estimate the payload vibration and, consequently, attenuate the undesired oscillation, with an 85% reduction. Finally, the dual loop control represents an efficient strategy to guide the quadrotor through the proposed trajectory with low undesired oscillation intensity.

Author Contributions

Conceptualization, R.S.G. and D.D.B.; methodology, R.S.G. and D.D.B.; project administration, R.S.G. and D.D.B.; writing—original draft, R.S.G.; writing—review and editing, R.S.G. and D.D.B. All authors have read and agreed to the published version of the manuscript.

Funding

This work was supported by the Brazilian Coordination for the Improvement of Higher Education Personnel (CAPES)—Finance Code 001 and PDSE (Grant no 88881.622726/2021-01), the National Council for Scientific and Technological Development (CNPq) (Grant no. 406328/2021-8) and the Fundação de Amparo à Pesquisa do Estado de São Paulo (FAPESP)—Grant no. 23/07834-6.

Institutional Review Board Statement

Not applicable.

Informed Consent Statement

Not applicable.

Data Availability Statement

The original contributions presented in the study are included in the article, further inquiries can be directed to the corresponding author.

Acknowledgments

The authors would like to thank São Paulo State University, CAPES, CNPq and Fapesp.

Conflicts of Interest

The authors declared no potential conflicts of interest with respect to the research, authorship and/or publication of this paper.

Abbreviations

The following abbreviations are used in this manuscript:
UAVUnmanned aerial vehicle
SMCSliding mode control
RDOReduced dimension order
DEDisturbance Estimation
ESOExtended State Observer
IMUInertial Measurement Unit

Appendix A

Appendix A.1. Dynamic Equations

The equation of motion represented in Equation (1), including the dynamics of the quadrotor and its payload, is represented by the submatrices as follows [5]
M = I 7 × 7 C = J p M p 1 C p J p 1 J ˙ p J p 1 g = J p M p 1 g 0 p K = J p M p 1 K p τ = J p M p 1 τ p
where J ˙ is the Jacobian time derivative. Regarding the submatrices of Equation (A1), the matrix of inertia can be defined by the following expression M p = d i a g ( m + m p , m + m p , m , I x + I x p , I y + I y p , I z + I z p , m p ) , whereas the Coriolis matrix C p is represented as
C p = 0 ( m + m p ) ω z m ω y 0 0 0 m p ω y ( m + m p ) ω z 0 m ω x 0 0 0 m p ω x m ω y m ω x 0 0 0 0 0 0 0 0 0 0 I 1 ω y 0 0 0 0 I 2 ω z 0 0 0 0 0 0 0 I 3 ω x 0 0 m p ω y m p ω x 0 0 0 0 0
where I 1 , I 2 and I 3 correspond to the moment of inertia from x , y , z axes, and are expressed as I 1 = I ˜ z I ˜ y , I 2 = I ˜ x I ˜ z and I 3 = I ˜ y I ˜ x , respectively. Note that I ˜ i = I i + I i p ( i = x , y and z), where the term I i corresponds to the quadrotor and I i p is related to the payload contribution. The vector of gravity is defined by g 0 p = { m g s θ m g c θ s ϕ m g c θ c ϕ 0 0 0 m p g c θ c ϕ } T . The Jacobian matrix, including the payload displacement, is defined by J p , where
J p = J 6 × 6 0 6 × 1 j n c θ c ϕ
and J 6 × 6 is commonly defined as [27]
J 6 × 6 = c ψ c θ s ϕ s θ c ψ c ϕ s ψ c ϕ s θ c ψ + s ψ s ϕ 0 0 0 s ψ c θ s ϕ s θ s ψ + c ϕ c ψ c ϕ s θ s ψ s ϕ c ψ 0 0 0 s θ s ϕ c θ c ϕ c θ 0 0 0 0 0 0 1 s ϕ t θ c ϕ t θ 0 0 0 0 c ϕ s ϕ 0 0 0 0 s ϕ / c θ c ϕ / c θ
where j n = { s θ c θ s ϕ 0 0 0 0 } . The mathematical equation of the quadrotor carrying a payload can be simplified at hovering position, which leads to ω x ϕ ˙ , ω y θ ˙ , ω z ψ ˙ , leading to
( m + m p ) x ¨ = ( c ϕ s θ c ψ + s ψ s ϕ ) U 1 ( m + m p ) y ¨ = ( c ϕ s θ s ψ s ϕ c ψ ) U 1 m z ¨ = m g + ( c ϕ c θ ) U 1 I ˜ x ϕ ¨ = ( I ˜ y I ˜ z ) θ ˙ ψ ˙ + U 2 I ˜ y θ ¨ = ( I ˜ z I ˜ x ) ψ ˙ ϕ ˙ + U 3 I ˜ z ψ ¨ = ( I ˜ x I ˜ y ) ϕ ˙ θ ˙ + U 4 m p z ¨ p = m p g
The parameters are used to represent the quadrotor dynamics m, m p , I x , I y , I z , whereas I x p , I y p and I z p are the uncertainties parameters due to the payload influence. The motion equation can alternatively be represented by k ¨ = f k + g k U j + Δ f k , (of which k = x , y , z , ϕ , θ , ψ , z p and j = 1 , 2 , 3 , 4 ). For example, the second derivative of the roll equation ϕ ¨ is representd by ϕ ¨ = ( ( θ ˙ ψ ˙ ( I y I z ) ) / I x ) + ( 1 / I x ) U 2 + ( ( θ ˙ ψ ˙ ( I y I z ) + U 2 ) I x p / [ I x ( I x + I x p ) ] + θ ˙ ψ ˙ ( I y p I z p ) ( I x + I x p ) ) .

Appendix A.2. Reduced Dimension Observer

The main matrices employed for the RDO design are expressed as
A 11 = 0 6 × 6 A 11 a I 6 × 6 0 6 × 6 , A 12 = 0 6 × 1 A 12 b 0 6 × 1 0 6 × 1 , A 21 = 0 1 × 6 A 21 a 0 1 × 6 0 1 × 6 , A 22 = 0 k p / m p 1 0
where A 21 a = { 0 0 k p / m p 0 0 0 } T and A 12 a = { 0 0 k p / m 0 0 0 } T , whereas A 11 a is written as
A 11 a = 0 0 0 0 g 0 0 0 0 g 0 0 0 0 k p / m 0 0 0 0 0 0 0 0 0 0 0 0 0 0 0 0 0 0 0 0 0
The matrices of the control torque can be written as B 2 = 0 2 × 4 and B 1 = [ B 1 a B 1 b ] T , where B 1 b = 0 4 × 6 and B 1 a is expressed as follows
B 1 a = 0 0 1 / m 0 0 0 0 0 0 1 / I x 0 0 0 0 0 0 1 / I y 0 0 0 0 0 0 1 / I z

Appendix A.3. Circular Trajectory

A circular trajectory, with height varying over time, is used to assess the overall performance of the dual loop control strategy. Figure A1 shows the circular trajectory configuration in the presence of external disturbance. Note that, despite the trajectory configuration, a significant oscillation, caused by the Dryden methodology, can be noted in the time interval of [30–45] s.
Figure A1. Circular trajectory configuration in the presence of the Dryden disturbance, with the desired trajectory (solid red line), quadrotor trajectory (solid blue line), and payload trajectory (dashed black line).
Figure A1. Circular trajectory configuration in the presence of the Dryden disturbance, with the desired trajectory (solid red line), quadrotor trajectory (solid blue line), and payload trajectory (dashed black line).
Eng 05 00108 g0a1
Moreover, Figure A2a illustrates the payload characteristic when a circular trajectory is designed. Similarly to the first trajectory configuration, the RDO allows to accurately estimate the payload characteristics, even under external disturbance influence. Figure A2b shows the payload trajectory when the disturbance estimation (DE) is employed. Likewise, the oscillations caused by the Dryden disturbance are positively attenuated, regardless of the trajectory and nominal mass adopted.
Figure A2. Trajectory along z direction of payload in the presence of the disturbance, with the desired trajectory (solid red line), quadrotor trajectory (solid blue line), calculated payload trajectory (dashed black line) and the estimated payload trajectory (dash-dotted green line). (a) Absence of DE. (b) Presence of DE.
Figure A2. Trajectory along z direction of payload in the presence of the disturbance, with the desired trajectory (solid red line), quadrotor trajectory (solid blue line), calculated payload trajectory (dashed black line) and the estimated payload trajectory (dash-dotted green line). (a) Absence of DE. (b) Presence of DE.
Eng 05 00108 g0a2

References

  1. Park, J.; Kim, S.; Suh, K. A Comparative Analysis of the Environmental Benefits of Drone-Based Delivery Services in Urban and Rural Areas. Sustainability 2018, 10, 888. [Google Scholar] [CrossRef]
  2. Roberts, N.B.; Ager, E.; Leith, T.; Lott, I.; Mason-Maready, M.; Nix, T.; Gottula, A.; Hunt, N.; Brent, C. Current summary of the evidence in drone-based emergency medical services care. Resusc. Plus 2013, 13, 100347. [Google Scholar] [CrossRef] [PubMed]
  3. Rejeb, A.; Rejeb, K.; Simske, S.J.; Treiblmaier, H. Drones for supply chain management and logistics: A review and research agenda. Int. J. Logist. Res. Appl. 2023, 26, 708–731. [Google Scholar] [CrossRef]
  4. Nascimento, T.P.; Saska, M. Position and Attitude Control of Multi-Rotor Aerial Vehicles: A survey. Annu. Rev. Control. 2019, 48, 129–146. [Google Scholar] [CrossRef]
  5. Geronel, R.S.; Botez, R.M.; Bueno, D.D. Dynamic responses due to the Dryden gust of an autonomous quadrotor UAV carrying a payload. Aeronaut. J. 2023, 127, 116–138. [Google Scholar] [CrossRef]
  6. Oakey, A.; Waters, T.; Zhu, W.; Royall, P.G.; Cherrett, T.; Courtney, P.; Majoe, D.; Jelev, N. Quantifying the Effects of Vibration on Medicines in Transit Caused by Fixed-Wing and Multi-Copter Drones. Drones 2021, 5, 22. [Google Scholar] [CrossRef]
  7. Amukele, T.; Ness, P.M.; Tobian, A.A.R.; Boyd, J.; Street, J. Drone transportation of blood products. Transfusion 2017, 57, 582–588. [Google Scholar] [CrossRef] [PubMed]
  8. Scalea, J.R.; Restaino, S.; Scassero, M.; Bartlett, S.T.; Wereley, N. The final frontier? Exploring organ transportation by drone. American J. Transplant. 2019, 19, 962–964. [Google Scholar]
  9. Beck, S.; Bui, T.T.; Davies, A.; Courtney, P.; Brown, A.; Geudens, J.; Royall, P.G. An evaluation of the drone delivery of adrenaline auto-injectors for anaphylaxis: Pharmacists’ perceptions, acceptance, and concerns. Drones 2020, 4, 66. [Google Scholar] [CrossRef]
  10. Hii, M.S.Y.; Courtney, P.; Royall, P.G. An evaluation of the delivery of medicines using drones. Drones 2019, 3, 52. [Google Scholar] [CrossRef]
  11. Lee, B.Y.; Lee, H.I.; Yoo, D.W.; Moon, G.H.; Lee, D.Y.; Young Kim, Y.; Tahk, M.J. Study on payload stabilization method with the slung-load transportation system using a quad-rotor. In Proceedings of the 2015 European Control Conference (ECC), Linz, Austria, 15–17 July 2015; pp. 2097–2102. [Google Scholar]
  12. Guerrero-Sánchez, M.E.; Lozano, R.; Castillo, P.; Hernández-González, O.; García-Beltrán, C.D.; Valencia-Palomo, G. Nonlinear control strategies for a UAV carrying a load with swing attenuation. Appl. Math. Model. 2021, 91, 709–722. [Google Scholar] [CrossRef]
  13. Gao, J.; Zhang, F.; Huang, P.; Liu, Y. Observer-based Second Order Sliding Mode Control for Tethered Quadrotor Transportation. In Proceedings of the 2021 IEEE International Conference on Real-time Computing and Robotics (RCAR), Xining, China, 15–19 July 2021; pp. 1335–1342. [Google Scholar]
  14. Klausen, K.; Fossen, T.I.; Johansen, T.A. Nonlinear control of a multirotor uav with suspended load. In Proceedings of the 2015 International Conference on Unmanned Aircraft Systems (ICUAS), Denver, CO, USA, 9–12 June 2015; pp. 176–184. [Google Scholar]
  15. Klausen, K.; Fossen, T.I.; Johansen, T.A. Nonlinear control with swing damping of a multirotor uav with suspended load. J. Intell. Robot. Syst. 2017, 88, 379–394. [Google Scholar] [CrossRef]
  16. Guo, K.; Jia, J.; Yu, X.; Guo, L.; Xie, L. Multiple observers based anti-disturbance control for a quadrotor UAV against payload and wind disturbances. Control Eng. Pract. 2020, 102, 104560. [Google Scholar] [CrossRef]
  17. Shi, D.; Wu, Z.; Chou, W. Anti-disturbance trajectory tracking of quadrotor vehicles via generalized extended state observer. J. Vib. Control 2020, 26, 1173–1186. [Google Scholar] [CrossRef]
  18. Fossen, T.I. Guidance and Control of Ocean Vehicles; Wiley: New York, NY, USA, 1994. [Google Scholar]
  19. Kim, J.; Kang, M.S.; Park, S. Accurate Modeling and Robust Hovering Control for a Quad-Rotor Vtol Aircraft. In Proceedings of the Selected Papers from the 2nd International Symposium on UAVs, Reno, NE, USA, 8–10 June 2009; pp. 9–26. [Google Scholar]
  20. Luukkonen, T. Modelling and Control of Quadrotor. Independent research project in applied mathematics. Espoo 2011, 22, 22. [Google Scholar]
  21. Fiori, S. Model Formulation Over Lie Groups and Numerical Methods to Simulate the Motion of Gyrostats and Quadrotors. Mathematics 2019, 7, 935. [Google Scholar] [CrossRef]
  22. Shen, X.; Fan, J.; Wang, H. Design and Simulation of Eight-Rotor Unmanned Aerial Vehicle Based on Hybrid Control System. Int. J. Aerosp. Eng. 2018, 2018, 5306125. [Google Scholar]
  23. Utkin, V.I. 935; Springer Science & Business Media: Berlin/Heidelberg, Germany, 2013. [Google Scholar]
  24. Reinoso, M.J.; Minchala, L.I.; Ortiz, P.; Astudillo, D.F.; Verdugo, D. Trajectory Tracking of a Quadrotor using Sliding Mode Control. IEEE Lat. Am. Trans. 2016, 14, 157–2166. [Google Scholar] [CrossRef]
  25. Elhennawy, A.M.; Habib, M. Trajectory tracking of a quadcopter flying vehicle using sliding mode control. In Proceedings of the IECON 2017—43rd Annual Conference of the IEEE Industrial Electronics Society, Beijing, China, 29 October–1 November 2017; pp. 6264–6269. [Google Scholar]
  26. Yuan, X.; Ren, X.; Zhu, B.; Zheng, Z.; Zuo, Z. Robust Hoo Control for Hovering of a Quadrotor UAV with Slung Load. In Proceedings of the 12th Asian Control Conference (ASCC), Kitakyushu, Japan, 9–12 June 2019; pp. 1–6. [Google Scholar]
  27. Mariani, M.; Fiori, S. Design and Simulation of a Neuroevolutionary Controller for a Quadcopter Drone. Aerospace 2023, 10, 418. [Google Scholar] [CrossRef]
Figure 1. Schematic illustration of the proposed attachment.
Figure 1. Schematic illustration of the proposed attachment.
Eng 05 00108 g001
Figure 2. Dual loop control strategy for the quadrotor.
Figure 2. Dual loop control strategy for the quadrotor.
Eng 05 00108 g002
Figure 3. Desired trajectory configuration, with the desired trajectory (solid red line), quadrotor trajectory (solid blue line) and payload trajectory (dashed black line). (a) Three-dimensional trajectory. (b) Vertical trajectories.
Figure 3. Desired trajectory configuration, with the desired trajectory (solid red line), quadrotor trajectory (solid blue line) and payload trajectory (dashed black line). (a) Three-dimensional trajectory. (b) Vertical trajectories.
Eng 05 00108 g003
Figure 4. Dryden configuration, (a) of the UAV and (b) of the payload.
Figure 4. Dryden configuration, (a) of the UAV and (b) of the payload.
Eng 05 00108 g004
Figure 5. Three-dimensional trajectory configuration in the presence of the Dryden disturbance, with the desired trajectory (solid red line), quadrotor trajectory (solid blue line) and payload trajectory (dashed black line).
Figure 5. Three-dimensional trajectory configuration in the presence of the Dryden disturbance, with the desired trajectory (solid red line), quadrotor trajectory (solid blue line) and payload trajectory (dashed black line).
Eng 05 00108 g005
Figure 6. Vertical trajectories of the quadrotor and its payload with the presence of the disturbance, with the desired trajectory (solid red line), quadrotor trajectory (solid blue line) and payload trajectory (dashed black line).
Figure 6. Vertical trajectories of the quadrotor and its payload with the presence of the disturbance, with the desired trajectory (solid red line), quadrotor trajectory (solid blue line) and payload trajectory (dashed black line).
Eng 05 00108 g006
Figure 7. Trajectory along z direction of payload in the presence of the disturbance, with the calculated payload trajectory (dashed black line) and the estimated payload trajectory (dash-dotted green line).
Figure 7. Trajectory along z direction of payload in the presence of the disturbance, with the calculated payload trajectory (dashed black line) and the estimated payload trajectory (dash-dotted green line).
Eng 05 00108 g007
Figure 8. Disturbance Estimation (DE).
Figure 8. Disturbance Estimation (DE).
Eng 05 00108 g008
Figure 9. Three-dimensional trajectory in the presence of the disturbance (case 1), with the desired trajectory (solid red line), UAV trajectory (solid blue line) and payload trajectory (dashed black line).
Figure 9. Three-dimensional trajectory in the presence of the disturbance (case 1), with the desired trajectory (solid red line), UAV trajectory (solid blue line) and payload trajectory (dashed black line).
Eng 05 00108 g009
Figure 10. Vertical trajectories of the quadrotor and its payload in the presence of the disturbance (case 2), with desired trajectory (solid red line), quadrotor trajectory (solid blue line), calculated payload trajectory (dashed black line) and the estimated payload trajectory (dash-dotted green line).
Figure 10. Vertical trajectories of the quadrotor and its payload in the presence of the disturbance (case 2), with desired trajectory (solid red line), quadrotor trajectory (solid blue line), calculated payload trajectory (dashed black line) and the estimated payload trajectory (dash-dotted green line).
Eng 05 00108 g010
Figure 11. Three-dimensional trajectory in the presence of the disturbance (case 2), showing the desired trajectory (solid red line), quadrotor trajectory (solid blue line) and payload trajectory (dashed black line).
Figure 11. Three-dimensional trajectory in the presence of the disturbance (case 2), showing the desired trajectory (solid red line), quadrotor trajectory (solid blue line) and payload trajectory (dashed black line).
Eng 05 00108 g011
Table 1. Physical properties of the quadrotor.
Table 1. Physical properties of the quadrotor.
ParameterValueUnit
m2.2kg
l0.1725m
l b 0.20m
I x , I y 0.0167kg m2
I z 0.0231kg m2
g9.81m/s2
Table 2. SMC control gains.
Table 2. SMC control gains.
ParameterValueParameterValue
ϵ x , ϵ y , ϵ z ,2.20, 1.80, 1.80 ϵ ϕ , ϵ θ , ϵ ψ ,1.50, 1.10, 1.10
λ x , λ y , λ z 3.00, 3.20, 3.20 λ ϕ , λ θ , λ ψ 1.50, 1.50, 1.50
η x , η y , η z 0.40, 0.40, 0.40 η ϕ , η θ , η ψ , γ 0.04, 0.04, 0.04, 0.20
Disclaimer/Publisher’s Note: The statements, opinions and data contained in all publications are solely those of the individual author(s) and contributor(s) and not of MDPI and/or the editor(s). MDPI and/or the editor(s) disclaim responsibility for any injury to people or property resulting from any ideas, methods, instructions or products referred to in the content.

Share and Cite

MDPI and ACS Style

Geronel, R.S.; Bueno, D.D. Design of Dual Loop Control to Attenuate Vibration of Payload Carried by a UAV. Eng 2024, 5, 2033-2049. https://doi.org/10.3390/eng5030108

AMA Style

Geronel RS, Bueno DD. Design of Dual Loop Control to Attenuate Vibration of Payload Carried by a UAV. Eng. 2024; 5(3):2033-2049. https://doi.org/10.3390/eng5030108

Chicago/Turabian Style

Geronel, Renan S., and Douglas D. Bueno. 2024. "Design of Dual Loop Control to Attenuate Vibration of Payload Carried by a UAV" Eng 5, no. 3: 2033-2049. https://doi.org/10.3390/eng5030108

APA Style

Geronel, R. S., & Bueno, D. D. (2024). Design of Dual Loop Control to Attenuate Vibration of Payload Carried by a UAV. Eng, 5(3), 2033-2049. https://doi.org/10.3390/eng5030108

Article Metrics

Back to TopTop