Agitation of Viscoplastic Fluid in a Rotating Vessel Using Close Clearance Agitators
Abstract
:1. Introduction
2. Numerical Modeling and Computational Settings
2.1. Mechanical Agitation System
2.2. Governing Equations
2.3. Fluid Comportment
- Reynolds number:
- Bingham number:
- Nusselt number:
- Power consumption:
2.4. Solver Settings
- On the impeller ;
- On the vessel .
- On the impeller ;
- On the vessel .
3. Results and Discussion
3.1. Grid Independency and Numerical Validation
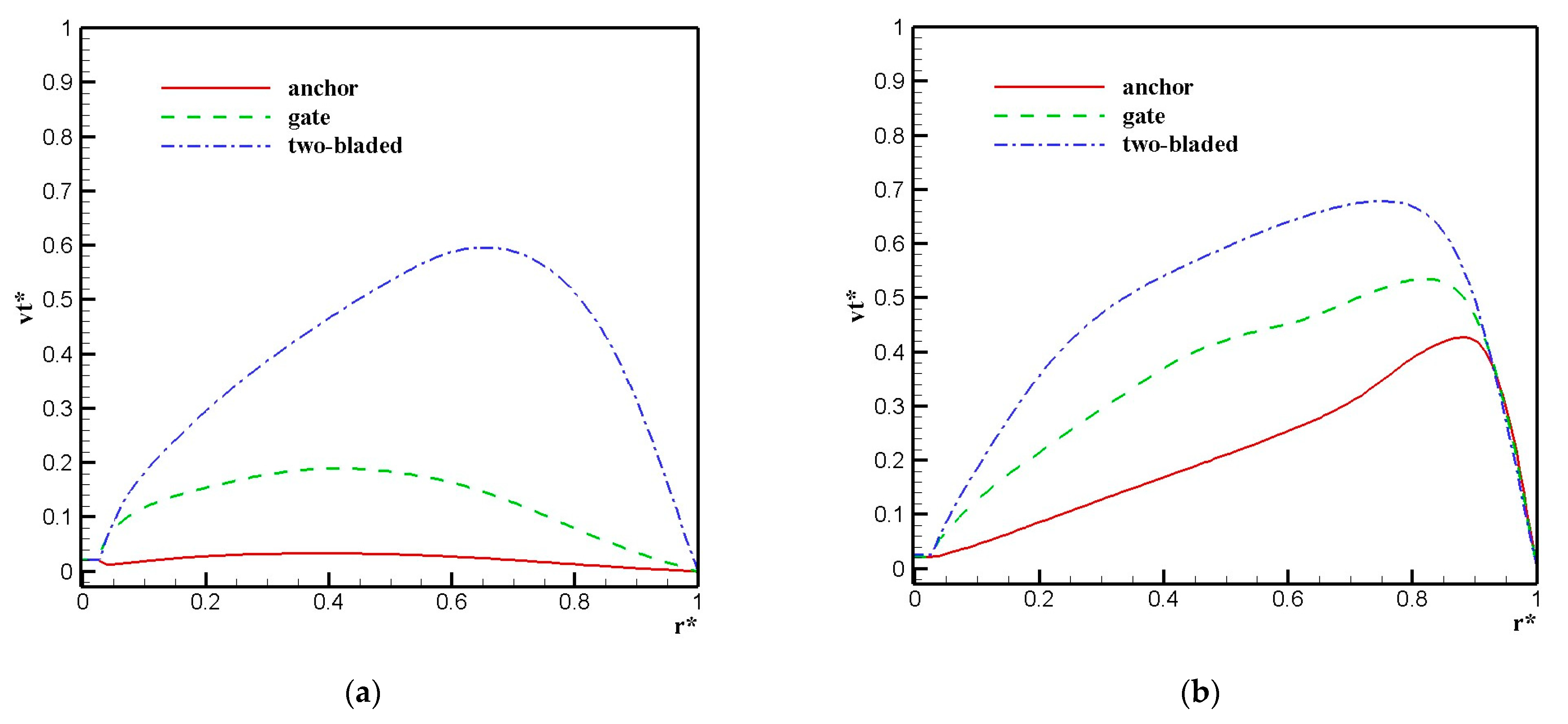
3.2. Effect of Inertia
3.3. Effect of Rheology
3.4. Thermal Performance
3.5. Power Consumption
4. Conclusions
Funding
Institutional Review Board Statement
Informed Consent Statement
Data Availability Statement
Conflicts of Interest
References
- Jaszczur, M.; Młynarczykowska, A. A general review of the current development of mechanically agitated vessels. Processes 2020, 8, 982. [Google Scholar] [CrossRef]
- Driss, Z.; Salah, A.; Driss, D.; Necib, B.; Kchaou, H.; Abid, M.S. CFD Investigation of the hydrodynamic structure around a modified anchor system. In CFD Techniques and Energy Applications; Springer: Berlin/Heidelberg, Germany, 2018; pp. 129–150. [Google Scholar]
- Mendoza, E.; Banales, A.L.; Cid, E.; Xuereb, C.; Poux, M.; Fletcher, D.F.; Aubin, J. Hydrodynamics in a stirred tank in the transitional flow regime. Chem. Eng. Res. Des. 2018, 132, 865–880. [Google Scholar] [CrossRef]
- Kamla, Y.; Ameur, H.; Karas, A.; Arab, M.I. Performance of new designed anchor impellers in stirred tanks. Chem. Pap. 2020, 74, 779–785. [Google Scholar] [CrossRef]
- Bertrand, F.; Tanguy, P.A.; Brito-De La Fuente, E. A new perspective for the mixing of yield stress fluids with anchor impellers. J. Chem. Eng. Jpn. 1996, 29, 51–58. [Google Scholar] [CrossRef]
- Hami, O.; Draoui, B.; Mebarki, B.; Rahmani, L.; Bouanini, M. Numerical model for laminar flow and heat transfer in an agitated vessel by inclined blades anchor. In Proceedings of the CHT-08 ICHMT International Symposium on Advances in Computational Heat Transfer, Marrakesh, Morocco, 11–16 May 2008; Begel House Inc.: Danbury, CT, USA, 2008. [Google Scholar]
- Mihailova, O.; Mothersdale, T.; Rodgers, T.; Ren, Z.; Watson, S.; Lister, V.; Kowalski, A. Optimization of mixing performance of helical ribbon mixers for high throughput applications using computational fluid dynamics. Chem. Eng. Res. Des. 2018, 132, 942–953. [Google Scholar] [CrossRef]
- Ameur, H.; Kamla, Y.; Sahel, D. Performance of helical ribbon and screw impellers for mixing viscous fluids in cylindrical reactors. ChemEngineering 2018, 2, 26. [Google Scholar] [CrossRef]
- Mebarki, B.; Draoui, B.; Rahmani, L.; Bouanini, M.; Rebhi, M.; Benachour, E.H. Numerical study of mechanical stirring in case of yield stress fluid with circular anchor impeller. Sens. Transducers 2011, 132, 108–121. [Google Scholar]
- Prajapati, P.; Ein-Mozaffari, F. CFD Investigation of the Mixing of Yield-Pseudoplastic Fluids with Anchor Impellers. Chem. Eng. Technol. Ind. Chem.-Plant Equip.-Process Eng.-Biotechnol. 2009, 32, 1211–1218. [Google Scholar] [CrossRef]
- Chhabra, R.P.; Richardson, J.F. Non-Newtonian Flow in the Process Industries: Fundamentals and Engineering Applications; Butterworth—Heinemann: Oxford, UK, 1999. [Google Scholar]
- Jamshidzadeh, M.; Kazemzadeh, A.; Ein-Mozaffari, F.; Lohi, A. Analysis of power consumption for gas dispersion in non-Newtonian fluids with a coaxial mixer: New correlations for Reynolds and power numbers. Chem. Eng. J. 2020, 401, 126002. [Google Scholar] [CrossRef]
- Anne-Archard, D.; Marouche, M.; Boisson, H.-C. Hydrodynamics and Metzner–Otto correlation in stirred vessels for yield stress fluids. Chem. Eng. J. 2006, 125, 15–24. [Google Scholar] [CrossRef]
- Foukrach, M.; Bouzit, M.; Ameur, H.; Kamla, Y. Effect of agitator’s types on the hydrodynamic flow in an agitated tank. Chin. J. Mech. Eng. 2020, 33, 37. [Google Scholar] [CrossRef]
- Korib, K.; Mohamed, R.; Yacine, K. Numerical study on characteristics of flow and thermal fields around rotating cylinder. Metall. Mater. Eng. 2020, 26, 71–86. [Google Scholar] [CrossRef]
- Ameur, H.; Ghenaim, A. Mixing of complex fluids in a cylindrical tank by a modified anchor impeller. ChemistrySelect 2018, 3, 7472–7477. [Google Scholar] [CrossRef]
- Ameur, H.; Kamla, Y. Geometrical modifications of the anchor impeller to enhance the overall performances in stirred tanks. Instal 2020, 6, 42–45. [Google Scholar]
- Ameur, H. Energy efficiency of different impellers in stirred tank reactors. Energy 2015, 93, 1980–1988. [Google Scholar] [CrossRef]
- Kamla, Y.; Ameur, H.; Arab, M.I. Data on the hydrodynamics and power consumption induced by modified anchor impellers in cylindrical tanks. Data Brief 2021, 39, 107669. [Google Scholar] [CrossRef] [PubMed]
- Benmoussa, A.; Rahmani, L.; Draoui, B. Simulation of viscoplastic flows in a rotating vessel using a regularized model. Int. J. Multiphysics 2017, 11, 349–358. [Google Scholar]
- Komoda, Y.; Date, T. Enhancement of laminar mixing by an anchor impeller with rotationally reciprocating motion. AIP Adv. 2022, 12, 015013. [Google Scholar] [CrossRef]
- Kada, B.; Lakhdar, R.; Brahim, M.; Ameur, H. Agitation of Complex Fluids in Cylindrical Vessels by Newly Designed Anchor Impellers. Period. Polytech. Mech. Eng. 2022, 66, 109–119. [Google Scholar] [CrossRef]
- Bao, Y.; Lu, Y.; Liang, Q.; Li, L.; Gao, Z.; Huang, X.; Qin, S. Power demand and mixing performance of coaxial mixers in a stirred tank with CMC solution. Chin. J. Chem. Eng. 2015, 23, 623–632. [Google Scholar] [CrossRef]
- Pakzad, L.; Ein-Mozaffari, F.; Upreti, S.R.; Lohi, A. Evaluation of the mixing of non-Newtonian biopolymer solutions in the reactors equipped with the coaxial mixers through tomography and CFD. Chem. Eng. J. 2013, 215, 279–296. [Google Scholar] [CrossRef]
- Kazemzadeh, A.; Ein-Mozaffari, F.; Lohi, A.; Pakzad, L. Effect of the rheological properties on the mixing of Herschel-Bulkley fluids with coaxial mixers: Applications of tomography, CFD, and response surface methodology. Can. J. Chem. Eng. 2016, 94, 2394–2406. [Google Scholar] [CrossRef]
- Kazemzadeh, A.; Ein-Mozaffari, F.; Lohi, A.; Pakzad, L. Effect of impeller spacing on the flow field of yield-pseudoplastic fluids generated by a coaxial mixing system composed of two central impellers and an anchor. Chem. Eng. Commun. 2017, 204, 453–466. [Google Scholar] [CrossRef]
- Shiue, A.; Zhu, L.; Wang, C.L.; Jeng, J.C.; Leggett, G. Mixing performance of a non-Newtonian fluid in a coaxial agitated impeller reactor. J. Taiwan Inst. Chem. Eng. 2023, 143, 104715. [Google Scholar] [CrossRef]
- Mokhefi, A.; Bouanini, M.; Elmir, M. Numerical Simulation of Laminar Flow and Heat Transfer of a Non-Newtonian Nanofluid in an Agitated Tank. Int. J. Heat Technol. 2021, 39, 251–261. [Google Scholar] [CrossRef]
- Danane, F.; Boudiaf, A.; Boutra, A.; Labsi, N.; Ouyahia, S.E.; Benkahla, Y.K. 3D analysis of the combined effects of thermal buoyancy and viscous dissipation on the mixed convection of Bingham plastic fluid in a rectangular channel. J. Braz. Soc. Mech. Sci. Eng. 2018, 40, 126. [Google Scholar] [CrossRef]
- Bercovier, M.; Engelman, M. A finite element method for incompressible non-Newtonian flows. J. Comput. Phys. 1980, 36, 313–326. [Google Scholar] [CrossRef]
- Benmoussa, A.; Páscoa, J.C. Enhancement of a cycloidal self-pitch vertical axis wind turbine performance through DBD plasma actuators at low tip speed ratio. Int. J. Thermofluids 2023, 17, 100258. [Google Scholar] [CrossRef]
- Benmoussa, A.; Páscoa, J.C. Performance improvement and start-up characteristics of a cyclorotor using multiple plasma actuators. Meccanica 2021, 56, 2707–2730. [Google Scholar] [CrossRef]
- Marouche, M.; Anne-Archard, D.; Boisson, H.C. A numerical model of yield stress fluid dynamics in a mixing vessel. Appl. Rheol. 2002, 12, 182–191. [Google Scholar] [CrossRef]
- Rahmani, L.; Seghier, O.; Benmoussa, A.; Draoui, B. CFD study of the thermal transfer of a non-Newtonian fluid within a tank mechanically stirred by an anchor-shaped impeller. EDP Sci. 2018, 180, 02089. [Google Scholar] [CrossRef]














| Impeller Type | Fluid Studied | Contribution | Refs. |
|---|---|---|---|
| Anchor-helical impellers | Shear-thinning fluid | Highlighted the pivotal role of impeller height in overall mixing system performance. | [7] |
| Anchor impeller + Scaba 6SRGT | Shear-thinning fluid | Combined an anchor impeller with a Scaba 6SRGT turbine, achieving notable improvements in cavern size, especially near the impeller axis. | [8] |
| Circular anchor impeller | Viscoplastic fluid | Conducted a numerical exploration of a circular-shape anchor impeller design for mixing yield stress fluids, presenting advantages such as improved flow field patterns and reduced energy consumption costs. | [9] |
| Anchor impeller | Viscoplastic fluid | Determined optimal values for stirrer clearance and width-to-vessel diameter ratios. Found that the four-bladed anchor impeller outperformed the two-bladed variant in terms of mixing efficiency. | [10] |
| Modified anchor impeller configuration | Shear-thinning fluid | Employed a modified impeller configuration and studied the impact of geometric design, anchor curvature, and shear zone on energy consumption. | [16,17] |
| Double helical ribbon, anchor, gate, Maxblend impellers | Shear-thinning fluid | Investigated the flow energy efficiency. Maxblend impeller demonstrated superior mixing quality and lower energy consumption in cylindrical tanks. | [18] |
| Anchor impellers with different blade shapes | Viscoplastic fluid | Compared different anchor blade shapes. The octagonal blade shape provided the broadest well-stirred region. | [19] |
| Anchor agitators | Viscoplastic fluid | Explored rheological parameters effects on flow and power consumption. | [20] |
| Anchor and paddle impellers | Mixing characteristic using tracer particles | Investigated geometric parameters’ impact on the anchor and plate impellers on fluid mixing characteristics, with a focus on achieving uniform fluid spreading. | [21] |
| Anchor impeller with different horizontal blades | Viscoplastic fluid | Investigated different geometric designs and inclination angles of anchor blades. Found that the anchor impeller with a 60° inclination exhibited the most efficient acceleration of flow. | [22] |
| Coaxial mixers: anchor with A200 impeller, ARI impeller and Rushton turbine | Shear-thinning fluid | Highlighted the significance of the interaction between the central impeller type and speed in determining coaxial power consumption. | [23] |
| Coaxial mixers: CBY or Pfaudler impeller combined with anchor or helical ribbon | Shear-thinning fluid | Showed that the Pfaudler helical ribbon configuration stood out as the optimal choice, yielding the shortest mixing time with same power consumption. | [24] |
| Scaba-anchor coaxial mixer | Shear-thinning fluid | Revealed that mixing efficiency was higher in the co-rotating mode compared to the counter-rotating mode. | [25,26] |
| Coaxial mixers: anchor with Cowles turbine, four-pitched blade turbine or three-blade propeller impellers | Viscoelastic fluid | Showed that the four-pitched blade turbine combined with an anchor impeller achieved the shortest mixing time with less power consumption. | [27] |
| Dv | d | da/Dv | e/Dv | L/Dv | W/Dv | c/Dv |
|---|---|---|---|---|---|---|
| 300 mm | 288 mm | 0.023 | 0.027 | 0.067 | 0.02 | 0.167 |
Disclaimer/Publisher’s Note: The statements, opinions and data contained in all publications are solely those of the individual author(s) and contributor(s) and not of MDPI and/or the editor(s). MDPI and/or the editor(s) disclaim responsibility for any injury to people or property resulting from any ideas, methods, instructions or products referred to in the content. |
© 2023 by the author. Licensee MDPI, Basel, Switzerland. This article is an open access article distributed under the terms and conditions of the Creative Commons Attribution (CC BY) license (https://creativecommons.org/licenses/by/4.0/).
Share and Cite
Benmoussa, A. Agitation of Viscoplastic Fluid in a Rotating Vessel Using Close Clearance Agitators. Eng 2023, 4, 2525-2541. https://doi.org/10.3390/eng4040144
Benmoussa A. Agitation of Viscoplastic Fluid in a Rotating Vessel Using Close Clearance Agitators. Eng. 2023; 4(4):2525-2541. https://doi.org/10.3390/eng4040144
Chicago/Turabian StyleBenmoussa, Amine. 2023. "Agitation of Viscoplastic Fluid in a Rotating Vessel Using Close Clearance Agitators" Eng 4, no. 4: 2525-2541. https://doi.org/10.3390/eng4040144
APA StyleBenmoussa, A. (2023). Agitation of Viscoplastic Fluid in a Rotating Vessel Using Close Clearance Agitators. Eng, 4(4), 2525-2541. https://doi.org/10.3390/eng4040144

