Synthetic Routes and Bioactivity Profiles of the Phenothiazine Privileged Scaffold
Abstract
1. Introduction
- -
- To survey the synthetic strategies reported between 2014 and 2025, encompassing classical cyclization and condensation reactions, transition metal-catalyzed pathways, and greener alternatives.
- -
- To highlight the advantages, limitations, and sustainability profiles of these approaches in comparison with traditional methods.
- -
- To correlate recent synthetic innovations with the diverse biological properties of PTZ derivatives, thereby identifying structural motifs and functionalization patterns that underpin therapeutic activity.
2. Synthesis
2.1. Core PTZ Synthesis and Ring Functionalization
2.2. Transition Metal-Catalyzed Reactions for the Synthesis of Phenothiazines
2.2.1. Iron-Catalyzed Reactions
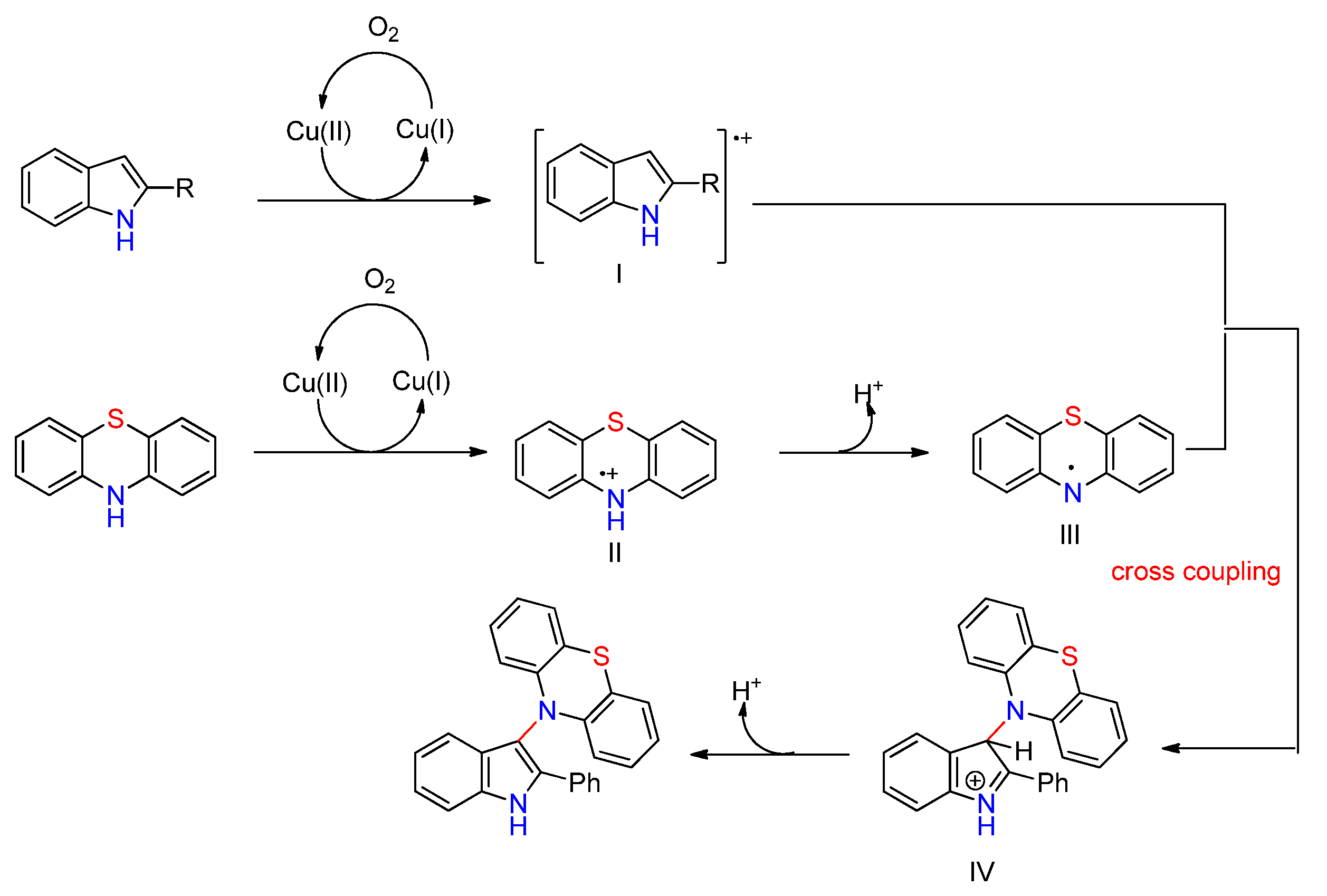
2.2.2. Copper-Catalyzed Reactions
2.2.3. Palladium-Catalyzed Coupling Reactions
2.2.4. Other Metal-Catalyzed Reactions
2.3. Reaction Promoted by Green Approaches for the Synthesis of Phenothiazine
2.3.1. Ultrasonic-Promoted and Microwave-Assisted Synthesis
2.3.2. Electrosynthesis
2.4. Evaluation of Synthetic Methods
3. Biological Activity of Phenothiazine Derivatives
3.1. 20S Proteasome Activators Based on a PTZ Scaffold
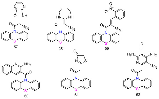
3.2. Antibiotics Based on a Phenothiazine Scaffold
3.3. Antioxidants Based on a Phenothiazine Scaffold
3.4. Antagonists Based on a Phenothiazine Scaffold
3.5. Anticancer Drugs Based on a Phenothiazine Scaffold
4. Future Perspectives
5. Conclusions
Supplementary Materials
Author Contributions
Funding
Institutional Review Board Statement
Informed Consent Statement
Data Availability Statement
Conflicts of Interest
References
- Jones, A.M. 2.05—Privileged structures and motifs (Synthetic and natural scaffolds). Compr. Med. Chem. III 2017, 4, 116–152. [Google Scholar] [CrossRef]
- Ohlow, M.J.; Moosmann, B. Foundation review: Phenothiazine: The seven lives of pharmacology’s first lead structure. Drug Discov. Today 2011, 16, 119–131. [Google Scholar] [CrossRef]
- Satoh, K.; Sakagami, H.; Kurihara, T.; Motohashi, N. Radical intensity and differentiation-inducing activity of benzo[a]phenothiazines and phenothiazines. Anticancer Res. 1997, 17, 2465–2469. [Google Scholar] [PubMed]
- Reinhardt, C.; Travis, A.S. Heinrich Caro and the Creation of Modem Chemical Industry, Chemists and Chemistry; Springer Science & Business Media: Dordrecht, The Netherlands, 1998; Volume 19, pp. 242–245. [Google Scholar] [CrossRef]
- Berntsen, A. Zur Kenntniss des Methylenblau und verwandter Farbstoffe. Berichte Der Dtsch. Chem. Ges. 1883, 16, 2896–2904. [Google Scholar] [CrossRef]
- Mitchell, S. Phenothiazine: The parent molecule. Curr. Drug Targets 2006, 7, 1181–1189. [Google Scholar] [CrossRef] [PubMed]
- Berneth, H. Azine dyes. In Ullmann’s Encyclopedia of Industrial Chemistry; Wiley-VCH Verlag GmbH & Co. KGaA: Weinheim, Germany, 2012; pp. 475–514. [Google Scholar] [CrossRef]
- Wilson, T.M. On the chemistry and staining properties of certain derivatives of the methylene blue group when combined with eosin. J. Exp. Med. 1907, 9, 645. [Google Scholar] [CrossRef] [PubMed][Green Version]
- Metcalf, R.L. The Mode of Action Organic Insecticides; National Research Council: Washington, DC, USA, 1948; p. 84. [Google Scholar]
- López-Muñoz, F.; Alamo, C.; Cuenca, E.; Shen, W.W.; Clervoy, P.; Rubio, G. History of the discovery and clinical introduction of chlorpromazine. Ann. Clin. Psychiatry 2005, 17, 113–135. [Google Scholar] [CrossRef] [PubMed]
- Gao, K.; Calabrese, J.R.; Gajwani, P.; Muzina, D. Efficacy of typical and atypical antipsychotics for primary and comorbid anxiety symptoms or disorders: A Review. J. Clin. Psychiatry 2006, 67, 1327–1340. [Google Scholar] [CrossRef]
- Lee, C.K.; Stevens, C.A.; Park, J.H.; Clark, R.F. Promethazine: A review of therapeutic uses and toxicity. J. Emerg. Med. 2025, 70, 127–133. [Google Scholar] [CrossRef]
- Early, M.; Wink, L.; Erickson, C.; McDougle, C.J. Thioridazine. In Encyclopedia of Autism Spectrum Disorders; Volkmar, F.R., Ed.; Springer: New York, NY, USA, 2013; p. 3117. [Google Scholar] [CrossRef]
- Gershon, S.; Sakalis, G.; Bowers, P.A. Mesoridazine—a pharmacodynamic and pharmacokinetic profile. J. Clin. Psychiatry 1981, 42, 463–469. [Google Scholar] [CrossRef] [PubMed]
- Kalkanidis, M.; Klonis, N.; Tilley, L.; Deady, L.W. Novel phenothiazine antimalarials: Synthesis, antimalarial activity, and inhibition of the formation of β-haematin. Biochem. Pharmcol. 2002, 63, 833–842. [Google Scholar] [CrossRef]
- Kaatz, G.W.; Moudgal, V.V.; Seo, S.M.; Kristiansen, J.E. Phenothiazines and thioxanthenes inhibit multidrug efflux pump activity in Staphylococcus aureus. Antimicrob. Agents Chemother. 2003, 47, 719–726. [Google Scholar] [CrossRef] [PubMed]
- Amaral, L.; Viveiros, M.; Kristiansen, J.E. Phenothiazines: Potential alternatives for the management of antibiotic resistant infections of tuberculosis and malaria in developing countries. Trop. Med. Int. Health 2001, 6, 1016–1022. [Google Scholar] [CrossRef]
- Nhari, L.M.; Bifari, E.N.; Al-Marhabi, A.R.; Al-Ghamdi, H.A.; Al-Ghamdi, S.N.; Al-Zahrani, F.A.M.; Al-Footy, K.O.; El-Shishtawy, R.M. Synthesis of novel key chromophoric intermediates via C-C coupling reactions. Catalysts 2022, 12, 1292. [Google Scholar] [CrossRef]
- Moll, B.; Tichelkamp, T.; Wegner, S.; Francis, B.; Müller, T.J.J.; Janiak, C. Near-infrared (NIR) surface-enhanced Raman spectroscopy (SERS) study of novel functional phenothiazines for potential use in dye sensitized solar cells (DSSC). RSC Adv. 2019, 9, 37365–37375. [Google Scholar] [CrossRef] [PubMed]
- Xu, Z.; Lia, Y.; Zhang, W.; Yuan, S.; Hao, L.; Xu, T.; Lu, X. DFT/TD-DFT study of novel T shaped phenothiazine-based organic dyes for dye-sensitized solar cells applications. Spectrochim. Acta Part A Mol. Biomol. Spectrosc. 2019, 212, 272–280. [Google Scholar] [CrossRef]
- Sartor, S.M.; Chrisman, C.H.; Pearson, R.M.; Miyake, G.M.; Damrauer, N.H. Designing high-triplet-yield phenothiazine donor–acceptor complexes for photoredox catalysis. J. Phys. Chem. A 2020, 124, 817–823. [Google Scholar] [CrossRef]
- Abdallah, M.; Bui, T.T.; Goubard, F.; Theodosopoulo, D.; Dumur, F.; Hijazi, A.; Fouassier, J.P.; Lalevée, J. Phenothiazine derivatives as photoredox catalysts for cationic and radical photosensitive resins for 3D printing technology and photocomposite synthesis. Polym. Chem. 2019, 10, 6145–6156. [Google Scholar] [CrossRef]
- Marin, L.; Bejan, A.; Shova, S. Phenothiazine based co-crystals with enhanced luminescence. Dye. Pigment. 2019, 175, 108164. [Google Scholar] [CrossRef]
- Wang, Y.; Yang, J.; Fang, M.; Gong, Y.; Ren, J.; Tu, L.; Tang, B.Z.; Li, Z. New phenothiazine derivatives that exhibit photo induced room-temperature phosphorescence. Adv. Funct. Mater. 2021, 31, 2101719. [Google Scholar] [CrossRef]
- Ren, J.; Tian, Y.; Wang, Y.S.; Yang, J.; Fang, M.M.; Li, Z. The influence of π–π stacking on the room temperature phosphorescence of phenothiazine 5,5-dioxide derivatives. J. Mater. Chem. C 2022, 10, 13741–13746. [Google Scholar] [CrossRef]
- Aizawa, N.; Tsou, C.-J.; Park, I.S.; Yasuda, T. Aggregation-induced delayed fluorescence from phenothiazine-containing donor–acceptor molecules for high-efficiency non-doped organic light-emitting diodes. Polym. J. 2017, 49, 197–202. [Google Scholar] [CrossRef]
- Shi, J.; Xu, L.; Ding, Q.; Li, W.Z.; Sun, Q.K.; Xue, S.F.; Yang, W.J. Tetraphenylethylene-substituted phenothiazine-based AIEgens for non-doped deep-blue organic light-emitting diodes with negligible efficiency roll-off. Dye. Pigment. 2019, 161, 97–103. [Google Scholar] [CrossRef]
- Yan, L.; Li, D.; Le, Y.; Dong, P.; Liu, L. Phenothiazine-based fluorescent probe for fluoride ions and its applications in rapid detection of endemic disease. Dye. Pigment. 2022, 201, 110200. [Google Scholar] [CrossRef]
- Santos, H.F.; dos Santos, C.G.; Lanfredi, A.J.C.; Nascimento, O.R.; de Oliveira, H.P.M.; Reis, A.K.C.A.; Nantes-Cardoso, I.L. Charge separation of photosensitized phenothiazines for applications in catalysis and nanotechnology. Dye. Pigment. 2020, 177, 108314. [Google Scholar] [CrossRef]
- Pluta, K.; Morak-Młodawska, B.; Jeleń, M. Recent progress in biological activities of synthesized phenothiazines. Eur. J. Med. Chem. 2011, 46, 3179–3189. [Google Scholar] [CrossRef]
- Jaszczyszyn, A.; Gąsiorowski, K.; Świątek, P.; Malinka, W.; Cieślik-Boczula, K.; Petrus, J.; Czarnik-Matusewicz, B. Chemical structure of phenothiazines and their biological activity. Pharmacol. Rep. 2012, 64, 16–23. [Google Scholar] [CrossRef]
- Edinoff, A.N.; Armistead, G.; Rosa, C.A.; Anderson, A.; Patil, R.; Cornett, E.M.; Murnane, K.S.; Kaye, A.M.; Kaye, A.D. Phenothiazines and their evolving roles in clinical practice: A narrative review. Health Psychol. Res. 2022, 10, 38930. [Google Scholar] [CrossRef]
- Khan, F.; Misra, R. Recent advances in the development of phenothiazine and its fluorescent derivatives for optoelectronic applications. J. Mater. Chem. C 2023, 11, 2786–2825. [Google Scholar] [CrossRef]
- Mehrabi, S.F.; Elmi, S.; Nylandsted, J. Repurposing phenothiazines for cancer therapy: Compromising membrane integrity in cancer cells. Front. Oncol. 2023, 13, 1320621. [Google Scholar] [CrossRef]
- Kisla, M.M.; Yaman, M.; Zengin-Karadayi, F.; Korkmaz, B.; Bayazeid, O.; Kumar, A.; Peravali, R.; Gunes, D.; Tiryaki, R.S.; Gelinci, E.; et al. Synthesis and structure of novel phenothiazine derivatives, and compound prioritization via in silico target search and screening for cytotoxic and cholinesterase modulatory activities in liver cancer cells and in vivo in zebrafish. ACS Omega 2024, 9, 30594–30614. [Google Scholar] [CrossRef] [PubMed]
- Sudeshna, G.; Parimal, K. Multiple non-psychiatric effects of phenothiazines: A review. Eur. J. Pharmacol. 2010, 648, 6–14. [Google Scholar] [CrossRef] [PubMed]
- Babalola, B.A.; Malik, M.; Sharma, L.; Olowokere, O.; Folajimi, O. Exploring the therapeutic potential of phenothiazine derivatives in medicinal chemistry. Results Chem. 2024, 8, 101565. [Google Scholar] [CrossRef]
- Boyer, G.; Galy, J.P.; Barbe, J. Synthesis of substituted pyrazolo[3,4-b]phenothiazine and pyrazolo[4,3-c]phenothiazine derivatives. Heterocycles 1995, 41, 487–496. [Google Scholar] [CrossRef]
- Thomas, L.; Gupta, A.; Gupta, V. Synthesis of 10H-phenothiazine and 4H-1,4-benzothiazine sulfones. Heterocycl. Commun. 2002, 8, 293–298. [Google Scholar] [CrossRef]
- Srivastav, V.; Gupta, R.; Gupta, R.R. Synthesis of 3-bromo-1-methyl phenothiazines by Smiles rearrangement. Heterocycl. Commun. 2000, 6, 369–374. [Google Scholar] [CrossRef]
- Rajakumar, P.; Satheeshkumar, C.; Ravivarma, M. Synthesis and photophysical studies on triazole bridged dendrimers with phenothiazine as a surface unit. Arkivoc 2014, 2014, 67–79. [Google Scholar] [CrossRef]
- Ramazani, A.; Sadri, F. One-pot synthesis of alkyl 3-(diphenylphosphoryl)-3-(10H-phenothiazin-10-yl)propanoates from alkyl acetylenecarboxylates, phenothiazine, and triphenylphosphine. Phosphorus Sulfur Silicon Relat. Elem. 2009, 184, 3126–3133. [Google Scholar] [CrossRef]
- Mayer, M.; Lang, T.; Gerber, S.; Madrid, P.B.; Pinto, I.G.; Guy, R.K.; James, T.L. Synthesis and testing of a focused phenothiazine library of binding to HIV-1 TAR RNA. Chem. Biol. 2006, 13, 993–1000. [Google Scholar] [CrossRef][Green Version]
- Filip, S.V.; Silberg, I.A.; Surducan, E.; Vlassa, M.; Surducan, V. Microwave-assisted phenothiazines preparation by thionation of diphenylamines. Synth. Commun. 1998, 28, 337–345. [Google Scholar] [CrossRef]
- Franz, A.W.; Rominger, F.; Müller, T.J.J. Synthesis and electronic properties of sterically demanding N-arylphenothiazines and unexpected Buchwald−Hartwig aminations. J. Org. Chem. 2008, 73, 1795–1802. [Google Scholar] [CrossRef]
- Baciu-Atudosie, L.; Ghinet, A.; Belei, D.; Gautret, P.; Rigo, B.; Bîcu, E. An efficient one-pot reaction for the synthesis of pyrazolones bearing a phenothiazine unit. Tetrahedron Lett. 2012, 53, 6127–6131. [Google Scholar] [CrossRef]
- Pluta, K.; Jeleń, M.; Morak-Młodawska, B.; Zimecki, M.; Artym, J.; Kocięba, M.; Zaczyńska, E. Azaphenothiazines—Promising phenothiazine derivatives. An insight into nomenclature, synthesis, structure elucidation and biological properties. Eur. J. Med. Chem. 2017, 136, 255–267. [Google Scholar] [CrossRef]
- Gautam, N.; Ajmera, N.; Gupta, S.; Meena, P.; Kumar, A.; Gautam, D.C. Synthesis and pharmacological use of 10H-phenothiazines, their sulfones, and ribofuranosides. Phosphorus Sulfur Silicon Relat. Elem. 2010, 185, 2409–2417. [Google Scholar] [CrossRef]
- Takács, D.; Egyed, O.; Drahos, L.; Szabó, P.; Jemnitz, K.; Szabó, M.; Veres, Z.; Visy, J.; Molnár, J.; Riedl, Z.; et al. Synthesis and pharmacological investigation of new N-hydroxyalkyl-2-aminophenothiazines exhibiting marked MDR inhibitory effect. Bioorg. Med. Chem. 2013, 21, 3760–3779. [Google Scholar] [CrossRef][Green Version]
- Yeh, C.-T.; Wu, A.T.H.; Chang, P.M.-H.; Chen, K.-Y.; Yang, C.-N.; Yang, S.-C.; Ho, C.-C.; Chen, C.-C.; Kuo, Y.-L.; Lee, P.-Y.; et al. Trifluoperazine, an antipsychotic agent, inhibits cancer stem cell growth and overcomes drug resistance of lung cancer. Am. J. Respir. Crit. Care Med. 2012, 186, 1180–1188. [Google Scholar] [CrossRef]
- Chen, J.; Li, G.; Xie, Y.; Liao, Y.; Xiao, F.; Deng, G.-J. Four-component approach to N-substituted phenothiazines under transition-metal-free conditions. Org. Lett. 2015, 17, 5870–5873. [Google Scholar] [CrossRef] [PubMed]
- Kanemoto, K.; Sakata, Y.; Hosoya, T.; Yoshida, S. Synthesis of phenoxathiins and phenothiazines by aryne reactions with thiosulfonates. Chem. Lett. 2020, 49, 593–596. [Google Scholar] [CrossRef]
- Sun, J.; Sun, Q.-S.; Yan, C.-G. Selective construction of indeno[1,2-b]phenothiazine and indeno[2,1 c]phenothiazine via tandem annulation reaction. Tetrahedron 2018, 74, 2871–2875. [Google Scholar] [CrossRef]
- Jangid, D.K.; Guleria, A.; Gautam, D.C.; Yadav, H.; Mathur, M.; Swami, A.K. Antimicrobial studies, synthesis and characterization of novel 1-nitro-10H-phenothiazine bearing sulfone/nucleoside moieties. Nucleosides Nucleotides Nucleic Acids 2019, 38, 533–549. [Google Scholar] [CrossRef]
- Venkatesan, K.; Satyanarayana, V.S.V.; Sivakumar, A.; Ramamurthy, C.; Thirunavukkarusu, C. Synthesis, spectral characterization and antitumor activity of phenothiazine derivatives. J. Heterocycl. Chem. 2020, 57, 2722–2728. [Google Scholar] [CrossRef]
- Al Zahrani, N.A.; El-Shishtawy, R.M.; Elaasser, M.M.; Asiri, A.M. Synthesis of novel chalcone-based phenothiazine derivatives as antioxidant and anticancer agents. Molecules 2020, 25, 4566. [Google Scholar] [CrossRef] [PubMed]
- Singh, S.; Gangopadhyay, A.; Sriram, D.; Chakravarty, M. Phenothiazine-linked glutamic acid dendrons: An easy access and a new class of SARS-CoV-2 main protease inhibitors. R. Soc. 2025, 4, 241628. [Google Scholar] [CrossRef]
- Shukla, D.; Azad, I.; Sheikh, S.Y.; Ali, S.N.; Ahmad, N.; Kamal, A.; Faiyyaz, M.; Khan, A.R.; Ahmad, V.; Alghamdi, A.A.; et al. Quantum chemical modeling, molecular docking, and ADMET evaluation of imidazole phenothiazine hybrids. Sci. Rep. 2025, 15, 23413. [Google Scholar] [CrossRef] [PubMed]
- Patureau, F.W. The phenol-phenothiazine coupling: An oxidative click concept. ChemCatChem 2019, 11, 5227–5231. [Google Scholar] [CrossRef]
- Li, C.-J. Cross-dehydrogenative coupling (CDC): Exploring C−C bond formations beyond functional group transformations. Acc. Chem. Res. 2009, 42, 335–344. [Google Scholar] [CrossRef]
- Bering, L.; D’Ottavio, L.; Sirvinskaite, G.; Antonchick, A.P. Nitrosonium ion catalysis: Aerobic, metal-free cross-dehydrogenative carbon–heteroatom bond formation. Chem. Commun. 2018, 54, 13022–13025. [Google Scholar] [CrossRef]
- Jin, R.; Patureau, F.W. Mild, periodate-mediated, dehydrogenative C−N bond formation with phenothiazines and phenols. Org. Lett. 2016, 18, 4491–4493. [Google Scholar] [CrossRef]
- Louillat-Habermeyer, M.-L.; Jin, R.; Patureau, F.W. O2-mediated dehydrogenative amination of phenols. Angew. Chem. Int. Ed. 2015, 54, 4102–4104. [Google Scholar] [CrossRef]
- Fu, D.-J.; Zhao, R.-H.; Li, J.-H.; Yang, J.-J.; Mao, R.-W.; Wu, B.-W.; Li, P.; Zi, X.-L.; Zhang, Q.-Q.; Cai, H.-J.; et al. Molecular diversity of phenothiazines: Design and synthesis of phenothiazine–dithiocarbamate hybrids as potential cell cycle blockers. Mol. Divers. 2017, 21, 933–942. [Google Scholar] [CrossRef]
- Onoabedje, E.A.; Ibezim, A.; Onoabedje, U.S.; Egu, S.A.; Okoro, U.C. New antimicrobial leads in phenothiazine scaffold: Synthesis, biological assay and virtual screening. ChemistrySelect 2017, 2, 11954–11958. [Google Scholar] [CrossRef]
- Brem, B.; Gal, E.; Găină, L.; Silaghi-Dumitrescu, L.; Fischer-Fodor, E.; Tomuleasa, C.I.; Grozav, A.; Zaharia, V.; Filip, L.; Cristea, C. Novel thiazolo[5,4-b]phenothiazine derivatives: Synthesis, structural characterization, and in vitro evaluation of antiproliferative activity against human leukaemia. Int. J. Mol. Sci. 2017, 18, 1365. [Google Scholar] [CrossRef] [PubMed]
- Fürstner, A.; Martin, R. Advances in iron catalyzed cross coupling reactions. Chem. Lett. 2005, 34, 624–629. [Google Scholar] [CrossRef]
- Fürstner, A. Iron catalysis in organic synthesis: A critical assessment of what it takes to make this base metal a multitasking champion. ACS Cent. Sci. 2016, 2, 778–789. [Google Scholar] [CrossRef] [PubMed]
- Baruah, M.J.; Dutta, R.; Zaki, M.E.A.; Bania, K.K. Heterogeneous iron-based catalysts for organic transformation reactions: A brief overview. Molecules 2024, 29, 3177. [Google Scholar] [CrossRef]
- Hu, W.; Zhang, S. Method for the synthesis of phenothiazines via a domino iron-catalyzed C–S/C–N cross-coupling reaction. J. Org. Chem. 2015, 80, 6128–6132. [Google Scholar] [CrossRef]
- Dodds, A.C.; Puddu, S.; Sutherland, A. Thioarylation of anilines using dual catalysis: Two-step synthesis of phenothiazines. Org. Biomol. Chem. 2022, 20, 5602. [Google Scholar] [CrossRef]
- Purtsas, A.; Rosenkranz, M.; Dmitrieva, E.; Kataeva, O.; Knölke, H.-J. Iron-catalyzed oxidative C−O and C−N coupling reactions using air as sole oxidant. Chem. Eur. J. 2022, 28, e202104292. [Google Scholar] [CrossRef]
- Xiao, J.; Guo, S.; Wang, D.; An, Q. Fenton-like reaction: Recent advances and new trends. Chem. Eur. J. 2024, 30, e202304337. [Google Scholar] [CrossRef]
- Yang, Q.; Zhao, Y.; Ma, D. Cu-Mediated Ullmann-type cross-coupling and industrial applications in route design, process development, and scale-up of pharmaceutical and agrochemical processes. Org. Process Res. Dev. 2022, 26, 1690–1750. [Google Scholar] [CrossRef]
- Sambiagio, C.; Marsden, S.P.; Blacker, A.J.; McGowan, P.C. Copper catalysed Ullmann type chemistry: From mechanistic aspects to modern development. Chem. Soc. Rev. 2014, 43, 3525–3550. [Google Scholar] [CrossRef] [PubMed]
- Tang, J.; Xu, B.; Mao, X.; Yang, H.; Wang, X.; Lv, X. One-Pot synthesis of pyrrolo[3,2,1-kl]phenothiazines through copper-catalyzed tandem coupling/double cyclization reaction. J. Org. Chem. 2015, 80, 11108–11114. [Google Scholar] [CrossRef] [PubMed]
- Zhao, P.; Wang, K.; Yue, Y.; Chao, J.; Ye, Y.; Tang, O.; Liu, J. Copper-catalyzed aerobic oxidative amination of indole derivatives via single-electron transfer. ChemCatChem 2020, 12, 3207–3211. [Google Scholar] [CrossRef]
- Khelwati, H.; Franz, A.W.; Zhou, Z.; Thiel, W.R.; Müller, T.J.J. Triazolyl conjugated (oligo)phenothiazines building blocks for hybrid materials—Synthesis and electronic properties. Molecules 2021, 26, 2950. [Google Scholar] [CrossRef]
- Ma, X.-H.; Liu, N.; Lu, J.-L.; Zhao, J.; Zhang, X.-J. Design, synthesis and antiproliferative activity of novel phenothiazine-1,2,3-triazole analogues. J. Chem. Res. 2017, 41, 696–698. [Google Scholar] [CrossRef]
- Mayer, L.; Kohlbecher, R.; Müller, T.J.J. Concatenating Suzuki arylation and Buchwald–Hartwig amination by a sequentially Pd-catalyzed one-pot process—Consecutive three-component synthesis of C,N-diarylated heterocycles. Chem. Eur. J. 2020, 26, 15130. [Google Scholar] [CrossRef]
- Kornet, M.M.; Müller, T.J.J. Recent advances in sequentially Pd-catalyzed one-pot syntheses of heterocycles. Molecules 2024, 29, 5265. [Google Scholar] [CrossRef]
- Dahl, T.; Tornøe, C.W.; Bang-Andersen, B.; Nielsen, P.; Jørgensen, M. Palladium-catalyzed three-component approach to promazine with formation of one carbon–sulfur and two carbon–nitrogen bonds. Angew. Chem. Int. Ed. 2008, 47, 1726–1728. [Google Scholar] [CrossRef]
- Ghabraie, E.; Kemker, I.; Tonali, N.; Ismail, M.; Dodero, V.I.; Sewald, N. Phenothiazine-biaryl-containing fluorescent RGD peptides. Chem. Eur. J. 2020, 26, 12036–12042. [Google Scholar] [CrossRef]
- Matsuzawa, T.; Uchida, K.; Yoshida, S.; Hosoya, T. Synthesis of diverse phenothiazines by direct thioamination of arynes with S-(o-bromoaryl)-S-methylsulfilimines and subsequent intramolecular Buchwald-Hartwig. Chem. Lett. 2018, 47, 825–828. [Google Scholar] [CrossRef]
- Di Vona, M.L.; Rosnati, V. Zinc-promoted reactions. 1. Mechanism of the Clemmensen reaction. reduction of benzophenone in glacial acetic acid. J. Org. Chem. 1991, 56, 4269–4273. [Google Scholar] [CrossRef]
- Rani, B.R.; Ubukata, M.; Osada, H. Reduction of arylcarbonyl using zinc dust in acetic acid. Bull. Chem. Soc. Jpn. 1995, 68, 282–284. [Google Scholar] [CrossRef]
- Bayoumy, N.M.; Fekri, A.; Tawfik, E.H.; Fadda, A.A. Synthesis, characterization and antimicrobial evaluation of some new heterocycles incorporating phenothiazine moiety. Polycycl. Aromat. Compd. 2019, 41, 982–991. [Google Scholar] [CrossRef]
- Gal, M.; Cristea, C.; Lovasz, T.; Craciun, A.-M.; Turza, A.; Porumb, D.; Gal, E.; Katona, G.; Silaghi-Dumitrescu, L.; Gaina, L. New fluorescent phenothiazine carboxylates for fluorescent nanomaterials. J. Mol. Struct. 2021, 1246, 131174. [Google Scholar] [CrossRef]
- Gal, M.; Cristea, C.; Craciun, A.-M.; Turza, A.; Barbu-Tudoran, L.; Balazs, B.; Lovasz, T.; Silaghi-Dumitrescu, L.; Gaina, L. New fluorescent electrospun polymer materials containing phenothiazinyl carboxylate metal salts for versatile latent fingerprint detection. Dye. Pigment. 2023, 211, 111085. [Google Scholar] [CrossRef]
- Jana, S.; Empel, C.; Pei, C.; Vinh Nguyen, T.; Koenigs, R.M. Gold-catalyzed C−H functionalization of phenothiazines with aryldiazoacetates. Adv. Synth. Catal. 2020, 362, 5721–5727. [Google Scholar] [CrossRef]
- Sheldon, R.A. Metrics of green chemistry and sustainability: Past, present, and future. ACS Sustain. Chem. Eng. 2018, 6, 32–48. [Google Scholar] [CrossRef]
- Găină, L.; Cristea, C.; Moldovan, C.; Porumb, D.; Surducan, E.; Deleanu, C.; Mahamoud, A.; Barbe, J.; Silberg, I.A. Microwave-assisted synthesis of phenothiazine and qinoline derivatives. Int. J. Mol. Sci. 2007, 8, 70–80. [Google Scholar] [CrossRef]
- Gal, E.; Gaina, L.; Petkes, H.; Pop, A.; Cristea, C.; Barta, G.; Vodnar, D.C.; Silaghi-Dumitrescu, L. Ultrasound-assisted Strecker synthesis of novel 2-(hetero)aryl-2-(arylamino)acetonitrile derivatives. Beilstein J. Org. Chem. 2020, 16, 2929–2936. [Google Scholar] [CrossRef]
- Venkatesan, K.; Satyanarayana, V.S.V.; Sivakumar, A. Synthesis and biological evaluation of novel phenothiazine derivatives as potential antitumor agents. Polycycl. Aromat. Compd. 2022, 43, 850–859. [Google Scholar] [CrossRef]
- Sarmiento, G.P.; Martini, M.F.; Vitale, R.G.; Fabian, L.E.; Afeltra, J.; Vega, D.; Moltrasio, G.Y.; Moglioni, A.G. N-Haloacetyl phenothiazines and derivatives: Preparation, characterization and structure-activity relationship for antifungal activity. Arab. J. Chem. 2019, 12, 21–32. [Google Scholar] [CrossRef]
- Alsharekh, M.M.; Althagafi, I.I.; Shaaban, M.R.; Farghaly, T.A. Microwave-assisted and thermal synthesis of nanosized thiazolyl-phenothiazine derivatives and their biological activities. Res. Chem. Intermed. 2019, 45, 127–154. [Google Scholar] [CrossRef]
- Mohamadighader, N.; Nematollahi, D.; Saraei, M. A comprehensive study on electrochemical oxidation of phenothiazine in water-acetonitrile mixture: Electrosynthesis of phenothiazine dimers. Electrochim. Acta 2022, 425, 140706. [Google Scholar] [CrossRef]
- Zhu, C.; Ang, N.W.J.; Meyer, T.H.; Qiu, Y.; Ackermann, L. Organic electrochemistry: Molecular syntheses with potential. ACS Cent. Sci. 2021, 7, 415–431. [Google Scholar] [CrossRef] [PubMed]
- Martins, G.M.; Zimmer, G.C.; Mendes, S.R.; Ahmed, N. Electrifying green synthesis: Recent advances in electrochemical annulation reactions. Green Chem. 2020, 22, 4849–4870. [Google Scholar] [CrossRef]
- Luo, L.; Yang, Y.; Chen, S.; Zhang, P.; Zeng, R. A Photoelectrochemical sensor for the detection of hypochlorous acid with a phenothiazine-based photosensitizer. Molecules 2024, 29, 614. [Google Scholar] [CrossRef]
- Zhao, H.; Fan, B.; Hu, S.; Liu, X.; Xue, P. Recent Progress of Mechanofluorochromism and Mechanoluminescence for Pheno-thiazine Derivatives and Analogues. Chem. Eur. J. 2025, 31, e202404195. [Google Scholar] [CrossRef]
- Thokala, S.; Singh, S.P. Phenothiazine-based hole transport materials for perovskite solar cells. ACS Omega 2020, 5, 5608–5619. [Google Scholar] [CrossRef]
- Slobodinyuk, D.; Slobodinyuk, A. Carbazole- versus phenothiazine-based electron donors for organic dye-sensitized solar cells. Molecules 2025, 30, 2423. [Google Scholar] [CrossRef]
- Mohamadighader, N.; Zivari-Moshfegh, F.; Nematollahi, D. Electrochemical generation of phenothiazin-5-ium. A sustainable strategy for the synthesis of new bis(phenylsulfonyl)-10H-phenothiazine derivatives. Sci. Rep. 2024, 14, 4276. [Google Scholar] [CrossRef]
- Ghaderi, O.; Asghari, A.; Ameri, M.; Rajabi, M. A one-pot, simple, and clean method for synthesis of new phenothiazines via electro-oxidation of hydroquinones in the presence of 2-aminothiophenol. Chem. Lett. 2016, 45, 430–432. [Google Scholar] [CrossRef]
- Asra, R.; Malmakova, A.E.; Jones, A.M. Electrochemical synthesis of the in human S-oxide metabolites of phenothiazine-containing antipsychotic medications. Molecules 2024, 29, 3038. [Google Scholar] [CrossRef]
- Kononov, A.I.; Strekalova, S.O.; Budnikova, Y.H. Electrochemical and photochemical functionalization of phenothiazines towards the synthesis of N-aryl phenothiazines: Recent updates and prospects. Eur. J. Org. Chem. 2025, 28, e20240147. [Google Scholar] [CrossRef]
- Staerz, S.D.; Jones, C.L.; Tepe, J.J. Design, synthesis, and biological evaluation of potent 20s proteasome activators for the potential treatment of α-synucleinopathies. J. Med. Chem. 2022, 65, 6631–6642. [Google Scholar] [CrossRef] [PubMed]
- Ramprasad, J.; Nayak, N.; Dalimba, U. Design of new phenothiazine-thiadiazole hybrids via molecular hybridization approach for the development of potent antitubercular agents. Eur. J. Med. Chem. 2015, 106, 75–84. [Google Scholar] [CrossRef] [PubMed]
- Scalacci, N.; Brown, A.K.; Pavan, F.R.; Ribeiro, C.M.; Manetti, F.; Bhakta, S.; Maitra, A.; Smith, D.L.; Petricci, E.; Castagnolo, D. Synthesis and SAR evaluation of novel thioridazine derivatives active against drug-resistant tuberculosis. Eur. J. Med. Chem. 2017, 127, 147–158. [Google Scholar] [CrossRef]
- Ravichandiran, P.; Athinarayanan, J.; Premnath, D.; Periasamy, V.S.; Alshatwi, A.A.; Vasanthkumar, S. Synthesis, molecular docking and biological evaluation of novel 6-(4-(4-aminophenylsulfonyl)phenylamino)-5H-benzo[a]phenothiazin-5-one derivatives. Spectrochim. Acta Part A Mol. Biomol. Spectrosc. 2015, 139, 477–487. [Google Scholar] [CrossRef]
- Reddyrajula, R.; Dalimba, U.; Madan Kumar, S. Molecular hybridization approach for phenothiazine incorporated 1,2,3-triazole hybrids as promising antimicrobial agents: Design, synthesis, molecular docking and in silico ADME studies. Eur. J. Med. Chem. 2019, 168, 263–282. [Google Scholar] [CrossRef]
- Tarapdar, A.; Norris, J.K.S.; Sampson, O.; Mukamolova, G.; Hodgkinson, J.T. The design and synthesis of an antibacterial phenothiazine–siderophore conjugate. Beilstein J. Org. Chem. 2018, 14, 2646–2650. [Google Scholar] [CrossRef]
- Voronova, O.; Zhuravkov, S.; Korotkova, E.; Artamonov, A.; Plotnikov, E. Antioxidant properties of new phenothiazine derivatives. Antioxidants 2022, 11, 1371. [Google Scholar] [CrossRef]
- Wu, S.; Mao, G.; Kirsebom, L.A. Inhibition of bacterial RNase P RNA by phenothiazine derivatives. Biomolecules 2016, 6, 38. [Google Scholar] [CrossRef]
- Kumar, V.; Upadhyay, N.; Manhas, A. Designing, syntheses, characterization, computational study and biological activities of silver-phenothiazine metal complex. J. Mol. Struct. 2015, 1099, 135–141. [Google Scholar] [CrossRef]
- Selvendran, S.; Brindha, J.; Vasavi, C.S.; Munussami, P.; Pattusamy, N.; Chanda, K.; Balamurali, M.M.; Rajendran, S. Biological evaluation of synthesized N-cinnamoyl phenothiazine derivatives. ChemistrySelect 2018, 3, 13063–13069. [Google Scholar] [CrossRef]
- Carocci, A.; Barbarossa, A.; Leuci, R.; Carrieri, A.; Brunetti, L.; Laghezza, A.; Catto, M.; Limongelli, F.; Chaves, S.; Tortorella, P.; et al. Novel phenothiazine/donepezil-like hybrids endowed with antioxidant activity for a multi-target approach to the therapy of Alzheimer’s disease. Antioxidants 2022, 11, 1631. [Google Scholar] [CrossRef]
- Sivaramakarthikeyan, R.; Karuppasamy, A.; Iniyaval, S.; Padmavathy, K.; Lim, W.-M.; Mai, C.-W.; Ramalingan, C. Phenothiazine and amide-ornamented dihydropyridines via a molecular hybridization approach: Design, synthesis, biological evaluation and molecular docking studies. New J. Chem. 2019, 43, 17046–17057. [Google Scholar] [CrossRef]
- Songarj, P.; Luh, C.; Staib-Lasarzik, I.; Engelhard, K.; Moosmann, B.; Thal, S.C. The antioxidative, non-psychoactive tricyclic phenothiazine reduces brain damage after experimental traumatic brain injury in mice. Neurosci. Lett. 2015, 584, 253–258. [Google Scholar] [CrossRef] [PubMed]
- Sharma, M.K.; Machhi, J.; Murumkar, P.; Yadav, M.R. New role of phenothiazine derivatives as peripherally acting CB1 receptor antagonizing anti-obesity agents. Sci. Rep. 2018, 8, 1650. [Google Scholar] [CrossRef] [PubMed]
- Wang, X.-X.; Xie, F.; Jia, C.C.; Yan, N.; Zeng, Y.L.; Wu, J.D.; Liu, Z.P. Synthesis and biological evaluation of selective histone deacetylase 6 inhibitors as multifunctional agents against Alzheimer’s disease. Eur. J. Med. Chem. 2021, 225, 113821. [Google Scholar] [CrossRef]
- Vucicevic, L.; Misirkic-Marjanovic, M.; Harhaji-Trajkovic, L.; Maric, N.; Trajkovic, V. Mechanisms and therapeutic significance of autophagy modulation by antipsychotic drugs. Cell Stress 2018, 2, 282–291. [Google Scholar] [CrossRef]
- Chu, C.-W.; Ko, H.-J.; Chou, C.-H.; Cheng, T.-S.; Cheng, H.-W.; Liang, Y.-H.; Lai, Y.-L.; Lin, C.-Y.; Wang, C.; Loh, J.-K.; et al. Thioridazine enhances P62-mediated autophagy and apoptosis through Wnt/β-catenin signaling pathway in glioma cells. Int. J. Mol. Sci. 2019, 20, 473. [Google Scholar] [CrossRef]
- Otręba, M.; Stojko, J.; Rzepecka-Stojko, A. Phenothiazine derivatives and their impact on the necroptosis and necrosis processes. A review. Toxicology 2023, 492, 153528. [Google Scholar] [CrossRef]
- Heitmann, A.S.B.; Zanjani, A.A.H.; Klenow, M.B.; Mularski, A.; Sønder, S.L.; Lund, F.W.; Boye, T.L.; Dias, C.; Bendix, P.M.; Simonsen, A.C.; et al. Phenothiazines alter plasma membrane properties and sensitize cancer cells to injury by inhibiting annexin-mediated repair. J. Biol. Chem. 2021, 297, 101012. [Google Scholar] [CrossRef]
- Kang, S.; Lee, J.M.; Jeon, B.; Elkamhawy, A.; Paik, S.; Hong, J.; Oh, S.-J.; Paek, S.H.; Lee, C.J.; Hassan, A.H.E.; et al. Repositioning of the antipsychotic trifluoperazine: Synthesis, biological evaluation and in silico study of trifluoperazine analogs as anti-glioblastoma agents. Eur. J. Med. Chem. 2018, 151, 186–198. [Google Scholar] [CrossRef]
- Dumitriu, G.-M.; Bîcu, E.; Belei, D.; Rigo, B.; Dubois, J.; Farce, A.; Ghinet, A. Phenothiazine-based CaaX competitive inhibitors of human farnesyltransferase bearing a cysteine, methionine, serine or valine moiety as a new family of antitumoral compounds. Bioorg. Med. Chem. Lett. 2015, 25, 4447–4452. [Google Scholar] [CrossRef] [PubMed]
- Cibotaru, S.; Nastasa, V.; Sandu, A.-I.; Bostanaru, A.-C.; Mares, M.; Marin, L. Pegylation of phenothiazine—A synthetic route towards potent anticancer drugs. J. Adv. Res. 2022, 37, 279–290. [Google Scholar] [CrossRef] [PubMed]
- Omoruyi, S.I.; Ekpo, O.E.; Semenya, D.M.; Jardine, A.; Prince, S. Exploitation of a novel phenothiazine derivative for its anti-cancer activities in malignant glioblastoma. Apoptosis 2020, 25, 261–274. [Google Scholar] [CrossRef]
- Gul, H.I.; Yamali, C.; Gunesacar, G.; Sakagami, H.; Okudaira, N.; Uesawa, Y.; Kagaya, H. Cytotoxicity, apoptosis, and QSAR studies of phenothiazine derived methoxylated chalcones as anticancer drug candidates. Med. Chem. Res. 2018, 27, 2366–2378. [Google Scholar] [CrossRef]
- Ghorab, M.M.; Alsaid, M.S.; Samir, N.; Abdel-Latif, G.A.; Soliman, A.M.; Ragab, F.A.; Abou El Ella, D.A. Aromatase inhibitors and apoptotic inducers: Design, synthesis, anticancer activity and molecular modeling studies of novel phenothiazine derivatives carrying sulfonamide moiety as hybrid molecules. Eur. J. Med. Chem. 2017, 134, 304–315. [Google Scholar] [CrossRef]
- Liu, N.; Jin, Z.; Zhang, J.; Jin, J. Antitumor evaluation of novel phenothiazine derivatives that inhibit migration and tubulin polymerization against gastric cancer MGC-803 cells. Investig. New Drugs 2019, 37, 188–198. [Google Scholar] [CrossRef]
- Zhang, J.-X.; Guo, J.M.; Zhang, T.T.; Lin, H.J.; Qi, N.S.; Li, Z.G.; Zhou, J.C.; Zhang, Z.Z. Antiproliferative phenothiazine hybrids as novel apoptosis inducers against MCF-7 breast cancer. Molecules 2018, 23, 1288. [Google Scholar] [CrossRef]
- Narsimha, S.; Reddy, Y.N.; Reddy, N.V. Synthesis, antiproliferative and antibacterial activity of novel phenothiazine[1, 2, 3] triazole hybrids. Asian J. Pharm. Pharmacol. 2019, 5, 1172–1182. [Google Scholar] [CrossRef]
- Wu, C.-H.; Bai, L.-Y.; Tsai, M.-H.; Chu, P.-C.; Chiu, C.-F.; Chen, M.Y.; Chiu, S.-J.; Chiang, J.-H.; Weng, J.-R. Pharmacological exploitation of the phenothiazine antipsychotics to develop novel antitumor agents–A drug repurposing strategy. Sci. Rep. 2016, 6, 27540. [Google Scholar] [CrossRef]
- Gao, Y.; Sun, T.-Y.; Bai, W.-F.; Bai, C.-G. Design, synthesis and evaluation of novel phenothiazine derivatives as inhibitors of breast cancer stem cells. Eur. J. Med. Chem. 2019, 183, 111692. [Google Scholar] [CrossRef] [PubMed]
- Takács, D.; Csonka, Á.; Horváth, Á.; Windt, T.; Gajdács, M.; Riedl, Z.; Hajós, G.; Amaral, L.; Molnár, J.; Spengler, G. Reversal of ABCB1-related multidrug resistance of colonic adenocarcinoma cells by phenothiazines. Anticancer Res. 2015, 35, 3245–3251. [Google Scholar] [PubMed]
- Sachdeva, T.; Low, M.L.; Mai, C.W.; Cheong, S.L.; Liew, Y.K.; Milton, M.D. Design, synthesis and characterisation of novel phenothiazine-based triazolopyridine derivatives: Evaluation of anti-breast cancer activity on human breast carcinoma. ChemistrySelect 2019, 4, 12701–12707. [Google Scholar] [CrossRef]
- Moise, I.M.; Bîcu, E.; Farce, A.; Dubois, J.; Ghinet, A. Indolizine-phenothiazine hybrids as the first dual inhibitors of tubulin polymerization and farnesyltransferase with synergistic antitumor activity. Bioorg. Chem. 2020, 103, 104184. [Google Scholar] [CrossRef]
- Luan, Y.; Liu, J.; Gao, J.; Wang, J. The design and synthesis of novel phenothiazine derivatives as potential cytotoxic agents. Lett. Drug Des. Discov. 2020, 17, 57–67. [Google Scholar] [CrossRef]
- Środa-Pomianek, K.; Michalak, K.; Palko-Łabuz, A.; Uryga, A.; Swiatek, P.; Majkowski, M.; Wesołowska, O. The combined use of phenothiazines and statins strongly affects doxorubicin-resistance, apoptosis, and Cox-2 activity in colon cancer cells. Int. J. Mol. Sci. 2019, 20, 955. [Google Scholar] [CrossRef]







































| Method Type | Yield | Eco-Friendliness | Selectivity | Scalability |
|---|---|---|---|---|
| Classical Cyclization | Med | Low | Low | High |
| Pd-Catalyzed Coupling | High | Medium | High | Medium |
| Electrosynthesis | Med | High | Med | Low |
| Derivative/Hybrid | Cancer Model(s) | Key Mechanism/Activity | Enhancing Fragment(s) |
|---|---|---|---|
| Thioridazine (THD) | Glioblastoma | AMPK activation, autophagy, apoptosis, BBB penetration | – |
| Trifluoromethyl–piperidinyl PTZ | Glioblastoma | Selective cytotoxicity, spared normal stem cells | –CF3, piperidinyl |
| Mercaptopropanoic acid PTZ | hFTase inhibition | Potent enzyme inhibition | Spacer length + thiol group |
| PEGylated PTZs (PP, PPO) | Melanoma, liver cancer | 92% tumor inhibition, improved PK | PEG chains |
| Chalcone–PTZs | HepG2, oral cancer | Strong cytotoxicity, high selectivity (SI 76.5) | Trimethoxyphenyl, chlorophenyl |
| Sulfonamide–chalcone PTZs | Breast cancer (T47D) | Outperformed doxorubicin; thiazole analogue inhibited aromatase + apoptosis | Thiazole, pyridyl |
| Triazole–PTZs | Gastric, breast cancer | Tubulin inhibition; apoptosis via Bax/Bad + caspase | Triazole, trimethoxybenzyl, nitrophenyl |
| Thiazolone PTZ hybrids | Lung cancer (A549) | More potent than cisplatin; DNA interaction | Methoxyphenyl, nitrophenyl |
| Dithiocarbamate PTZs | Lung cancer | Strong cytotoxicity; G1 arrest | Dithiocarbamate |
| NO-donor PTZs (oxadiazole nitrates) | Breast cancer, leukemia | Surpassed trifluoperazine; low zebrafish toxicity; NF-κB inhibition | NO-donor, oxadiazole |
| Tetrazole PTZs | Colon cancer | Reversed MDR via ABCB1 inhibition | Tetrazole, sulfone, sec. amine |
| Triazolopyridine PTZ | Breast cancer | Selective apoptosis (no necrosis) | Triazolopyridine |
| Indolizine/ketone PTZ hybrids | NCI-60 panel | Nanomolar potency across cancers | Indolizine, ketone linkers |
| Urea–PTZs | Prostate, breast cancer | Selective cytotoxicity, G0/G1 arrest, caspase-3 activation | Urea fragment |
| Trifluoperazine | Oral cancer | Apoptosis induction without high toxicity | – |
Disclaimer/Publisher’s Note: The statements, opinions and data contained in all publications are solely those of the individual author(s) and contributor(s) and not of MDPI and/or the editor(s). MDPI and/or the editor(s) disclaim responsibility for any injury to people or property resulting from any ideas, methods, instructions or products referred to in the content. |
© 2025 by the authors. Licensee MDPI, Basel, Switzerland. This article is an open access article distributed under the terms and conditions of the Creative Commons Attribution (CC BY) license (https://creativecommons.org/licenses/by/4.0/).
Share and Cite
Malmakova, A.E.; Jones, A.M. Synthetic Routes and Bioactivity Profiles of the Phenothiazine Privileged Scaffold. Organics 2025, 6, 46. https://doi.org/10.3390/org6040046
Malmakova AE, Jones AM. Synthetic Routes and Bioactivity Profiles of the Phenothiazine Privileged Scaffold. Organics. 2025; 6(4):46. https://doi.org/10.3390/org6040046
Chicago/Turabian StyleMalmakova, Aigul E., and Alan M. Jones. 2025. "Synthetic Routes and Bioactivity Profiles of the Phenothiazine Privileged Scaffold" Organics 6, no. 4: 46. https://doi.org/10.3390/org6040046
APA StyleMalmakova, A. E., & Jones, A. M. (2025). Synthetic Routes and Bioactivity Profiles of the Phenothiazine Privileged Scaffold. Organics, 6(4), 46. https://doi.org/10.3390/org6040046

