Amphiphilic Fluorescein Triazoles: Synthesis and Visible-Light Catalysis in Water
Abstract
1. Introduction
2. Materials and Methods
2.1. Synthesis
2.1.1. The Synthesis of Prop-2-yn-1-yl 2-(6-methoxy-3-oxo-3H-xanthen-9-yl)benzoate 5
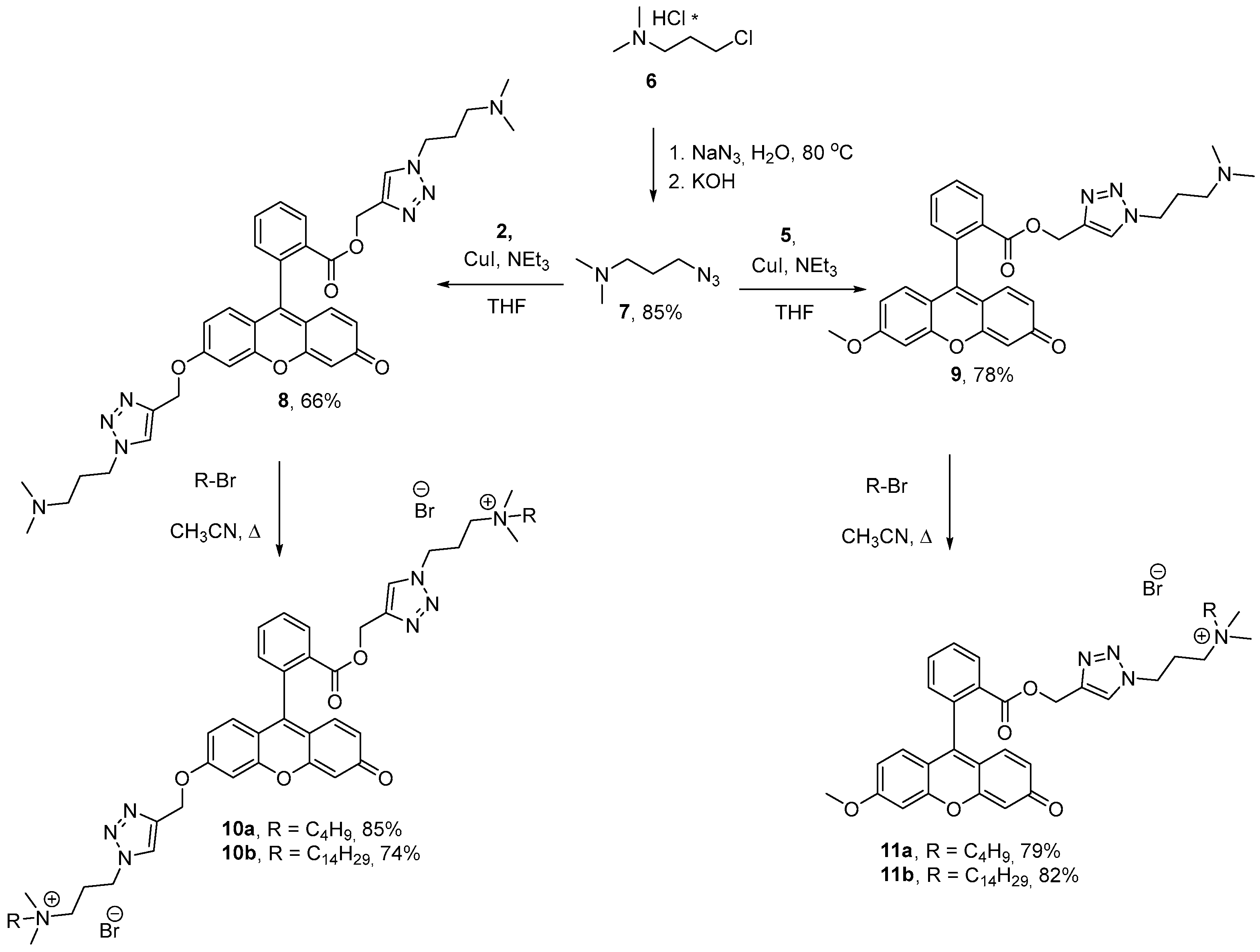
2.1.2. General Procedure for Synthesis of 1,2,3-triazoles 8–9
2.1.3. (1-(3-(Dimethylamino)propyl)-1H-1,2,3-triazol-4-yl)methyl 2-(6-((1-(3-(dimethylamino)propyl)-1H-1,2,3-triazol-4-yl)methoxy)-3-oxo-3H-xanthen-9-yl)benzoate 8
2.1.4. (1-(3-(Dimethylamino)propyl)-1H-1,2,3-triazol-4-yl)methyl 2-(6-methoxy-3-oxo-3H-xanthen-9-yl)benzoate 9
2.1.5. General Procedure for the Synthesis of Ammonium Salts 10ab, 11ab
2.1.6. N-(3-(4-(((2-(6-((1-(3-(butyldimethylammonio)propyl)-1H-1,2,3-triazol-4-yl) methoxy)-3-oxo-3H-xanthen-9-yl)benzoyl)oxy)methyl)-1H-1,2,3-triazol-1-yl)propyl)-N,N-dimethylbutan-1-aminium Bromide 10a
2.1.7. N-(3-(4-(((2-(6-((1-(3-(dimethyl(tetradecyl)ammonio)propyl)-1H-1,2,3-triazol-4-yl)methoxy)-3-oxo-3H-xanthen-9-yl)benzoyl)oxy)methyl)-1H-1,2,3-triazol-1-yl) propyl)-N,N-dimethyltetradecan-1-aminium Bromide 10b
2.1.8. N-(3-(4-(((2-(6-methoxy-3-oxo-3H-xanthen-9-yl)benzoyl)oxy)methyl)-1H-1,2,3-triazol-1-yl)propyl)-N,N-dimethylbutan-1-aminium Bromide 11a
2.1.9. N-(3-(4-(((2-(6-methoxy-3-oxo-3H-xanthen-9-yl)benzoyl)oxy)methyl)-1H-1,2,3-triazol-1-yl)propyl)-N,N-dimethyltetradecan-1-aminium Bromide 11b
2.2. Photophysical and Self-Assembly Investigations
2.3. General Method for Photocatalytic Reaction
3. Results and Discussion
3.1. Synthesis of 1,2,3-Triazoles Containing Fragment of Fluorescein and Its Ammonium Derivatives
3.2. Photophysical and Self-Assembly Properties
3.3. Photocatalytical Properties
4. Conclusions
- New 1,2,3-triazole derivatives of fluorescein containing one or two fragments of tertiary amines and their ammonium salts were synthesized for the first time. The structures of these compounds were confirmed by a wide range of physical and chemical methods;
- Values of the critical aggregation concentrations were obtained for ammonium salts. The formation of aggregates was also confirmed by dynamic light-scattering experiments. It has been shown that the presence of one or two hydrophobic tetradecyl fragments in the structure of a fluorescein derivative leads to an increase in the size of the aggregates. The smallest size of the aggregates and the polydispersity index were recorded for a derivative with two butyl substituents in the structure;
- The study of photocatalytic activity using the model-coupling reaction of malonic ester with N-phenyl 1,2,3,4-tetrahydroisoquinoline under the blue LED light showed good efficiency for all derivatives. However, the conversion of the initial THI reached 100% when compound 11b, containing a tetradecyl substituent, was used. These data confirmed the calculation of the quantum yield, which gave the best value for compound 11b.
Supplementary Materials
Author Contributions
Funding
Data Availability Statement
Conflicts of Interest
References
- Ardila-Fierro, K.J.; Hernández, J.G. Sustainability Assessment of Mechanochemistry by Using the Twelve Principles of Green Chemistry. ChemSusChem 2021, 14, 2145–2162. [Google Scholar] [CrossRef] [PubMed]
- Ganesh, K.N.; Zhang, D.; Miller, S.J.; Rossen, K.; Chirik, P.J.; Kozlowski, M.C.; Zimmerman, J.B.; Brooks, B.W.; Savage, P.E.; Allen, D.T.; et al. Green Chemistry: A Framework for a Sustainable Future. Org. Process Res. Dev. 2021, 25, 1455–1459. [Google Scholar] [CrossRef]
- Bobo, M.V.; Kuchta, J.J.; Vannucci, A.K. Recent Advancements in the Development of Molecular Organic Photocatalysts. Org. Biomol. Chem. 2021, 19, 4816–4834. [Google Scholar] [CrossRef] [PubMed]
- Lanjwani, M.F.; Tuzen, M.; Khuhawar, M.Y.; Saleh, T.A. Trends in Photocatalytic Degradation of Organic Dye Pollutants Using Nanoparticles: A Review. Inorg. Chem. Commun. 2024, 159, 111613. [Google Scholar] [CrossRef]
- Ramar, S.; Elango, P.; Velusamy, A.; Athinarayanan, B.; Jothi, V.K.; Hsu-Wei; Pattappan, D.; Gurusamy, A.; Lai, Y.-T. An Eco-Safety g-C3N4/Nb2O5/Ag Ternary Nanocomposite for Photocatalytic Degradation of Pharmaceutical Wastes and Dyes in Wastewater and Zebrafish Embryonic Assessment. J. Mol. Struct. 2024, 1317, 139127. [Google Scholar] [CrossRef]
- Ramasundaram, S.; Balasankar, A.; Arokiyaraj, S.; Sumathi, P.; Hwan Oh, T. Multi-Usable Titanium Dioxide and Poly(Vinylidene Fluoride) Composite Foam Photocatalyst for Degradation of Organic Pollutants. Appl. Surf. Sci. 2023, 609, 155264. [Google Scholar] [CrossRef]
- Li, D.; Shi, W. Recent Developments in Visible-Light Photocatalytic Degradation of Antibiotics. Cuihua Xuebao/Chin. J. Catal. 2016, 37, 792–799. [Google Scholar] [CrossRef]
- Koe, W.S.; Lee, J.W.; Chong, W.C.; Pang, Y.L.; Sim, L.C. An Overview of Photocatalytic Degradation: Photocatalysts, Mechanisms, and Development of Photocatalytic Membrane. Environ. Sci. Pollut. Res. 2020, 27, 2522–2565. [Google Scholar] [CrossRef]
- Kumari, H.; Sonia; Suman; Ranga, R.; Chahal, S.; Devi, S.; Sharma, S.; Kumar, S.; Kumar, P.; Kumar, S.; et al. A Review on Photocatalysis Used for Wastewater Treatment: Dye Degradation; Springer International Publishing: New York, NY, USA, 2023; Volume 234, ISBN 0123456789. [Google Scholar]
- Hari, D.P.; Hering, T.; König, B. Visible Light Photocatalytic Synthesis of Benzothiophenes. Org. Lett. 2012, 14, 5334–5337. [Google Scholar] [CrossRef]
- Song, L.; Wang, W.; Yue, J.-P.; Jiang, Y.-X.; Wei, M.-K.; Zhang, H.-P.; Yan, S.-S.; Liao, L.-L.; Yu, D. Visible-Light Photocatalytic Di- and Hydro-Carboxylation of Unactivated Alkenes with CO2. Nat. Catal. 2022, 5, 832–838. [Google Scholar] [CrossRef]
- Dissanayake, K.C.; Ebukuyo, P.O.; Dhahir, Y.J.; Wheeler, K.; He, H. A BODIPY-Functionalized PdII Photoredox Catalyst for Sonogashira C-C Cross-Coupling Reactions. Chem. Commun. 2019, 55, 4973–4976. [Google Scholar] [CrossRef] [PubMed]
- Zhou, Z.; Yang, J.; Yang, B.; Han, Y.; Zhu, L.; Xue, X.S.; Zhu, F. Photoredox Nickel-Catalysed Stille Cross-Coupling Reactions. Angew. Chem. Int. Ed. 2023, 62, e202314832. [Google Scholar] [CrossRef] [PubMed]
- Zhou, C.; Lei, T.; Wei, X.Z.; Ye, C.; Liu, Z.; Chen, B.; Tung, C.H.; Wu, L.Z. Metal-Free, Redox-Neutral, Site-Selective Access to Heteroarylamine via Direct Radical−radical Cross-Coupling Powered by Visible Light Photocatalysis. J. Am. Chem. Soc. 2020, 142, 16805–16813. [Google Scholar] [CrossRef] [PubMed]
- Jati, A.; Dey, K.; Nurhuda, M.; Addicoat, M.A.; Banerjee, R.; Maji, B. Dual Metalation in a Two-Dimensional Covalent Organic Framework for Photocatalytic C-N Cross-Coupling Reactions. J. Am. Chem. Soc. 2022, 144, 7822–7833. [Google Scholar] [CrossRef] [PubMed]
- Zavalishin, M.N.; Gamov, G.A.; Kiselev, A.N.; Nikitin, G.A. A Fluorescein Conjugate as Colorimetric and Red-Emissive Fluorescence Chemosensor for Selective Recognition Cu2+ Ions. Opt. Mater. 2024, 153, 115580. [Google Scholar] [CrossRef]
- Wagay, S.A.; Alam, M.; Ali, R. Synthesis of Two Novel Fluorescein Appended Dipyromethanes (DPMs): Naked-Eye Chemosensors for Fluoride, Acetate and Phosphate Anions. J. Mol. Struct. 2023, 1291, 135982. [Google Scholar] [CrossRef]
- Keerthana, S.; Sam, B.; George, L.; Sudhakar, Y.N.; Varghese, A. Fluorescein Based Fluorescence Sensors for the Selective Sensing of Various Analytes. J. Fluoresc. 2021, 31, 1251–1276. [Google Scholar] [CrossRef]
- Li, Z.; Song, H.; Guo, R.; Zuo, M.; Hou, C.; Sun, S.; He, X.; Sun, Z.; Chu, W. Visible-Light-Induced Condensation Cyclization to Synthesize Benzimidazoles Using Fluorescein as a Photocatalyst. Green Chem. 2019, 21, 3602–3605. [Google Scholar] [CrossRef]
- Tu, X.P.; Wei, L.L.; Zhang, K.X.; Chen, Y.; Zhou, M.D. Synthesis of Fluorescein-Containing Polymeric Heterogeneous Photocatalyst and Its Applications. Tetrahedron 2024, 160, 134028. [Google Scholar] [CrossRef]
- Sun, W.; Chen, H.; Wang, K.; Wang, X.; Lei, M.; Liu, C.; Zhong, Q. Synthesis of Benzothiazoles Using Fluorescein as an Efficient Photocatalyst under Visible Light. Mol. Catal. 2021, 510, 111693. [Google Scholar] [CrossRef]
- Wang, Y.; Li, J.; Zhou, Z.; Zhou, R.; Sun, Q.; Wu, P. Halo-Fluorescein for Photodynamic Bacteria Inactivation in Extremely Acidic Conditions. Nat. Commun. 2021, 12, 526. [Google Scholar] [CrossRef] [PubMed]
- Pinto, A.; Llanos, A.; Gomila, R.M.; Frontera, A.; Rodríguez, L. Ligand and Gold(I) Fluorescein-AIEgens as Photosensitizers in Solution and Doped Polymers. Inorg. Chem. 2023, 62, 7131–7140. [Google Scholar] [CrossRef] [PubMed]
- Gaigalas, A. Measurement of the Fluorescence Quantum Yield Using a Spectrometer With an Integrating Sphere Detector. J. Res. Natl. Inst. Stand. Technol. 2008, 113, 17–28. [Google Scholar] [CrossRef] [PubMed]
- Rajasekar, M. Recent Development in Fluorescein Derivatives. J. Mol. Struct. 2021, 1224, 129085. [Google Scholar] [CrossRef]
- Russo, C.; Brunelli, F.; Tron, G.C.; Giustiniano, M. Visible-Light Photoredox Catalysis in Water. J. Org. Chem. 2023, 88, 6284–6293. [Google Scholar] [CrossRef]
- Cortes-Clerget, M.; Yu, J.; Kincaid, J.R.A.; Walde, P.; Gallou, F.; Lipshutz, B.H. Water as the Reaction Medium in Organic Chemistry: From Our Worst Enemy to Our Best Friend. Chem. Sci. 2021, 12, 4237–4266. [Google Scholar] [CrossRef]
- Pallini, F.; Sangalli, E.; Sassi, M.; Roth, P.M.C.; Mattiello, S.; Beverina, L. Selective Photoredox Direct Arylations of Aryl Bromides in Water in a Microfluidic Reactor. Org. Biomol. Chem. 2021, 19, 3016–3023. [Google Scholar] [CrossRef]
- Artemenko, A.A.; Burilov, V.A.; Solov’eva, S.E.; Antipin, I.S. Covalent and Supramolecular Conjugates of Calixarenes with Some Fluorescent Dyes of the Xanthene Series. Colloid J. 2022, 84, 563–580. [Google Scholar] [CrossRef]
- Sheldrick, G.M. SHELXT—Integrated Space-Group and Crystal-Structure Determination. Acta Crystallogr. Sect. A Found. Adv. 2015, 71, 3–8. [Google Scholar] [CrossRef]
- Sheldrick, G. A Short History of ShelX. Acta Crystallogr. A 2008, 64, 112–122. [Google Scholar] [CrossRef]
- Macrae, C.; Edgington, P.; McCabe, P.; Pidcock, E.; Shields, G.; Taylor, R.; Towler, M.; van de Streek, J. Mercury: Visualization and Analysis of Crystal Structures. J. Appl. Crystallogr. 2006, 39, 453–457. [Google Scholar] [CrossRef]
- Berscheid, R.; Nieger, M.; Vögtle, F. Konkave Farbstoffmoleküle Vom Triphenylmethan-Typ. Chem. Ber. 1992, 125, 2539–2552. [Google Scholar] [CrossRef]
- Xiang, Y.; He, B.; Li, X.; Zhu, Q. The Design and Synthesis of Novel “Turn-on” Fluorescent Probes to Visualize Monoamine Oxidase-B in Living Cells. RSC Adv. 2013, 3, 4876–4879. [Google Scholar] [CrossRef]
- Du, L.; Risinger, A.L.; Yee, S.S.; Ola, A.R.B.; Zammiello, C.L.; Cichewicz, R.H.; Mooberry, S.L. Identification of C-6 as a New Site for Linker Conjugation to the Taccalonolide Microtubule Stabilizers. J. Nat. Prod. 2019, 82, 583–588. [Google Scholar] [CrossRef] [PubMed]
- Carboni, B.; Benalil, A.; Vaultier, M. Aliphatic Amino Azides as Key Building Blocks for Efficient Polyamine Syntheses. J. Org. Chem. 1993, 58, 3736–3741. [Google Scholar] [CrossRef]
- Cheptea, C.; Zara, A.; Ambrosi, E.; Morosanu, A.C.; Diaconu, M.; Miron, M.; Dorohoi, D.O.; Dimitriu, D.G. On the Solvatochromism of Fluorescein Sodium. Symmetry 2024, 16, 673. [Google Scholar] [CrossRef]
- Lakowicz, J.R. Principles of Fluorescence Spectroscopy, 3rd Principles of Fluorescence Spectroscopy, 3rd ed.; Springer: New York, NY, USA, 2006; ISBN 0387312781. [Google Scholar]
- Shen, J.; Snook, R.D. Thermal Lens Measurement of Absolute Quantum Yields Using Quenched Fluorescent Samples as References. Chem. Phys. Lett. 1989, 155, 583–586. [Google Scholar] [CrossRef]
- Kandi, D.; Mansingh, S.; Behera, A.; Parida, K. Calculation of Relative Fluorescence Quantum Yield and Urbach Energy of Colloidal CdS QDs in Various Easily Accessible Solvents. J. Lumin. 2021, 231, 117792. [Google Scholar] [CrossRef]
- Piñeiro, L.; Novo, M.; Al-Soufi, W. Fluorescence Emission of Pyrene in Surfactant Solutions. Adv. Colloid Interface Sci. 2015, 215, 1–12. [Google Scholar] [CrossRef]
- Vasileva, L.; Gaynanova, G.; Valeeva, F.; Romanova, E.; Pavlov, R.; Kuznetsov, D.; Belyaev, G.; Zueva, I.; Lyubina, A.; Voloshina, A.; et al. Synthesis, Properties, and Biomedical Application of Dicationic Gemini Surfactants with Dodecane Spacer and Carbamate Fragments. Int. J. Mol. Sci. 2023, 24, 12312. [Google Scholar] [CrossRef]
- Dumur, F.; Lalevée, J. Recent Advances in Photoredox Catalysts. Catalysts 2024, 14, 26. [Google Scholar] [CrossRef]
- Romero, N.A.; Nicewicz, D.A. Organic Photoredox Catalysis. Chem. Rev. 2016, 116, 10075–10166. [Google Scholar] [CrossRef] [PubMed]
- Franz, J.F.; Kraus, W.B.; Zeitler, K. No Photocatalyst Required-Versatile, Visible Light Mediated Transformations with Polyhalomethanes. Chem. Commun. 2015, 51, 8280–8283. [Google Scholar] [CrossRef] [PubMed]
- Choi, W.O.; Jung, Y.J.; Kim, M.; Kim, H.; Li, J.; Ko, H.; Lee, H.I.; Lee, H.J.; Lee, J.K. Substituent Effects of Fluorescein on Photoredox Initiating Performance under Visible Light. ACS Omega 2023, 8, 40277–40286. [Google Scholar] [CrossRef]
- Singh, P.; Yadav, R.K.; Kim, T.W.; Kumar, A.; Dwivedi, D.K. Chitosan-Based Fluorescein Isothiocyanate Film as a Highly Efficient Metal-Free Photocatalyst for Solar-Light-Mediated Direct C-H Arylation. Int. J. Energy Res. 2021, 45, 5964–5973. [Google Scholar] [CrossRef]
- Hari, D.P.; König, B. Eosin Y Catalyzed Visible Light Oxidative C–C and C–P Bond Formation. Org. Lett. 2011, 13, 3852–3855. [Google Scholar] [CrossRef]
- Acharjee, A.; Rakshit, A.; Chowdhury, S.; Saha, B. Micelle Catalysed Conversion of ‘on Water’ Reactions into ‘in Water’ One. J. Mol. Liq. 2021, 321, 114897. [Google Scholar] [CrossRef]







| System | (Water with 1% DMF) |
|---|---|
| 10a | 16 |
| 10b | 5 |
| 11a | 18 |
| 11b | 24 |
| System | 10a | 10b | 11a | 11b |
|---|---|---|---|---|
| CAC, mM | 1.43 | 0.43 | 0.82 | 0.28 |
| d, nm | 165 ± 1 | 267 ± 25 | 171 ± 2 | 202 ± 12 |
| PDI | 0.244 ± 0.018 | 0.433 ± 0.029 | 0.429 ± 0.029 | 0.310 ± 0.052 |
| Entry | Catalyst | GCMS Conversion, % | 1H-NMR Yield, % |
|---|---|---|---|
| 1 | 10a * | 87 | 94 |
| 2 | 10a ** | 87 | 95 |
| 3 | 10a *** | 92 | 94 |
| 4 | 10b * | 86 | 93 |
| 5 | 10b ** | 86 | 94 |
| 6 | 10b *** | 84 | 90 |
| 7 | 11a * | 86 | 91 |
| 8 | 11a ** | 87 | 91 |
| 9 | 11a *** | 66 | 71 |
| 10 | 11b * | 84 | 87 |
| 11 | 11b ** | 87 | 89 |
| 12 | 11b *** | 95 | 100 |
| 13 | 11b **** | 1 | 0 |
| 14 | No catalyst | 0 | 0 |
| 15 | 1 (disodium salt) *** | 81 | 84 |
Disclaimer/Publisher’s Note: The statements, opinions and data contained in all publications are solely those of the individual author(s) and contributor(s) and not of MDPI and/or the editor(s). MDPI and/or the editor(s) disclaim responsibility for any injury to people or property resulting from any ideas, methods, instructions or products referred to in the content. |
© 2024 by the authors. Licensee MDPI, Basel, Switzerland. This article is an open access article distributed under the terms and conditions of the Creative Commons Attribution (CC BY) license (https://creativecommons.org/licenses/by/4.0/).
Share and Cite
Artemenko, A.; Sultanova, E.; Mironova, D.; Akhatova, A.; Bondareva, E.; Islamov, D.; Usachev, K.; Solovieva, S.; Burilov, V.; Antipin, I. Amphiphilic Fluorescein Triazoles: Synthesis and Visible-Light Catalysis in Water. Organics 2024, 5, 346-360. https://doi.org/10.3390/org5030018
Artemenko A, Sultanova E, Mironova D, Akhatova A, Bondareva E, Islamov D, Usachev K, Solovieva S, Burilov V, Antipin I. Amphiphilic Fluorescein Triazoles: Synthesis and Visible-Light Catalysis in Water. Organics. 2024; 5(3):346-360. https://doi.org/10.3390/org5030018
Chicago/Turabian StyleArtemenko, Alina, Elza Sultanova, Diana Mironova, Aliya Akhatova, Ekaterina Bondareva, Daut Islamov, Konstantin Usachev, Svetlana Solovieva, Vladimir Burilov, and Igor Antipin. 2024. "Amphiphilic Fluorescein Triazoles: Synthesis and Visible-Light Catalysis in Water" Organics 5, no. 3: 346-360. https://doi.org/10.3390/org5030018
APA StyleArtemenko, A., Sultanova, E., Mironova, D., Akhatova, A., Bondareva, E., Islamov, D., Usachev, K., Solovieva, S., Burilov, V., & Antipin, I. (2024). Amphiphilic Fluorescein Triazoles: Synthesis and Visible-Light Catalysis in Water. Organics, 5(3), 346-360. https://doi.org/10.3390/org5030018

