A Review on Barbituric Acid and Its Derivatives: Synthesis, Reactions, and Bio-Applications
Abstract
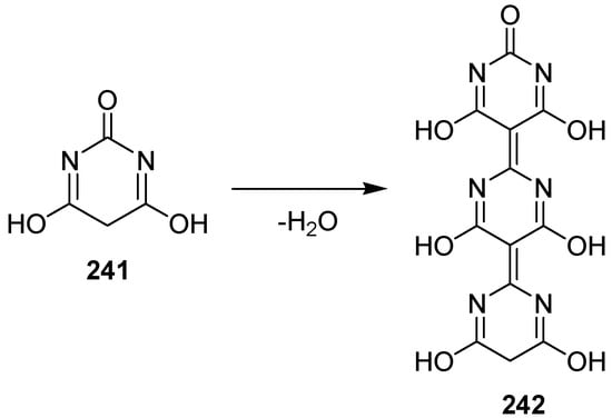
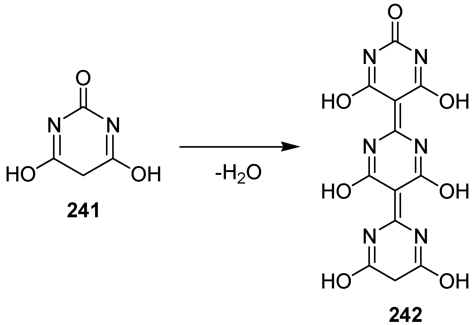
1. Introduction
2. Bio-Applications of Barbituric Acid and Its Derivatives
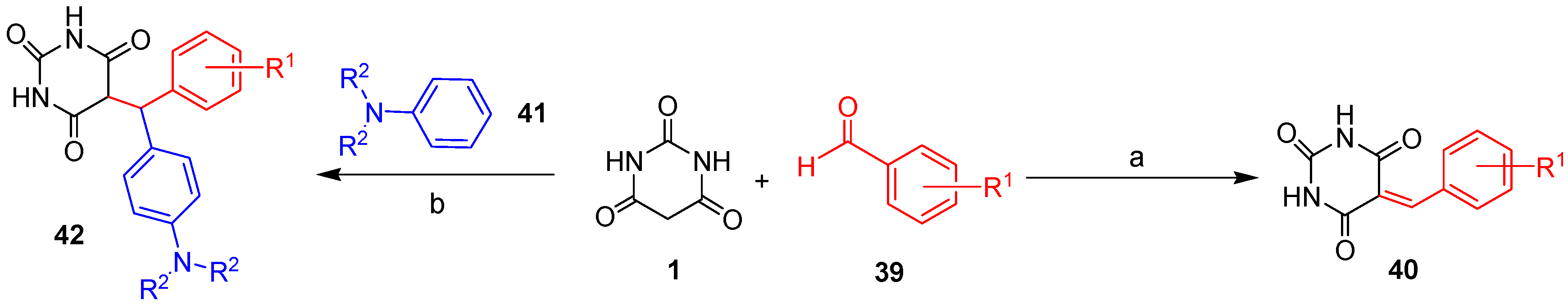
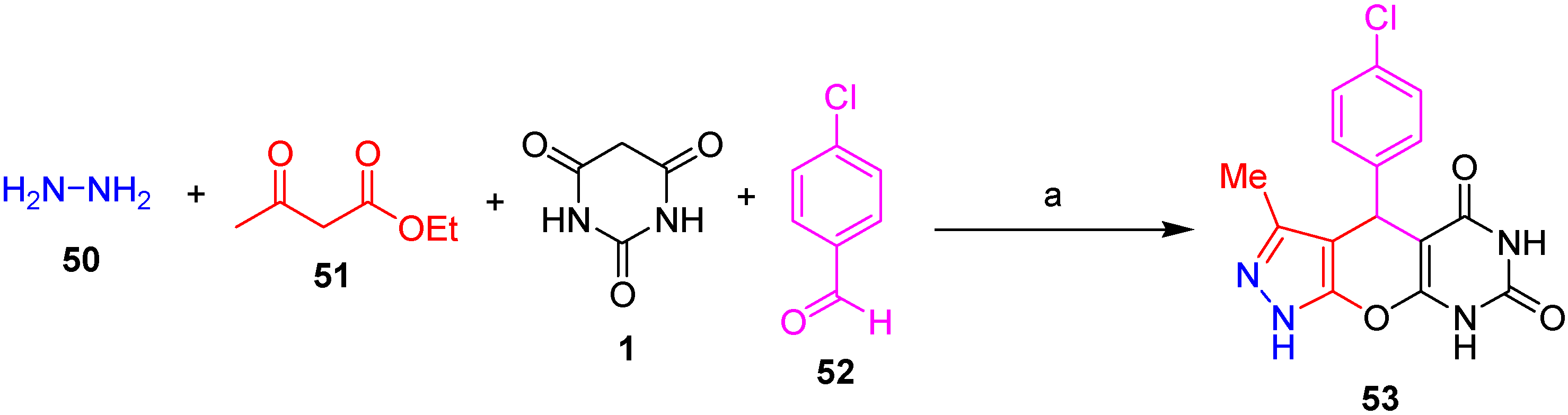
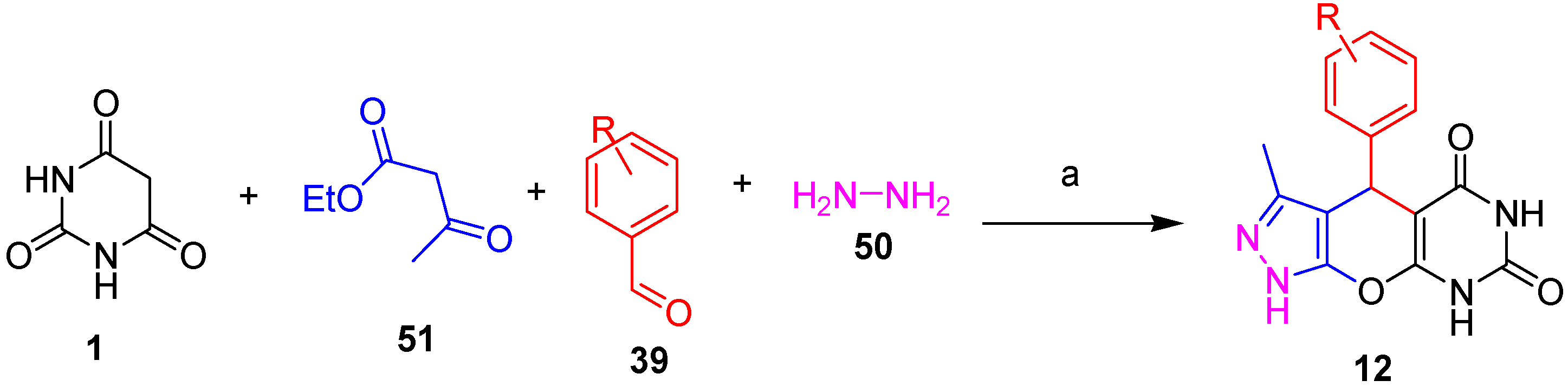
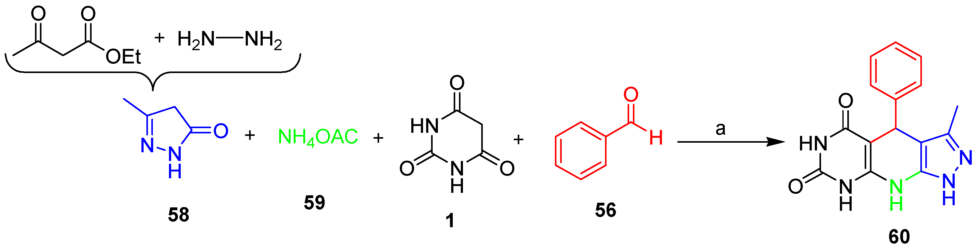
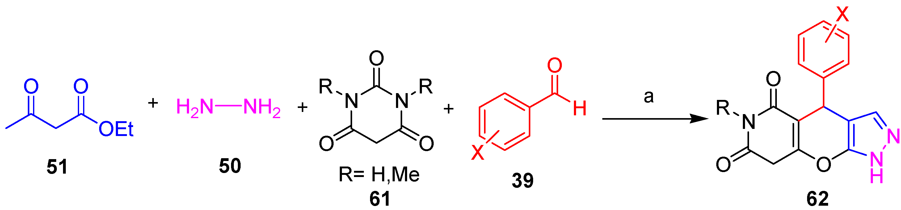
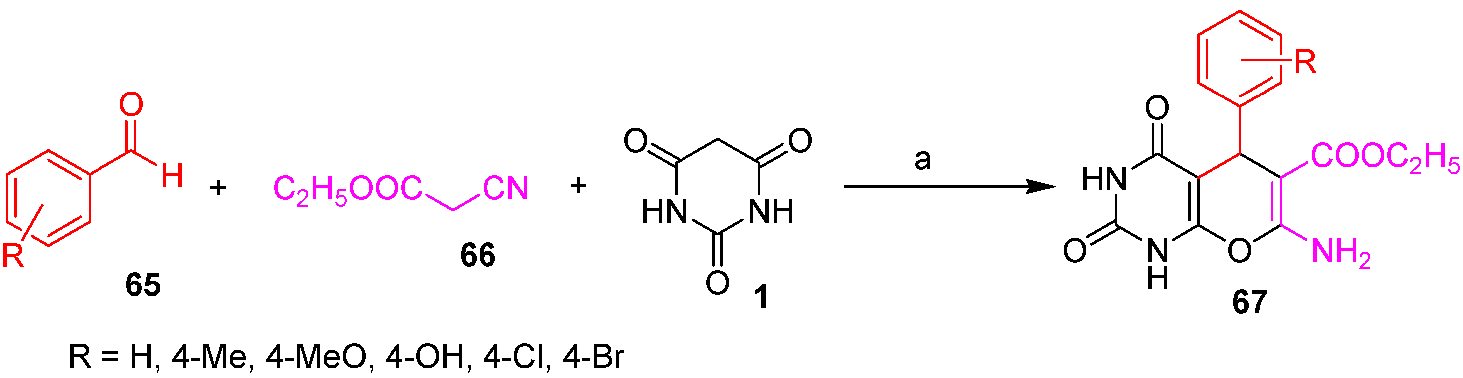
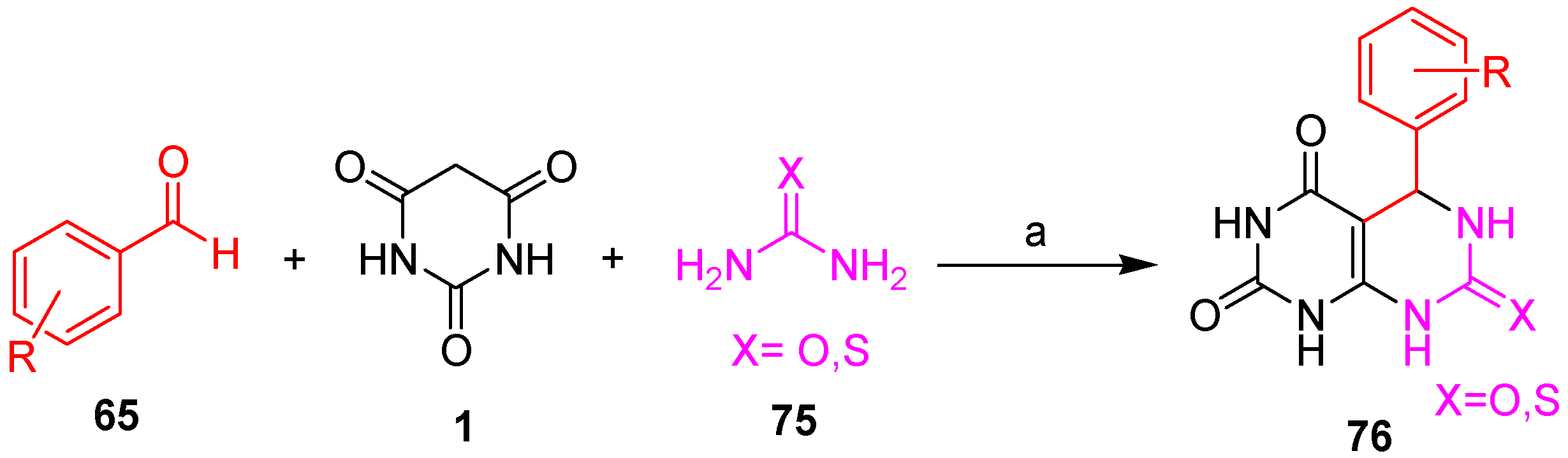
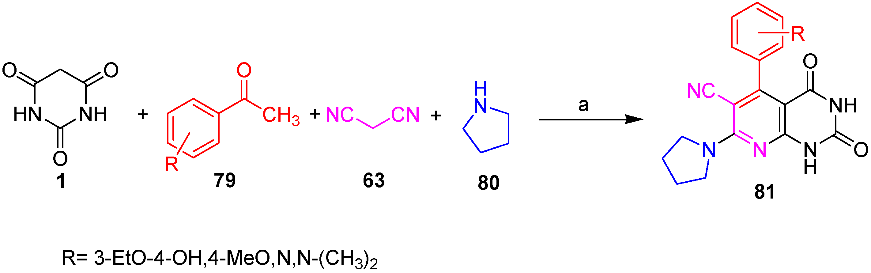
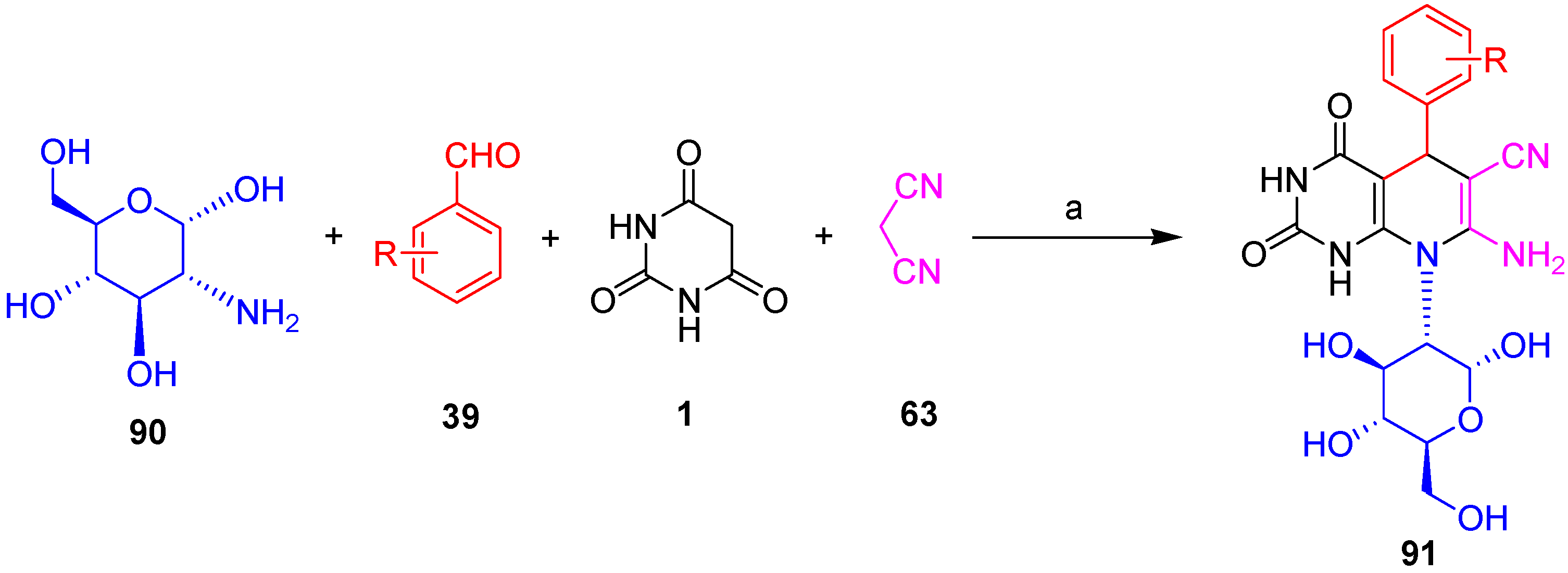
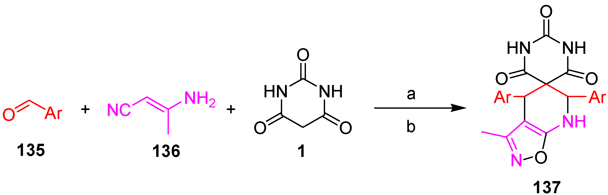
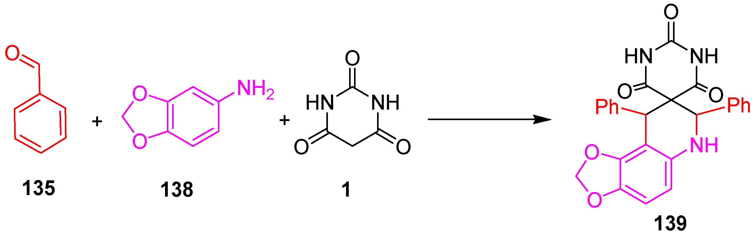
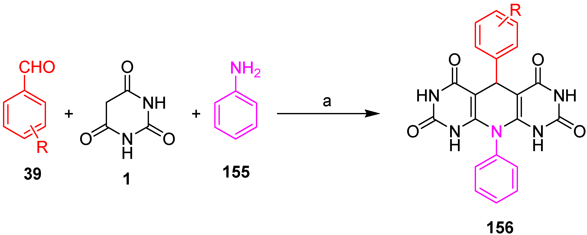
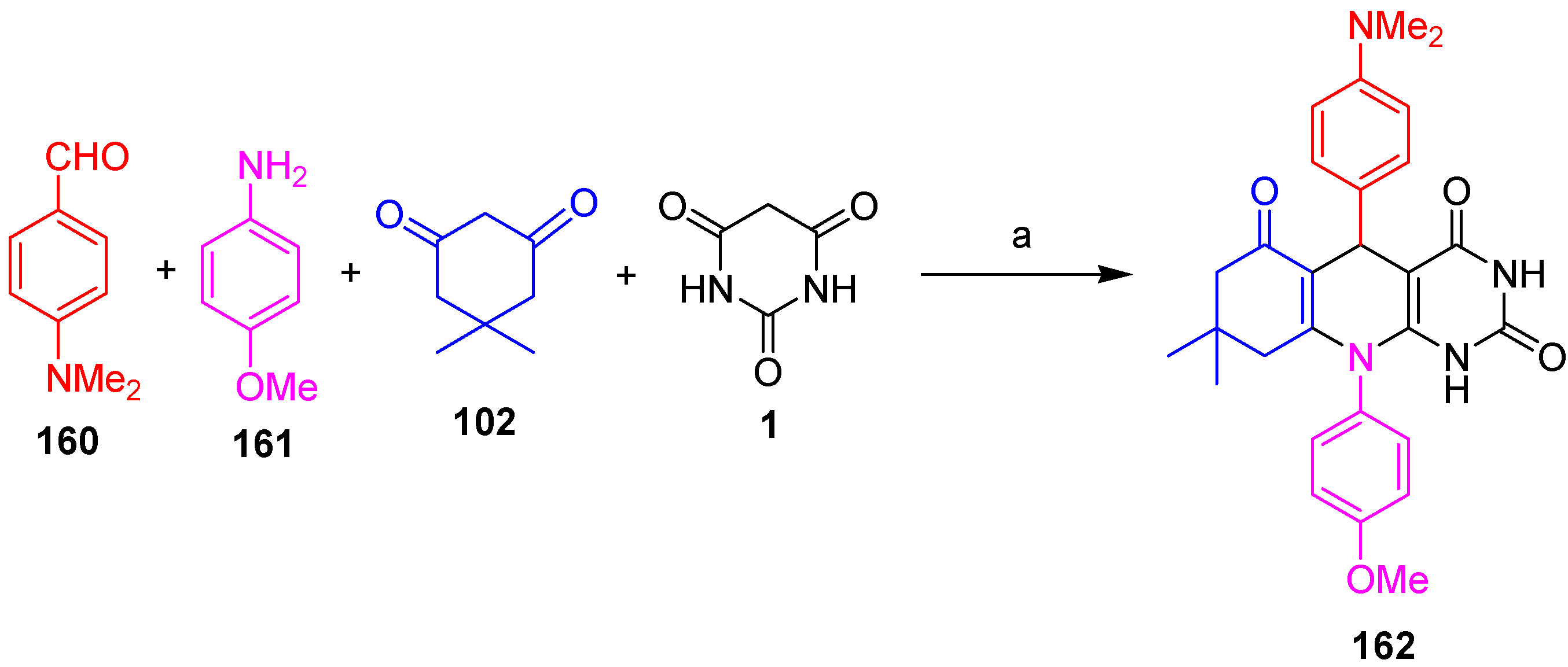
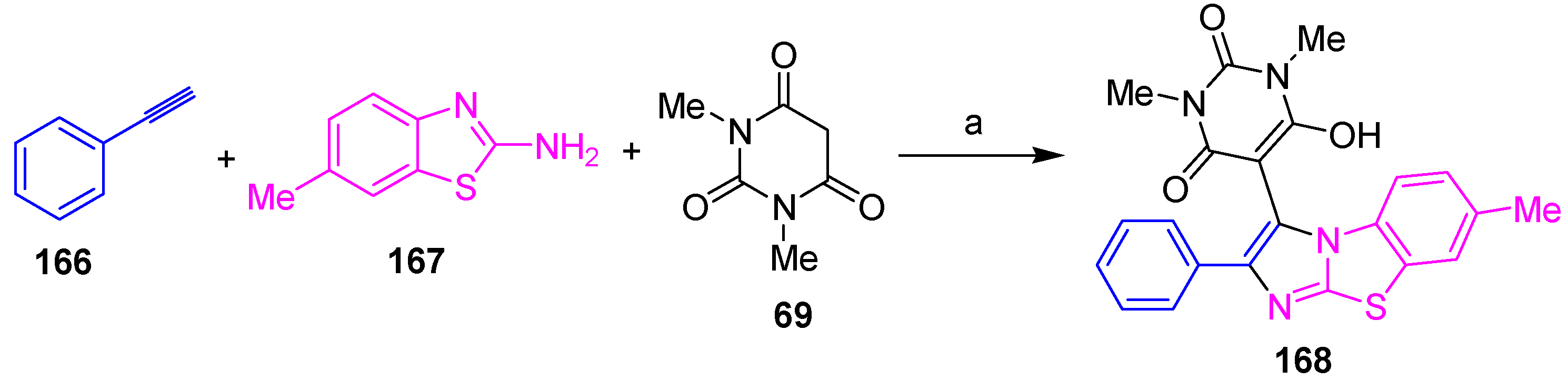
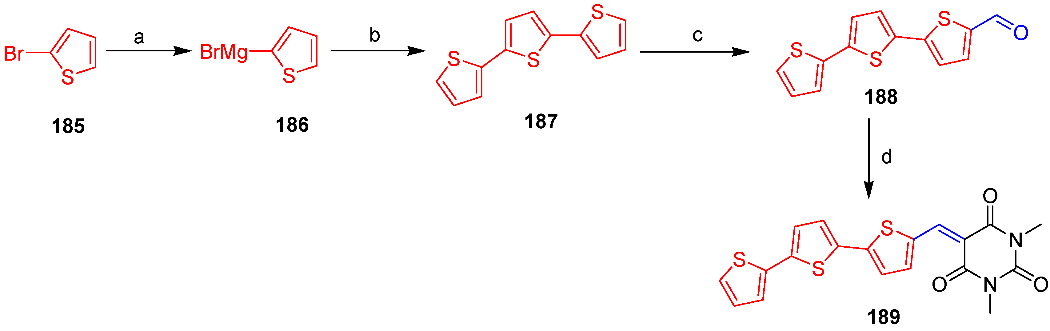
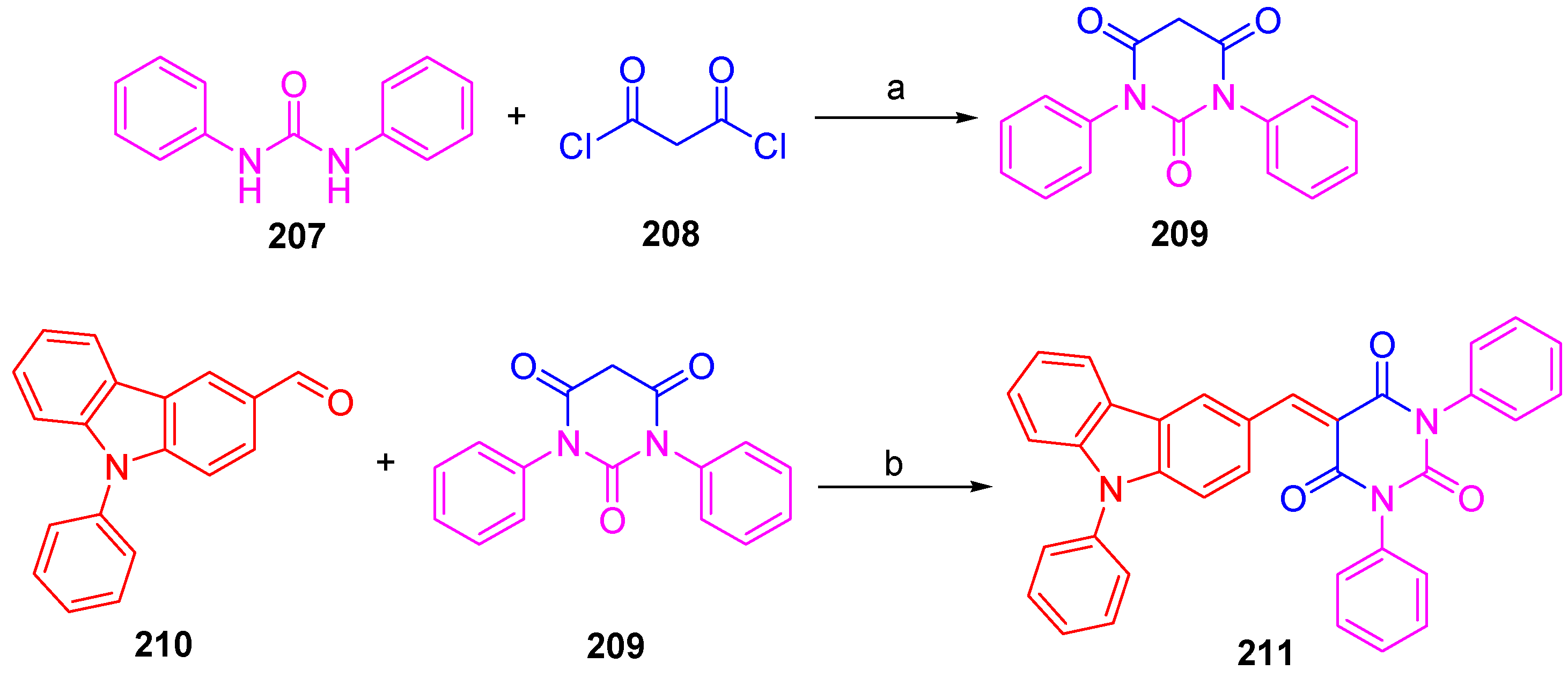
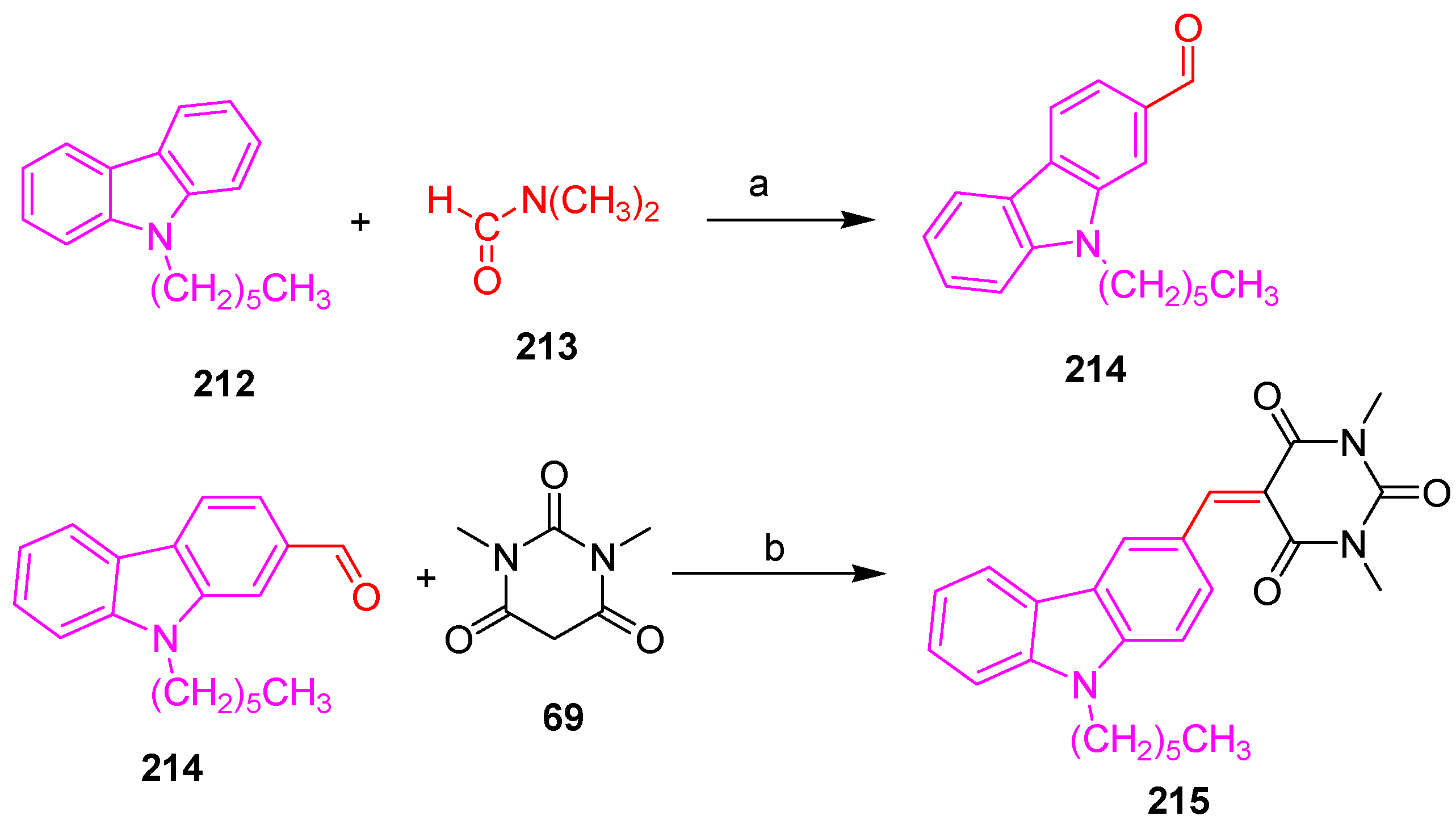
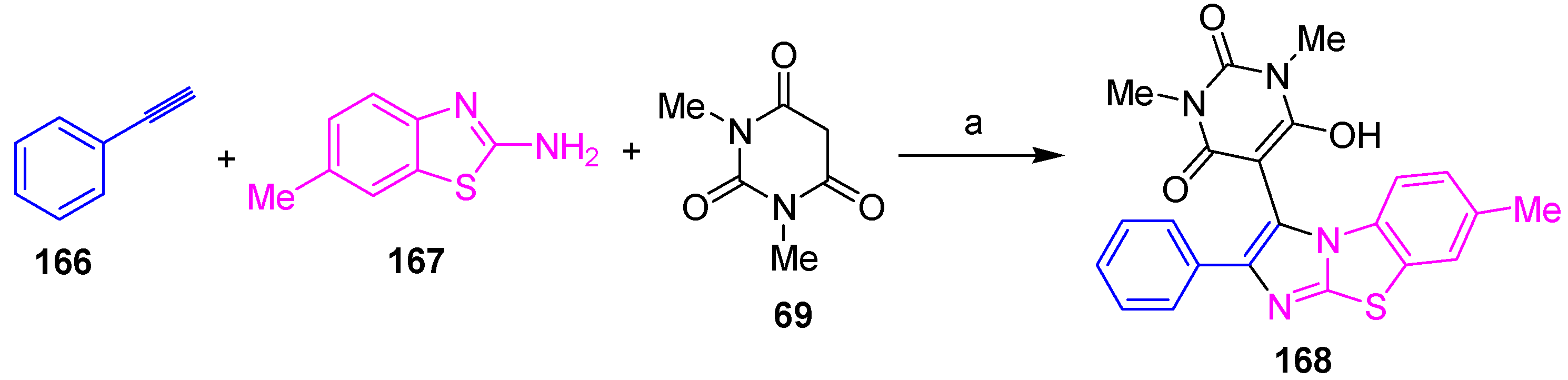
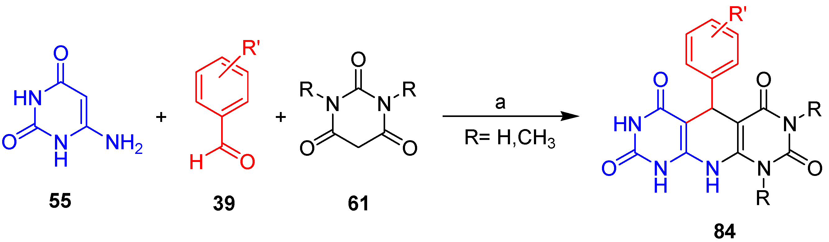
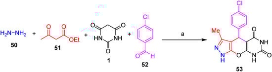
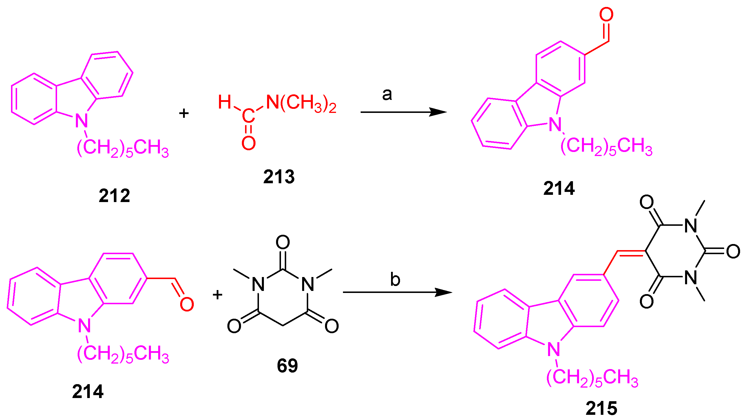
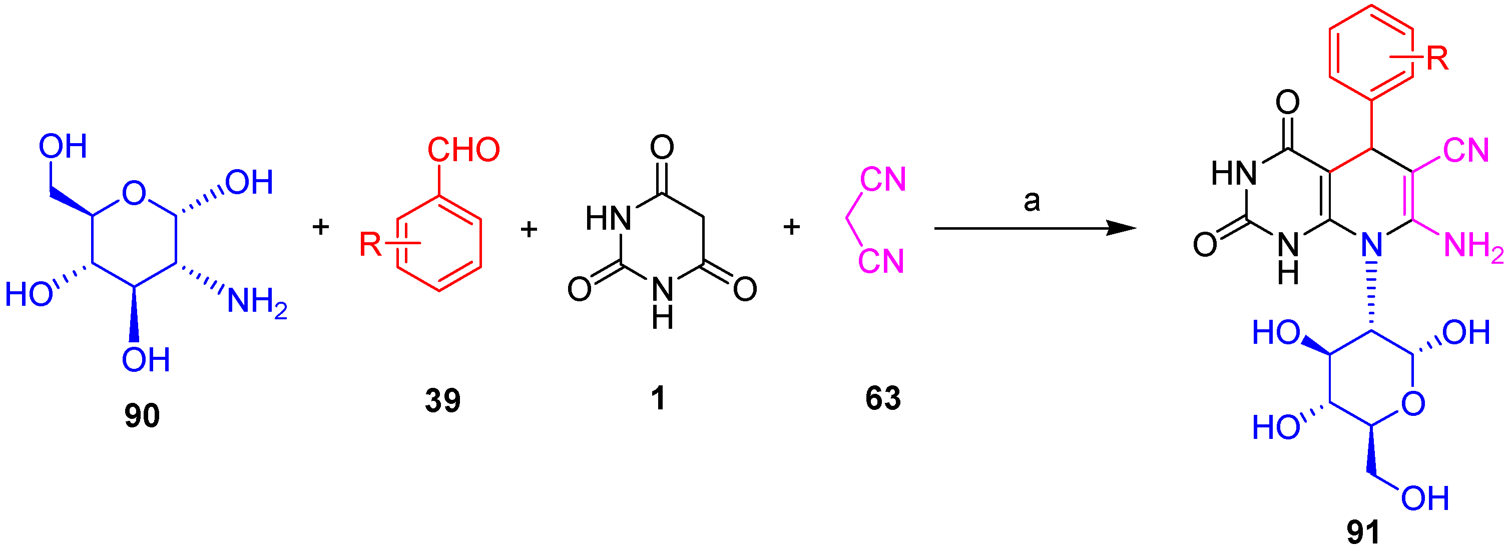
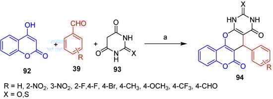
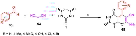
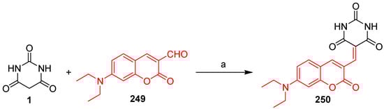
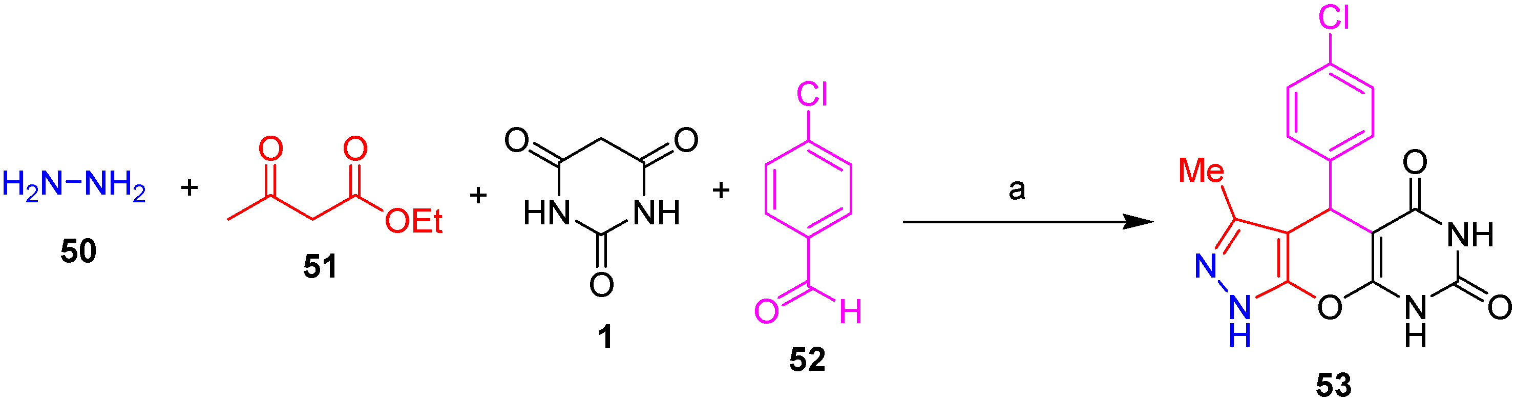
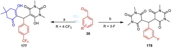
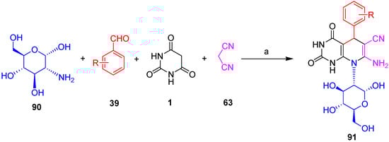
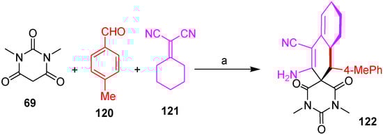
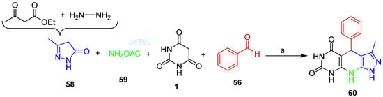
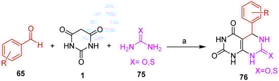
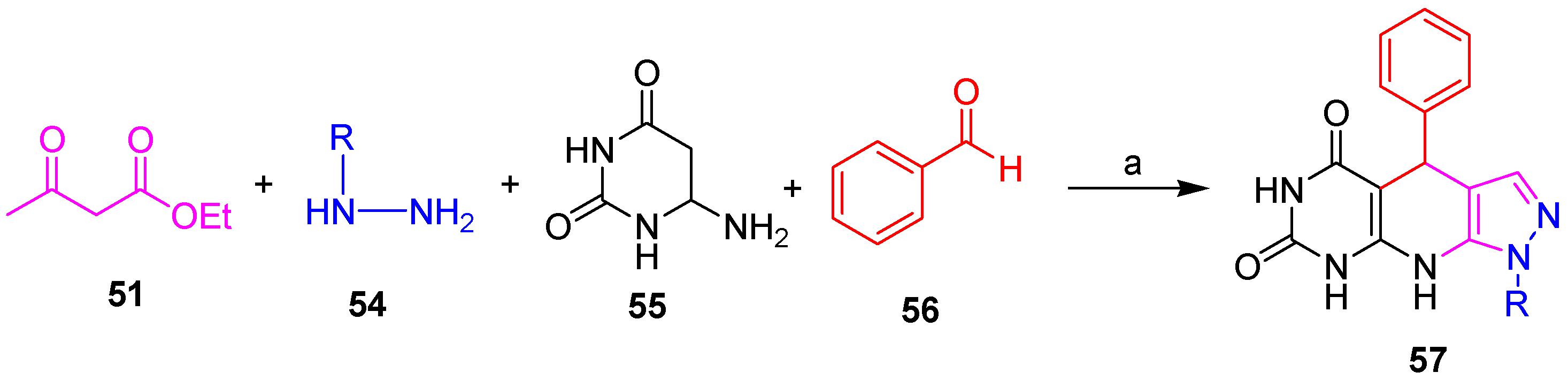
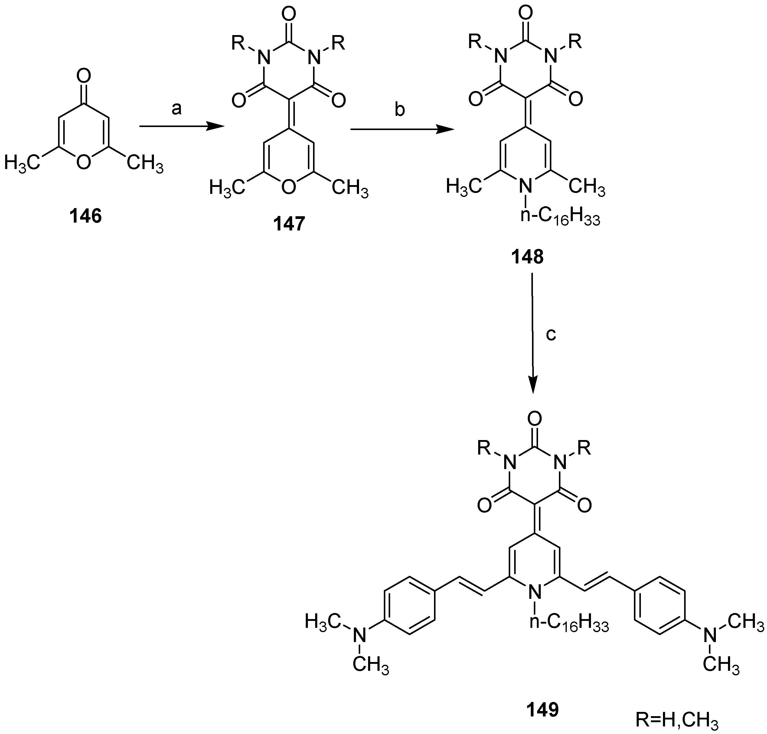
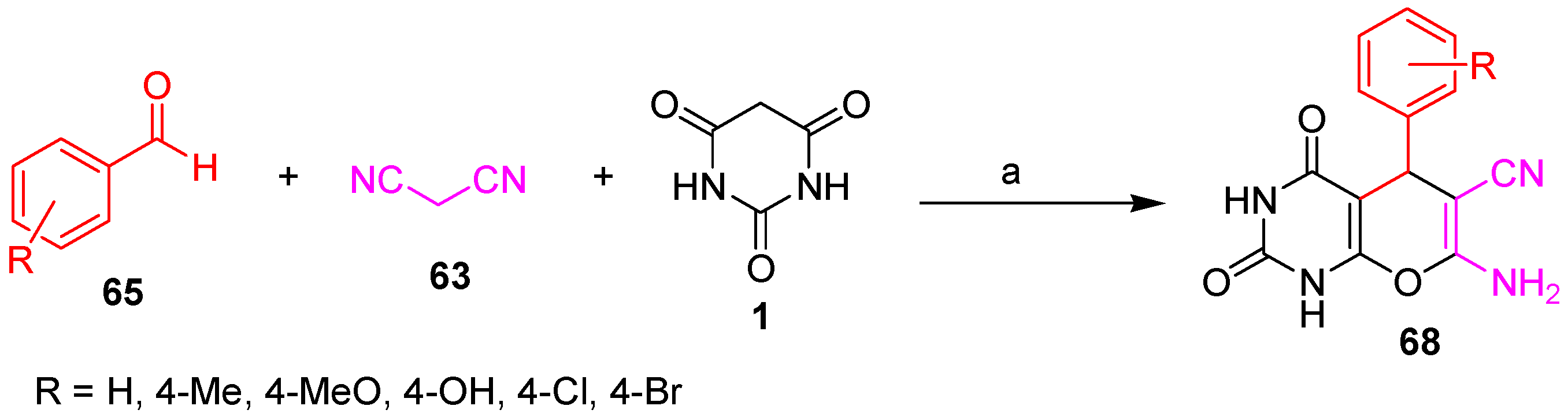
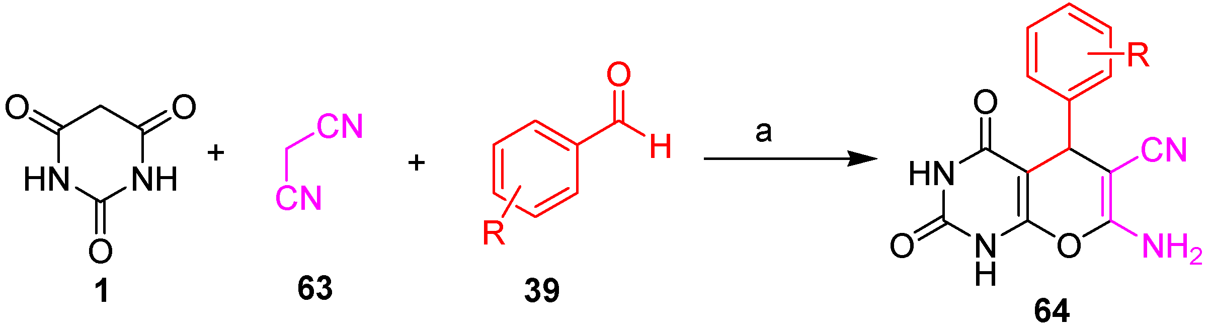
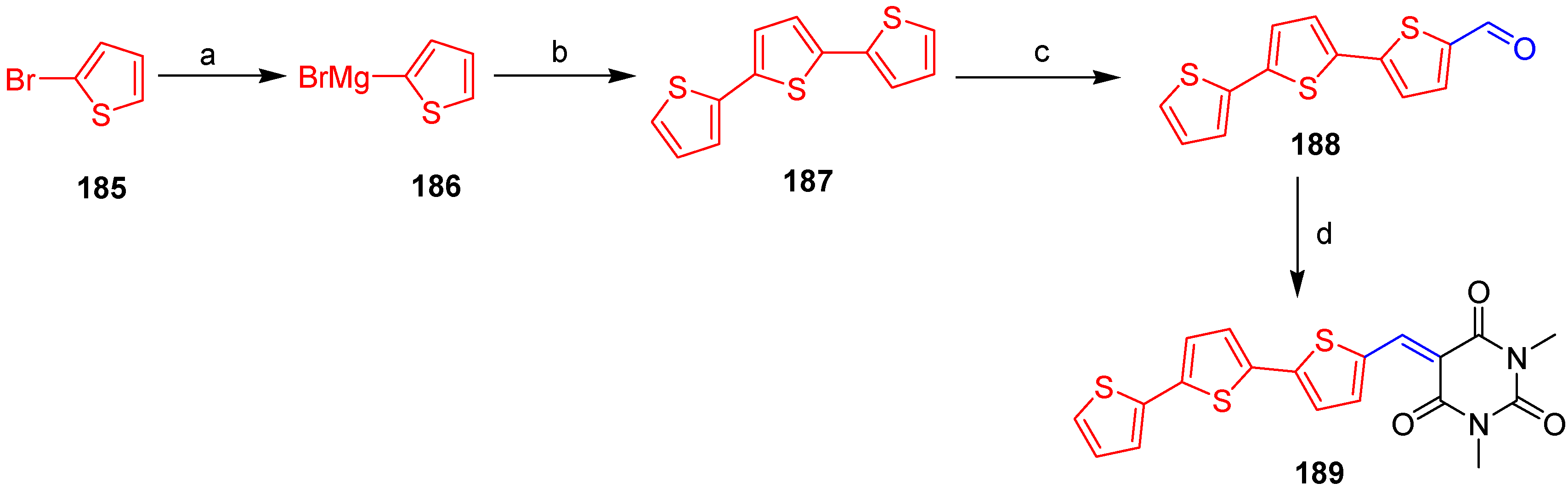
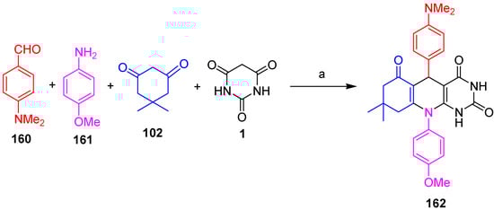
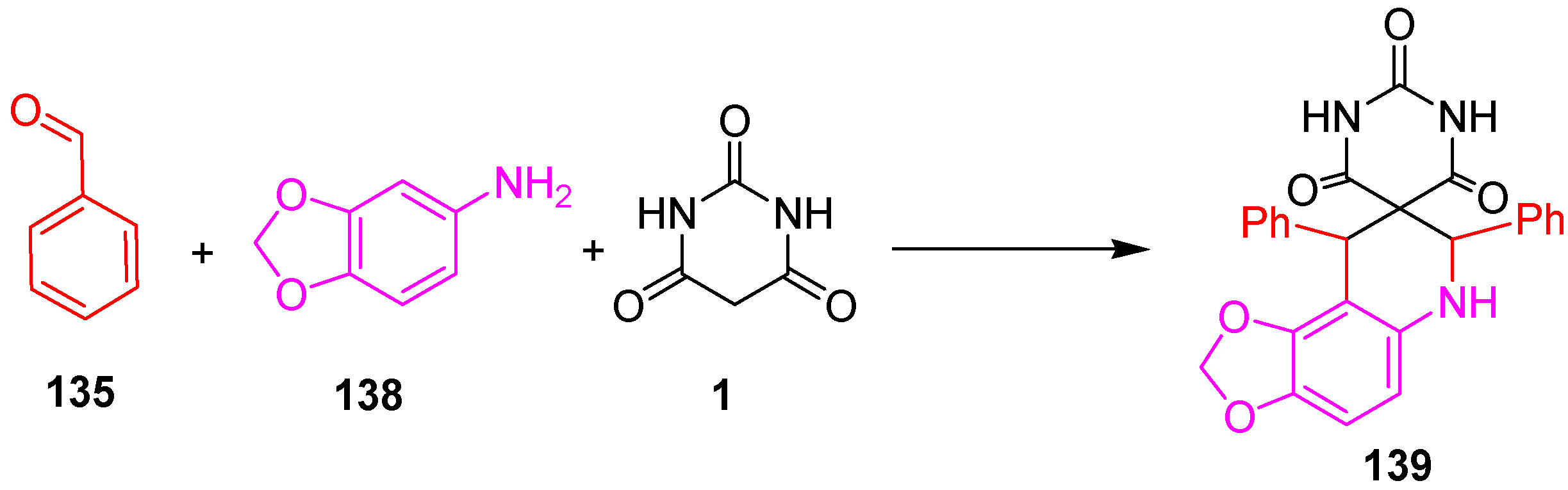
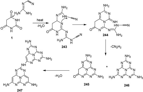
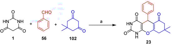
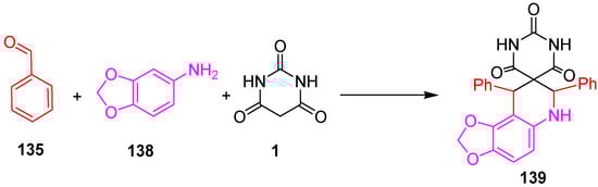
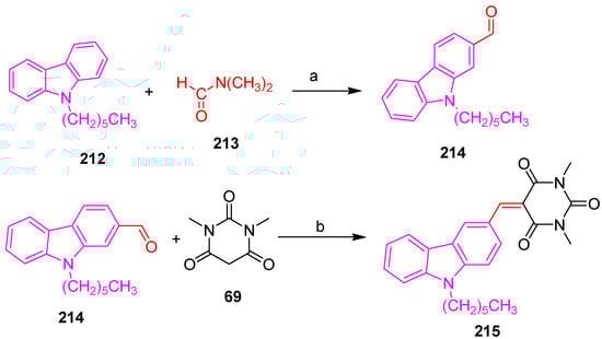
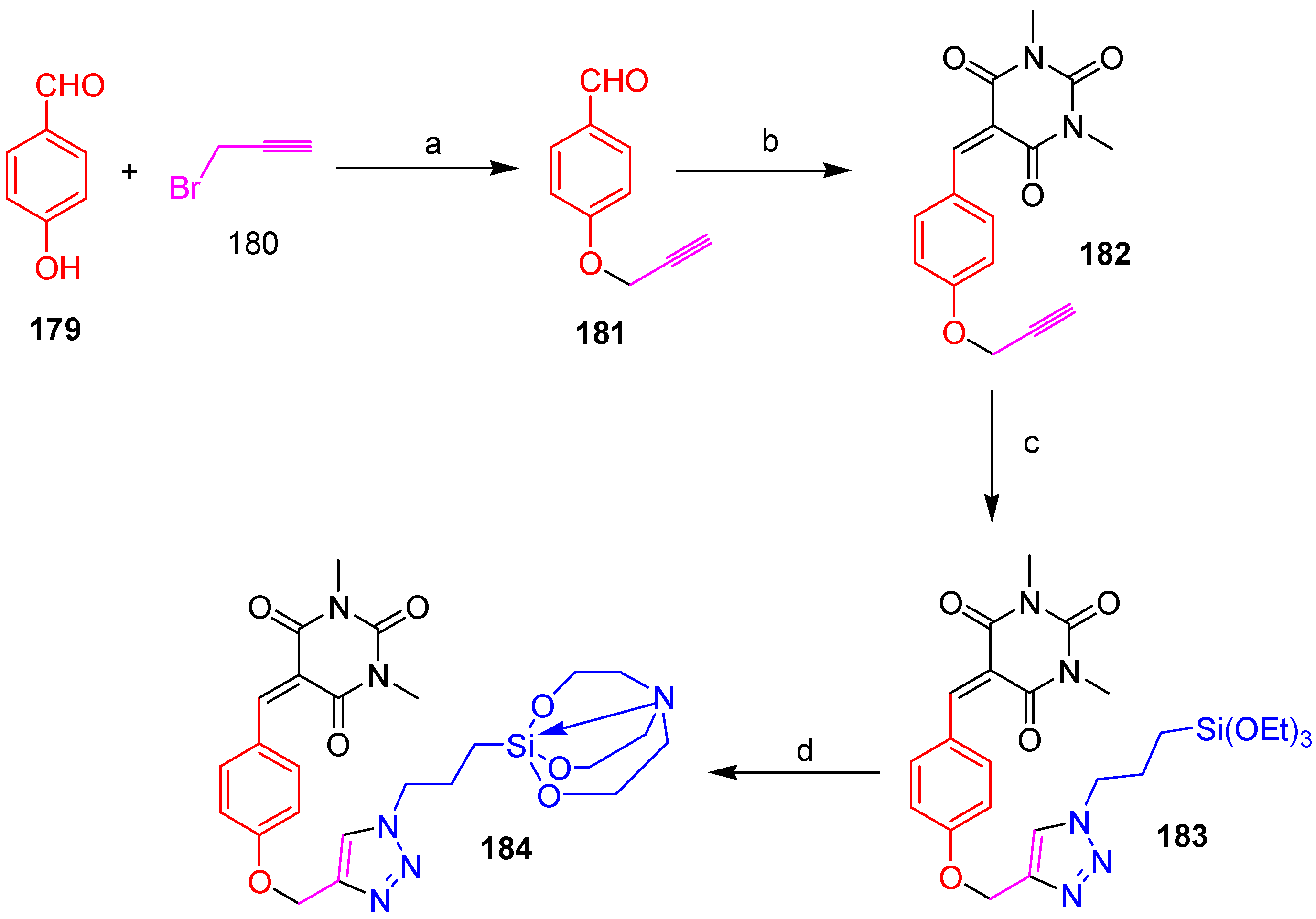
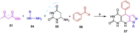
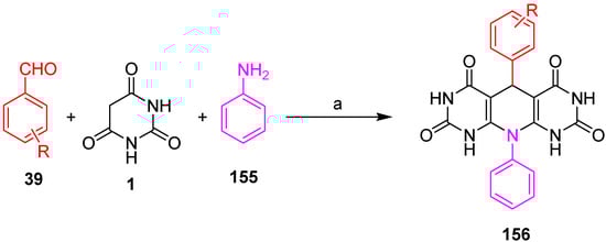
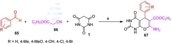
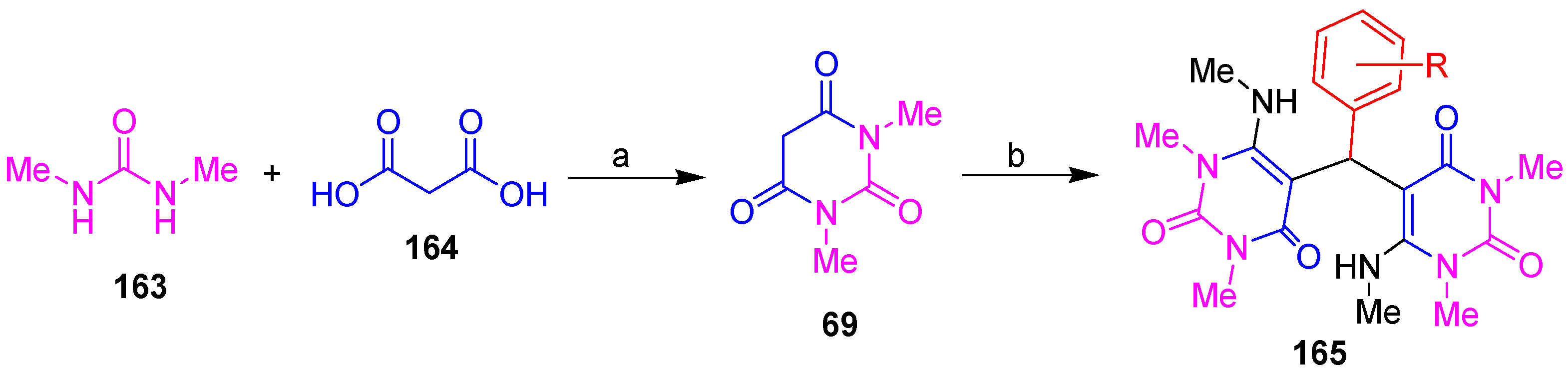
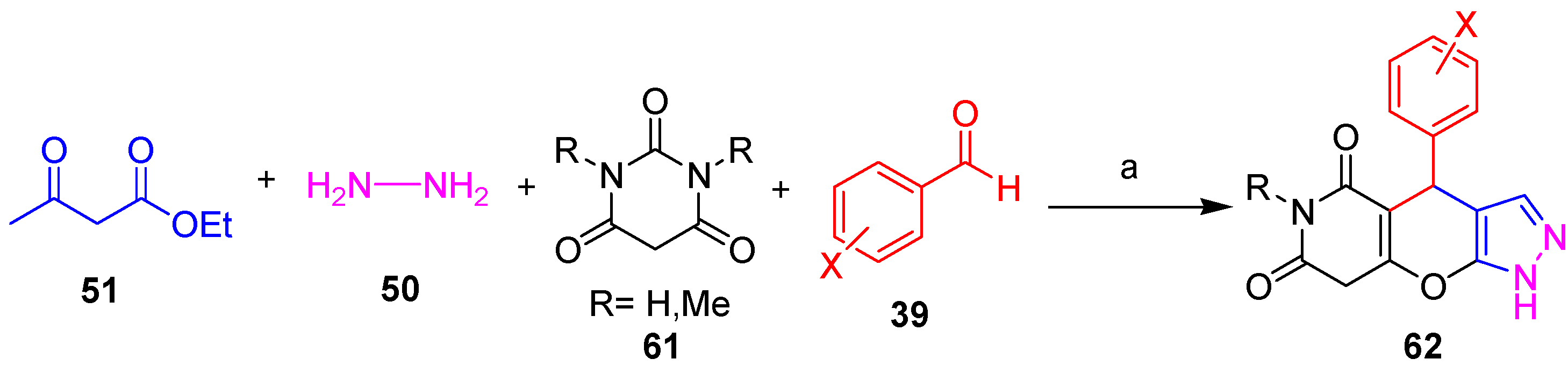
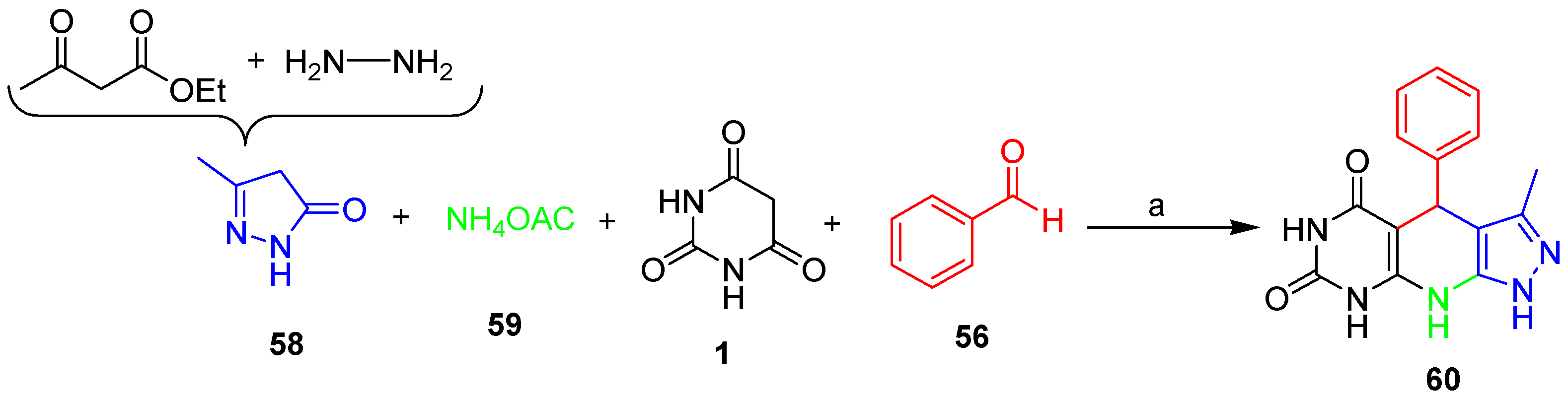
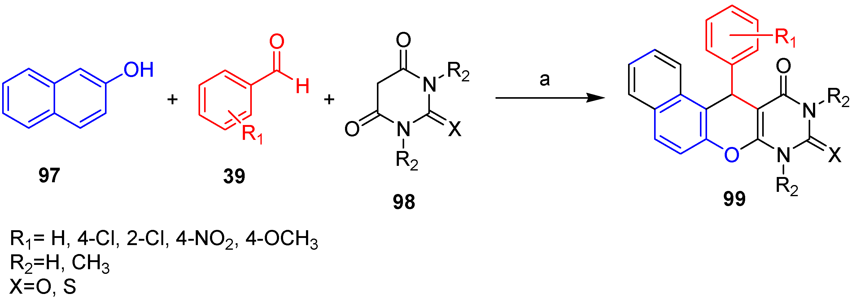
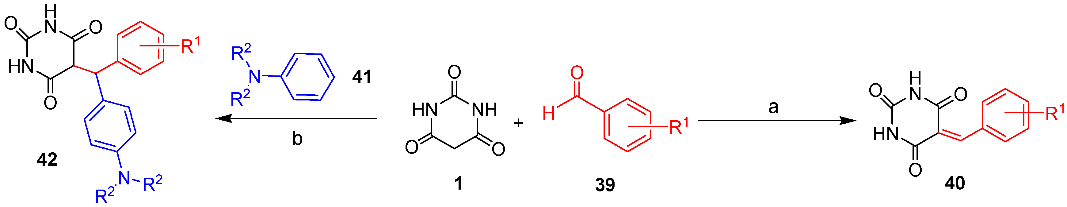
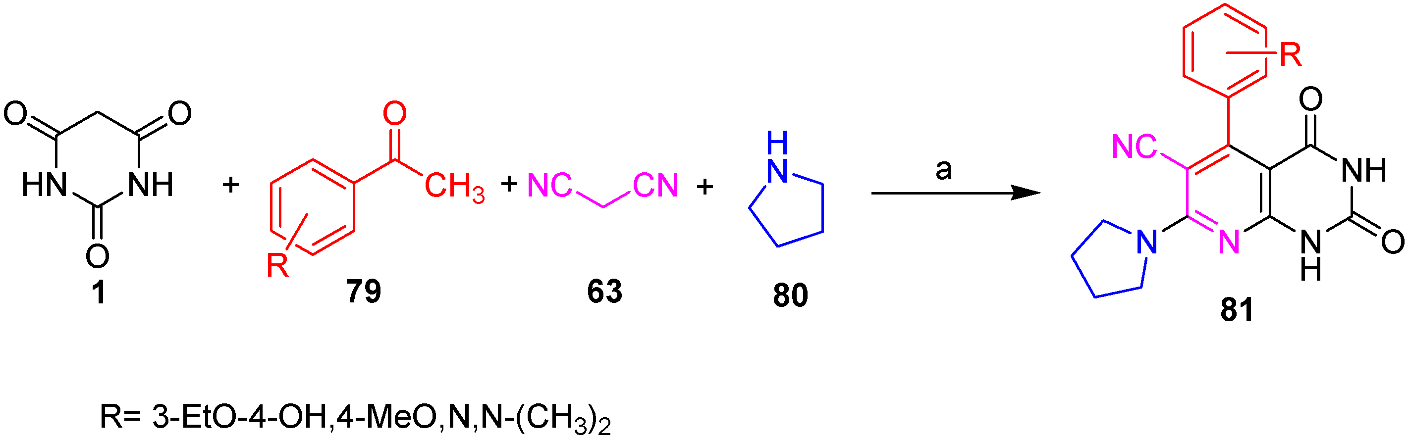
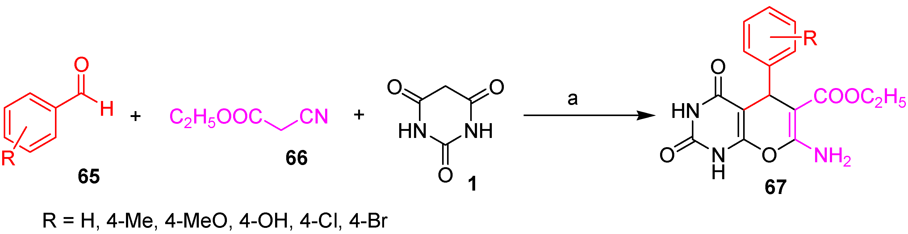
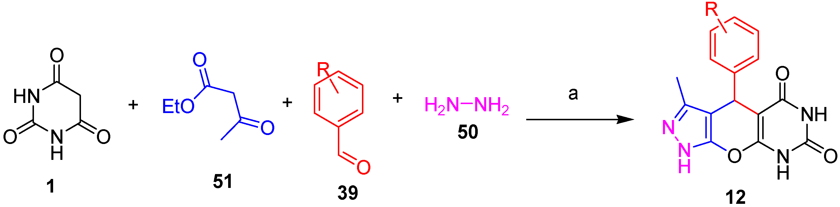
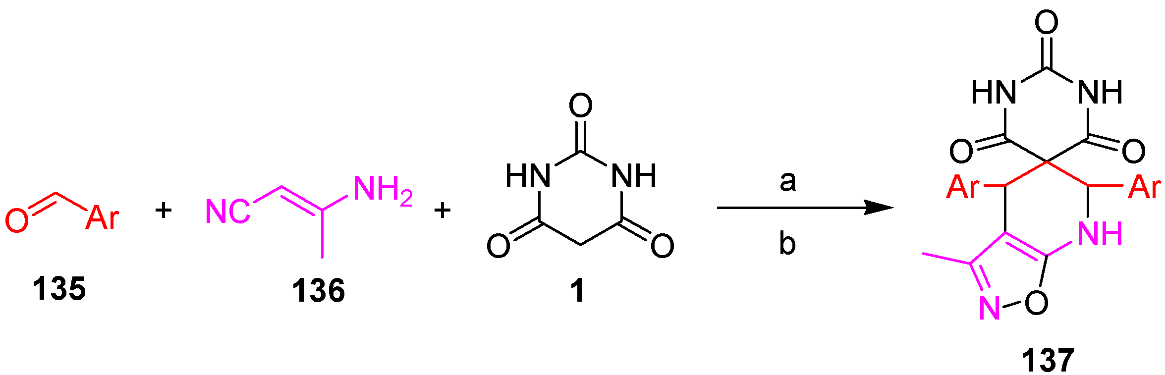
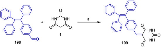
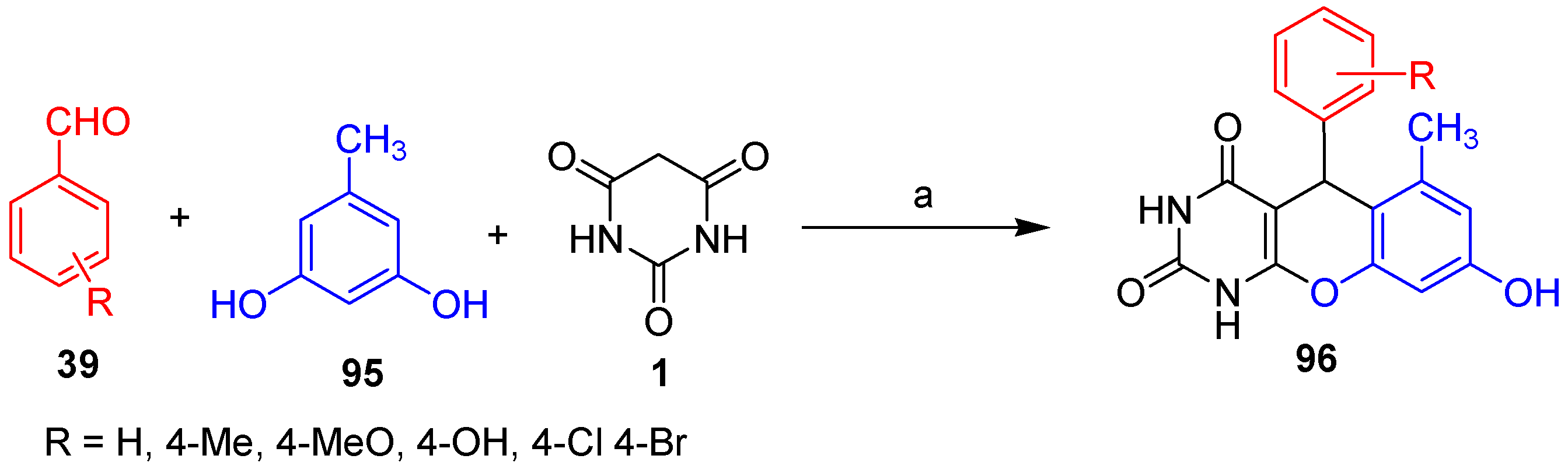
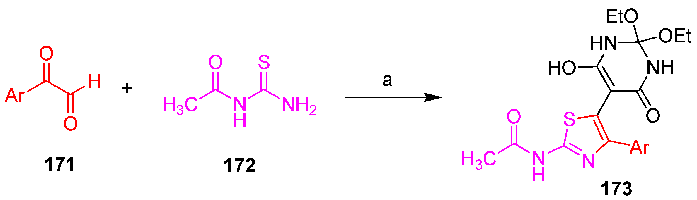
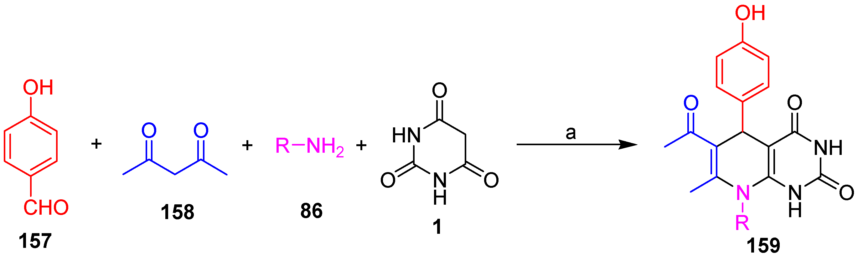
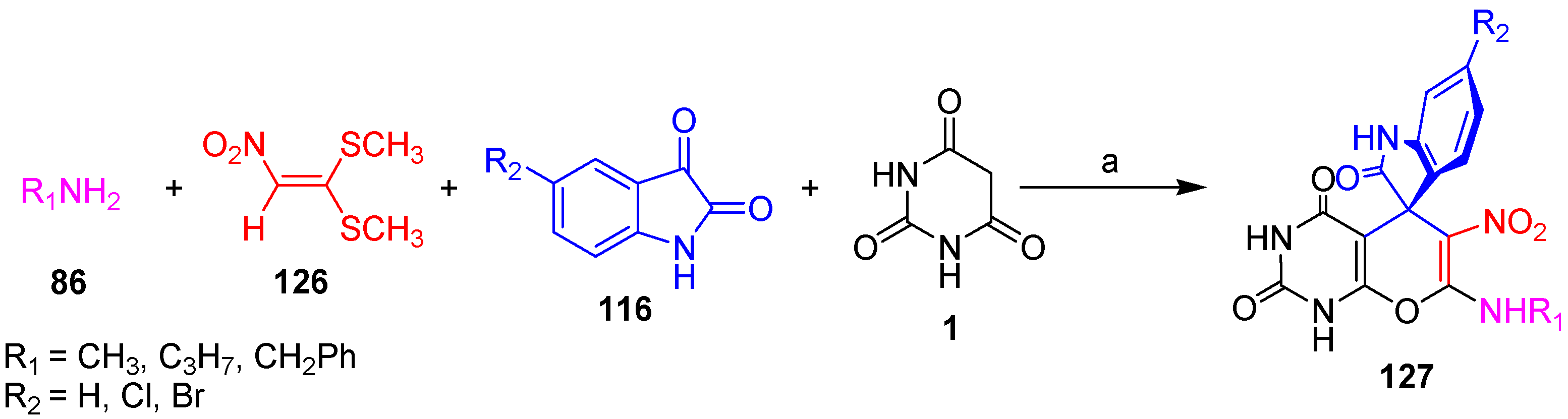
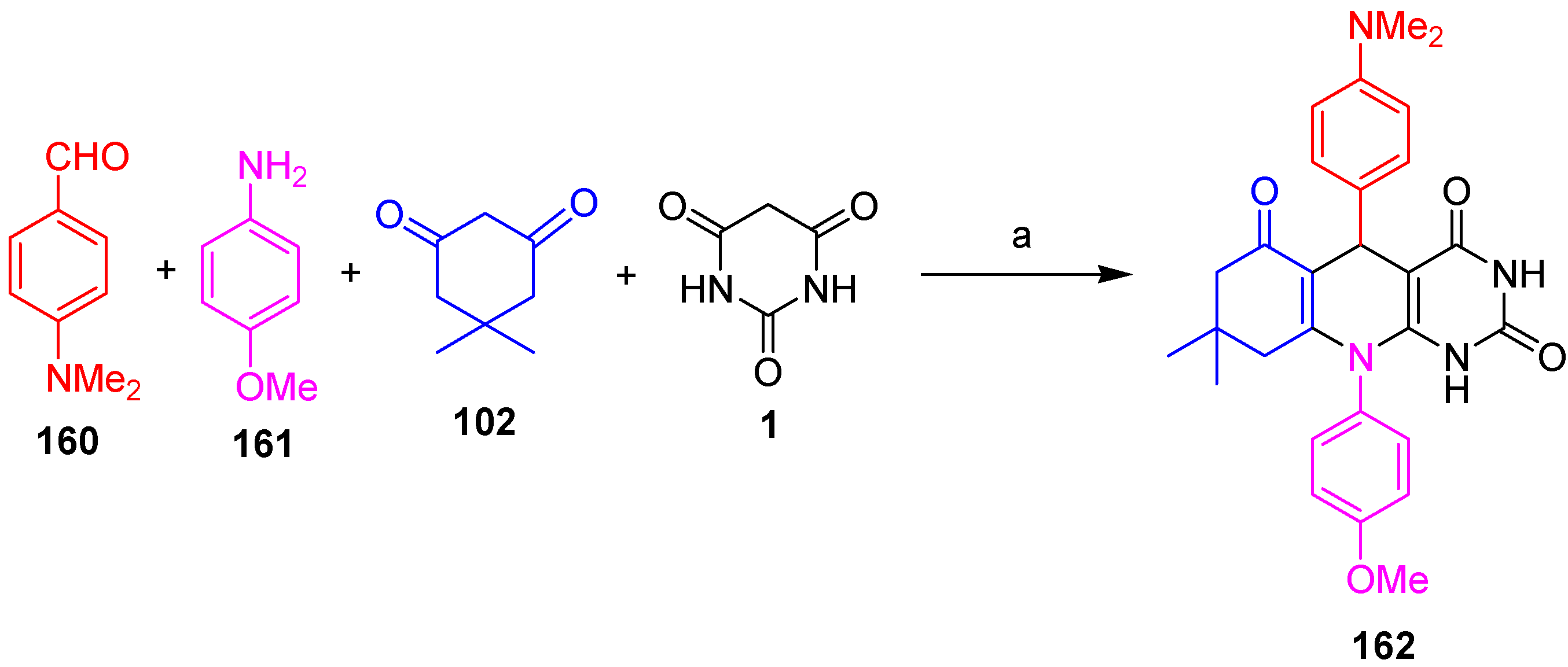
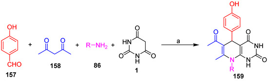
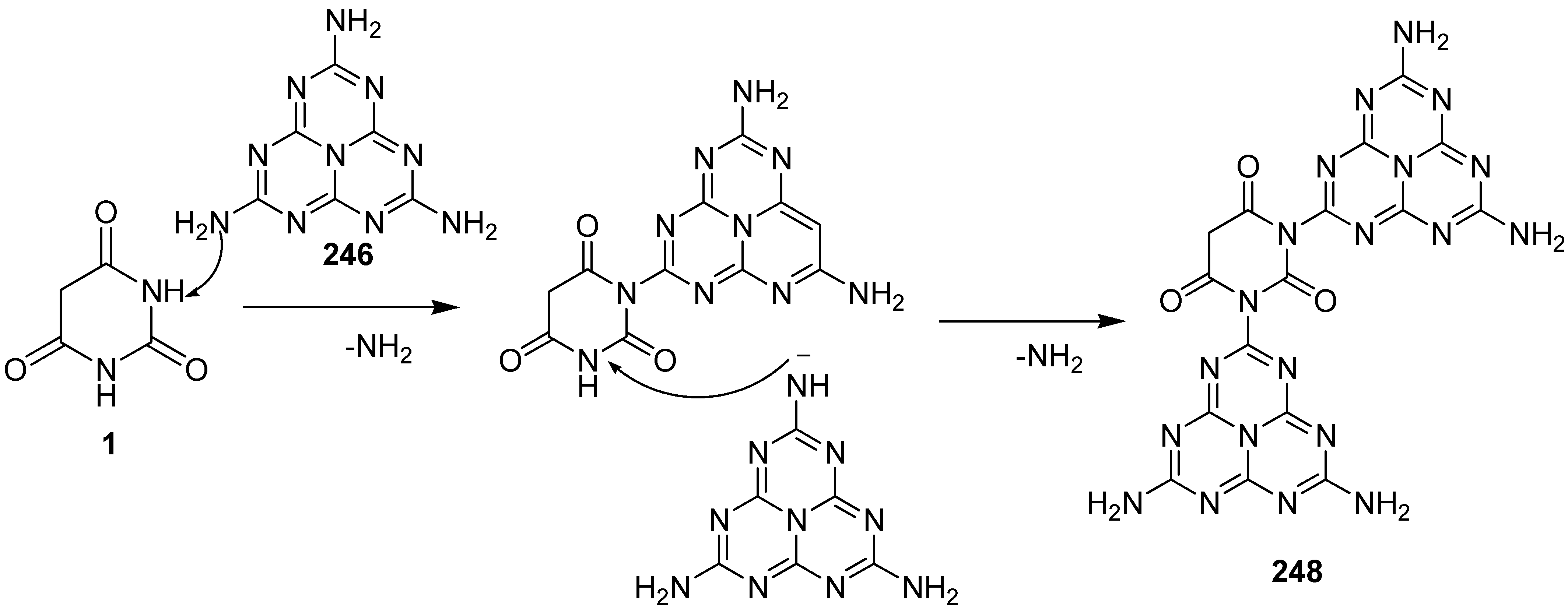
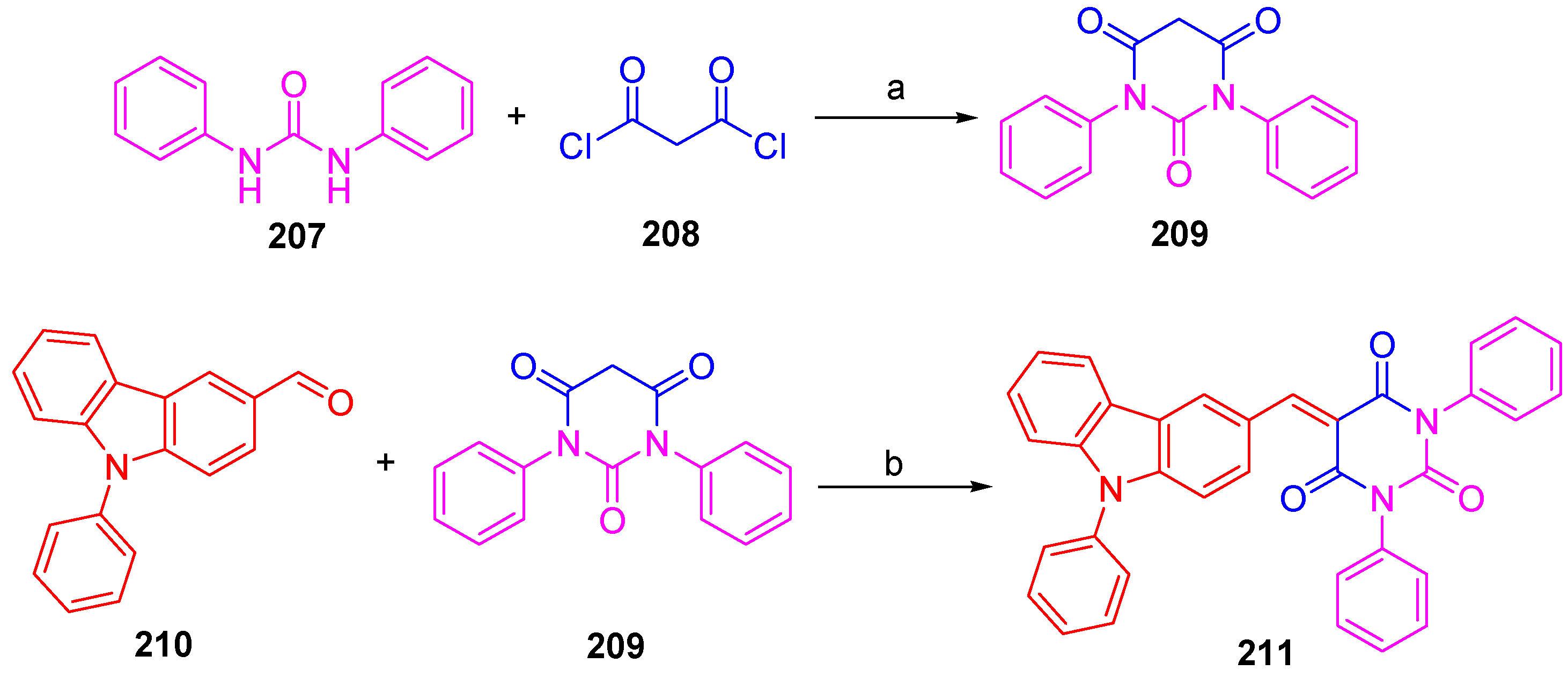
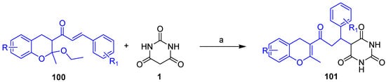
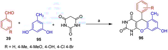
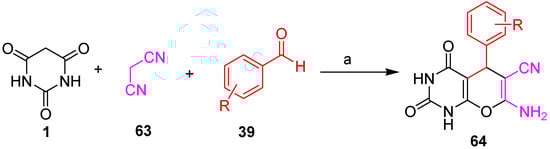
3. Synthesis of Barbituric Acid Derivatives
4. Conclusions
Author Contributions
Funding
Acknowledgments
Conflicts of Interest
Abbreviations
| BA | barbituric acid |
| MCR | multicomponent reaction |
| TBA | thio-barbituric acid |
| PDT | photodynamic therapy |
| MOF | metal–organic framework |
| TBHP | tert-butyl hydroperoxide |
| RT | Room Temperature |
| EtOH | ethanol |
| 1,3-DMBA | 1,3-dimethyl barbituric acid |
References
- Mahmudov, A.M.; Kopylovich, K.T.; Maharramov, M.N.; Kurbanova, A.J.L.; Gurbanov, M.M.; Pombeiro, A.V. Barbituric acids as a useful tool for the construction of coordination and supramolecular compounds. Coord. Chem. Rev. 2014, 265, 1–37. [Google Scholar] [CrossRef]
- López-Muñoz, F.; Ucha-Udabe, R.; Alamo, C. The history of barbiturates a century after their clinical introduction. Neuropsychiatr. Dis. Treat. 2005, 1, 329–343. [Google Scholar]
- Patel, H.M.; Patel, P.J.; Upadhyay, S.G.; Ravi, D.B.; Dhanasekaran, L.; Patel, A. An efficient, catalyst-free and aqueous ethanol-mediated synthesis of 5-((2-aminothiazol-5-yl)(phenyl)methyl)-6-hydroxypyrimidine-2,4(1H,3H)-dione derivatives and their antioxidant activity. RSC Adv. 2023, 13, 24466–24473. [Google Scholar] [CrossRef] [PubMed]
- Fahad, M.M.; HZimam, E.H.; Mohamad, M.J. A series of barbituric acid derivatives from sulfa drug: Synthesis and antimicrobial activity. Nano Biomed. Eng. 2019, 11, 67–83. [Google Scholar] [CrossRef]
- Segovia, J.F.; Lebrêne, C.; Levacher, A.; Oudeyer, V.; Brière, S. Enantioselective catalytic transformations of barbituric acid derivatives. Catalysts 2019, 9, 131. [Google Scholar] [CrossRef]
- Vil’, V.A.; Terent’ev, A.O.; Bityukov, O.V.; Kirillov, A.S.; Serdyuchenko, P.Y.; Kuznetsova, M.A.; Demidova, V.N. Electrochemical thiocyanation of barbituric acids. Org. Biomol. Chem. 2022, 20, 3629–3636. [Google Scholar]
- Bartzatt, R. Determination of barbituric acid, utilizing a rapid and simple colorimetric assay. J. Pharm. Biomed. Anal. 2002, 29, 909–915. [Google Scholar] [CrossRef]
- Gomase, R.J.V.; Doondani, P.; Saravanan, D.; Pandey, S. A novel Chitosan-Barbituric acid hydrogel supersorbent for sequestration of chromium and cyanide ions: Equilibrium studies and optimization through RSM. Sep. Purif. Technol. 2024, 330, 125475. [Google Scholar] [CrossRef]
- Thakkar, S.T.H.; Bhatt, M. Barbituric acid derived covalent organic framework and its CNT composite as high-performance adsorbents for organic dye removal. J. Environ. Chem. Eng. 2023, 11, 109890. [Google Scholar] [CrossRef]
- Ziarani, G.M.; Aleali, F.; Lashgari, N. Recent applications of barbituric acid in multicomponent reactions. RSC Adv. 2016, 6, 50895–50922. [Google Scholar] [CrossRef]
- Negm, N.A.; Mohamed, E.A.; Wahab, M.M.A.; Sayed, G.H.; Ramadan, R.M.; Mady, A.H.; Rabie, A.M.; Farag, A.A. Synergistic effects of graphene oxide grafted with barbituric acid nanocomposite for removal of heavy metals from aqueous solution. Nanotechnol. Environ. Eng. 2022, 8, 347–359. [Google Scholar]
- Shukla, S.; Bishnoi, S.; Devi, A.; Kumar, P.; Srivastava, S.; Srivastava, A.; Fatma, K. Synthesis, Characterization, and in vitro Antibacterial Evaluation of Barbituric Acid Derivatives. Russ. J. Org. Chem. 2019, 55, 860–865. [Google Scholar] [CrossRef]
- Deotale, V.D.; Dhonde, M.G. Acid catalyzed Knoevenagel condensation of thiobarbituric acid and aldehyde at room temperature. Synth. Commun. 2020, 50, 1672–1678. [Google Scholar] [CrossRef]
- Veisi, B.; Pirhayati, H.; Mohammadi, M.; Tamoradi, P.; Hemmati, T.; Karmakar, S. Recent advances in the application of magnetic nanocatalysts in multicomponent reactions. RSC Adv. 2023, 13, 20530–20556. [Google Scholar] [CrossRef]
- Shaker, R.M.; Ishak, E.A. Barbituric acid utility in multi-component reactions. Zeitschrift fur Naturforsch. Sect. B J. Chem. Sci. 2011, 66, 1189–1201. [Google Scholar] [CrossRef]
- Jursic, B.S.; Stevens, E.D. Preparation of dibarbiturates of oxindole by condensation of isatin and barbituric acid derivatives. Tetrahedron Lett. 2002, 43, 5681–5683. [Google Scholar] [CrossRef]
- Keshavarzi, N.; Cao, S.; Antonietti, M. A New Conducting Polymer with Exceptional Visible-Light Photocatalytic Activity Derived from Barbituric Acid Polycondensation. Adv. Mater. 2020, 32, 1907702. [Google Scholar] [CrossRef] [PubMed]
- Feuge, R.; Namyslo, N.; Kaufmann, J.C.; Wilhelm, D.E. Intramolecular Phosphine-Promoted Knoevenagel Based Redox-Reaction. Molecules 2022, 27, 4875. [Google Scholar] [CrossRef]
- Suk, F.-M.; Liao, Y.J.; Hsu, F.-Y.; Hsu, M.-H.; Chiu, W.-C.; Fang, C.-C.; Chen, T.-L. Treatment with a new barbituric acid derivative suppresses diet-induced metabolic dysfunction and non-alcoholic fatty liver disease in mice. Life Sci. 2024, 336, 122327. [Google Scholar] [CrossRef] [PubMed]
- El-Khalek, A.E.A.S.A.; Shalabi, K.M.; Ismail, K.; Fouda, M.A. 5-Arylidene-1,3-dialkylbarbituric acid derivatives as efficient corrosion inhibitors for carbon steel in molar hydrochloric acid solution. RSC Adv. 2022, 12, 10443–10459. [Google Scholar] [CrossRef]
- Yadollahzadeh, K. Synthesis of 5-arylmethylene-pyrimidine-2,4,6-trione and 2-arylidenemalononitriles derivatives using a new Brønsted acid nano magnetic catalyst. Asian J. Nanosci. Mater. 1999, 4, 81–94. [Google Scholar]
- Bhat, A.R.; Shalla, A.H.; Dongre, R.S. Synthesis of new annulated pyrano[2,3-d]pyrimidine derivatives using organo catalyst (DABCO) in aqueous media. J. Saudi Chem. Soc. 2017, 21, S305–S310. [Google Scholar] [CrossRef]
- Olyaei, M.S.A. Review on synthetic approaches towards barbituric acids-based furo[2,3-d]pyrimidines. J. Heterocycl. Chem. 2023, 60, 1838–1863. [Google Scholar] [CrossRef]
- Gouda, M.A.; Abu-Hashem, A.A.; Ameen, T.A.; Salem, M.A.; Aljuhani, A. Recent Progress in Synthetic Chemistry and Biological Activities of Pyrimido[4,5-b] Quinoline Derivatives. Mini. Rev. Org. Chem. 2024, 21, 779–792. [Google Scholar] [CrossRef]
- Lee, J.R.; Slagle-Webb, S.Y.; Sharma, B.; Connor, A.K. Characterization of a novel barbituric acid and two thiobarbituric acid compounds for lung cancer treatment. Anticancer Res. 2020, 40, 6039–6049. [Google Scholar] [CrossRef]
- Abdullah, O.; Ibrahim, M.A.; Alshareef, F.M.; Al-Harbi, S.A.; Allehyani, E.S. Design, synthesis and antimicrobial activity of heteroannulated chromeno[3’,2’:5,6]pyrido[2,3-d][1,3]thiazolo[3,2-a]pyrimidines. Synth. Commun. 2024, 54, 133–143. [Google Scholar]
- Abbas, H.A.; George, S.E.S.; Samir, R.F.; Aref, E.M.; Abdel-Aziz, M.M.A. Synthesis and anticancer activity of some pyrido[2,3-d]pyrimidine derivatives as apoptosis inducers and cyclin-dependent kinase inhibitors. Future Med. Chem. 2019, 11, 2395–2414. [Google Scholar] [CrossRef] [PubMed]
- Osman, S.M.E.A.; Hanafy, E.; George, N.S.; El-Moghazy, R.F. Design and synthesis of some barbituric and 1,3-dimethylbarbituric acid derivatives: A non-classical scaffold for potential PARP1 inhibitors. Bioorg. Chem. 2020, 104, 104198. [Google Scholar]
- Jassem, H.A.S.; Almashal, A.M.; Mohammed, F.A.K.; Jabir, M.Q. A catalytic and green method for one-pot synthesis of new Hantzsch 1,4-dihydropyridines. SN Appl. Sci. 2020, 2, 359. [Google Scholar] [CrossRef]
- Heravi, M.; Momeni, M.M.; Mirzaei, T.; Zadsirjan, M.; Tahmasebi, V. An amino acid@isopolyoxometalate nanoparticles catalyst containing aspartic acid and octamolybdate for the synthesis of functionalized spirochromenes. Inorg. Nano-Met. Chem. 2020, 51, 896–909. [Google Scholar] [CrossRef]
- Olaoye, O.G.; Oladipo, O.J.; Ishola, M.A.; Odedokun, K.T.; Ogunlade, O.A. Investigation of antimicrobial potencies of mixed-ligand complexes of divalent metal ions with Barbituric acid and 2,2-Bipyridine. Internatioal Res. J. Sci. Technol. Educ. Manag. 2023, 3, 29–40. [Google Scholar]
- Masoud, M.M.; Sweyllam, M.S.; Ahmed, A.M. Synthesis, characterization, coordination chemistry and biological activity of some pyrimidine complexes. J. Mol. Struct. 2020, 1219, 128612. [Google Scholar] [CrossRef]
- Panday, A.K.; Ali, D.; Choudhury, L.H. One-pot synthesis of pyrimidine linked naphthoquinone-fused pyrroles by iodine-mediated multicomponent reactions. Org. Biomol. Chem. 2020, 18, 4997–5007. [Google Scholar] [CrossRef] [PubMed]
- Reddy, C.V.S.; Sumathi, S. l-Proline Catalyzed Synthesis of Highly Functionalized 4-Hydroxy-4H-chromene-pyrazoles and 4-Hydroxy-4H-chromene-barbiturates in Aqueous Medium. ChemistrySelect 2020, 5, 8729–8734. [Google Scholar] [CrossRef]
- Singha, P.; Basak, R.; Bhattacharya, P.; Ghosh, M. Graphene Oxide Catalyzed One-pot Synthesis of Pyrimido[4,5-b]quinolinone-2,4-diones and their Biological Evaluation. ChemistrySelect 2020, 5, 6514–6525. [Google Scholar] [CrossRef]
- Sadeghi, M.N.F.; Shiri, R. Ionic liquid supported on Fe3O4 nanoparticles as a catalyst for synthesis of pyrimido[5,4- e][1,3]oxazine derivatives. Phys. Chem. Chem. Phys. 2015, 18, 926–931. [Google Scholar]
- Mersal, H.S.; Ibrahim, G.A.M.; Amin, M.M.; Mezni, M.A.; Mostafa, A.; Alharthi, N.Y.; Boukherroub, S.; El-Sheshtawy, R. Facile charge transfer between barbituric acid and chloranilic acid over g-c3n4: Synthesis, characterization and dft study. Crystals 2021, 11, 636. [Google Scholar] [CrossRef]
- Hirano, N.; Yoshioka, K.; Umezu, K.; Kagawa, K.; Sumii, T.; Shibata, Y. One-step Synthesis of 2-Hydroxy-2-(trifluoromethyl)malonates by Trifluoromethylation of 2-Oxomalonates with Ruppert-Prakash Reagent. Chem. Lett. 2020, 49, 330–333. [Google Scholar] [CrossRef]
- Etivand, M.G.; Khalafy, N.; Dekamin, J. Fast and Efficient Green Procedure for the Synthesis of Benzo[5,6]chromene Derivatives and Their Sulfur Analogues in Water by Organocatalyst Potassium Phthalimide-N-oxyl. Synth. 2020, 52, 1707–1718. [Google Scholar] [CrossRef]
- Bachari, K.; Harakat, D.; Maadadi, R.; Benmerache, A.; Menacer, R.; Ziani, B.E.C.; Kabouche, Z.; Saher, L. Facile green in situ hemisynthesis of new chiral chromeno-pyrimidine derivatives: Antibacterial, antioxidant activities and molecular docking study. Nat. Prod. Res. 2023, 26, 1–10. [Google Scholar]
- Shahed, M.A.; Mageed, A. Synthesis and Biological Activity of Barbituric acid- linked Isatin Derivatives. Egypt. Acad. J. Biol. Sci. 2023, 15, 11–23. [Google Scholar]
- Vinoth, N.; Lalitha, A. Catalyst-Free Three-Component Synthesis, Antibacterial, Antifungal, and Docking Studies of Spiroindoline Derivatives. Polycycl. Aromat. Compd. 2020, 42, 1–17. [Google Scholar] [CrossRef]
- Nichols, L.L.; Zasler, N.D.; Martelli, M. Sodium amobarbital: Historical perspectives and neurorehabilitation clinical caveats. NeuroRehabilitation 2012, 31, 95–106. [Google Scholar] [CrossRef] [PubMed]
- Winek, C.L. Dosage Form Names and Product Identification. Am. J. Hosp. Pharm. 1965, 22, 82–89. [Google Scholar] [CrossRef]
- Kim, E.; Wan, H.S.; Mathers, X.; Puil, D.A. Selective GABA-receptor actions of amobarbital on thalamic neurons. Br. J. Pharmacol. 2004, 143, 485–494. [Google Scholar] [CrossRef] [PubMed]
- Stewart, Q.; Lesnefsky, S.; Chen, E.J. Reversible blockade of electron transport with amobarbital at the onset of reperfusion attenuates cardiac injury. Transl. Res. 2009, 153, 224–231. [Google Scholar] [CrossRef]
- Miller, R.I.; Deutsch, L.G.; Greenblatt, S.I.; Paul, D.J.; Shader, S.M. Acute barbiturate administration increases benzodiazepine receptor binding in vivo. Psychopharmacology 1988, 96, 385–390. [Google Scholar] [CrossRef]
- Kamano, D.K. Effects of stimulus associated with amobarbital administration on avoidance behavior. Physiol. Psychol. 1973, 1, 321–323. [Google Scholar] [CrossRef][Green Version]
- Masoud, H.M.; Kamel, M.S. Solid State Study for Barbituric Acid and Uracil Thorium Complexes. Chem. Res. J. 2021, 6, 117–131. [Google Scholar]
- Amiri, Z.; Bayat, M. An Efficient One-Pot Synthesis of Acenaphtho[1,2-b]indolindeneone and Acenaphtho[1,2-b]indoldione Derivatives. Tetrahedron Lett. 2023, 124, 154578. [Google Scholar]
- Bassert, J.M. McCurnin’s Clinical Textbook for Veterinary Technicians; Saunders: New South Wales, Australia, 2017. [Google Scholar]
- Ilangaratne, J.W.N.B.; Mannakkara, N.N.; Bella, A.; Sandera, G.S. Phenobarbital: Missing in action. Bull World Health Organ 2012, 90, 871–872. [Google Scholar] [CrossRef]
- Brodie, M.J.; Kwan, P. Current position of phenobarbital in epilepsy and its future. Epilepsia 2012, 53 (Suppl. 8), 40–46. [Google Scholar] [CrossRef] [PubMed]
- Yasiry, Z.; Shorvon, S.D. How phenobarbital revolutionized epilepsy therapy: The story of phenobarbital therapy in epilepsy in the last 100 years. Epilepsia 2012, 53, 26–39. [Google Scholar] [CrossRef]
- Greenfield, L.J., Jr. Molecular Mechanisms of Antiseizure Drug Activity at GABAA Receptors. Seizure 2013, 22, 589–600. [Google Scholar] [CrossRef]
- Nevitt, S.J.; Marson, A.G.; Smith, C.T. Carbamazepine versus phenobarbitone monotherapy for epilepsy: An individual participant data review. In Cochrane Database of Systematic Reviews; John Wiley and Sons Ltd.: Hoboken, NJ, USA, 2018; pp. 1–10. [Google Scholar]
- Miller, N.S.; Gold, M.S. Management of Withdrawal Syndromes and Relapse Prevention in Drug and Alcohol Abuse. Am. Fam. Physician 1998, 58, 139. [Google Scholar] [PubMed]
- Manikandan, N.; ASuresh, G.V.; Jauhar, R.O.M.U.; Girisun, T.C.S. Third order nonlinearity examined by pulsed and CW lasers: An organic urea barbituric acid (UBA) single crystal for optical limiting application with DFT study Third order nonlinearity examined by pulsed and CW lasers: An organic urea barbituric acid. Mater. Res. Express Pap. 2019, 11, 016203. [Google Scholar]
- Shirini, F.; Tajik, H.; Kakavand, R.; Azimi, S.C.; Jolodar, O.G. Morpholine Stabilized on Nano Silica Sulfuric Acid: A Reusable Catalyst for the Synthesis of Two Important Derivatives (Thio) Barbituric Acid. Polycycl. Aromat. Compd. 2023, 43, 4670–4684. [Google Scholar]
- Mohamed, K.; Hosney, A.S.; Bassiony, M.; Hassanein, H.; Soliman, S.S.; Fahmy, A.M.; Gaafar, S.R. Sodium pentobarbital dosages for exsanguination affect biochemical, molecular and histological measurements in rats. Sci. Rep. 2020, 10, 378. [Google Scholar] [CrossRef]
- Jakhetia, S.S.V.; Patel, R.; Khatri, P.; Pahuja, N.; Garg, S.; Pandey, A. Novel [DBN][HSO4] Mediated Facile And Efficient Synthesis of Dihydropyrimido [4, 5-D]Pyrimidine Derivatives. J. Adv. Sci. Res. 2012, 1, 19–23. [Google Scholar]
- Kumari, V.; Maury, S.K.; Singh, S.K.; Kamal, H.; Kumar, A.; Singh, D.; Srivastava, S. Visible Light Mediated, Photocatalyst-Free Condensation of Barbituric Acid with Carbonyl Compounds. ChemistrySelect 2021, 6, 2980–2987. [Google Scholar] [CrossRef]
- Zaharani, M.; Khaligh, L.G.; Gorjian, N.; Johan, H.R. 4,4’-trimethylenedipiperidine as a nitrogen heterocycle solvent and/or catalyst: Liquid phase tandem Knoevenagel-Michael condensation. Turkish J. Chem. 2021, 45, 261–268. [Google Scholar] [CrossRef] [PubMed]
- Stravitz, W.M.; Kramer, R.T.; Davern, A.H.; Shaikh, T.; Caldwell, A.O.S.; Mehta, S.H.; Blei, R.L.; Fontana, A.T.; McGuire, R.J.; Rossaro, B.M.; et al. Intensive care of patients with acute liver failure: Recommendations of the U.S. Acute Liver Failure Study Group. Crit. Care Med. 2007, 35, 2498–2508. [Google Scholar] [CrossRef]
- Ramle, W.J.; Tiekink, A.Q.; Fei, E.R.T.; Julkapli, C.C.; Basirun, N.M. Supramolecular assembly and spectroscopic characterization of indolenine-barbituric acid zwitterions. New J. Chem. 2021, 45, 1221–1230. [Google Scholar] [CrossRef]
- Dhanaraj, P.; Indiraleka, M. Design and synthesis antiepileptic, antimicrobial evaluation of 5 -substituted pyrimidine derivatives. Asian J. Med. Anal. Chem. 2014, 01, 27–32. [Google Scholar]
- Chawla, D.; Parmar, V. Phenobarbitone for Prevention and Treatment of Unconjugated Hyperbilirubinemia in Preterm Neonates: A Systematic Review and Meta-analysis. INDIAN Pediatr. 2010, 47, 396–397. [Google Scholar] [CrossRef] [PubMed]
- Haggam, A.S.; Assy, R.A.; Mohamed, M.G.; Mohamed, E.K. Synthesis of Pyrano[2,3-d]pyrimidine-2,4-diones and Pyridino[2,3-d]pyrimidine-2,4,6,8-tetraones: Evaluation Antitumor Activity. J. Heterocycl. Chem. 2020, 57, 842–850. [Google Scholar] [CrossRef]
- Komelkova, V.; Manukhina, M.; Downey, E.; Sarapultsev, H.F.; Cherkasova, A.; Kotomtsev, O.; Platkovskiy, V.; Fedorov, P.; Sarapultsev, S.; Tseilikman, P.; et al. Hexobarbital sleep test for predicting the susceptibility or resistance to experimental posttraumatic stress disorder. Int. J. Mol. Sci. 2020, 21, 5900. [Google Scholar] [CrossRef] [PubMed]
- Seeliger, H.; Berger, F.; Remennikov, S.T.A.; Polborn, G.Y.; Mayr, K. Electrophilicity of 5-Benzylidene-1,3-dimethylbarbituric and -thiobarbituric-thiobarbituric Acids. J. Org. Chem. 2007, 72, 9170–9180. [Google Scholar] [CrossRef] [PubMed]
- Song, F.; Liu, A.; Jin, Y.; Su, X.; Li, D.; Yu, Z.; Xing, S.; Xu, L.; Wang, X.; Li, R. Metal-ligand cooperative iridium complex catalyzed C-alkylation of oxindole and 1,3-dimethylbarbituric acid using alcohols. Green Synth. Catal. 2023, 4, 246–252. [Google Scholar] [CrossRef]
- Cohen-Mansfield, W.J.; Dakheel-Ali, M.; Marx, M.S.; Thein, K.; Regier, N.G. Design and synthesis of novel thiobarbituric acid derivatives targeting both wild-type and BRAF-mutated melanoma cells. Physiol. Behav. 2017, 176, 139–148. [Google Scholar]
- Kaur, M.K.; Chaudhary, R.; Kumar, S.; Gupta, K. Recent synthetic and medicinal perspectives of dihydropyrimidinones: A review. Eur. J. Med. Chem. 2020, 2017, 108–134. [Google Scholar] [CrossRef]
- Ding, Y.; Yao, S.; Schobben, B.; Hong, L. Barbituric acid based fluorogens: Synthesis, aggregation-induced emission, and protein fibril detection. Molecules 2020, 25, 32. [Google Scholar] [CrossRef] [PubMed]
- Aziz, M.; Nasim, T.; Ahmad, H.A.; Shah, K.; Parveen, H.U.R.; Ahmad, S.; Majeed, M.M.; Galal, H.; Rauf, A.M.; Ashfaq, A. Rational synthesis, biological screening of azo derivatives of chloro-phenylcarbonyl diazenyl hydroxy dipyrimidines/thioxotetrahydropyrimidines and their metal complexes. Heliyon 2023, 9, e12492. [Google Scholar] [CrossRef] [PubMed]
- Avudaiappan, K.; Unnimaya, T.G.; Asha, J.; Unnikrishnan, P.; Sreekumar, V. Green synthesis of pyrazolopyranopyrimidinone and pyranopyrazole derivatives using porphyrin-initiated amine-functionalized PolyBCMO dendritic polymer as sonocatalyst. J. Heterocycl. Chem. 2020, 57, 197–209. [Google Scholar] [CrossRef]
- El-Dash, H.B.; Mahmoud, Y.S.; El-Mosallamy, A.M.; El-Nassan, S.S. Electrochemical Synthesis of 5-Benzylidenebarbiturate Derivatives and Their Application as Colorimetric Cyanide Probe. ChemElectroChem 2023, 10, e202200954. [Google Scholar]
- Patil, P.G.; Satkar, Y.; More, D.H. L-Proline based ionic liquid: A highly efficient and homogenous catalyst for synthesis of 5-benzylidene-1,3-dimethylpyrimidine-2,4,6(1H,3H,5H)-trione and pyrano[2,3-d] pyrimidine diones under ultrasonic irradiation. Synth. Commun. 2020, 50, 3804–3819. [Google Scholar] [CrossRef]
- Ali, K.; Barakat, M.; El-Faham, A.; Al-Rasheed, A.; Dahlous, H.H.; Al-Majid, S.; Sharma, A.M.; Yousuf, A.; Sanam, M.I.; Ul-Haq, M.; et al. Synthesis and characterisation of thiobarbituric acid enamine derivatives, and evaluation of their α-glucosidase inhibitory and anti-glycation activity. J. Enzyme Inhib. Med. Chem. 2020, 35, 692–701. [Google Scholar] [CrossRef] [PubMed]
- Saeidiroshan, H.; Moradi, L. Efficient and green synthesis of dihydropyrimido[4,5-b]quinolinetriones using MWCNTs@TEPA/Co (II) as a novel and eco-friendly catalyst. Appl. Organomet. Chem. 2020, 34, e5732. [Google Scholar] [CrossRef]
- Jain, A.; Paliwal, S.; Babu, P.K.N.; Bhatewara, G. DABCO promoted one-pot synthesis of dihydropyrano(c)chromene and pyrano[2,3-d]pyrimidine derivatives and their biological activities. J. Saudi Chem. Soc. 2014, 18, 535–540. [Google Scholar] [CrossRef]
- Mohamadpour, F. Catalyst-Free Three-Component Tandem Green Synthesis of Pyrano[2,3-d]Pyrimidine Scaffolds in Ethylene Glycol (E-G) as a Recyclable Reaction Medium. Polycycl. Aromat. Compd. 2022, 42, 3008–3018. [Google Scholar] [CrossRef]
- Magoo, D.; Srivastava, A.; Gupta, S.; Jain, R.; Mondal Ghorai, S.; Dawer, Y.; Sengupta, S.; Rani, S. Developments in Synthesis Strategies of Spiro-Barbiturate Compounds: A Classified Study. Mini. Rev. Org. Chem. 2024, 21, 246–270. [Google Scholar] [CrossRef]
- Ebrahimi, M.; Nozari, S.E.S.; Bahadorikhalili, N.; Yahya-Meymandi, S.; Foroumadi, A.; Larijani, A.; Biglar, B.; Mahdavi, M. Efficient one-pot synthesis of novel 6′,9′-dihydro-2H,7′H-spiro[pyrimidine-5,8′-[1,3]dioxolo[4,5-f]quinoline]-2,4,6(1H,3H)-trione derivatives under mild and “green” reaction conditions. J. Heterocycl. Chem. 2020, 57, 3161–3166. [Google Scholar] [CrossRef]
- Chem, J.S.; Chang, L.; Luo, J.M. The Process of Synthesizing Spiro Pyrimidine Derivatives without the Use of Solvents, Utilizing Ball-milling Conditions Journal of Synthetic Chemistry. J. Synth. Chem. 2023, 2, 140–147. [Google Scholar]
- Patil, R.; Shinde, A.; Rashinkar, S.; Salunkhe, G. Synthesis of spiro-fused heterocycles under aerobic conditions by using polymer gel-entrapped catalyst. Res. Chem. Intermed. 2020, 46, 63–73. [Google Scholar] [CrossRef]
- Malviya, J.; Singh, R.K.P. One-pot three-component synthesis of chromeno [2,3-d] pyrimidine derivatives: Novel, simple, and efficient electrochemical approach. J. Heterocycl. Chem. 2020, 57, 39–49. [Google Scholar] [CrossRef]
- Rahmatinejad, S.; Naeimi, H. Crumpled perovskite-type LaMoxFe1-xO3 nanosheets: A reusable catalyst for rapid and green synthesis of naphthopyranopyrimidine derivatives. Polyhedron 2020, 177, 114318. [Google Scholar] [CrossRef]
- Anary-Abbasinejad, M.; Nejad-Shahrokhabadi, F. Reaction of barbituric/thiobarbituric acid with phosphines or phosphites and dialkyl acetylenedicarboxylates for synthesis of phosphorus zwitterions or phosphonate derivatives. Phosphorus Sulfur Silicon Relat. Elem. 2020, 195, 660–665. [Google Scholar] [CrossRef]
- Selvaraj, S.D.; Krishnaveni, R.; Tamilvendan, D. Synthesis, characterization, anticorrosion and antimicrobial studies of novel 1-[anilino (phenyl) methyl] pyrimidine-2, 4, 6-trione derived from Mannich reaction and its metal complexes. Mater. Today Proc. 2020, 33, 4271–4279. [Google Scholar] [CrossRef]
- Kavyani, S.; Baharfar, R. Design and characterization of Fe3O4/GO/Au-Ag nanocomposite as an efficient catalyst for the green synthesis of spirooxindole-dihydropyridines. Appl. Organomet. Chem. 2020, 34, e5560. [Google Scholar] [CrossRef]
- Fahad, M.M. Barbituric Acids A Review of Preparation, Reactions and Biological Applications. Biomed. Chem. Sci. 2022, 1, 295–305. [Google Scholar] [CrossRef]
- Webster, S.; Karan, L.R. The Physiology and Maintenance of Respiration: A Narrative Review. Pain Ther. 2020, 9, 467–486. [Google Scholar] [CrossRef] [PubMed]
- Liao, F.M.; Hsu, Y.J.; Chien, S.M.; Wang, C.Y.; Hsu, Y.H.; Suk, M.H. Treatment with a New Barbituric Acid Derivative Exerts Antiproliferative and Antimigratory Effects against Sorafenib Resistance in Hepatocellular Carcinoma. Molecules 2020, 25, 2856. [Google Scholar] [CrossRef]
- Ali, A.; Shahkoei, M.; Yahyazadeh, K.; Dehno, A. One-pot Synthesis of Arylidene Barbituric Acid Derivatives Using Fe2O3 and Fe2O3/MFe2O4 (M = Cu, and Ni) Nanoparticles as Heterogeneous Catalysts in Knoevenagel Condensation Reaction. Inorg. Chem. Res. 2024, 4, 1–8. [Google Scholar]
- El-Khateeb, K.M.; Hamed, A.Y.; Elattar, S.E. Recent advancements in the multicomponent synthesis of heterocycles integrated with a pyrano[2,3- d ]pyrimidine core. RSC Adv. 2022, 12, 11808–11842. [Google Scholar] [CrossRef] [PubMed]
- Maurya, S.K.; Singh, S.; Pandey, S.; Kamal, A.; Kushwaha, A.K.; Singh, H.K. Photo-triggered C-arylation of active-methylene compounds with diazonium salts via an electron donor–acceptor (EDA) complex. Chem. Commun. 2024, 60, 1136–1139. [Google Scholar]
- Lima, E.; Reis, L.V. Photodynamic Therapy: From the Basics to the Current Progress of N-Heterocyclic-Bearing Dyes as Effective Photosensitizers. Molecules 2023, 28, 5092. [Google Scholar] [CrossRef] [PubMed]
- Sokmen, B.B.; Ugras, S.; Sarikaya, H.Y.; Ugras, H.I.; Yanardag, R. Antibacterial, antiurease, and antioxidant activities of some arylidene barbiturates. Appl. Biochem. Biotechnol. 2023, 15, 11–23. [Google Scholar] [CrossRef] [PubMed]
- Langer, A.; Rahman, M.K.; Dey, A.; Anderssen, H.; Zilioli, T.; Haug, F.; Blencke, T.; Stensvåg, H.M.; Strøm, K.; Bayer, M.B. A concise SAR-analysis of antimicrobial cationic amphipathic barbiturates for an improved activity-toxicity profile. Eur. J. Med. Chem. 2022, 241, 114632. [Google Scholar] [CrossRef] [PubMed]
- Fahad, A.J.; Shafiq, M.M.; Arshad, N.; Radhi, U. As Antimicrobial Agents: Synthesis, Structural Characterization and Molecular Docking Studies of Barbituric Acid Derivatives from Phenobarbital. Chem. Methodol 2022, 2022, 122–136. [Google Scholar]
- Safari, M.S.E.; Marjani, A.P. Recent progress of nanocatalyst in the synthesis of heterocyclic compounds by barbituric acids. Appl. Organomet. Chem. 2023, 37, e7250. [Google Scholar] [CrossRef]
- Prasher, D.S.; Sharma, P.; Singh, M.; Rawat, S.P. Barbiturate derivatives for managing multifaceted oncogenic pathways: A mini review. Drug Dev. Res. 2021, 82, 364–373. [Google Scholar] [CrossRef]
- Maadadi, Z.R.; Boukentoucha, C.; Haffas, M.; Saher, L.; Kabouche, K.B. In Situ Hemi-Synthesis of New Unexpected Chiral Chromeno-Pyrimidine Derivative. Chem. Proc. 2021, 400, 10–12. [Google Scholar]
- Yahyazadehfar, D.; Sheikhhosseini, M.; Ahmadi, E.; Ghazanfari, S.A. Microwave-assisted synthetic method of novel Bi2O3 nanostructure and its application as a high-performance nano-catalyst in preparing benzylidene barbituric acid derivatives. Front. Chem. 2022, 10, 951229. [Google Scholar] [CrossRef] [PubMed]
- Desai, M.A.; Savechenkov, R.; Zolkowska, P.Y.; Ge, D.; Le Rogawski, R.; Bruzik, K.W.; Forman, K.S.; Raines, S.A.; Miller, D.E. Contrasting actions of a convulsant barbiturate and its anticonvulsant enantiomer on the α1β3γ2L GABAA receptor account for their in vivo effects. J. Physiol. 2015, 593, 4943–4961. [Google Scholar] [CrossRef]
- Karami, S.; Momeni, A.R.; Albadi, J. Preparation and application of triphenyl(propyl-3-hydrogen sulfate)phosphonium bromide as new efficient ionic liquid catalyst for synthesis of 5-arylidene barbituric acids and pyrano[2,3-d]pyrimidine derivatives. Res. Chem. Intermed. 2019, 45, 3395–3408. [Google Scholar] [CrossRef]
- Moghaddampour, I.M.; Shirini, F.; Langarudi, M.S.N. Introduction of Agar-Entrapping as a Novel Strategy to Improve the Catalytic Activity of Moisture-Absorbing Acidic Ionic Liquids: A Case Study in the Synthesis of 5-Arylidene Barbituric Acids and Pyrano[2,3-d]Pyrimidinones. Polycycl. Aromat. Compd. 2022, 42, 2471–2482. [Google Scholar] [CrossRef]
- Yahyazadehfar, D.; Sheikhhosseini, M.; Ahmadi, E.; Ghazanfari, S.A. Microwave-associate synthesis of Co3O4 nanoparticles as an effcient nanocatalyst for the synthesis of arylidene barbituric and Meldrum’s acid derivatives in green media. Appl. Organomet. Chem. 2019, 33, e5100. [Google Scholar] [CrossRef]
- Yu, H.; Han, L.; Jin, P.; Wei, C.; Liu, H.; Ma, W.; Xu, L. Catalytic ozonation of three isomeric cresols in the presence of NaCl with nano-mesoporous Β-molecular sieves. Process Saf. Environ. Prot. 2019, 129, 63–73. [Google Scholar] [CrossRef]
- Masud, M.; Swesi, J.; Liyanage, A.T.; Nath, W.P.R. Cobalt Selenide Nanostructures: An Efficient Bifunctional Catalyst with High Current Density at Low Coverage. ACS Appl. Mater. Interfaces 2016, 8, 17292–17302. [Google Scholar] [CrossRef]
- Zuo, G.; Zhao, Q.; Luo, P.; Cheng, W. Hierarchically porous Fe-N-C derived from covalent-organic materials as a highly efficient electrocatalyst for oxygen reduction. Nanoscale 2016, 8, 14271–14277. [Google Scholar] [CrossRef] [PubMed]
- Kibsgaard, T.F.; Tsai, J.; Chan, C.; Benck, K.; Nørskov, J.D.; Abild-Pedersen, J.K.; Jaramillo, F. Designing an improved transition metal phosphide catalyst for hydrogen evolution using experimental and theoretical trends. Energy Environ. Sci. 2015, 8, 3022–3029. [Google Scholar] [CrossRef]
- Chen, Q.; Chen, Y.; Wang, Q.; Zhang, Y.; Han, Q. Fluorocarbon-assisted surface orientation of N-halamine groups on cellulose in supercritical CO2: An effective and eco-friendly approach for developing higher biocidability. Appl. Surf. Sci. 2021, 535, 147702. [Google Scholar] [CrossRef]
- Arezo, H.G.M.; Habibi, D. A protocatechuic acid-based deep eutectic solvent: A novel and versatile catalyst for the green synthesis of pyranopyrimidines. Res. Sq. 2023, 1, 1–25. [Google Scholar]
- Mahmoudi, Z.; Ghasemzadeh, M.A.; Kabiri-Fard, H. Fabrication of UiO-66 nanocages confined brønsted ionic liquids as an efficient catalyst for the synthesis of dihydropyrazolo[4′,3’:5,6]pyrano[2,3-d]pyrimidines. J. Mol. Struct. 2019, 1194, 1–10. [Google Scholar] [CrossRef]
- Daraie, N.; Heravi, M.; Mirzaei, M.M.; Lotfian, M. Synthesis of Pyrazolo-[4′,3′:5,6]pyrido[2,3-d]pyrimidine-diones Catalyzed by a Nano-sized Surface-Grafted Neodymium Complex of the Tungstosilicate via Multicomponent Reaction. Appl. Organomet. Chem. 2019, 33, e5058. [Google Scholar] [CrossRef]
- Heravi, M.M.; Daraie, M. A novel and efficient five-component synthesis of pyrazole based pyrido[2,3-d]pyrimidine-diones in water: A triply green synthesis. Molecules 2016, 21, 441. [Google Scholar] [CrossRef] [PubMed]
- Akolkar, B.B.; Kharat, S.V.; Nagargoje, N.D.; Subhedar, A.A.; Shingate, D.D. Ultrasound-Assisted β-Cyclodextrin Catalyzed One-Pot Cascade Synthesis of Pyrazolopyranopyrimidines in Water. Catal. Letters 2020, 150, 450–460. [Google Scholar] [CrossRef]
- Kardooni, R.; Kiasat, A.R. A green, catalyst-free synthesis of pyrazolopyranopyrimidines in polyethylene glycol as a biodegradable medium at ambient temperature. Mol. Divers. 2018, 23, 0123456789. [Google Scholar] [CrossRef]
- Maleki, R.; Niksefat, A.; Rahimi, M.; Taheri-Ledari, J. Multicomponent synthesis of pyrano[2,3-d]pyrimidine derivatives via a direct one-pot strategy executed by novel designed copperated Fe3O4@polyvinyl alcohol magnetic nanoparticles. Mater. Today Chem. 2019, 13, 110–120. [Google Scholar] [CrossRef]
- Abaeezadeh, M.; Elhamifar, S.; Norouzi, D.; Shaker, M. Magnetic nanoporous MCM-41 supported ionic liquid/palladium complex: An efficient nanocatalyst with high recoverability. Appl. Organomet. Chem. 2019, 33, e4862. [Google Scholar] [CrossRef]
- Zare, Z.J.; Moosavi, A.R. Nano-Zn [2-boromophenylsalicylaldiminemethyl-pyranopyrazole] Cl2 as a novel nanostructured Schiff base complex and catalyst for the synthesis of pyrano [2,3-d] pyrimidinedione derivatives. Appl. Organomet. Chem. 2018, 1, 1–11. [Google Scholar]
- Yelwande, A.A.; Lande, M.K. An efficient one-pot three-component synthesis of 7-amino-2, 4-dioxo-5-aryl-1,3,4,5-tetrahydro-2 H-pyrano[2,3-d]pyrimidine-6-carbonitriles catalyzed by SnO2/SiO2 nanocomposite. Res. Chem. Intermed. 2020, 46, 5479–5498. [Google Scholar] [CrossRef]
- Mohamadpour, F. Visible light irradiation promoted catalyst-free and solvent-free synthesis of pyrano[2,3-d]pyrimidine scaffolds at room temperature. J. Saudi Chem. Soc. 2020, 24, 636–641. [Google Scholar] [CrossRef]
- Safari, N.; Shirini, F.; Tajik, H. Verjuice as a green and bio-degradable solvent/catalyst for facile and eco-friendly synthesis of 5-arylmethylenepyrimidine-2,4,6-trione, pyrano[2,3-d]pyrimidinone and pyrimido[4,5-d]pyrimidinone derivatives. J. Iran. Chem. Soc. 2019, 16, 887–897. [Google Scholar] [CrossRef]
- Rajinder, Y.; Gupta, M.; Kour, J. Nickel NPs @N-doped titania: An efficient and recyclable heterogeneous nanocatalytic system for one-pot synthesis of pyrano[2,3-d]pyrimidines and 1,8-dioxo-octahydroxanthenes. J. Iran. Chem. Soc. 2019, 16, 1977–1992. [Google Scholar] [CrossRef]
- Gholamhosseini-Nazari, R.; Esmati, M.; Safa, S.; Khataee, K.D.; Teimuri-Mofrad, A. Fe3O4 @SiO2-BenzIm-Fc[Cl]/ZnCl2: A novel and efficient nano-catalyst for the one-pot three-component synthesis of pyran annulated bis-heterocyclic scaffolds under ultrasound irradiation. Res. Chem. Intermed. 2019, 45, 1841–1862. [Google Scholar] [CrossRef]
- Bakherad, A.; Bagherian, M.; Rezaeifard, G.; Mosayebi, A.; Shokoohi, F.; Keivanloo, B. Synthesis of pyrano[2,3-d]pyrimidines and pyrido[2,3-d]pyrimidines in the magnetized deionized water based on UV–visible study. J. Iran. Chem. Soc. 2021, 18, 839–852. [Google Scholar] [CrossRef]
- Sajjadifar, S.; Gheisarzadeh, Z. Isatin-SO3H coated on amino propyl modified magnetic nanoparticles (Fe3O4@APTES@isatin-SO3H) as a recyclable magnetic nanoparticle for the simple and rapid synthesis of pyrano[2,3-d] pyrimidines derivatives. Appl. Organomet. Chem. 2019, 33, e4602. [Google Scholar] [CrossRef]
- El-Wahab, A.H.F.A. Synthesis, reactions and evaluation of the antimicrobial activity of some 4-(p-Halophenyl)-4H-naphthopyran, pyranopyrimidine and pyranotriazolopyrimidine derivatives. Pharmaceuticals 2012, 5, 745–757. [Google Scholar] [CrossRef]
- Olyaei, A.; Sadeghpour, M. Barbituric acids in the synthesis of naphthopyranopyrimidines: A brief review. Synth. Commun. Rev. 2022, 52, 2179–2197. [Google Scholar] [CrossRef]
- Abdollahi-basir, M.H.; Shirini, F.; Tajik, H. A facile and regioselective synthesis of some new pyrimido [4,5-d] under ultrasound irradiation. J. Mol. Struct. 2019, 1195, 302–308. [Google Scholar] [CrossRef]
- Lavanya, M.; Asharani, I.V.; Thirumalai, D. One pot multi-component synthesis of functionalized spiropyridine and pyrido[2,3-d]pyrimidine scaffolds and their potent in-vitro anti-inflammatory and anti-oxidant investigations. Chem. Biol. Drug Des. 2019, 93, 464–472. [Google Scholar] [CrossRef] [PubMed]
- Kordnezhadian, R.; Shekouhy, M.; Karimian, S.; Khalafi-Nezhad, A. DBU-functionalized MCM-41-coated nanosized hematite (DBU-F-MCM-41-CNSH): A new magnetically separable basic nanocatalyst for the synthesis of some nucleoside-containing heterocycles. J. Catal. 2019, 380, 91–107. [Google Scholar] [CrossRef]
- Saeidiroshan, H.; Moradi, L. Immobilization of Cu(II)on MWCNTs@L-His as a new high efficient reusable catalyst for the synthesis of pyrido[2,3-d:5,6-d′]dipyrimidine derivatives. J. Organomet. Chem. 2019, 893, 1–10. [Google Scholar] [CrossRef]
- Milović, Z.; Janković, E.; Vraneš, N.; Stefanović, M.; Petronijević, S.; Joksimović, J.; Muškinja, N.; Ratković, J. Green one-pot synthesis of pyrido-dipyrimidine DNA-base hybrids in water. Environ. Chem. Lett. 2021, 19, 729–736. [Google Scholar] [CrossRef]
- Dangolani, A.K.; Panahi, S.; Tavaf, F.; Nourisefat, Z.; Yousefi, M.; Khalafi-Nezhad, R. Synthesis and Antioxidant Activity Evaluation of Some Novel Aminocarbonitrile Derivatives Incorporating Carbohydrate Moieties. ACS Omega 2018, 3, 10341–10350. [Google Scholar] [CrossRef]
- Brahmachari, G.; Nurjamal, K. Ultrasound-assisted and trisodium citrate dihydrate-catalyzed green protocol for efficient and one-pot synthesis of substituted chromeno [3 0, 4 0: 5, 6] pyrano [2, 3-d] pyrimidines at ambient conditions. Tetrahedron Lett. 2019, 60, 1904–1908. [Google Scholar] [CrossRef]
- Ahmadi, M.; Moradi, L.; Sadeghzadeh, M. MWCNTs@NHBut/PTA: New efficient solid acid catalyst for solvent free synthesis of benzochromenopyrimidines. Appl. Organomet. Chem. 2019, 33, e4980. [Google Scholar] [CrossRef]
- Al-Najjar, H.K.; Barakat, H.J.; Al-Majid, A.; Mabkhot, A.M.; Weber, Y.N.; Ghabbour, M.; Fun, H.A. A greener, efficient approach to michael addition of barbituric acid to nitroalkene in aqueous diethylamine medium. Molecules 2014, 19, 1150–1162. [Google Scholar] [CrossRef]
- Koli, B.P.; Gore, R.P. Alum Catalyzed an Eco-Friendly Synthesis of Benzylidene Malononitrile and Benzylidene Barbituric Acid Derivatives in Aqueous Medium. RASAYAN J. Chem. 2023, 16, 1734–1740. [Google Scholar] [CrossRef]
- Harismah, H.; Fazeli, K.; Zandi, F. Barbituric acid tautomers: DFT computations of Keto-Enol conversions, frontier molecular orbitals and quadrupole coupling constants. Biointerface Res. Appl. Chem. 2022, 12, 244–252. [Google Scholar]
- Hajali, A.; Manesh, N.T.; Seif, A. A detailed kinetic study on the tautomerization reactions of barbituric acid: A combined DFT-QTAIM analysis. Main Gr. Chem. 2022, 21, 681–696. [Google Scholar] [CrossRef]
- Kumari, S.; Singh, S.; Srivastava, V. Lemon juice catalyzed C–C bond formation via C–H activation of methylarene: A sustainable synthesis of chromenopyrimidines. Mol. Divers. 2020, 24, 717–725. [Google Scholar] [CrossRef]
- Pakravan, S.; Shayani-Jam, N.; Beiginejad, H.; Tavafi, H.; Paziresh, H. A green method for the synthesis of novel spiro compounds: Enhancement of antibacterial properties of caffeic acid through electrooxidation in the presence of barbituric acid derivatives. J. Electroanal. Chem. 2019, 848, 113286. [Google Scholar] [CrossRef]
- An, T.L.; Du, D.M. Chiral Squaramide Catalyzed Asymmetric [3+2] Cycloaddition Reaction for Synthesis of Trifluoromethylated Barbituric Acid Derivatives. ChemistrySelect 2019, 4, 11302–11306. [Google Scholar] [CrossRef]
- Mirhosseini-Eshkevari, B.; Ghasemzadeh, M.A.; Esnaashari, M. Highly efficient and green approach for the synthesis of spirooxindole derivatives in the presence of novel Brønsted acidic ionic liquids incorporated in UiO-66 nanocages. Appl. Organomet. Chem. 2019, 33, e5027. [Google Scholar] [CrossRef]
- Lohar, R.; Kumbhar, T.; Patil, A.; Kamat, A.; Salunkhe, S. Synthesis and characterization of new quaternary ammonium surfactant [C 18 -Dabco][Br] and its catalytic application in the synthesis of spirocarbocycles under ultrasonic condition. Res. Chem. Intermed. 2019, 45, 1639–1651. [Google Scholar] [CrossRef]
- Baharfar, R.; Zareyee, D.; Allahgholipour, S.L. Synthesis and characterization of MgO nanoparticles supported on ionic liquid-based periodic mesoporous organosilica (MgO@PMO-IL) as a highly efficient and reusable nanocatalyst for the synthesis of novel spirooxindole-furan derivatives. Appl. Organomet. Chem. 2019, 33, 11–13. [Google Scholar] [CrossRef]
- Mohammadi, A.; Bayat, M.; Nasri, S. Catalyst-free four-component domino synthetic approach toward versatile multicyclic spirooxindole pyran scaffolds. RSC Adv. 2019, 9, 16525–16533. [Google Scholar] [CrossRef] [PubMed]
- Moradi, L.; Ataei, Z.; Zahraei, Z. Convenient synthesis of spirooxindoles using SnO2 nanoparticles as effective reusable catalyst at room temperature and study of their in vitro antimicrobial activity. J. Iran. Chem. Soc. 2019, 16, 1273–1281. [Google Scholar] [CrossRef]
- Safaei-Ghomi, J.; Elyasi, Z.; Babaei, P. N-doped graphene quantum dots modified with CuO (0D)/ZnO (1D) heterojunctions as a new nanocatalyst for the environmentally friendly one-pot synthesis of monospiro derivatives. New J. Chem. 2021, 45, 1269–1277. [Google Scholar] [CrossRef]
- Ghahremanzadeh, A.; Sayyafi, R.; Ahadi, M.; Bazgir, S. Novel One-Pot, Three-Component Synthesis of Spiro[Indoline-pyrazolo[4′,3′:5,6]pyrido[2,3-d]pyrimidine]trione Library. J. Comb. Chem. 2009, 11, 393–396. [Google Scholar] [CrossRef] [PubMed]
- Patel, H.M.; Patel, D.M.; Padrón, H.J.; Patel, J.M. A novel substrate directed multicomponent reaction for the syntheses of tetrahydro-spiro[pyrazolo[4,3-f]quinoline]-8,5’-pyrimidines and tetrahydro-pyrazolo[4,3-f]pyrimido[4,5-b]quinolinesviaselective multiple C-C bond formation under metal-free conditions. RSC Adv. 2020, 10, 19600–19609. [Google Scholar] [CrossRef]
- Klenc, L.; Raux, J.; Barnes, E.; Sullivan, S.; Duszynska, S.; Bojarski, B.; Strekowski, A.J. Synthesis of 4-Substituted 2-(4-Methylpiperazino)pyrimidines and Quinazoline Analogs as Serotonin 5-HT 2A Receptor Ligands. J. Heterocycl. Chem. 2009, 46, 1259–1265. [Google Scholar]
- Fazlelahi, J.A.; Moghadam, H.Z.; Baradarani, P.N.; Joule, M.M. Synthesis of novel spiro-fused pyrazolo[4′,3′:5,6]pyrido[2,3-d]pyrimidines. J. Heterocycl. Chem. 2020, 57, 3673–3684. [Google Scholar] [CrossRef]
- Wang, L.; Qian, M.; Guo, X.; Wu, Y.; Liu, H.; Gao, M.; Li, W.; Ding, G.; Huang, J. Solid-state acidochromic properties of barbituric acid-based 1,4-dihydropyridine derivatives with multiple coloured emissions switching. Dye. Pigment. 2019, 160, 378–385. [Google Scholar] [CrossRef]
- Ghosh, A.; Kavitha, C.S.; Keri, R.S. Fe3O4@cysteine nanocomposite: An efficient and reusable catalyst for the facile, green, one-pot synthesis of 1,4-dihydropyridine via Hantzsch reaction. Chem. Data Collect. 2021, 33, 100688. [Google Scholar] [CrossRef]
- Mathur, R.; Negi, R.; Shrivastava, K.S.; Nair, R. Recent developments in the nanomaterial-catalyzed green synthesis of structurally diverse 1,4-dihydropyridines. RSC Adv. 2021, 11, 1376–1393. [Google Scholar] [CrossRef] [PubMed]
- Ichie, S.; Soler, F. Magnetic Nanoparticles Functionalized with Benzo[d]oxazole as an Efficient and Recyclable Magnetic Catalyst for the Synthesis of 1,4-dihydropyridine Derivatives from Barbituric Acid. J. Synth. Chem. 2023, 2, 275–287. [Google Scholar]
- Nikoofar, K.; Heidari, H.; Shahedi, Y. Investigation the catalytic activity of nanofibrillated and nanobacterial cellulose sulfuric acid in synthesis of dihydropyrimidoquinolinetriones. Res. Chem. Intermed. 2018, 44, 4533–4546. [Google Scholar] [CrossRef]
- Jana, L.H.; Bhaumick, A.; Panday, P.; Mishra, A.K.; Choudhury, R. I2/DMSO mediated multicomponent reaction for the synthesis of 2-arylbenzo[d] imidazo[2,1- b] thiazole derivatives. Org. Biomol. Chem. 2019, 17, 5316–5330. [Google Scholar] [CrossRef] [PubMed]
- Jansson, J.B.; Orrenius, I.; Ernster, S.; Schenkman, L. A study of the interaction of a series of substituted barbituric acids with the hepatic microsomal monooxygenase. Arch. Biochem. Biophys. 1972, 151, 391–400. [Google Scholar] [CrossRef] [PubMed]
- Fawzy, M.; Solo, A.; Morad, O. Oxidation of barbituric and thiobarbituric acids by chromium trioxide in different acidic media: A kinetic and mechanistic aspects. J. Mol. Struct. 2021, 1229, 129495. [Google Scholar] [CrossRef]
- Szostak, D.J.; Sautier, M.; Spain, B.; Behlendorf, M.; Procter, M. Selective reduction of barbituric acids using SmI2/H2O: Synthesis, reactivity, and structural analysis of tetrahedral adducts. Angew. Chem. Int. Ed. 2013, 52, 12559–12563. [Google Scholar] [CrossRef]
- Pałasz, A. Synthesis of fused uracils: Pyrano[2,3-d]pyrimidines and 1,4-bis(pyrano[2,3-d]pyrimidinyl)benzenes by domino Knoevenagel/Diels-Alder reactions. Monatshefte fur Chemie 2012, 143, 1175–1185. [Google Scholar] [CrossRef]
- Lantz, R.; Network, P.H. A Dual Beta Blocker and Calcium Channel Blocker Overdose in a Patient with Substance Abuse. J. BioMed. Res. Rep. 2023, 2, 1–6. [Google Scholar]
- Durga devi, D.; Manivarman, S.; Subashchandrabose, S. Synthesis, molecular characterization of pyrimidine derivative: A combined experimental and theoretical investigation. Karbala Int. J. Mod. Sci. 2017, 3, 18–28. [Google Scholar] [CrossRef]
- Strekowski, L.; Ismail, M.A.; Zoorob, H.H. A general method for acylation of 1,3-dialkyl-substituted barbituric and 2-thiobarbituric acids. Heterocycl. Commun. 1999, 5, 9–10. [Google Scholar] [CrossRef]
- Maynert, E.W.; Washburn, E. The Reactions of Some Barbituric Acid Derivatives in Concentrated Sulfuric Acid. J. Am. Chem. Soc. 1953, 75, 700–704. [Google Scholar] [CrossRef]
- Barakat, H.K.; Al-Majid, A.; Al-Ghamdi, A.M.; Mabkhot, A.M.; Siddiqui, Y.N.R.H.; Ghabbour, M.; Fun, H.A. Tandem Aldol-Michael reactions in aqueous diethylamine medium: A greener and efficient approach to dimedone-barbituric acid derivatives. Chem. Cent. J. 2014, 8, 1–9. [Google Scholar] [CrossRef] [PubMed]
- Dewal, S.M.; Wani, M.B.; Vidaillac, A.S.; Oupický, C.; Rybak, D.; Firestine, M.J. Thieno[2,3-d]pyrimidinedione derivatives as antibacterial agents. Eur. J. Med. Chem. 2012, 51, 145–153. [Google Scholar] [CrossRef]
- Neumann, D. The Design and Synthesis of Novel Barbiturates of Pharmaceutical Interest; University of New Orleans: New Orleans, LA, USA, 2004. [Google Scholar]
- Du, Y.; Li, J.; Ruan, X.; Li, S.; Ren, Y.; Cao, F.; Wang, Y.; Zhang, X.; Wu, J.; Li, S. Rational design of a novel turn-on fluorescent probe for the detection and bioimaging of hydrazine with barbituric acid as a recognition group. Analyst 2020, 145, 636–642. [Google Scholar] [CrossRef] [PubMed]
- Alizadeh-Bami, F.; Mehrabi, H.; Ranjbar-Karimi, R. One-pot three-component reaction of arylglyoxals with acetylthiourea and Meldrum’s acid or barbituric acid for synthesis of new 2-acetamido-4-arylthiazol-5-yl derivatives. J. Sulfur Chem. 2019, 40, 469–478. [Google Scholar] [CrossRef]
- Altowyan, H.A.; Barakat, M.S.; Soliman, A.; Al-Majid, S.M.; Ali, A.M.; Elshaier, M.; Ghabbour, Y.A.M.M. A new barbituric acid derivatives as reactive oxygen scavenger: Experimental and theoretical investigations. J. Mol. Struct. 2019, 1175, 524–535. [Google Scholar] [CrossRef]
- Singha, A.K.G.; Singh, A.; Satija, P.; Sharma, G.; Singh, S.J.; Singh, J.; Singh, K.N. First report of silver ion recognition via silatrane based receptor: Excellent selectivity, low detection limit and good applicability. New J. Chem. 2019, 43, 5525–5530. [Google Scholar] [CrossRef]
- Guo, H.; Niu, Z.; Yang, Q.; Li, Q.; Chi, T. A highly selective and sensitive dual-mode sensor for colorimetric and turn-on fluorescent detection of cyanide in water, agro-products and living cells. Anal. Chim. Acta 2019, 1065, 113–123. [Google Scholar] [CrossRef] [PubMed]
- Ghaffarian, F.; Ghasemzadeh, M.A.; Aghaei, S.S. An efficient synthesis of some new curcumin based pyrano[2,3-d]pyrimidine-2,4(3H)-dione derivatives using CoFe2O4@OCMC@Cu(BDC) as a novel and recoverable catalyst. J. Mol. Struct. 2019, 1186, 204–211. [Google Scholar] [CrossRef]
- Zou, Y.; Tao, Q.; Xu, F.; Ding, Z.; Tian, Y.; Cui, Y. A new dibenzothiophene-based dual-channel chemosensor for cyanide with aggregation induced emission. Anal. Methods 2019, 11, 5553–5561. [Google Scholar] [CrossRef]
- Demina, O.A.; Medvedeva, M.M.; Vu, A.S.; Larina, T.D.; Mitroshina, L.I.; Shemyakina, I.V. Catalyst-free three-component synthesis of hydroxyalkyltriazolylmethylidene barbiturates. Mendeleev Commun. 2019, 29, 655–657. [Google Scholar] [CrossRef]
- Li, H.; Ma, D.; Wang, J.; Liu, H.; Yang, L. A novel barbituric-based fluorescent probe with aggregation induced emission for the highly sensitive ratiometric detection of cyanide anions. J. Mater. Sci. 2021, 56, 1373–1385. [Google Scholar] [CrossRef]
- Asgari, M.; Azizian, M.S.; Montazer, H.N.; Mohammadi-Khanaposhtani, M.; Asadi, M.; Sepehri, B.; Ranjbar, S.; Rahimi, P.R.; Biglar, R.; Larijani, M.; et al. New 1,2,3-triazole–(thio)barbituric acid hybrids as urease inhibitors: Design, synthesis, in vitro urease inhibition, docking study, and molecular dynamic simulation. Arch. Pharm. 2020, 353, e2000023. [Google Scholar] [CrossRef]
- Amieva, M.R.; El-Omar, E.M. Host-Bacterial Interactions in Helicobacter pylori Infection. Gastroenterology 2008, 134, 306–323. [Google Scholar] [CrossRef] [PubMed]
- Rautelin, T.U.; Seppala, H.; Renkonen, K.; Vainio, O.V.; Kosunen, U. Role of metronidazole resistance in therapy of Helicobacter pylori infections. Antimicrob. Agents Chemother. 1992, 36, 163–166. [Google Scholar] [CrossRef] [PubMed]
- Raza, M.; Abbas, H.; Hassan, Q.; Eo, S.K.; Ashraf, S.H.; Kim, Z.; Phull, D.; Kim, A.R.; Kang, S.J.; Seo, S.Y. Isolation, characterization, and in silico, in vitro and in vivo antiulcer studies of isoimperatorin crystallized from Ostericum Koreanum. Pharm. Biol. 2017, 55, 218–226. [Google Scholar] [CrossRef] [PubMed]
- Refat, M.S.; Adam, A.M.A. Structural, thermal, kinetic and pharmacology in vitro studies of H-bonded complexes formed between the sedative-hypnotic drug 5,5-diethylbarbituratic acid with various acceptors: Liquid and solid characterization. J. Mol. Liq. 2014, 196, 142–152. [Google Scholar] [CrossRef]
- Zhang, X.; Xu, H.; Tao, Z.; Li, F.; Cui, Y.; Li, Y. New barbituric acid derivatives for data encryption and decryption based on the mechanochromic fluorescence effect. Analyst 2020, 145, 5325–5332. [Google Scholar] [CrossRef]
- Zhang, L.; Cui, H.; Tao, Y.; Zhang, F.; Xu, D.; Guo, Z. Multi-purpose barbituric acid derivatives with aggregation induced emission. Spectrochim. Acta Part A Mol. Biomol. Spectrosc. 2019, 223, 117320. [Google Scholar] [CrossRef] [PubMed]
- Zhang, X.; Huang, X.; Gan, J.; Wu, X.; Yu, Z.; Zhou, J.; Tian, H.; Wu, Y. Two multi-Functional aggregation-Induced emission probes: Reversible mechanochromism and bio-imaging. Sens. Actuators B Chem. 2017, 243, 421–428. [Google Scholar] [CrossRef]
- Ma, Q.; Yang, Y.; Liu, J.; Xia, S.; She, H.; Jiang, P.; Zhao, R. Phosphorescent Ionic Iridium(III) Complexes Displaying Counterion-Dependent Emission Colors for Flexible Electrochromic Luminescence Device. Adv. Opt. Mater. 2017, 5, 1700587. [Google Scholar] [CrossRef]
- Wang, S.Q.; Huang, J.Y.; Wei, R.W.; Xi, Z.; Dong, X.J.; Zang, X.Y. Linker Flexibility-Dependent Cluster Transformations and Cluster-Controlled Luminescence in Isostructural Silver Cluster-Assembled Materials (SCAMs). Chem. A Eur. J. 2019, 25, 3376–3381. [Google Scholar] [CrossRef]
- Lou, Y.; Zhang, X.; Li, Z.; Ou, S.; Wan, D.; Qin, Z.; Li, J. A new polyfluorene bearing pyridine moieties: A sensitive fluorescent chemosensor for metal ions and cyanide. Polym. Chem. 2012, 3, 1446–1452. [Google Scholar] [CrossRef]
- Wu, Z.; Li, K.; Chen, J.; Yao, X.; Shao, J. Synthesis of novel multi-hydroxyl: N-halamine precursors based on barbituric acid and their applications in antibacterial poly(ethylene terephthalate) (PET) materials. J. Mater. Chem. B 2020, 8, 8695–8701. [Google Scholar] [CrossRef]
- Zhu, E.Y.X.; Watson, J.B.; Tang, E.M.; Chen, J. A synthetic polymer system with repeatable chemical recyclability. Science 2018, 360, 398–403. [Google Scholar] [CrossRef]
- Flores, A.; Basterretxea, I.; Etxeberria, A.; González, J.; Ocando, A.; Vega, C.; Martínez-Salazar, J.F.; Sardon, A.J.; Müller, H. Organocatalyzed Polymerization of PET- mb-poly(oxyhexane) Copolymers and Their Self-Assembly into Double Crystalline Superstructures. Macromolecules 2019, 52, 6834–6848. [Google Scholar] [CrossRef]
- Pham, D.Q.; Nguyen, C.T.; Phan, B.T.; Pham, H.T.Q.; Hoang, L.H.; Nguyen, C.N.; Lee, N.N.; Kang, P.C.; Kim, S.J.; Hoang, J. Highly efficient fire retardant behavior, thermal stability, and physicomechanical properties of rigid polyurethane foam based on recycled poly(ethylene terephthalate). J. Appl. Polym. Sci. 2020, 137, 49110. [Google Scholar] [CrossRef]
- Hu, K.; Wu, G.; Ma, J. Aromatic copolyesters with enhanced crystallizability and mechanical properties by adding the renewable nipagin-based composition. RSC Adv. 2016, 6, 21555–21563. [Google Scholar] [CrossRef]
- Mahata, L.H.; Bhaumick, A.; Panday, P.; Yadav, A.K.; Parvin, R.; Choudhury, T. Multicomponent synthesis of diphenyl-1,3-thiazole-barbituric acid hybrids and their fluorescence property studies. New J. Chem. 2020, 44, 4798–4811. [Google Scholar] [CrossRef]
- Wei, X.; Jiang, H.; Liu, Z. Liquid-based growth of polymeric carbon nitride films and their extraordinary photoelectrocatalytic activity. RSC Adv. 2016, 6, 81372–81377. [Google Scholar] [CrossRef]
- Wu, L.; Zhang, H.; Wu, W.; Liu, Y.; Meng, N.; Xie, F.; Yan, Y. A 7-diethylaminocoumarin-based chemosensor with barbituric acid for hypochlorite and hydrazine. Microchem. J. 2020, 159, 105461. [Google Scholar] [CrossRef]
- Adams, A.F.; Roger, T. ETHYL PHENYLACETATE. Org. Synth. 1922, 2, 27. [Google Scholar]
- Levene, P.A.; Meyer, G.M. ETHYL PHENYLMALONATE. Org. Synth. 1936, 16, 33. [Google Scholar] [CrossRef]
- Chamberlain, L.B.; Chap, J.S.; Doyle, J.J.; Spaulding, J.E. The Synthesis of 5,5-Alkylphenylbarbituric Acids. J. Am. Chem. Soc. 1935, 57, 352–354. [Google Scholar] [CrossRef]
- Nelson, W.L.; Cretcher, L.H. The preparation of ethyl phenylmalonate and of 5-phenyl-beta-hydroxyethylbarbituric acid1. J. Am. Chem. Soc. 1928, 50, 2758–2762. [Google Scholar] [CrossRef]
- Makosza, M.; Jonczyk, A. PHASE-TRANSFER ALKYLATION OF NITRILES: 2-PHENYLBUTYRONITRILE. Org. Synth. 1976, 55, 91. [Google Scholar]




















































































| S. No. | Barbituric Acid Derivative | Structure | Application | Reference |
|---|---|---|---|---|
| 1 | 1-Ethyl-5-(E)-3-phenylallylidene) pyrimidine-2,4,6(1H,3H,5H)-trione | ![]() | Effective antitumor compound, used for lung cancer | [76] |
| 2 | Barbitone | ![]() | Shows hypnotic properties | [77] |
| 3 | Phenobarbitone | ![]() | Shows anticonvulsant properties | [78] |
| 4 | Hexobarbitone | ![]() | Shows anesthetic properties | [79] |
| 5 | 1,3-Dimethyl barbituric acid derivative | ![]() | Shows anti-proliferative activity toward cancer cell line | [80,81] |
| 6 | Thio-barbituric acid derivative | ![]() | Shows in vitro inhibitory activity | [82] |
| 7 | 5-Bezylidene-2-thioxodihydropyrimidinone | ![]() | Shows in vitro inhibitory activity against PARP1 | [83] |
| 8 | 5-Salicylidene barbituric acid | ![]() | Shows antimicrobial, antioxidant, and anticancer activities | [84] |
| 9 | 5-(Phenyl-azo)thio barbituric acid | ![]() | Shows effective antimicrobial activities against fungal species | [85] |
| 10 | 4-Hydroxy-4H-chromene barbiturates | ![]() | Shows various medical applications | [34] |
| 11 | Pyrazolopyranopyrimidinone barbituric acid derivative | ![]() | Anti-inflammatory, anticancerous, and antimicrobial; also applied in agrochemicals | [86] |
| 12 | Pyrimido[4,5-b] quinolinone-2,4-diones | ![]() | Shows antimicrobial properties | [35,87] |
| 13 | 5-Benzylidene barbituric acid derivative | ![]() | Shows antibacterial, anti-leprotic, sedative–hypnotic, and anticonvulsant activities | [88] |
| 14 | N,N′-Diethylthio barbituric enamine | ![]() | Shows anti-glycation activity | [89] |
| 15 | TFM-based Barbituric acid | ![]() | Used in pharmaceuticals and agrochemicals | [38] |
| 16 | Pyrimidine-fused barbituric acid derivative | ![]() | Exhibits antitumor, antioxidant, and antiviral activities | [90] |
| 17 | Chromene-based barbituric acid derivative | ![]() | Shows biological and pharmaceutical possessions | [91] |
| 18 | Pyrano[2,3-d] pyrimidine derivatives | ![]() | Anti-allergic, anti-hypertensive, cardiotonic, bronchodilator, anti-bronchitic, and antitumor activities | [92] |
| 19 | Spiro-based barbituric acid derivative | ![]() | Used as an anti-urease, shows antimicrobial and antifungal properties, also used in the agricultural field | [42,93] |
| 20 | Disubstituted spiro-fused barbituric acid derivative | ![]() | Antibacterial, antifungal and antiviral | [94,95] |
| 21 | Spiro-based heterocyclic barbituric acid derivative | ![]() | Applied in the formation of natural products and used in the medicinal field | [96] |
| 22 | Chromeno-fused pyrimidine barbituric acid derivative | ![]() | Shows pharmaceutical and various biological activities | [97] |
| 23 | Naphthopyranopyrimidine-based barbituric acid | ![]() | Anti-hypertensive, antibacterial, antimicrobial, antitumor | [98] |
| 24 | Phosphonate-based barbituric acid | ![]() | Used as a therapeutic drug and in insecticides as well as pesticides | [99] |
| 25 | 1-[anilino (phenyl) methyl]-pyrimidine-2,4,6-trione | ![]() | Shows antimicrobial properties, anti-corrosive properties | [100] |
| 26 | Spiro oxindole-dihydropyridine-based barbituric acid | ![]() | Used in the treatment of hypertension and angina pectoris | [101] |
Disclaimer/Publisher’s Note: The statements, opinions and data contained in all publications are solely those of the individual author(s) and contributor(s) and not of MDPI and/or the editor(s). MDPI and/or the editor(s) disclaim responsibility for any injury to people or property resulting from any ideas, methods, instructions or products referred to in the content. |
© 2024 by the authors. Licensee MDPI, Basel, Switzerland. This article is an open access article distributed under the terms and conditions of the Creative Commons Attribution (CC BY) license (https://creativecommons.org/licenses/by/4.0/).
Share and Cite
Kaur, N.; Kaur, M.; Sohal, H.S.; Han, H.; Bhowmik, P.K. A Review on Barbituric Acid and Its Derivatives: Synthesis, Reactions, and Bio-Applications. Organics 2024, 5, 298-345. https://doi.org/10.3390/org5030017
Kaur N, Kaur M, Sohal HS, Han H, Bhowmik PK. A Review on Barbituric Acid and Its Derivatives: Synthesis, Reactions, and Bio-Applications. Organics. 2024; 5(3):298-345. https://doi.org/10.3390/org5030017
Chicago/Turabian StyleKaur, Navneet, Manvinder Kaur, Harvinder Singh Sohal, Haesook Han, and Pradip K. Bhowmik. 2024. "A Review on Barbituric Acid and Its Derivatives: Synthesis, Reactions, and Bio-Applications" Organics 5, no. 3: 298-345. https://doi.org/10.3390/org5030017
APA StyleKaur, N., Kaur, M., Sohal, H. S., Han, H., & Bhowmik, P. K. (2024). A Review on Barbituric Acid and Its Derivatives: Synthesis, Reactions, and Bio-Applications. Organics, 5(3), 298-345. https://doi.org/10.3390/org5030017



























