Next Article in Journal
Comparative Study of Voltage Amplification in Cylindrical FE-FE-DE and FE-DE Heterostructures
Previous Article in Journal
A Numerical Study on Heat Transfer Enhancement Mechanism of Composite Materials Based on Oriented Multi-Dimensional Fillers
 
 
Font Type:
Arial Georgia Verdana
Font Size:
Aa Aa Aa
Line Spacing:
Column Width:
Background:
Article

Enhancement of the Ferroelectric and Ferromagnetic Characteristics of Composite Multiferroics to Facilitate Broadband Electromagnetic Wave Absorption

1
Faculty of Fundamental Science, Hanoi University of Industry, No. 298 Cau Dien Street, Tay Tuu Ward, Hanoi 100000, Vietnam
2
Faculty of Physics, Hanoi University of Science, Vietnam National University, 334 Nguyen Trai, Thanh Xuan, Hanoi 100000, Vietnam
3
Faculty of Chemico-Physical Engineering, Le Quy Don Technical University, Hanoi 100000, Vietnam
4
Institute of Materials Science, Vietnam Academy of Science and Technology, 18 Hoang Quoc Viet, Hanoi 100000, Vietnam
5
Faculty of Materials Science, Graduate University of Science and Technology, Vietnam Academy of Science and Technology, 18 Hoang Quoc Viet, Hanoi 100000, Vietnam
*
Author to whom correspondence should be addressed.
Electron. Mater. 2025, 6(4), 20; https://doi.org/10.3390/electronicmat6040020
Submission received: 9 September 2025 / Revised: 27 October 2025 / Accepted: 19 November 2025 / Published: 24 November 2025

Abstract

Multiferroic composites of xNi0.8Zn0.2Fe2O4/(1 − x)BaTiO3 (x = 0, 0.1, 0.3, 0.5, labeled NZFO/BTO) with ~100 nm particle size were synthesized via high-energy ball milling and thermal annealing. The X-ray diffraction shows a co-existence of the ferromagnetic phase of NZFO and the ferroelectric phase of BTO. Our observations indicate that saturation, remanence, and coercivity progressively increase with increasing NFO content, specifically from x = 0 to x = 0.5. At x = 0.1, the maximum electric polarization, remanent electric polarization, coercivity and electric power loss density reach their maximum values of ~0.057 µC/cm2, 0.018 µC/cm2, 3.25 kV/cm and 0.222 mJ/cm3, respectively, for an applied electric field less than 10 kV/cm. These multiferroic composites demonstrate excellent electromagnetic wave absorption capabilities from 2 to 18 GHz. With BTNF1 (x = 0.1) sample thickness of 2.5–3.5 mm, a minimum reflection loss of −41.51, −37, −28.72 dB corresponds to frequencies of 12.52 GHz, 11 GHz and 9.32 GHz. The effective absorption bandwidth for this sample is 11.5–16 GHz, indicating optimal impedance and attenuation matching and effective absorption of electromagnetic waves throughout the Ku bands. These outcomes reveal the capability for wideband absorption uses in radar invisibility technology and electromagnetic insulation.

1. Introduction

Nowadays, microwaves power wireless communication and biomedical applications due to their rapid transmission, wide frequency range, and strong anti-interference capabilities, enabling efficient data transfer in devices like mobile phones, wireless networks, satellites, and radar, thus driving societal and technological progress. However, their widespread use causes electromagnetic pollution, which disrupts electronic devices and poses health risks, including cancer and neurological issues [1,2,3,4,5]. To address this, microwave-absorbing materials have been developed to convert electromagnetic (EM) energy into heat, reducing radiation and protecting both the environment and human health [3,4,5,6,7,8]. These materials, categorized into ceramics, magnetic metals, and carbon-based types, effectively absorb electromagnetic waves (EMW), particularly in the X and Ku bands (8–18 GHz), through dielectric and magnetic losses [9,10,11,12,13,14]. Among them, multiferroic composites, combining ferroelectric and ferromagnetic properties, outperform single-phase materials due to their robust magnetoelectric coupling, high stability, and efficiency at room temperature [15,16,17]. This makes them ideal for applications beyond EM wave absorption, including radar stealth, electromagnetic compatibility, data storage, sensors, and energy harvesting, fostering interdisciplinary innovation [11,16,17]. Multiferroic composites typically consist of two phases: a ferroelectric phase, such as BaTiO3 (BTO), and a ferromagnetic phase, often MFe2O4 ferrites (where M is Ni, Zn, Co, etc.). In EM wave absorption applications, BTO and MFe2O4 are key components, each contributing distinct properties to enhance the composite’s absorption efficiency [10,12,18,19]. BTO, a leading ferroelectric material, is characterized by a high piezoelectric coefficient and significant dielectric loss, serving as the dielectric component. Due to the presence of oxygen vacancies, Barium Titanate (BTO) is classified as a semiconductor material with an electrical conductivity ranging from approximately 10−7 to 10−12 S⋅cm−1, depending on its composition and processing conditions [20]. Its tetragonal crystal structure features 90° domain walls that oscillate under microwave frequencies, generating elastic shear waves and dissipating energy through Debye-like relaxation, a primary mechanism for microwave absorption. BaTiO3, a perovskite with an ABO3 structure, features oxygen atoms as the linking element between Ba2+ and Ti4+ cations. During crystal formation, oxygen bonds are prone to breaking due to their relatively low bond energy compared to cation-metal bonds, leading to oxygen vacancies in the lattice, particularly when energy input is insufficient to maintain an ideal structure. BaTiO3 is typically synthesized at high temperatures through methods like sintering, solid-state reactions, or hydrothermal processes. At elevated temperatures, oxygen atoms tend to escape the lattice as O2 gas, especially in low oxygen pressure environments or ambient air, resulting in oxygen vacancy formation. The formation energy of oxygen vacancies in BaTiO3 is relatively low, particularly in the perovskite structure. These vacancies alter the oxidation state of Ti (from Ti4+ to Ti3+) to compensate for charge imbalance, making oxygen vacancies an energetically stable defect under various synthesis conditions [20]. Oxygen vacancies in BTO’s lattice slow domain wall movement, enhancing dielectric loss and improving absorption efficiency [21]. With a high dielectric constant and tunable loss in the GHz range, BTO efficiently converts EM energy into heat. Absorption performance is highly dependent on particle size: BTO nanoparticles (50–100 nm) exhibit superior absorption due to their high surface-to-volume ratio, increased domain wall density, and optimized oxygen vacancy effects, achieving reflection losses as low as −26 dB, ideal for Ku-band applications. In contrast, larger microscale particles (>1 µm) are less effective due to reduced domain wall mobility. Optimizing particle size and oxygen vacancy concentration further enhances performance [18,21]. Therefore, to absorb electromagnetic waves in the Ku band, the development of BTO materials with a sufficient quantity and a particle size of approximately 100 nm is considered to play a crucial role.
MFe2O4 ferrites complement BTO in composites by providing magnetic loss, particularly in the Ku band, through mechanisms such as magnetic domain resonance and eddy current losses. Ferrites like Ni-Zn or Mn-Zn enhance composite performance due to their high magnetic permeability, which improves impedance matching with free space, allowing more EM energy to penetrate the material rather than being reflected [19]. The synergy between BTO’s dielectric loss and MFe2O4’s magnetic loss creates a dual-loss mechanism, broadening the absorption bandwidth and increasing overall efficiency [15]. BTO’s high dielectric constant is balanced by the magnetic properties of ferrites, optimizing permittivity and permeability for effective absorption. The magnetic properties of ferrites and BTO’s dielectric properties can be tuned by adjusting composition, particle size, or ferrite loading (typically 10–50% by weight). Excessive ferrite loading may reduce BTO’s dielectric loss, making an optimal balance critical. Nanoscale ferrite beads, due to their high surface area, integrate effectively with BTO nanoparticles (about 100 nm), aligning resonance frequencies with the Ku band to enhance absorption [21]. Besides, numerous studies on the electromagnetic wave absorption capabilities of multiferroic materials composed of MFe2O4/BTO have reported impressive results for absorption in the Ku and X bands; however, the absorption bandwidth remains relatively narrow (approximately 2–3 GHz) [22,23,24]. Among MFe2O4 ferrites, Ni1 − xZnxFe2O4, a soft magnetic material with an inverse spinel structure, offers excellent thermal stability and high electrical resistivity [19,25,26]. The incorporation of Zn2+ ions into NiFe2O4 enhances magnetization by reconfiguring cation distribution, with Zn2+ ions preferentially occupying tetrahedral sites [19,25]. Ni1 − xZnxFe2O4 exhibits significantly higher electrical conductivity, typically in the range of 10−3 to 10−7 S⋅cm−1. This enhanced conductivity in NZFO is primarily due to the electron exchange between metal ions in different valence states, such as Fe2+ and Fe3+, Ni2+ and Fe3+, which facilitates charge transport within the material. Currently, the NZFO material has attracted significant research interest regarding its synthesis methods and properties due to its typical soft magnetic characteristics, which offer numerous practical applications [26,27,28,29,30,31]. Additionally, when combined with ferroelectric materials, it can play a role in tuning the dielectric constant and altering the loss characteristics across the frequency range of 1–18 GHz. With the presence of NZFO, at these frequencies, the primary mechanism contributing to the dielectric constant is dipole polarization. In the dipole polarization model, the orientation process of dipoles may not be fast enough to induce changes in the external field; consequently, as the frequency increases, the real part of the electrical permittivity decreases. The real and imaginary magnetic permeabilities indicate that this behavior is typical for ferrimagnetic materials. This suggests that the primary losses in NZFO-based composites can be attributed to electrical losses (dipole polarization) [32]. Recently, Moitra D and colleagues demonstrated that Ni0.8Zn0.2Fe2O4 (NZFO) is an effective magnetic loss component, dissipating EM energy through natural resonance and eddy current losses due to its high saturation magnetization and resistivity [33]. When combined with reduced graphene oxide (RGO), the NZFO-RGO composite achieves a minimum reflection loss of approximately 99% in the X-band (10.22–12.4 GHz), benefiting from RGO’s lightweight nature, which addresses issues such as high density and narrow absorption bands in other ferrites [33]. However, studies on the EM wave absorption capabilities of multiferroic composites formed by combining the ferromagnetic phase Ni0.8Zn0.2Fe2O4 with the ferroelectric phase BTO have not been previously reported. In this study, the material xNi0.8Zn0.2Fe2O4/(1 − x)BaTiO3 will be synthesized and investigated for its electrical and magnetic properties as a function of the NZFO ferromagnetic phase content using high-energy mechanical milling combined with heat treatment. Based on these findings, the material with optimal electrical and magnetic properties will be selected to evaluate its EM wave absorption performance in the 2–18 GHz frequency range. Ongoing research into NZFO/BTO composites marks a significant advancement in the field of multiferroic materials, expanding their potential for high-frequency EM wave absorption and shielding applications in the X or Ku bands for military purposes.

2. Materials and Methods

The xNi0.8Zn0.2Fe2O4/(1 − x)BaTiO3 multiferroic composite was synthesized from two distinct phases. The ferroelectric BTO phase was prepared from BaCO3 and TiO2 precursors, while the ferromagnetic NZFO phase was synthesized from NiO, Fe2O3, and ZnO. All starting chemicals, with a purity of ≥99.9%, were weighed according to stoichiometric ratios for each material and dried to remove moisture. The precursor powders for NZFO (NiO, ZnO, Fe2O3) and BTO (BaCO3, TiO2) were milled separately in different containers for 1 h using a SPEX SamplePrep 8000D Mixer/Mill (SPEX SamplePrep LLC, Metuchen, NJ, USA) at 875 rpm. The obtained powders were then pressed into pellets at 7000 kg/cm2 and sintered at 1000 °C for 5 h to facilitate chemical reactions forming BTO and NZFO. The synthesized NZFO and BTO pellets were ground into fine powders, weighed to prepare composites with x = 0.0, 0.1, 0.3, and 0.5, co-milled for 1 h, pressed into pellets at 7000 kg/cm2, and annealed at 700 °C for 5 h with a heating rate of 5 °C/min. After sintering, the samples were high-energy ball-milled for 1 h in air to produce fine powders. The samples were analyzed as follows: (i) Structural and Morphological Analysis: X-ray diffraction (XRD) using a Thermo Scientific Equinox 5000 (Thermo Fisher Scientific Inc., Waltham, MA, USA) determined crystal structure, USA; SEM images from a Hitachi Fe-SEM S4800 (Hitachi Ltd., Tokyo, Japan), assessed particle size and morphology; EDX with an Oxford Instruments Aztec system evaluated elemental composition. (ii) Electrical and Magnetic Properties: P(E) hysteresis loops were measured with a Precision LC II Model 609 (Radiant Technologies, Inc.,Albuquerque, NM, USA) under a 10 kV/cm field; M(H) hysteresis loops were characterized using a vibrating sample magnetometer (Quantum Design Inc., San Diego, CA, USA). (iii) Microwave Absorption Properties: NZFO/BTO powders were mixed with paraffin (4:6 ratio), shaped into toroidal samples, and tested for S-parameters using a Keysight PNA-X VNA, (Keysight Technologies, Inc., Santa Clara, CA, USA) (2–18 GHz). The samples were measured using a transmission-line method in a coaxial waveguide with an outer diameter of 7.00 mm and an inner diameter of 3.04 mm. The measurement system was calibrated following the standard procedures of the PNA vector network analyzer. After acquisition of the scattering parameters, the complex permittivity and complex permeability were extracted using the Nicolson–Ross–Weir (NRW) method. From these electromagnetic parameters, we then calculated the intrinsic impedance and the reflection loss. Complex permittivity and permeability were derived via the Nicolson-Ross-Weir method, and microwave absorption was calculated using transmission line theory.

3. Results and Discussion

X-ray diffraction (XRD) patterns for all samples at room temperature are presented in Figure 1a. The x = 0 sample exhibits a pure BTO phase with a tetragonal structure, denoted by Miller indices (hkl) like (100), (110), (111), (002), (210), (211), and (220). Other samples show NFO phase peaks (cubic structure, marked with asterisks *), alongside BTO peaks. No peak shifts or unusual peaks were detected, indicating stable BTO and NZFO phase coexistence without new phases forming during heat treatment. Raman spectroscopy is regarded as an effective method for detecting minor structural deformations and symmetry characteristics in perovskite materials. The Raman spectra of the xNZFO/(1 − x)BTO composite are presented in Figure 1b. The xNZFO/(1 − x)BTO composite is characterized by a fundamental BaTiO3 (BTO) matrix possessing a perovskite structure, and thus, the same Raman modes as those observed in pure BTO are exhibited. The assignment of spectral bands was conducted based on reference data for pure BTO. The resonance frequencies corresponding to [E(LO), A1(LO), E(TO)], [E(TO), A1(TO)], and [E(LO), A1(LO)] were found to be positioned at 535.77 cm−1 and 731.45 cm−1, respectively, across all samples, indicating that a tetragonal phase is maintained by the material. As the NZFO concentration is increased, the intensity of the spectral peaks associated with wavenumbers 529.77 cm−1 and 709.84 cm−1 is significantly reduced, accompanied by a gradual broadening trend. With a progressive increase in NZFO content, the spectral peaks linked to wavenumbers 172.07 cm−1, 535.77 cm−1, and 731.45 cm−1 are slightly shifted to peaks corresponding to wavenumbers 176.07 cm−1, 519.77 cm−1, and 731.45 cm−1. These shifts are attributed to variations within the perovskite structure of the composite. Although both the ferroelectric BTO phase and the ferromagnetic NFO phase coexist within the composite, no chemical interactions are observed. Nonetheless, electromagnetic interactions are still manifested at the interface between the two phases, resulting in a minor impact on the material’s structure.
Scanning electron microscopy (SEM) images (Figure 2a–c) of BTO, BTNF1, BTNF3, and BTNF5 reveal uneven grains, ranging from tens to hundreds of nanometers, with smaller particles adhering to larger ones. Grain orientation seems random due to diverse interactions. Average grain size (~100 nm) was determined using grain size analysis software with a Hitachi S4800 FE-SEM. Low electrical conductivity led to indistinct grain boundaries, causing particle clustering. Particle size remained uniform across compositions and NZFO content. The BTO and NZFO particles in the composite typically have sizes around 100 nm, resulting in a high surface area-to-volume ratio. This enhances the attractive forces between particles, primarily through van der Waals (dispersion) forces and electrostatic interactions, leading to their facile agglomeration. EDX spectra confirmed the presence and distribution of Ba, Ti, O in BTO, and Ni, Zn, Fe, O in composite samples, with element ratios closely matching nominal values and no foreign elements detected, as shown in Figure 2d–f.
Figure 3 shows M(H) hysteresis loops for all samples at room temperature. Most samples display ferromagnetic behavior, except the BTO sample, which is clearly paramagnetic with low magnetization. In NZFO/BTO composites, magnetization rises significantly with increasing NZFO content, with saturation magnetization (Ms) increasing from 10.11 to 29.48 emu/g and remanent magnetization (Mr) growing from 0.64 to 1.65 emu/g as the NZFO fraction (x) ranges from 0.1 to 0.5, aligning with previous studies. Coercivity (Hc) drops from 57.31 Oe at x = 0.1 to 23.62 Oe at x = 0.3, then slightly rises toward x = 0.5, a pattern noted in some research [33,34], though the link between ferrite content and coercivity can be complex. In multiferroic composites, higher magnetic phase content typically boosts both Ms and Mr.
This trend is consistent with our findings for xNi0.7Zn0.3Fe2O4/(1 − x)BaTiO3 composites, where the saturation magnetization increased with a greater magnetic phase content [35]. Our results are further supported by studies on similar multiferroic materials, such as the (1 − x)Ba0.85Ca0.15Ti0.9Zr0.1O3/xCo0.6Zn0.4Fe1.7Mn0.3O4 (BCZT/CZFMO) composites, in which Ms values varied from 6.32 to 41.08 emu/g as the ferrite concentration was increased [36]. The NZFO ferromagnetic phase significantly enhances the magnetic properties of the composite material. Unlike saturation magnetization, the coercive field (Hc) in multiferroic composites exhibits complex behavior. Studies suggest Hc often increases with higher magnetic phase content compared to pure components, rather than simply decreasing. In xNi0.7Zn0.3Fe2O4/(1 − x)BaTiO3 (NZF/BT) composites [34], Hc decreased with higher ferroelectric phase content, implying that greater magnetic phase concentration raises Hc. Notably, Hc values for NZF/BT composites exceeded those of the pure xNi0.7Zn0.3Fe2O4/(1 − x)BaTiO3 sample (0.018 Oe) [35], indicating that adding a magnetic phase boosts the coercive field. Similar trends were observed in BCZT/CZFMO composites, where Hc surged with increasing ferrite content [36], due to ferromagnetic CZFMO pinning ferroelectric domains, impeding domain wall movement and requiring a stronger magnetic field to reverse magnetization [36]. These results confirm the ferromagnetic phase’s critical role in modifying Hc in multiferroic composites. However, the non-monotonic behavior of Hc (decreasing then slightly increasing at high concentrations) lacks a direct explanation in the sources, likely influenced by complex factors like microstructural changes, grain size, and interface effects [12,16].
As is well established, in multiferroic materials, the electromagnetic wave absorption capability is significantly influenced by the electromagnetic interaction effects occurring at the interface between the ferroelectric and ferromagnetic phases. The emergence and enhancement of space charge at the interface between the ferroelectric BTO phase and the ferromagnetic NZFO phase lead to an increase in the material’s electric polarization, even in the absence of an external electric field. This implies that a higher remnant electric polarization corresponds to stronger electromagnetic interaction effects at the interface between the BTO and NZFO phases. Consequently, this enhances the electromagnetic wave absorption capability of the NZFO/BTO material [11].
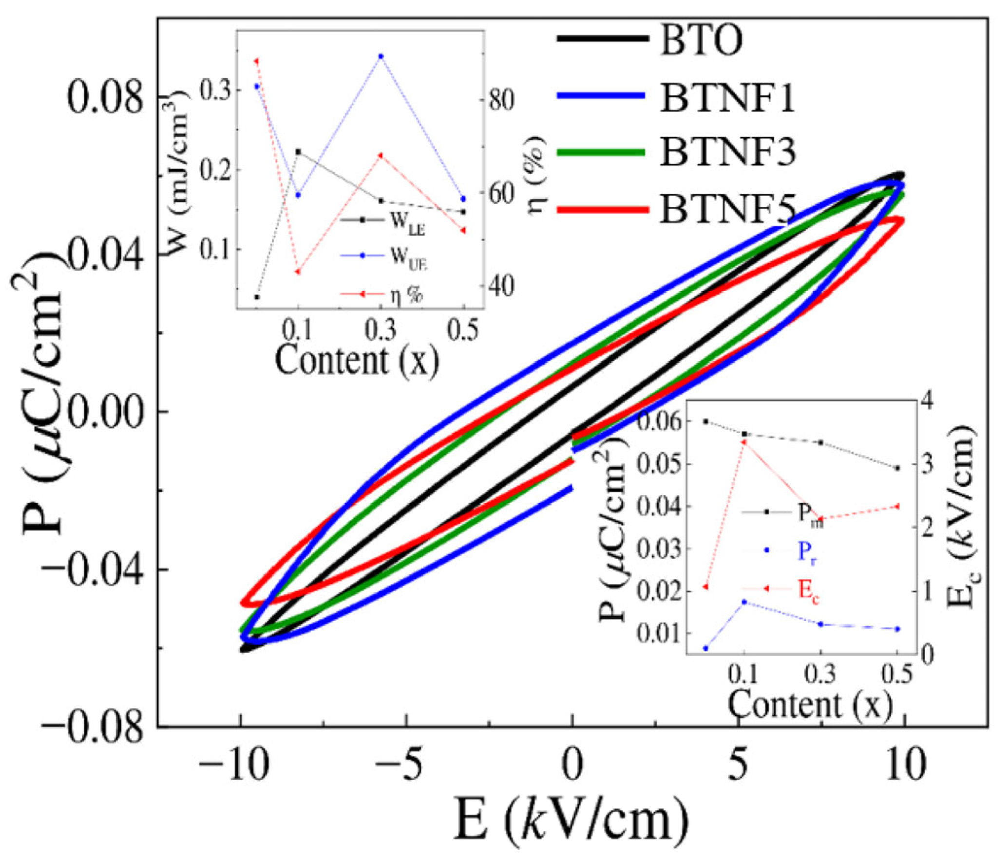
Figure 4 illustrates the ferroelectric hysteresis loops P(E) for NZFO/BTO composites, measured at room temperature with a peak voltage of 10 kV/cm and a 50 Hz frequency. These loops clearly exhibit ferroelectric behavior. As NZFO content increases from x = 0 to x = 0.5, the loops widen, and electric polarization rises significantly. The rounded, non-saturated P(E) loops result from leakage currents due to the less resistive ferrite phase compared to the ferroelectric phase. The remanent polarization (Pr) exhibits significant variation with increasing x, driven by space charge effects at the ferroelectric-ferrite interface, resulting from differences in electrical conductivity and permittivity. Pr serves as an indirect indicator of magnetoelectric coupling strength in multiferroic materials. A higher Pr enhances strain generation under an electric field, which transfers to the magnetostrictive phase, thereby modifying its magnetic properties. A larger polarization change (ΔP, from +Pr to −Pr or vice versa) maximizes strain transfer, thereby enhancing the magnetoelectric response. The piezoelectric coefficient, closely tied to Pr, reflects robust ferroelectric domain alignment, amplifying strain and facilitating effective strain-mediated magnetoelectric coupling. When an external electric field is applied to the NZFO/BTO composite, the BTO phase reorients its ferroelectric domains and polar nanoregions (PNRs), generating a strain (ΔS) proportional to the remnant polarization (Pr) [37,38,39]. This strain transfers to the NZFO phase via phase interfaces, where lattice mismatch between BTO’s perovskite and NZFO’s spinel structures induces local stress, altering NZFO’s magnetic properties through magnetoelastic coupling [37,38,39]. The polarization change (ΔP), defined by the ±Pr shift in the P-E hysteresis loop, determines the maximum strain and magnetoelectric response. In NZFO/BTO composites, ΔP depends on BTO’s reversible domain switching. Higher Pr, driven by interfacial space charge effects, enhances ΔP, improving strain transfer to NZFO and increasing the magnetoelectric coupling coefficient [40,41,42,43]. This enhances energy conversion between electric and magnetic fields, optimizing multiferroic composites for practical applications.
A material with high Pr is critical for achieving a large magnetoelectric coupling coefficient. Thus, the ferromagnetic NZFO phase with x = 0.1 is considered a promising candidate. These findings are consistent with previous studies on NZF/BT composites [35], where ferroelectric properties weakened as the nickel zinc ferrite content increased. This highly conductive phase led to atypical P-E hysteresis loop shapes. Specifically, Pr in NZF/BT composites increased from 0.19 µC/cm2 at 10% NZF to 0.44 µC/cm2 at 70% NZF, then decreased to 0.14 µC/cm2 at 90% NZF, demonstrating non-monotonic behavior [35]. Furthermore, when the NZFO content reaches x = 0.1, both the remanent polarization (Pr) and coercive field (Ec) increase sharply. This can be attributed to: (i) pinning of ferroelectric domains by the ferromagnetic phase, which impedes domain wall motion and necessitates a higher electric field for polarization reversal [11]; (ii) charge leakage from the conductive ferrite phase, which shorts polarized charges, reducing polarization and complicating P-E hysteresis loops [14,15]; and (iii) factors such as sample thickness, defects, mechanical stress, preparation conditions, and thermal treatment, all of which influence Ec [20]. Defects, such as oxygen vacancies, can act as pinning centers, hindering domain wall motion, leading to ferroelectric hardening and an increase in Ec [18,44]. However, as the ferromagnetic phase content continues to rise to higher values (x ≤ 0.5), both the coercive field (Ec) and energy loss increase significantly. The results obtained are considered quite impressive compared to previous studies on BaTiO3-based multiferroic composites as shown in Table 1.
The phenomenon is explained by the following factors: the excessive presence of the NZFO ferromagnetic phase pins the ferroelectric BTO domain walls. NZFO magnetic particles act as obstacles, impeding or pinning the motion of ferroelectric domain walls, making it more challenging to reorient ferroelectric polarization. Consequently, a higher external electric field is required to achieve polarization reversal. Additionally, defects such as oxygen vacancies or complexes involving Fe and Ti can serve as pinning centers, further complicating polarization and increasing Ec [30]. These effects impact the material’s energy storage capacity and contribute to changes in energy loss density. To choose materials with high attenuation properties that can efficiently absorb and block electromagnetic waves, this research [39,40,41,42,43] evaluated and examined their dissipation and energy retention abilities. Later sections will explore related discussions in detail. The retrievable energy storage density and effectiveness can be calculated using the given formulas [48]:
W UE = 0 P max E aplied dP induced
η P E = W U E W U E + W L E . 100
In the provided formulas, Eapplied is the external electric field, Pinduced is the resulting polarization, and ηP−E indicates energy storage efficiency. WUE and WLE denote recoverable and dissipated energy density, respectively, where the value of WLE is determined by the area of the plane region bounded by the P(E) curve in the first quadrant. This quantity characterizes the electrical energy loss of the material, which is calculated using Equations (1) and (2). The inset in the top left of Figure 4 displays P(E) curves and the relationship between WUE, WLE, and ηP−E with NZFO content in samples, measured at 1.25 kV. The research results on the energy storage and loss capabilities of NZFO/BTO materials are specifically presented in the inset figure located at the top left corner of Figure 4. The values of stored energy density and energy loss vary significantly with the NZFO ferromagnetic phase content. As the ferromagnetic phase content increases, the energy loss density values achieved are 0.04, 0.222, 0.16, and 0.15, respectively, while the storage efficiency changes correspondingly to 88.36, 43.08, 68.06, and 51.96%. The variation trend of energy storage efficiency (ηP-E) in NZFO/BTO composite materials, with the highest value at x = 0 (88.36%), a sharp drop at x = 0.1 (43.08%), and a recovery at x = 0.3 (68.06%), can be explained based on magnetoelectric coupling, interfacial effects, and changes in remnant polarization (Pr), energy loss density (WLE), and leakage current as the NZFO ferromagnetic phase content increases [9,15,35]. Below is a detailed analysis based on studies of similar ferrite-perovskite multiferroic composites, where high W_LE leads to reduced storage efficiency but can be recovered through structural optimization [10,34]. At a low ferromagnetic phase content (10% NZFO), the material achieves an ideal balance between the dominant ferroelectric BTO phase and the NZFO phase. The interface between perovskite (BTO) and spinel (NZFO) generates local stress and space charge accumulation, enhancing remnant polarization (Pr) and energy loss density (WLE, reaching 0.222—the highest) [9,22,31]. When NZFO content increases beyond 10%, the ferromagnetic phase introduces negative effects: increased overall conductivity of the composite (due to NZFO’s higher conductivity compared to BTO), leading to greater leakage current, reduced insulation, and increased WLE. Additionally, lattice mismatch at the interface intensifies, causing stronger ferroelectric domain pinning, reducing Pr and polarization reversibility, thereby decreasing recoverable energy (WUE) and ηP-E [10,18]. This sharp drop typically occurs at this threshold due to aggregation of the ferromagnetic phase, creating voids or defects that weaken breakdown strength and increase unwanted losses. This is observed in ferrite-perovskite composites, where efficiency decreases due to phase imbalance and increased leakage at intermediate ratios [9,35].
In this study, paraffin exhibits a relatively stable permittivity and is non-magnetic; thus, it does not alter the intrinsic electromagnetic properties of the ceramic filler itself. Therefore, paraffin provides a neutral host that does not interfere with the electromagnetic performance of the ceramic filler. To evaluate the changes in the dielectric constant and magnetic permeability of the material system, as well as the electromagnetic (EM) wave shielding and absorption properties of multiferroic composites with the composition xNZFO/(1 − x)BTO, these were blended as fillers at 40% in paraffin, forming NZFO-Paraffin (NZFO-P), BTO-Paraffin (BTO-P), and BTNF1-Paraffin (BTNF1-P) composites. Figure 5 displays frequency dependence of permittivity and permeability of NZFO-P, BTO-P, and BTBF1-P samples, highlighting impacts on their real and imaginary components and dielectric/magnetic losses.
The energy storage and loss properties of a material are influenced by the frequency-dependent behavior of its dielectric constant and magnetic permeability. The real part of the dielectric constant (Ɛ′), which reflects the material’s electrical energy storage capacity, is typically reduced as frequency increases. This is illustrated in Figure 5a,b, where Ɛ′ for BTO peaks at approximately 2.88, 12.87, and 16.2 GHz, and for NZFO at 8.16, 13.2, and 16.1 GHz, while BTNF1 shows peaks at 7.84 and 16.08 GHz. The material’s energy dissipation ability is tied to the imaginary part of the dielectric constant (Ɛ″). Within the 2–18 GHz range, multiple Ɛ″ peaks are observed.
High-energy ball milling (HEBM) produces an exceptionally high lattice defect density, with profuse oxygen vacancies (VO) [18,34], forming localized electric dipoles and heterogeneous charge trapping sites. The appearance of crystal lattice defects (such as vacancies, interstitials, impurities, dislocations, and lattice distortions) is the cause of the formation of local dipoles or defect-induced dipoles. Specifically, under the action of an alternating electric field, the orientation or hopping motion of these charges/dipoles—for example, an oxygen vacancy capturing an electron to form a dipole—will cause dipolar polarization or defect polarization. If the relaxation time of these dipoles coincides with the microwave frequency band (GHz), energy dissipation will produce dielectric loss peaks. Furthermore, the presence of multiple types of defects or the same type of defect in different lattice environments will lead to distinct relaxation times, thereby resulting in multiple loss peaks (Multiple Debye-type relaxations) in this frequency band [22,23].
For BTO-P, Ɛ″ peaks at 4.8, 6.8, and 8.56 GHz, with decreasing magnitudes. In the case of BaTiO3 (BTO), dielectric loss in the gigahertz frequency region originates from domain-wall contributions, polarization relaxation dominated by dipole polarization and interfacial polarization, both of which can generate Debye-like relaxations under an alternating EM field, as reported previously [22,23]. The amplitude of this dipolar polarization and the dispersion of relaxation frequencies are governed by the domain configuration and the density of domain-wall pinning centers. High-energy ball milling (HEBM) induces a polydisperse particle size distribution, resulting in a broadened distribution of relaxation times that manifests as multiple resonant peaks. The substantial disparities in permittivity and conductivity between the BTO lattice interior, grain boundaries, and amorphous phases generated by intensive mechanochemical processing engender interfacial charge accumulation, which is evidenced as distinct GHz-range resonances. In conventional BTO synthesized via traditional ceramic routes with coarse-grain morphology, GHz-range dielectric losses are predominantly associated with domain-wall dynamics and intrinsic ferroelectric dipolar relaxation. Such materials exhibit a singular, well-defined relaxation maximum near 10 GHz or above, reflective of homogeneous relaxation kinetics. However, HEBM reduces crystallite size to the nanoscale (~100 nm) while simultaneously introducing substantial internal lattice strain [18,34], which distorts and rigidifies interatomic bonds. This mechanochemical modification induces both dispersion and hypsochromic shifting of the relaxation spectrum, supplanting the characteristic 10 GHz peak with a multi-modal distribution comprising subordinate maxima at 4.8, 6.8, and 8.56 GHz [44]. This spectral broadening and red-shift signify an expanded relaxation time continuum, attributable to the heterogeneous polarization landscape encompassing defect-induced dipoles, interfacial Maxwell-Wagner effects, and polydomain wall contributions with disparate activation energies [44]. For NZFO-P, peaks occur at 4, 10.1, and 11.92 GHz, and for BTNF1-P, the highest Ɛ″ values are recorded at 10.32 and 12.08 GHz, aligning with peak shifts in NZFO-P and BTO-P. Notably, in the 11.5–13.3 GHz range, BTNF1-P’s Ɛ″ significantly surpasses that of NZFO and BTO-P, as highlighted in the circled graph region, indicating a substantial enhancement of Ɛ″ by the NZFO phase in the multiferroic material. This increase is attributed to: (i) delayed charge movement and accumulation in the 11.5–13.3 GHz AC frequency range, causing energy dissipation due to conductivity differences from the ferroelectric NZFO phase [11]; and (ii) lattice defects from fabrication, creating charge carrier traps that lead to energy loss through interactions with the lattice [47]. When investigating dielectric loss, the imaginary part of the dielectric constant (ε″) is considered a critical parameter [10,13]. The dielectric loss study of BTO-P, NZFO-P, and BTNF1-P materials revealed the following: In the frequency range of 4–6.5 GHz, incorporating 10% NZFO into BTO results in a significantly higher ε″ peak compared to pure BTO-P and NZFO-P [11,15]. This can be explained as follows: The high ε″ peak of BTNF1 is primarily due to interfacial polarization, known as the Maxwell-Wagner-Sillars (MWS) effect [9,21]. BTO (ferroelectric, low conductivity) contrasts with NZFO (ferromagnetic, higher conductivity), leading to space charge accumulation at the BTO/NZFO interface [11,15,31]. Under an external electromagnetic field, trapped charges at the interface oscillate but are hindered by phase boundaries, resulting in relaxation that dissipates energy as heat, significantly increasing ε″ beyond the sum of individual phase losses [9,22,35]. Additionally, the peak frequency of BTNF1 aligns with that of BTO. This coincidence in ε″ peak frequency indicates that the dielectric loss mechanism in this range is dominated by the intrinsic properties of the BTO ferroelectric phase, amplified by interfacial effects [11,15]. BTO’s dielectric loss in the GHz range arises from polar nanoregion oscillations, ferroelectric domain relaxation, and Debye relaxation due to defects [9,21,49,50].
Additionally, the material’s permeability is significantly altered by frequency, as shown in Figure 5c,d. The real part of the permeability (μ′) is gradually reduced with increasing frequency across the 2–18 GHz range, with BTNF1-P and NZFO-P showing peaks at similar frequencies, underscoring the strong influence of the ferromagnetic NZFO phase on μ′ in the multiferroic material. The imaginary part of the magnetic permeability (μ″) varies significantly among the BTO-P, NZFO-P, and BTNF1-P materials. The frequency-dependent μ″ curves for BTO-P and BTNF1-P exhibit similar shapes but differ in peak positions, with BTO peaking at 11.12 GHz and BTNF1 at 12.32 GHz, while the peak intensity remains nearly constant. The shift in the absorption peak frequency indicates that the presence of NZFO is the primary contributor to this effect. This can be explained as follows:
(i) The imaginary part of the magnetic permeability (μ″) represents magnetic loss, primarily due to delayed domain wall motion and natural magnetic resonance. In magnetic materials like NZFO (Ni0.8Zn0.2Fe2O4, a spinel ferrite), magnetic domain walls oscillate under the influence of an external magnetic field at high frequencies (GHz range). The shift in the μ″ peak from 11.12 GHz (BTO) to 12.32 GHz (BTNF1) suggests that NZFO-P, with its higher saturation magnetization (Ms, typically about 50–70 emu/g in ferrites), increases the magnetic resonance frequency due to enhanced magnetic interactions in the composite [27,30,32]. (ii) The lattice mismatch between BTO (perovskite) and NZFO (spinel) generates local stress, altering the magnetic anisotropy field at the interface. This leads to the shift in the resonance frequency from 11.12 GHz (BTO) to 12.32 GHz (BTNF1) [11,35,47]. (iii) The magnetic loss peak results from delayed domain wall motion, influenced by the external magnetic field and lattice defects. Defects such as oxygen vacancies in BTO or Fe-Ti ionic complexes at the BTO/NZFO interface can enhance domain wall pinning, leading to higher magnetic loss at specific frequencies. In BTNF1, interfacial defects amplify this effect, contributing to the peak shift [9,21,31].
In the frequency range of 3–10 GHz, the imaginary part of the magnetic permeability of NZFO-P reaches the highest value, decreasing progressively for BTNF1-P (10% NZFO phase) and BTO-P. This can be explained as follows: NZFO is a strongly magnetic ferrite with high saturation magnetization (Ms) and magnetic permeability (μ). In the 3–10 GHz range, the magnetic loss of NZFO primarily arises from: (i) Non-synchronous oscillation of magnetic domain walls with the external magnetic field, resulting in significant energy loss, reflected in high μ″ values [2,19,48]; (ii) Higher electrical conductivity of NZFO compared to BTO, leading to substantial eddy current losses at lower frequencies, contributing to high μ″ [2,10,26]; (iii) In BTNF1-P, the BTO phase (ferroelectric, non-magnetic) dominates (90%), diluting the magnetic properties of NZFO, reducing overall magnetization and thus μ″. BTO, with negligible magnetic properties, exhibits low μ″ due to weak interfacial effects or secondary magnetic defects [9,15,20]; (iv) In BTNF1-P, interfacial stress between BTO and NZFO may reduce magnetic domain wall motion, resulting in lower μ″ compared to pure NZFO. In BTO, defects like oxygen vacancies generate minor magnetic effects (due to the Ti4+ → Ti3+ transition), but these are insufficient to compete with NZFO [21,48,51,52]. At higher frequencies, from 12–16 GHz, the imaginary part of the magnetic permeability of BTNF1 is significantly higher than that of BTO and NZFO. This can be explained as follows: In the BTNF1-P composite, the combination of 10% NZFO and 90% BTO creates strong interfacial interactions between the perovskite (BTO) and spinel (NZFO) phases. The lattice mismatch between BTO and NZFO generates local stress, altering the magnetic anisotropy field in NZFO, which increases the natural magnetic resonance frequency, leading to higher μ″ in the 12–18 GHz range [11,31,32]. Mechanical stress at the BTO/NZFO interface, combined with the piezoelectric properties of BTO, can modulate NZFO’s magnetic properties, enhancing magnetic loss at high frequencies [15,31,53]. Defects such as oxygen vacancies or space charge accumulation at the interface increase domain wall pinning, resulting in higher magnetic loss in the Ku-band [9,21,47]. The combination of 10% NZFO with BTO creates a synergistic effect, where the interface enhances the effective magnetic field (Heff) and shifts the resonance frequency to the Ku-band. This leads to significantly higher μ″ compared to BTO and NZFO individually [11,22,35]. The high μ″ value in the 12–18 GHz range indicates that BTNF1 exhibits superior microwave absorption in the Ku-band, due to enhanced magnetic loss through magnetic resonance and delayed domain wall motion [3,10].
Across all samples, in the 8–16 GHz range, the imaginary parts of the dielectric constant and permeability exhibit a decreasing trend with increasing frequency, reflecting significant dielectric and magnetic losses due to the NZFO phase. This is evident in Figure 6, showing (a) magnetic loss tangent and (b) dielectric loss tangent as functions of frequency for NZFO, BTO, and BTNF1, marked by purple circles.
The loss frequency range aligns with trends in the imaginary parts of the dielectric constant and permeability. Additionally, the ferromagnetic phase enhances electric and magnetic field energy loss in the 3–6 GHz range, highlighted by another purple circle in Figure 6. These findings confirm the substantial role of the NZFO phase (x = 0.1) in boosting the material’s electromagnetic wave absorption, consistent with prior studies [14,24,34].
The energy dissipation mechanism is further explored using Cole–Cole diagrams. Figure 7 shows the Ɛ′ versus Ɛ″ interrelationship curves for pure NZFO, BTO, and BTNF1 composites across the 2–18 GHz range. The Cole–Cole semicircles from these plots indicate the Debye relaxation process, confirming polarization relaxation characteristics. This aligns with classical Debye theory, which describes the relationship between Ɛ′ and Ɛ″ [54].
ε ε s + ε 2 2 + ε 2 = ε s ε 2 2
Cole–Cole plots are used to investigate the absorption mechanism, with the x-axis showing the real part and the y-axis the imaginary part of the complex dielectric constant. Here, Ɛs represents the static dielectric constant, and Ɛ denotes the dielectric constant at infinite frequency. A single semicircle in a Cole–Cole plot typically signifies a single Debye polarization relaxation process. The presence of semicircles in the Cole–Cole plots for BTO, BTNF1, and paraffin samples confirms Debye relaxation [54]. An increased number of Debye semicircles correlates with enhanced polarization capability and dielectric loss within the material. Figure 7 demonstrate these semicircles in all three samples, implying that in the 2–18 GHz range, the polarization relaxation occurs in each during wave absorption. As microwaves interact with material imperfections, polarization centers form, leading to the creation of these Debye semicircles. Dielectric loss stems from polarization under an external electric field, with polar molecules causing polarization loss and conduction loss tuned by low-resistivity doping to enhance electromagnetic wave absorption (EMA) [49]. Adding NZFO to BTO optimizes polarization and reduces resistivity, as shown in Figure 5 [15]. In NZFO/BTO-P composites, ions and electrons drive coupled EMA mechanisms, evident in Cole–Cole plots: Figure 7 shows irregular Cole–Cole arcs, indicating multiple polarization and relaxation mechanisms with distinct relaxation times.
These deviations from ideal semicircles reflect magnetoelectric coupling, enhancing dielectric (ε″) and magnetic (μ″) losses at specific frequencies [9,35]. Peaks indicate resonance of dipoles and moments, amplified by interfacial coupling, maximizing EMA. Multiple arcs suggest ionic, dipolar, and Maxwell-Wagner polarization [50], enabling broadband EMA with characteristic peaks, highlighting potential for energy absorption applications [15,22]. The irregular shape of Cole–Cole plots in multiferroic composites like NZFO/BTO-P, characterized by multiple inflection points or distorted arcs instead of an ideal semicircle as in Debye relaxation of homogeneous materials, arises from the coexistence of multiple relaxation mechanisms with distinct relaxation times (τ), reflecting the heterogeneous structure of the composite comprising ferroelectric (perovskite) and ferromagnetic (ferrite) phases [9,35]. The key physical origins include: (i) interfacial polarization (Maxwell-Wagner effect): Phase boundaries between insulating BTO (low conductivity) and semiconducting NZFO (higher conductivity) cause space charge accumulation, leading to interfacial relaxation with longer τ, resulting in distorted or secondary arcs at low frequencies in the Cole–Cole plot, enhancing dielectric loss (ε″) [22,50]; (ii) multiple simultaneous relaxation mechanisms: These include Debye-type dipole relaxation (from polar nanoregions or defects like oxygen vacancies in BTO), ionic polarization (displacement of ions such as Ba2+, Ti4+ in the perovskite lattice), and grain boundary effects. Each mechanism has a distinct τ, causing overlapping or distorted arcs instead of a single semicircle [21,49]. Magnetoelectric coupling: Interactions at the interface between ferroelectric and ferromagnetic phases induce magnetoelastic strain and couple electric dipoles with magnetic moments, introducing additional loss mechanisms. These interactions cause non-independent relaxations, leading to multiple inflection points in the Cole–Cole plot, indicating resonance of dielectric and magnetic losses at specific frequencies [9,15,35]. Frequency-dependent resonance: The inflection points on the Cole–Cole plot signify frequency resonance peaks where energy loss (ε″ and μ″) is maximized, enhancing microwave absorption. This distortion reflects the material’s heterogeneity and complex phase interactions, deviating from the ideal Debye model [10,22]. These inflection points provide direct evidence of complex interactions among polarization and relaxation mechanisms, enabling efficient microwave absorption across a broad frequency range with characteristic absorption peaks at anomalous regions [15,35].
The electromagnetic (EM) wave shielding and absorption properties of multiferroic composites with the composition xNZFO/(1 − x)BTO, these were blended as fillers at 40% in parafin, forming NZFO-P, BTO-P, and BTNF1-P composites were measured in the 2–18 GHz range using a vector network analyzer, and Reflection Loss (RL) values were calculated using Formula (4), with results shown below.
Figure 8 depicts the Reflection Loss (RL) characteristics of NZFO-P, BTO-P, and BTNF5-P composites, each at a 40 wt% mass ratio in paraffin. The figure includes 2D curves (a–c), 3D plots (d–f), and RL contour diagrams (g–i), where the x-axis represents frequency and the y-axis shows RL values. RL, the key indicator of electromagnetic wave (EMW) absorption, is determined using equations based on transmission line theory [54].
R L = 20 log   | Z i n Z 0 Z i n + Z 0 |
Z = | Z in Z 0 | = | μ r | | ε r | tanh [ j ( 2 π fd c ) μ r ε r ]
The normalized input impedance of the absorbing material is represented by Zin, with Z0 indicating the free space impedance. Material properties are defined by Ɛr (complex permittivity) and μr (complex permeability), with f denoting frequency, c the speed of light in free space, and d the absorber’s thickness. Previous studies [50] establish that an RL (Reflection Loss) value below −10 dB indicates effective absorption, reflecting over 90% electromagnetic wave (EMW) absorption. Analysis of RL(f) curves for all samples reveals absorption peaks at specific frequencies, varying with thickness.
For NZFO-P Sample: Absorption peaks were consistently observed across most thicknesses, except 1.5 and 2 mm, with minimum Reflection Loss (RLmin) values typically below −30 dB. At 2.5 mm thickness, the lowest RL reached −38.74 dB at 13.85 GHz, with an effective absorption bandwidth (EAB) surpassing 9.36 GHz. For thicknesses of 2.5–3.5 mm, RLmin ranged from −32.63 dB to −38.74 dB, corresponding to 10.26–13.85 GHz, with an EAB of approximately 10 GHz. At 4.0 mm and 4.5 mm, RLmin values hit −44.71 dB (16.41 GHz) and −49.48 dB (15.32 GHz), yielding EABs exceeding 11.84 GHz and 12.24 GHz, respectively.
For BTO-P Sample: As frequency rose from 1.5 to 3.5 GHz, thicker samples exhibited lower resonance peak frequencies. The RLmin reached −52.62 dB at 16.6 GHz, with an effective absorption bandwidth (EAB) of 6.64 GHz. For thicknesses of 2.5–3.5 mm, RLmin values in the 10–12 GHz range varied from −38.5 to −27.66 dB, corresponding to an EAB of 8.48–10.1 GHz, indicating a promising thickness range for electromagnetic wave absorption applications.
For BTNF1-P Sample: The combined influence of the ferroelectric BTO and ferromagnetic NZFO phases results in the material’s electromagnetic wave absorption displaying characteristics of both phases, with notable distinctions. For samples with thicknesses of 2.5 mm, 3 mm, and 3.5 mm, RLmin values reached −41.51 dB, −37 dB, and −28.72 dB, respectively, at resonance frequencies (and effective absorption bandwidths, EAB) of 12.52 GHz (9.12 GHz), 11 GHz (10.32 GHz), and 9.32 GHz (11.2 GHz). Thicker samples exhibited higher resonance frequencies.
This research demonstrates the potential for applying NFO-P, BTO-P, and BTNF1-P materials in electromagnetic wave absorption within the 11.5–16 GHz frequency range, corresponding to the Ku-band used in military applications, with thicknesses ranging from 2.5 to 3.5 mm. This thickness proves practical for future applications of EMW absorbing materials. For the BTNF1-P material, increasing thickness leads to significant changes in RLmin and a migration of absorption peaks to lower frequencies, consistent with prior research. This fluctuation in RLmin and absorption capability at different thicknesses is attributed to the sample’s impedance matching during measurement. Our results are noteworthy compared to earlier studies on multiferroic materials integrating NiFe2O4 [45,46,47,48] or BaTiO3-family [13,22,24,47,55] compounds and other ferromagnetic substances, as detailed in Table 2.
The performance of these parameters depends on both the intrinsic properties of the composite material and the thickness of its absorptive layers. Among the materials studied, the BTNF1-P composite demonstrates superior electromagnetic wave (EMW) absorption, making it an ideal candidate for high-performance applications. It exhibits exceptional Reflection Loss (RL) across practical thicknesses, achieving an RLmin of −41.52 dB at 12.52 GHz with a 2.5 mm thickness and −28.72 dB at 9.23 GHz with a 3.5 mm thickness, alongside an effective absorption bandwidth (EAB) exceeding 11.2 GHz (at RL = −10 dB), comparable to prior research. The BTNF1-P composite’s tunable absorption profile is notable, with thicker layers consistently shifting absorption peaks to lower frequencies, as explained by the quarter-wavelength theory. This is illustrated in Figure 8a–i, where increased thickness moves the effective absorption band to lower frequencies, with RL peaks shifting accordingly. As frequency rises and thickness decreases, RL values approach 0 dB, indicating reduced absorption efficiency. Although the full width of the maximum RL was not fully captured due to measurement limitations, the trends suggest significant applicability at higher frequencies. The attenuation coefficient (α), a key factor in reflection loss and material attenuation, is calculated using a formula derived from transmission line theory and the EMW propagation constant [60].
α = 2 π f c × ( μ ε μ ε ) + ( μ ε μ ε ) 2 + ( μ ε + μ ε ) 2
Figure 9 shows that the absorption coefficient (α) of BTO-P samples exceeds that of NZF-P and BTNF1-P across the 2–18 GHz range. However, in the 11.5–14.5 GHz band, BTNF1-P displays a significantly higher α than BTO-P and NZFO-P, highlighting NZFO-P’s influence.
For the NZFO/BTO multiferroic composites, multiple factors contribute to the absorption of electromagnetic waves within the frequency range of 2–18 GHz. One of these factors is the penetration depth of electromagnetic waves into the material, which is assessed through the impedance matching value. To quantitatively assess the impedance matching performance of 2.5 mm thick NZFO-P, BTO-P, and BTNF1-P samples across frequencies, we plotted all impedance matching ratio values in the 2–18 GHz range. When Z = 1, the reflection coefficient is 0, indicating that electromagnetic waves incident perpendicularly from free space to the surface of the microwave-absorbing material achieve zero reflection, meaning perfect impedance matching at this point. In practice, to evaluate the impedance matching capability of a material, the impedance matching ratio Z of the sample is assessed. When Z is close to 1, specifically within the range of 0.8 to 1.2, it is considered significant. The frequency range of Z is bounded by two horizontal dashed lines positioned above and below the Z = 1 line, as specifically illustrated in Figure 10. Among all investigated samples, the BTNF1-P sample exhibited high impedance matching performance in the wide frequency range of 11.5–16 GHz and near 8 GHz. This is specifically illustrated in Figure 10.
It can be observed that the NZFO-P ferromagnetic phase plays a crucial role in enhancing impedance matching in the Ku band within the 11.5–16 GHz frequency range. The BTNF1- P composite, a uniform blend of piezoelectric BaTiO3 (BTO) particles and soft ferromagnetic Ni0.8Zn0.2Fe2O4 (NZFO) particles, exhibits the following absorption mechanisms in the 2–18 GHz range: (i) Dielectric loss in BaTiO3: BaTiO3 particles, characterized by piezoelectric properties and electric polarization vectors, oscillate under the influence of an alternating electric field from EMWs, generating internal friction and converting electric field energy into heat dissipated to the surrounding environment. (ii) Magnetic loss in NZFO: NZFO particles, characterized by high magnetic permeability and magnetic moment vectors, undergo energy dissipation in the form of heat when electromagnetic waves propagate through a dynamic electromagnetic environment. This dissipation arises from magnetic hysteresis and induced eddy currents, effectively converting magnetic field energy into thermal energy; (iii) Interfacial loss and leakage current: At an NZFO content of x = 0.1, the resistivity difference between NZFO (lower) and BaTiO3 generates leakage currents at their interfaces, significantly increasing EMW energy loss, coercive force, and remnant polarization, thereby enhancing the piezoelectric coefficient. The combined effects of dielectric loss, magnetic loss, and amplified interfacial loss due to leakage currents from the NZFO phase (x = 0.1) significantly improve the EMW absorption capability of the BTNF1 multiferroic composite [11,23,33,47]. The multiferroic composite NZFO/BTO-P exhibits superior advantages in electromagnetic wave absorption due to the simultaneous combination of ferromagnetic and ferroelectric properties within a single material. This composite material offers benefits in both mechanism and performance. The primary advantage of the multiferroic composite lies in the resonance of both absorption mechanisms: dielectric loss and magnetic loss. This has been shown to be entirely consistent with the analysis of dielectric and magnetic losses in the frequency range of 2–18 GHz. Additionally, electromagnetic interactions arising from the coupling between the two phases allow the electric and magnetic properties to influence each other, creating a new and robust absorption mechanism. As electromagnetic waves propagate through the material, the electric and magnetic field components of the wave interact with the ferroelectric and ferromagnetic phases. This interaction enhances the absorption capability of both phases, resulting in significantly higher absorption efficiency compared to using ferroelectric or ferromagnetic materials alone. This is fully consistent with the results of the Cole–Cole plot analysis for the material system across the entire investigated frequency range of 2–18 GHz. Due to the combination of phases capable of absorption in different frequency bands, the multiferroic composite can achieve effective absorption over a wide frequency range. Thanks to the dual loss mechanism (dielectric and magnetic) and, in particular, the electromagnetic interaction effect, these materials exhibit extremely high electromagnetic wave absorption efficiency. In particular, the electromagnetic wave absorption process in BTO-P, NZFO-P, and BTNF1-P materials occurs through a complex mechanism involving numerous factors, including those related to impedance matching. However, the lack of consistency between the frequency at which impedance matching effects are observed and the calculated frequency of the reflection loss (RL) value is entirely understandable. This reflects the contribution of electromagnetic interaction effects occurring at the interface and on the surface of the ferroelectric and ferromagnetic phases to the electromagnetic wave absorption capability of the material within the 2–18 GHz frequency range. Thus, it is evident that by adjusting the ratio of ferroelectric to ferromagnetic phases, particle size, or fabrication methods, the properties of the multiferroic composite can be flexibly tuned to meet specific requirements for applications in high-performance, broadband electromagnetic wave absorption technology.

4. Conclusions

The study successfully produced xNi0.8Zn0.2Fe2O4/(1 − x)BaTiO3 composites (x = 0, 0.1, 0.3, 0.5) using a combination of high-energy mechanical milling and heat treatment. The addition of the NZFO ferromagnetic phase significantly enhanced both ferroelectric and ferromagnetic properties, resulting in increased saturation magnetization and magnetic remanence proportional to the NZFO content. The composition with x = 0.1 (BTNF1) was found optimal, delivering maximum remnant electric polarization and dielectric loss density, making it the top candidate for superior electromagnetic wave (EMW) absorption. At this composition, BTNF1-P demonstrated exceptional absorption, achieving minimum reflection loss values of −41.51 dB at 12.52 GHz, −37 dB at 11 GHz, and −28.72 dB at 9.32 GHz for thicknesses of 2.5–3.5 mm. This wide effective absorption bandwidth (EAB) highlights the material’s ability to attenuate EMWs across a broad frequency range. In summary, the xNZFO/(1 − x)BTO composites, particularly BTNF1, show great potential for Ku-band EMW absorption, making them ideal for applications like radar absorption and electromagnetic interference shielding.

Author Contributions

Conceptualization, P.X.T., D.S.L. and N.T.H.; validation, N.T.S. and L.T.N.; formal analysis, T.Q.D., L.T.N. and N.T.S.; investigation, T.Q.D. and L.T.N.; writing—original draft preparation, P.X.T. and N.T.H.; writing—review and editing, D.S.L. and N.T.H.; visualization, D.S.L.; project administration, P.X.T. All authors have read and agreed to the published version of the manuscript.

Funding

This research was funded by Hanoi University of Industry under Project No. 27-2025-RD/HD-ĐHCN.

Data Availability Statement

The original contributions presented in this study are included in the article. Further inquiries can be directed to the corresponding author.

Acknowledgments

This research is supported by Hanoi University of Industry under Project No. 27-2025-RD/HD-ĐHCN.

Conflicts of Interest

The authors declare no conflicts of interest.

References

  1. Sharma, S.; Parne, S.R.; Panda, S.S.S.; Gandi, S. Progress in microwave absorbing materials: A critical review. Adv. Colloid Interface Sci. 2024, 327, 103143. [Google Scholar] [CrossRef]
  2. Aherrao, D.S.; Singh, C.; Srivastava, A.K. Review of ferrite-based microwave-absorbing materials: Origin, synthesis, morphological effects, dielectric/magnetic properties, composites, absorption mechanisms, and optimization. J. Appl. Phys. 2022, 132, 240701. [Google Scholar] [CrossRef]
  3. Gunanto, Y.E.; Izaak, M.P.; Sitompul, H.; Taryana, Y.; Mulyawan, A.; Setiawan, J.; Yunasfi, Y.; Adi, W.A.; Taufiq, A.; Ramlan, R. Improvement of microwave absorbing capability on the soft magnetic/hard magnetic/perovskite composites. Phys. Scr. 2024, 99, 125940. [Google Scholar] [CrossRef]
  4. Preechaphonkul, W.; Rattanadecho, P. The effects of dielectric & thermal property functions on the thermal response during the focused microwave ablation treatment in the liver cancer model: Numerical investigation. Eng. Sci. 2023, 21, 788. [Google Scholar]
  5. He, R.; Nantung, T.; Olek, J.; Lu, N. Use of dielectric constant for determination of water-to-cement ratio (W/C) in plastic concrete: Part 2: Comparison determined W/C values by ground penetrating radar (GPR) and microwave oven drying measurements. ES Mater. Manuf. 2023, 22, 874. [Google Scholar] [CrossRef]
  6. Kuzhir, P.; Paddubskaya, A.; Bychanok, D.; Liubimau, A.; Ortona, A.; Fierro, V.; Celzard, A. 3D-printed, carbon-based, lossy photonic crystals: Is high electrical conductivity the must? Carbon 2021, 171, 484–492. [Google Scholar] [CrossRef]
  7. Gupta, S.; Tai, N.-H. Carbon materials and their composites for electromagnetic interference shielding effectiveness in X-band. Carbon 2019, 152, 159–187. [Google Scholar] [CrossRef]
  8. Chung, D.D.L. Materials for electromagnetic interference shielding. Mater. Chem. Phys. 2020, 255, 123587. [Google Scholar] [CrossRef]
  9. Lv, Z.; Yang, W.; Yao, L.; Chen, X.; Zhou, J.; Li, R.; Mei, H.; Cheng, L.; Zhang, L. Electromagnetic response mechanism of BaTiO3-based metamaterials: Transition between microwave absorption and shielding capacity. Addit. Manuf. 2024, 95, 104558. [Google Scholar] [CrossRef]
  10. Elmahaishi, M.F.; Azis, R.S.; Ismail, I.; Muhammad, F.D. A review on electromagnetic microwave absorption properties: Their materials and performance. J. Mater. Res. Technol. 2022, 20, 2188–2220. [Google Scholar] [CrossRef]
  11. Xiang, J.; Hou, Z.; Zhang, X.; Gong, L.; Wu, Z.; Mi, J. Facile synthesis and enhanced microwave absorption properties of multiferroic Ni0.4Co0.2Zn0.4Fe2O4/BaTiO3 composite fibers. J. Alloys Compd. 2018, 737, 412–420. [Google Scholar] [CrossRef]
  12. Hou, T.; Wang, B.; Jia, Z.; Wu, H.; Lan, D.; Huang, Z.; Feng, A.; Ma, M.; Wu, G. A review of metal oxide related microwave absorbing materials from the dimension and morphology perspective. J. Mater. Sci. Mater. Electron. 2019, 30, 10961–10984. [Google Scholar] [CrossRef]
  13. Chen, X.; Wang, G.; Duan, Y.; Liu, S. Electromagnetic characteristics of barium titanate/epoxide resin composites in X and Ku bands. J. Alloys Compd. 2008, 453, 433–436. [Google Scholar] [CrossRef]
  14. Kaur, H.; Marwaha, A.; Singh, C.; Narang, S.B.; Jotania, R.; Jacobo, S.; Sombra, A.S.B.; Trukhanov, S.V.; Trukhanov, A.V.; Dhruv, P. Investigation of structural, hysteresis and electromagnetic parameters for microwave absorption application in doped Ba-Sr hexagonal ferrites at X-band. J. Alloys Compd. 2019, 806, 1220–1229. [Google Scholar] [CrossRef]
  15. Ma, Z.; Cao, C.; Yuan, J.; Liu, Q.; Wang, J. Enhanced microwave absorption of BaTiO3-based ferroelectric/ferromagnetic nanocomposite. Appl. Surf. Sci. 2012, 258, 7556–7561. [Google Scholar] [CrossRef]
  16. Gao, R.; Zhang, Q.; Xu, Z.; Wang, Z.; Chen, G.; Deng, X.; Fu, C.; Cai, W. A comparative study on the structural, dielectric and multiferroic properties of Co0.6Cu0.3Zn0.1Fe2O4/Ba0.9Sr0.1Zr0.1Ti0.9O3 composite ceramics. Compos. Part B Eng. 2019, 166, 204–212. [Google Scholar] [CrossRef]
  17. Wu, D.; Gong, W.; Deng, H.; Li, M. Magnetoelectric composite ceramics of nickel ferrite and lead zirconate titanate via in situ processing. J. Phys. D Appl. Phys. 2007, 40, 5002–5005. [Google Scholar] [CrossRef]
  18. Ghosh, J.; Bysakh, S.; Mazumd, S. Multiphase transformation and hybrid nanostructure under nonequilibrium and equilibrium condition during high-energy ball milling of BaTiO3 powders. Phase Transit. 2014, 87, 325–335. [Google Scholar] [CrossRef]
  19. Houbia, A.; Aldashevich, Z.A.; Atassi, Y.; Telmanovna, Z.B.; Saule, M.; Kubanych, K. Microwave absorbing properties of ferrites and their composites: A review. J. Magn. Magn. Mater. 2021, 529, 167839. [Google Scholar] [CrossRef]
  20. Lin, W.; Ren, P.; Wan, Y.; Yang, S. Dielectric properties, electrical and thermal conductivity of BaTiO3 and SrTiO3-based high-entropy ceramics. J. Alloys Compd. 2024, 1004, 175915. [Google Scholar] [CrossRef]
  21. Baek, K.; Lee, S.-Y.; Doh, S.-G.; Kim, M.; Hyun, J.K. Axial oxygen vacancy-regulated microwave absorption in micron-sized tetragonal BaTiO3 particles. J. Mater. Chem. C 2018, 6, 9749–9755. [Google Scholar] [CrossRef]
  22. Huang, Y.; Ji, J.; Chen, Y.; Li, X.; He, J.; Cheng, X.; He, S.; Liu, Y.; Liu, J. Broadband microwave absorption of Fe3O4–BaTiO3 composites enhanced by interfacial polarization and impedance matching. Compos. Part B Eng. 2019, 163, 598–605. [Google Scholar] [CrossRef]
  23. Shen, H.; Wang, Z.; Hou, Z.; Xu, C.; Wu, H. Defect- and Interface-Induced Dielectric Loss in ZnFe2O4/ZnO/C Electromagnetic Wave Absorber. Nanomaterials 2022, 12, 2871. [Google Scholar] [CrossRef] [PubMed]
  24. Zainal, Y.B.; Dedi Manaf, A. Microstructure and microwave absorption characteristics of BaTiO3-CoFe2O4 composites. Key Eng. Mater. 2016, 855, 322–329. [Google Scholar] [CrossRef]
  25. Zeng, Z.; Wu, H.; Zhou, C.; Qin, X.; He, J.; Ji, C.; Deng, X.; Gao, R.; Fu, C.; Cai, W.; et al. Effect of sintering temperature on magnetoelectric properties of PbTiO3/NiFe2O4 composite ceramics. J. Asian Ceram. Soc. 2020, 8, 4. [Google Scholar] [CrossRef]
  26. Mangalaraja, R.V.; Ananthakumar, S.; Manohar, P.; Gnanam, F.D. Magnetic, electrical and dielectric behaviour of Ni0.8Zn0.2Fe2O4 prepared through flash combustion technique. J. Magn. Magn. Mater. 2002, 253, 56–64. [Google Scholar] [CrossRef]
  27. Raghuvanshi, S.; Verma, R.; Tiwari, P.; Mazaleyrat, F.; Kane, S.N. Green Synthesis And Characterization of Ni0.8Zn0.2Fe2O4. In Proceedings of the International Conference on Advances in Basic Sciences, Bahal, India, 7–9 February 2019; Volume 2142, p. 160002. [Google Scholar]
  28. Meng, X.; Liu, T.; Yu, L.; Jin, K.; Xu, S. Nanocrystalline Ni0.8Zn0.2Fe2O4/SrFe12O19 composite fibers with enhanced exchange coupling behavior. RSC Adv. 2015, 5, 48005–48011. [Google Scholar] [CrossRef]
  29. Sameena, S.; Naveen, P.; Chanti, G.; Shankar, C.S.; Reddy, Y.V.; Swapna, C.; Kumar, N.P. Study of Structural, Optical and Magnetic Properties of Ni0.8Zn0.2Fe2O4 Ferrites Calcined at Different Temperatures. In Proceedings of the International Conference on Emerging Multifunctional Materials and Devices for Sustainable Technologies, Hanamkonda, India, 4–5 July 2024; Springer: Singapore, 2024. [Google Scholar]
  30. Maqsood, A.; Khan, K. Structural and microwave absorption properties of Ni(1−x)Co(x)Fe2O4 (0.0 ≤ x ≤ 0.5) nanoferrites synthesized via co-precipitation route. J. Alloys Compd. 2011, 509, 3393–3397. [Google Scholar] [CrossRef]
  31. Li, Y.; Shu, L.; Huang, W.; Jiang, X.; Wang, H. Giant flexoelectricity in Ba0.6Sr0.4TiO3/Ni0.8Zn0.2Fe2O4 composite. Appl. Phys. Lett. 2014, 105, 162906. [Google Scholar] [CrossRef]
  32. Algarou, N.A.; Slimani, Y.; Almessiere, M.A.; Sadaqat, A.; Trukhanov, A.V.; Gondal, M.A.; Hakeem, A.S.; Trukhanov, S.V.; Vakhitov, M.G.; Klygach, D.S.; et al. Functional Sr0.5Ba0.5Sm0.02Fe11.98O4/x(Ni0.8Zn0.2Fe2O4) Hard–Soft Ferrite Nanocomposites: Structure, Magnetic and Microwave Properties. Nanomaterials 2020, 10, 2134. [Google Scholar] [CrossRef]
  33. Moitra, D.; Ghosh, B.K.; Chandel, M.; Jani, R.K.; Patra, M.K.; Vadera, S.R.; Ghosh, N.N. Synthesis of Ni0.8Zn0.2Fe2O4-RGO nanocomposite: An excellent magnetically separable catalyst for dye degradation and microwave absorber. RSC Adv. 2016, 6, 14090–14096. [Google Scholar] [CrossRef]
  34. Chen, X.; Gong, X.; Li, T.; He, Y.; Liu, P. Microstructure, dielectric and ferroelectric properties of (1−x)(0.94Bi0.5Na0.5TiO3–0.06BaTiO3)–xBiFeO3 lead-free ceramics synthesized via a high energy ball milling method. J. Alloys Compd. 2010, 507, 2535–2541. [Google Scholar] [CrossRef]
  35. Dzunuzovic, A.S.; Vijatovic Petrovic, M.M.; Bobic, J.D.; Ilic, N.I.; Ivanov, M.; Grigalaitis, R.; Stojanovic, B.D. Magneto-electric properties of xNi0.7Zn0.3Fe2O4/(1−x)BaTiO3 multiferroic composites. Ceram. Int. 2018, 44, 683–694. [Google Scholar] [CrossRef]
  36. Singh, M.; Singh, J.; Kumar, M.; Kumar, S. Investigations on multiferroic properties of lead free (1−x)BCZT-xCZFMO based particulate ceramic composites. Solid State Sci. 2020, 108, 106380. [Google Scholar] [CrossRef]
  37. Burns, G.; Dacol, F.H. Crystalline ferroelectrics with glassy polarization behavior. Phys. Rev. B 1983, 28, 2527–2530. [Google Scholar] [CrossRef]
  38. Cross, L.E. Relaxor ferroelectrics. Ferroelectrics 1987, 76, 241–267. [Google Scholar] [CrossRef]
  39. Bokov, A.A.; Ye, Z.G. Recent progress in relaxor ferroelectrics with perovskite structure. J. Mater. Sci. 2006, 41, 31–52. [Google Scholar] [CrossRef]
  40. Zhao, B.; Du, Y.; Yan, Z.; Rao, L.; Chen, G.; Yuan, M.; Yang, L.; Zhang, J.; Che, R. Structural Defects in Phase-Regulated High-Entropy Oxides toward Superior Microwave Absorption Properties. Adv. Funct. Mater. 2023, 33, 2209924. [Google Scholar] [CrossRef]
  41. Nan, C.-W.; Liu, G.; Lin, Y.H. Multiferroic Magnetoelectric Composites: Historical Perspective, Status, and Future Directions. Prog. Mater. Sci. 2021, 119, 100788. [Google Scholar]
  42. Kumar, A.S.; Lekha, C.S.C.; Vivek, S.; Saravanan, V.; Nandakumar, K.; Nair, S.S. Multiferroic and magnetoelectric properties of Ba0.85Ca0.15Zr0.1Ti0.9O3 CoFe2O4 core–shell nanocomposite. J. Magn. Magn. Mater. 2016, 418, 294–299. [Google Scholar] [CrossRef]
  43. Miah, M.J.; Khan, M.N.I.; Hossain, A.A. Weak ferromagnetism and magnetoelectric effect in multiferroic xBa0.95Sr0.05TiO3–(1−x)BiFe0.9Gd0.1O3 relaxors. J. Magn. Magn. Mater. 2016, 401, 600–611. [Google Scholar] [CrossRef]
  44. Reséndiz-Trejo, Y.; Sánchez-DeJesús, F.; Betancourt-Cantera, L.G.; Reyes-Valderrama, M.I.; Cortés-Escobedo, C.A.; Bolarín-Miró, A.M. Evidence of multiferroic behavior in sintered BaTiO3 obtained from high-energy ball-milled powders. Ceram. Int. 2024, 50, 53533–53543. [Google Scholar] [CrossRef]
  45. Sharma, R.; Pahuja, P.; Tandon, R.P. Structural, dielectric, ferromagnetic, ferroelectric and ac conductivity studies of the BaTiO3-CoFe1.8Zn0.2O4 multiferroic particulate composites. Ceram. Int. 2014, 40, 9027–9036. [Google Scholar] [CrossRef]
  46. Sarkar, B.; Dalal, B.; Ashok, V.D.; Chakrabarti, K.; De, S.K. Magnetic properties of mixed spinel BaTiO3-NiFe2O4 composites. J. Appl. Phys. 2014, 115, 123908. [Google Scholar] [CrossRef]
  47. Lam, D.S.; Tung, N.N.; Dung, D.D.; Khuyen, B.X.; Lam, V.D.; Thanh, T.D. Electrical, magnetic and microwave absorption properties of multiferroic NiFe2O4-BaTiO3 nanocomposites. Mater. Res. Express 2022, 9, 075004. [Google Scholar] [CrossRef]
  48. Bao, H.; Zhou, C.; Xue, D.; Gao, J.; Ren, X. A modified lead free piezoelectric BZT–xBCT system with higher Tc. J. Phys. D Appl. Phys. 2010, 43, 465401. [Google Scholar] [CrossRef]
  49. Dai, Z.; Jinglong, X.; Weiguo, L.; Xi, W.; Lin, Z.; Zhijian, Z.; Jinglei, L.; Ren, X. An effective strategy to achieve excellent energy storage properties in lead-free BaTiO3 based bulk ceramics. ACS Appl. Mater. Interfaces 2020, 12, 27. [Google Scholar] [CrossRef] [PubMed]
  50. Letao, Y.; Xi, K.; Fei, L.; Hua, H.; Zhenxiang, C.; Hanxing, L.; JingFeng, L.; Shujun, Z. Perovskite lead-free dielectrics for energy storage applications. Prog. Mater. Sci. 2016, 102, 72–108. [Google Scholar]
  51. Veerapandiyan, V.; Benes, F.; Gindel, T.; Deluca, M. Strategies to improve the energy storage properties of perovskite lead-free relaxor ferroelectrics: A review. Materials 2020, 13, 5742. [Google Scholar] [CrossRef]
  52. Shen, Z.; Wang, X.; Luo, B.; Li, L. BaTiO3–BiYbO3 perovskite materials for energy storage applications. J. Mater. Chem. A 2015, 3, 18146–18153. [Google Scholar] [CrossRef]
  53. Mane, S.M.; Pawar, S.A.; Patil, D.S.; Kulkarni, S.B.; Tayade, N.T.; Shin, J.C. Magnetoelectric, magnetodielectric effect properties of and dielectric, magnetic microwave-sintered x(Co0.9Ni0.1Fe2O4)–(1−x)[0.5(Ba0.7Ca0.3TiO3)–0.5(BaZr0.2Ti0.8O3)] particulate multiferroic composite. Ceram. Int. 2020, 46, 3311–3323. [Google Scholar] [CrossRef]
  54. Binek, C.; Doudin, B. Magnetoelectronics with magnetoelectrics. J. Phys. Condens. Matter 2005, 17, 39–44. [Google Scholar] [CrossRef]
  55. Wang, X.; Li, Q.; Su, Z.; Gong, W.; Gong, R.; Chen, Y.; Harris, V.G. Enhanced microwave absorption of multiferroic Co2Z hexaferrite–BaTiO3 composites with tunable impedance matching. J. Alloys Compd. 2015, 643, 111–115. [Google Scholar] [CrossRef]
  56. Zhao, D.-L.; Lv, Q.; Shen, Z.-M. Fabrication and microwave absorbing properties of Ni-Zn spinel ferrites. J. Alloys Compd. 2009, 480, 634–638. [Google Scholar] [CrossRef]
  57. Wang, M.; Ji, G.; Zhang, B.; Tang, D.; Yang, Y.; Du, Y. Controlled synthesis and microwave absorption properties of Ni0.6Zn0.4Fe2O4/PANI composite via an in-situ polymerization process. J. Magn. Magn. Mater. 2015, 377, 52–58. [Google Scholar] [CrossRef]
  58. Liu, P.; Huang, Y.; Zhang, X. Cubic NiFe2O4 particles on graphene–polyaniline and their enhanced microwave absorption properties. Compos. Sci. Technol. 2015, 107, 54–60. [Google Scholar] [CrossRef]
  59. Mustaffa, M.S.; Azis, R.S.; Abdullah, N.H.; Ismail, I.; Ibrahim, I.R. An investigation of microstructural, magnetic and microwave absorption properties of multi-walled carbon nanotubes/Ni0.5Zn0.5Fe2O4. Sci. Rep. 2019, 9, 3–9. [Google Scholar] [CrossRef] [PubMed]
  60. Pang, H.; Duan, Y.; Huang, L.; Song, L.; Liu, J.; Zhang, T.; Yang, X.; Liu, J.; Ma, X.; Di, J.; et al. Research advances in composition, structure and mechanisms of microwave absorbing materials. Compos. Part B Eng. 2021, 224, 109173. [Google Scholar] [CrossRef]
Figure 1. (a) XRD patterns and (b) Raman spectra of the powdered composites of xNZFO/(1 − x)BTO samples.
Figure 1. (a) XRD patterns and (b) Raman spectra of the powdered composites of xNZFO/(1 − x)BTO samples.
Electronicmat 06 00020 g001
Figure 2. (ac) SEM images and (df) EDX spectra of xNZFO/(1 − x)BTO with x = 0, 0.3, and 0.5, respectively.
Figure 2. (ac) SEM images and (df) EDX spectra of xNZFO/(1 − x)BTO with x = 0, 0.3, and 0.5, respectively.
Electronicmat 06 00020 g002
Figure 3. M(H) loops measured at room temperature of NZFO/BTO multiferroic.
Figure 3. M(H) loops measured at room temperature of NZFO/BTO multiferroic.
Electronicmat 06 00020 g003
Figure 4. P(E) curves for NZFO/BTO composites. The inset in the upper left corner shows the dependences of WUE, WLE, and ηP-E on NZFO content; the inset in the lower right corner shows the change of Pr, Pm, and Ec on NZFO content. This is illustrated in the inset at the bottom right corner of Figure 4.
Figure 4. P(E) curves for NZFO/BTO composites. The inset in the upper left corner shows the dependences of WUE, WLE, and ηP-E on NZFO content; the inset in the lower right corner shows the change of Pr, Pm, and Ec on NZFO content. This is illustrated in the inset at the bottom right corner of Figure 4.
Electronicmat 06 00020 g004
Figure 5. The frequency dependence of (a,c) real permittivity and (b,d) complex permeability is presented for the NZFO-P, BTO-P, and BTNF1-P samples.
Figure 5. The frequency dependence of (a,c) real permittivity and (b,d) complex permeability is presented for the NZFO-P, BTO-P, and BTNF1-P samples.
Electronicmat 06 00020 g005
Figure 6. The frequency dependence of (a) dielectric loss and (b) magnetic loss tangents is presented for the NZFO-P, BTO-P, and BTNF1-P samples.
Figure 6. The frequency dependence of (a) dielectric loss and (b) magnetic loss tangents is presented for the NZFO-P, BTO-P, and BTNF1-P samples.
Electronicmat 06 00020 g006
Figure 7. Three-dimensional graph depicting the relationship between the real (Ɛ′) and imaginary (Ɛ″) components of complex permittivity and frequency for: (a) NZFO-P, (b) BTO-P and (c) BTNF1-P composites.
Figure 7. Three-dimensional graph depicting the relationship between the real (Ɛ′) and imaginary (Ɛ″) components of complex permittivity and frequency for: (a) NZFO-P, (b) BTO-P and (c) BTNF1-P composites.
Electronicmat 06 00020 g007
Figure 8. Visualizations of reflection loss (RL) are provided: (ac) are two-dimensional RL curves, (df) show three-dimensional RL curves for these composites, and (gi) represent RL contour plots for NZFO-P, BTO-P, and BTNF1-P.
Figure 8. Visualizations of reflection loss (RL) are provided: (ac) are two-dimensional RL curves, (df) show three-dimensional RL curves for these composites, and (gi) represent RL contour plots for NZFO-P, BTO-P, and BTNF1-P.
Electronicmat 06 00020 g008
Figure 9. Graphs illustrating the variation in the absorption coefficient (α) with frequency for all samples.
Figure 9. Graphs illustrating the variation in the absorption coefficient (α) with frequency for all samples.
Electronicmat 06 00020 g009
Figure 10. Frequency dependence of impedance matching ratio of all as-prepared samples, with t = 2.5 mm.
Figure 10. Frequency dependence of impedance matching ratio of all as-prepared samples, with t = 2.5 mm.
Electronicmat 06 00020 g010
Table 1. The magnetic characteristics (remanent magnetization (Mr), saturation magnetization (Ms), and coercive force (Hc)) and ferroelectric characteristics (coercive field (Ec), maximum electrical polarization (Pm), and residual polarization (Pr)) were determined for the NZFO/BTO composites.
Table 1. The magnetic characteristics (remanent magnetization (Mr), saturation magnetization (Ms), and coercive force (Hc)) and ferroelectric characteristics (coercive field (Ec), maximum electrical polarization (Pm), and residual polarization (Pr)) were determined for the NZFO/BTO composites.
Sample/MethodxMs (Emu/g)Mr(Emu/g)Hc (Oe)Pm(µC/cm2)Pr(µC/cm2)Ec(kV/cm)Refs.
xNZFO/(1 − x)(BTO)/High energy ball milling0.00.5490.0957.310.0610.00670.98This work
0.110.110.6428.680.0570.0183.25
0.319.361.1623.620.0550.0122.1
0.529.481.6529.450.0480.0112.05
xNi0.7Zn0.3Fe2O4/
(1 − x)BaTiO3/Solid-state reaction.
0.14.10.4848.670.210.147.6[35]
0.320.83.4354.470.440.557.6
0.537.67.2168.030.30.525.1
0.755.55.0439.170.750.254
(1 − x)BaTiO3/xCoFe1.8 Zn0.2O4/Solid-state reaction0.18.90.44-3.180.664.48[45]
0.214.90.49-4.720.873.14
0.321.51.76-5.250.912.86
0.428.61.95-7.152.075.92
xNiFe2O4/(1 − x)BaTiO3
Solid-state reaction
0---187.74.5[46]
0.150.182272.07.2
0.29.50.262296.618.1
0.3150.7527525034.4
xNiFe2O4/(1 − x)BaTiO3/High energy ball milling0---0.0380.0040.4[47]
0.14.41.8372.00.0450.0110.7
0.28.23.1485.00.0480.0150.8
0.311.74.9507.60.0560.0241.3
0.415.26519.30.0695.782.0
Table 2. The microwave absorption characteristics of NZFO/BTO-P composites at varying thicknesses were evaluated by examining their minimum reflection loss (RLmin), resonant frequency (f), and effective absorption bandwidth (EAB) (at RL ≤ −10 dB). These findings were then compared with other similar composites.
Table 2. The microwave absorption characteristics of NZFO/BTO-P composites at varying thicknesses were evaluated by examining their minimum reflection loss (RLmin), resonant frequency (f), and effective absorption bandwidth (EAB) (at RL ≤ −10 dB). These findings were then compared with other similar composites.
SamplexFiller Loading (wt%)Thickness
(mm)
RLmin
(dB)
f(GHz)EAB (GHz)Ref.
NZFO-P1401.5---This work
2.0---
2.5−38.7413.859.36
3.0−44.1212.519.84
3.5−32.6310.2610.96
4.0−44.7116.4111.84
4.5−49.4815.3112.24
BTO-P01.5−52.6216.66.64
2.0−55.8016.646.65
2.5−38.5112.58.48
3.0−38.1511.749.68
3.5−27.6610.110.48
4.0−43.2415.511.6
4.5−44.0413.912.4
BTNF1-P0.11.5005.68
2.0−44.6515.657.84
2.5−41.5112.529.12
3.0−371110.32
3.5−28.729.2311.2
4.0−44.915.711.84
4.5−41.0513.9212.56
Ni0.5Zn0.5Fe2O4/Ba0.6Sr0.4Fe9.5Al0.5MnTiO19/FeTiO3/epoxy5:3:250 [3]
(Ni0.4Co0.2Zn0.4)Fe2O4-853−17.16.17.6[56]
(Ni0.5Zn0.5)Fe2O4/(Ni0.4Co0.2Zn0.4)Fe2O4 -3−49.111.89.4
Ni0.6Zn0.4Fe2O4/PANI-752.6−4112.85[57]
NiFe2O4/grapheme/polyaniline--2.5−50.512.55.3[58]
(1 − x)MWCNT/xNi0.5Zn0.5 Fe2O40.4-3.0−19.348.461.24[59]
xFe3O4/(1 − x)BaTiO3-paraffin0.25751.9−29.512.12.4[22]
0.752.3−42.510.22.6
0.82.2−47.412.265.5
Disclaimer/Publisher’s Note: The statements, opinions and data contained in all publications are solely those of the individual author(s) and contributor(s) and not of MDPI and/or the editor(s). MDPI and/or the editor(s) disclaim responsibility for any injury to people or property resulting from any ideas, methods, instructions or products referred to in the content.

Share and Cite

MDPI and ACS Style

Thao, P.X.; Huong, N.T.; Dat, T.Q.; Sa, N.T.; Nhan, L.T.; Lam, D.S. Enhancement of the Ferroelectric and Ferromagnetic Characteristics of Composite Multiferroics to Facilitate Broadband Electromagnetic Wave Absorption. Electron. Mater. 2025, 6, 20. https://doi.org/10.3390/electronicmat6040020

AMA Style

Thao PX, Huong NT, Dat TQ, Sa NT, Nhan LT, Lam DS. Enhancement of the Ferroelectric and Ferromagnetic Characteristics of Composite Multiferroics to Facilitate Broadband Electromagnetic Wave Absorption. Electronic Materials. 2025; 6(4):20. https://doi.org/10.3390/electronicmat6040020

Chicago/Turabian Style

Thao, Pham Xuan, Ngo Thu Huong, Tran Quang Dat, Nguyen Thi Sa, Luu Thi Nhan, and Dao Son Lam. 2025. "Enhancement of the Ferroelectric and Ferromagnetic Characteristics of Composite Multiferroics to Facilitate Broadband Electromagnetic Wave Absorption" Electronic Materials 6, no. 4: 20. https://doi.org/10.3390/electronicmat6040020

APA Style

Thao, P. X., Huong, N. T., Dat, T. Q., Sa, N. T., Nhan, L. T., & Lam, D. S. (2025). Enhancement of the Ferroelectric and Ferromagnetic Characteristics of Composite Multiferroics to Facilitate Broadband Electromagnetic Wave Absorption. Electronic Materials, 6(4), 20. https://doi.org/10.3390/electronicmat6040020

Article Metrics

Back to TopTop