Abstract
Water-developable photoresist was synthesized by introducing methacrylate groups into hydroxypropyl cellulose (HPC), a cellulose derivative, via substitution of hydroxyl groups. The material enabled micropatterning through ultraviolet (UV) exposure at a wavelength of 365 nm with an exposure dose of 450 mJ/cm2. Line and dot micropatterns were formed on polypropylene substrates applying underlayer, achieving resolutions of 4.5 µm and 5.0 µm, respectively. The photoresist demonstrated superior etching resistance under CF4 plasma compared to another water-soluble photo resist. Unlike conventional photoresists that require hazardous organic solvents, this water-developable photoresist offers an environmentally friendly alternative, reducing health risks and environmental impact in the electronics industry.
1. Introduction
In recent years, the demand for higher-performance and miniaturized semiconductor devices has increased, with photolithography—a key microfabrication technology—playing a central role in meeting this demand [1,2]. Photoresist materials used in semiconductor manufacturing are essential for the photolithography process; however, the chemicals and waste products involved pose significant environmental and health risks [3,4], necessitating further consideration [5]. Among these, tetramethylammonium hydroxide (TMAH), a commonly used developer in the process [6,7], has been reported to threaten human health [8,9,10,11,12,13] and contribute to eutrophication in aquatic environments upon release [14,15]. Because wastewater containing TMAH is widely generated in the electronics industry [16,17], the development of environmentally friendly, naturally derived photoresists that eliminate the need for TMAH has become a critical objective [18]. Utilizing natural biopolymers in photoresist formulations facilitates water-based development, which avoids wastewater treatment processes involving hazardous developer solutions, thereby mitigating environmental and health impacts [19]. Natural biopolymers are increasingly recognized as sustainable materials owing to their biodegradability and renewability [20], and recent advances include photoresist systems employing these materials. For instance, Sysova et al. demonstrated positive-type photolithography using 193 nm ArF exposure and water development on unmodified chitosan [21]. Similarly, Park et al. developed a water-soluble resist based on silk for positive lithography, and Jiang et al. reported both positive and negative-type lithography using egg white under UV irradiation [22]. In this study, the evaluation of a novel water-developable negative-type photoresist was conducted. This photoresist is synthesized by introducing methacrylate groups into hydroxypropyl cellulose (HPC), a cellulose derivative. HPC is derived from abundant renewable resources and has garnered attention as a sustainable, biodegradable material [23,24]. The focus was on environmentally friendly resist formulations using ethanol—a safe, widely used solvent [25,26,27,28,29,30]—and on their integration with specific underlayers to realize a sustainable micropatterning process. Figure 1 illustrates the workflow of this study. HPC-based resist materials enabled micropatterning via UV irradiation and using underlayer, with improved pattern fidelity observed through enhanced interfacial affinity with designated underlayers. Besides characterizing the structure and properties of the synthesized HPC resist, this study aims to establish guidelines for designing environmentally sustainable resist materials for applications in electronics, emphasizing interlayer compatibility. These findings suggest the potential for safer, more eco-friendly materials suitable for photolithography.
Figure 1.
Schematic diagram of micropatterning by using underlayer.
2. Experimental Section
2.1. Synthesis of HPC-Derived Polymers
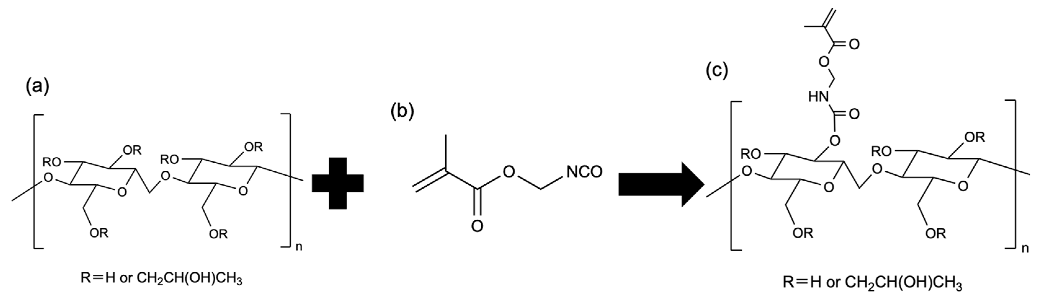
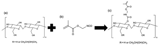
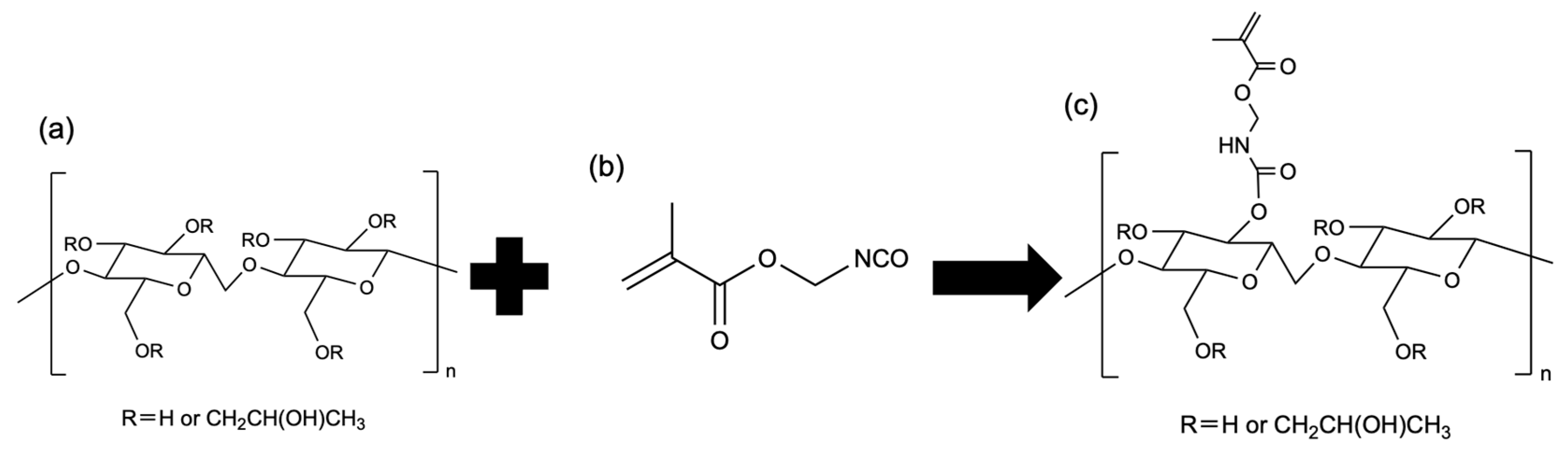
A polymer was synthesized by introducing methacrylate groups into hydroxypropyl cellulose (HPC), which is soluble in ethanol and developable in water. This polymer is hereinafter referred to as the HPC-derived polymer. Scheme 1 illustrates the reaction mechanism for the synthesis of the HPC-derived polymer.
Scheme 1.
Synthesis of the HPC-derived photoresist: (a) Hydroxypropyl cellulose (HPC), (b) 2-methacryloyloxyethyl isocyanate, (c) HPC-derived polymer.
In this study, HPC (Nippon Soda, Tokyo, Japan) with a molecular weight of 30,000 was used. To synthesize the HPC-derived polymer, 25 mol% of the hydroxyl groups of HPC were substituted with 2-methacryloyloxyethyl isocyanate (Resonac, Tokyo, Japan). Miura et al. previously synthesized water-soluble polymers by substituting the hydroxyl groups of polyglucuronic acid with acrylate groups [31]. Although acrylate groups generally exhibit higher reactivity than methacrylate groups, they are also associated with greater toxicity [32]. Therefore, methacrylate groups were selected in this study to prioritize safety in material design. The HPC and isocyanate were dissolved in methyl ethyl ketone (MEK), and the air in the reaction flask was purged with argon for 60 s. The flask was maintained at 62 °C, and trimethylamine (Kanto Chemical, Tokyo, Japan) was added as a catalyst. The mixture was stirred for 2 h to facilitate the substitution of hydroxyl groups with methacrylate groups. resulting in a polymer with a theoretical substitution degree of 25 mol%. Upon completion of the reaction, MEK and trimethylamine were removed using a rotary evaporator with a condenser. The resulting HPC-derived polymer was dissolved in ethanol to obtain a solution with a solid content of 15 wt%. A 5 wt% solution of 2-hydroxy-2-methyl-1-phenylpropanone (IGM, Waalwijk, The Netherlands) was used as the photo-radical initiator. The mixture of the HPC-derived polymer and the photo-radical initiator is referred to as the HPC resist.
2.2. Exposure Sensitivity Measurement
The sensitivity of the HPC resist was confirmed by measuring the film thickness of the HPC resist film while varying the UV irradiation intensity. The HPC resist was spin-coated onto a silicon substrate. The spin-coating conditions were 500 rpm for 5 s, 1000 rpm for 20 s, and 1500 rpm for 5 s. Next, twelve samples were prepared with exposure doses ranging from 0 to 750 mJ, followed by 30 s of water development. Film thickness was measured before and after development using a non-contact thin-film measurement system (F20-UV, Filmmetrics, Yokohama, Japan)
2.3. Selection of Underlayers
To enhance the adhesion between the polypropylene (PP) substrate and the HPC resist, various underlayers were applied. Three types of underlayers were investigated: (1) Super Flex 210 (DKS Co., Kyoto, Japan), a polyurethane water dispersion; (2) a mixture of Super Flex 210 with 26 wt% of a carbodiimide crosslinking agent (Nisshinbo Chemical, Tokyo, Japan); and (3) a mixture of Super Flex with 4.7 wt% of an epoxy crosslinking agent (Nagase Chemtex, Tokyo, Japan). These underlayers are hereinafter referred to as the polyurethane underlayer, the carbodiimide-blended underlayer, and the epoxy-blended underlayer, respectively. Each underlayer was diluted with pure water to a concentration of 9.0 wt%.
Untreated PP substrates (without underlayer) were used as control samples and were applied to the PP substrates via spin coating using a spin coater (Opticoat MS-A1000, MS-B 1500, Mikasa, Tokyo, Japan) at 700 rpm for 10 s, followed by 1000 rpm for 15 s. The coated substrates were dried at 40 °C for 3 h, 80 °C for 3 h, and 120 °C for 20 min. Subsequently, 300 µL of HPC resist was spin-coated onto each substrate at 500 rpm for 5 s, 1000 rpm for 30 s, and 1500 rpm for 5 s, followed by baking on a hot plate at 60 °C for 5 min. In this study, experiments were performed in ambient atmosphere without using inert gas. Each sample was exposed to UV light (365 nm) at an exposure dose of 45 J/cm2 using negative type mask for microfabrication confirmation (TOPPAN PREINTING Co., Tokyo, Japan) and developed in water for 70 s. The fineness of pattern was then evaluated. Additionally, the water contact angle on each substrate was measured using a dynamic contact angle meter (DropMaster500Z, Kyowa Interface Science, Niiza, Japan) to assess the affinity between the HPC resist and the substrate. Water droplets were dispensed at three different locations on each substrate, and the contact angles from 0 to 10 s after droplet placement were analyzed using the θ/2 method. The average values were calculated and compared.
Three Si substrates were prepared to evaluate changes in interfacial interactions due to exposure and development. The contact angle between the HPC resist and water was measured at three stages: before exposure, after exposure, and after development. For all Si substrates, the HPC resist was spin-coated at 500 rpm for 5 s, 1000 rpm for 10 s, and 1500 rpm for 5 s, followed by baking at 60 °C for 5 min. The contact angle with water was measured for the following substrates: the first substrate was before exposure; the second substrate was irradiated with 45 J/cm2 of UV; and the third substrate was developed with water for 30 s after UV irradiation.
2.4. Lithography and Micropatterning
An epoxy-blended underlayer was coated and dried on the PP substrate under the same conditions described in Section 2.3. HPC resist was then dispensed using a 300 µL micropipette and spin-coated at 500 rpm for 5 s, 1000 rpm for 30 s, and 1500 rpm for 5 s. The substrate was baked at 60 °C for 5 min. UV exposure was performed at a dose of 450 mJ/cm2, followed by development in water for 30 s. A confocal laser microscope (Lasertec, OPTELICS H1200, Yokohama, Japan) was used for microscopic observation. Gold deposition was carried out on the PP substrate using a sputtering device (Vacuum Device, Mito, Japan) for enhanced visualization under the microscope.
2.5. Etching Rate Measurement
The etching rate of the HPC resist was compared with that of two reference materials: Novolac resin and Amylopectin-based resist. Amylopectin-based resist was consist of Amylopectin and Amylose. The HPC resist was spin-coated (500 rpm for 5 s, 1000 rpm for 25 s), baked at 65 °C for 2 min, and exposed to UV light at a dose of 30 J/cm2. Amylopectin-based resist was spin-coated (500 rpm for 30 s, 1000 rpm for 30 s) and baked at 70 °C for 2 min. Novolac resin was spin-coated (500 rpm for 3 s, 1500 rpm for 30 s) and baked at 200 °C for 2 min.
Etching was conducted using CF4 gas under the following conditions: pressure = 1 Pa, flow rate = 25 sccm, etching time = 1 min, and RF power = 50 W. The etching rate was calculated based on the difference in film thickness before and after the etching process.
3. Result and Discussion
3.1. Exposure Sensitivity Measurement
Figure 2 shows the measurement results for the exposure sensitivity of the HPC resist. These results indicate that the film thickness increases with exposure doses from 50 mJ/cm2 to 200 mJ/cm2. Beyond 200 mJ/cm2, only a slight increase in film thickness is observed. This suggests that all double bonds reacted at 200 mJ/cm2. In this study, no crosslinking agent was added to the HPC resist; crosslinking occurred solely via radical polymerization of the methacrylate groups. Previous studies have reported that exposure sensitivity tends to increase with increasing molecular weight [33]. Since the molecular weight of HPC varies depending on its grade, future work will focus on designing materials with optimized molecular weight and improving exposure sensitivity by incorporating crosslinking agent.
Figure 2.
Exposure sensitivity curve of HPC resist.
3.2. Selection of Underlayers
Figure 3 presents the measured water contact angles: 17° (before exposure), 38° (after exposure), and 42° (after development). The increase in contact angle after exposure is thought to result from the HPC resist becoming insoluble due to cross-linking reactions, thereby reducing surface hydrophilicity. Furthermore, after development, only the insoluble portion remained on the substrate, likely causing the contact angle to increase. This result may indicate that the surface properties of the HPC resist change due to exposure and development, potentially affecting the interfacial interactions between the underlayer and the photoresist.
Figure 3.
Contact angle measurement results for (a) HPC resist coating, (b) after exposure and (c) after development.
Figure 4a shows the micropatterning results on an epoxy-blended underlayer, while Figure 4b–d present the substrates coated with a polyurethane underlayer, a carbodiimide-blended underlayer, and an untreated substrate, respectively. Because resolution is a critical parameter for resist materials, the underlayers were compared based on the fineness of the resulting dot and line patterns. The finest patterns—6.6 µm for lines and 8.8 µm for dots—were achieved using the epoxy-blended underlayer, indicating the highest resolution among the tested configurations. This improvement is attributed to the enhanced affinity between the epoxy-blended underlayer and the HPC resist. The epoxy crosslinking agent used in the epoxy-blended underlayer is sorbitol polyglycidyl ether (SPE), a bio-based epoxy resin [34]. Sorbitol, a naturally occurring sugar alcohol [35], shares chemical, physical, and biological characteristics with sugars [36]. Given that HPC is derived from cellulose, a polysaccharide, SPE is expected to have high affinity with HPC, thereby improving adhesion and enabling successful micropatterning.

Figure 4.
(a) Line and dot patterns on a substrate coated with an epoxy-blended underlayer. (b) Line and dot patterns on a substrate coated with a polyurethane underlayer. (c) Line and dot patterns on a substrate coated with a carbodiimide-blended underlayer. (d) Line and dot patterns on an untreated substrate.
In contrast, the polyurethane and carbodiimide-blended underlayers, which do not contain bio-based components, exhibited poor compatibility with HPC and failed to produce micropatterns. Resist scum was not formed on the epoxy-blended underlayer and untreated substrate, but scum did form on the polyurethane underlayer and the carbodiimide-blended underlayer. Although resist scum was scarcely observed on untreated substrate, it showed poor adhesion to HPC, leading to pattern deformation or collapse during development. Figure 5 presents the water contact angle measurements: 72° (epoxy-blended underlayer) 60° (polyurethane underlayer), 59° (carbodiimide-blended underlayer), and 105° (untreated). These results indicate that applying an underlayer makes the PP substrate more hydrophilic. While the polyurethane and carbodiimide-blended underlayers exhibited more hydrophilic than the epoxy-blended underlayer, they did not yield successful micropatterns.
Figure 5.
Contact angle measurement results for four types of substrates.
Measurements of the water contact angle for each underlayer revealed that the polyurethane underlayer and carbodiimide-blended underlayer reduced the water contact angle and improved hydrophilicity. Therefore, it is considered that the interfacial interaction of these underlayers with the HPC resist was stronger than that with water. This caused a part of unexposed HPC resist to remain on the substrate, resulting in resist scum formation and failure in pattern fineness compared to the epoxy-blended underlayer. On the other hand, the Epoxy-blended underlayer showed improved hydrophilicity compared to without an underlayer, but its hydrophilicity was not as high as that of the Polyurethane underlayer and Carbodiimide-blended underlayer. Consequently, its interfacial interaction of epoxy-blended underlayer and the HPC resist is considered to have optimized the interfacial interaction between the underlayer and water. This allowed only the unexposed areas to dissolve during aqueous development, preventing resist scum formation and enabling the formation of the highest precision patterns. These results suggest that the balance in the strength of interactions between the underlayer and the HPC resist may influence pattern formation. Furthermore, a correlation may be suggested between contact angle values and pattern formation results, indicating that moderately hydrophilic surfaces may enable the formation of pattern fineness.
3.3. Micropatterning Evaluation
Figure 6 shows the micropatterning results achieved by applying an epoxy-blended underlayer on a PP substrate followed by the application of the HPC resist. Figure 6a displays a 4.5 µm line pattern, and Figure 6b shows a 5.0 µm dot pattern. These results demonstrate that the synthesized HPC resist can form 4.5 µm line patterns and 5.0 µm dot patterns on PP substrates when used with an epoxy-blended underlayer.
Figure 6.
Micropatterning on epoxy-blended underlayer (a) Line pattern, (b) Dot pattern.
Previous studies have reported successful formation of 8 µm patterns on ozone-treated polystyrene substrates using amylose-based resists [37]. Based on the results shown in Figure 6, the HPC resist combined with an epoxy-blended underlayer achieved finer micropatterns, down to 4.5 µm. Although PP substrates have rougher surfaces and are generally more difficult to pattern than silicon substrates, successful micropatterning was achieved using the HPC resist.
In the field of electronics, further improvements are expected by applying this system to more controlled substrates such as silicon wafers. Some studies have reported improved resist-substrate affinity by applying ultrapure water to silicon substrates prior to coating with HPC resist [38]. However, because the present study employed ethanol as a coating solvent and water for development, hydrophilic surface treatment is not necessarily effective. Based on the water contact angle measurements for each underlayer, interfacial chemical interactions beyond simple surface affinity between underlayer and HPC may be contributing.
A possible factor contributing to interfacial chemical interaction can be hydrogen bonding between the underlayer and the HPC resist. The epoxy-blended underlayer includes ether groups, which act as hydrogen bond acceptors [39]. The hydrogen bonding balance between the ether groups in epoxy-blended underlayer and the hydroxyl groups in the HPC resist could become optimal, leading to improved adhesion and fineness pattern formation. Polyurethanes and carbodiimides also act as hydrogen bond acceptors [40,41]. Based on contact angle measurements, the hydrogen bonding with HPC resist and polyurethane underlayer or carbodiimide-blended underlayer became stronger than with epoxy-blended underlayer, which could have hindered the dissolution of unexposed HPC during development, leading to scum formation. Overall, the affinity between sugar-derived HPC and sugar alcohol–derived SPE seems to be influenced not only by their structural similarity but also by a suitable balance of hydrogen bonding interactions at the interface.
3.4. Etching Rate Results
Figure 7 shows the CF4 plasma etching rates of the HPC resist, Novolac resin, and Amylopectin-based resist. The fastest etching rate was observed for Amylopectin-based resist, followed by the HPC resist, with Novolac resin exhibiting the slowest etching rate. According to the Ohnishi parameter, polysaccharides are characterized by low carbon density and consequently exhibit low etching resistance [42]. Novolac resins are generally known for their high etching resistance, and low etching resistance makes it difficult to form precise patterns. The Ohnishi parameter is defined by Equation (1):
where Ntotal is the total number of atoms in the molecule, NC is the number of carbon atoms, and NO is the number of oxygen atoms. The calculated Ohnishi parameters are 10.3 for the HPC resist, 3.3 for Novolac, and 10.7 for Amylopectin-based resist. Figure 8 illustrates the correlation between the Ohnishi parameter and the etching rate. A lower Ohnishi parameter generally corresponds to a slower etching rate and higher etching resistance.
Figure 7.
Measurement results of etching rates of HPC, Novolac, and Amylopectin-based resist.
Figure 8.
Correlation between Ohnishi parameters and etching rate.
The HPC resist, although based on a polysaccharide, exhibited greater etching resistance than Amylopectin-based resist. This is likely due to the substitution of some hydroxyl groups in HPC with hydroxypropyl groups, which increases the carbon content in the molecule and improves etching resistance. In theory, decreasing the Ohnishi parameter by increasing the carbon content is effective for enhancing etching resistance. However, incorporating highly carbon-rich photoreactive groups may hinder water-based development. Thus, a trade-off exists between etching resistance and water developability.
Additionally, etching behavior was analyzed using the ring parameter proposed by Kunz, which considers the ring carbon content of the molecule. The ring parameter is defined by Equation (2):
where mc is the total mass of carbon atoms in the ring structure, and mtotal is the total molecular mass [43]. The ring parameters were calculated as 0.370 for the HPC resist, 0.70 for Novolac, and 0.347 for Amylopectin-based resist. Figure 9 presents the correlation between etching rate and ring parameter values, assuming atomic weights of C = 12, H = 1, and O = 16. Previous studies have suggested that for water-soluble polymers, the ring parameter may correlate more strongly with etching resistance than the Ohnishi parameter [44]. Comparing the etch resistance of photoresists primarily composed of sugar chains is considered effective for selecting candidate materials suitable for future applications.
Figure 9.
Correlation between ring parameters and etching rate.
4. Conclusions
In this study, methacrylate groups were introduced into hydroxypropyl cellulose (HPC), a sugar chain-derived polymer, to develop a water-developable HPC resist. Although polysaccharides generally exhibit low etching resistance under CF4 gas etching, the HPC resist demonstrated higher etching resistance compared to other water-soluble photoresists. Furthermore, an underlayer composed of a mixture of sorbitol polyglycidyl ether (SPE)—a bio-based epoxy resin—and a polyurethane water dispersion provided a moderately hydrophilic surface, and this balance of interfacial interaction enabled the successful formation of 4.5 µm line patterns and 5.0 µm dot patterns.
The water-based development process eliminates the need for organic solvents, which may contribute to reducing wastewater volume, environmental impact, and health risks in electronics manufacturing. These results indicate that HPC resist is a promising, environmentally friendly resist material with potential applications in the electronics industry.
Author Contributions
Conceptualization, H.H. and S.T.; data curation, H.H. and S.T.; formal analysis, Y.H., M.O. and M.M.; funding acquisition, S.T.; investigation, M.A., Y.H., M.O., M.M. and S.T.; methodology, Y.H., M.A., M.O. and S.T.; project administration, S.T.; resources, S.T.; supervision, S.T.; validation, Y.H., M.A., M.O., M.M. and S.T.; writing—original draft preparation, H.H., Y.H. and S.T.; writing—review and editing, H.H. and S.T. All authors have read and agreed to the published version of the manuscript.
Funding
The authors wish to acknowledge the funding received from Japan Society for the Promotion of Science Bilateral Joint Research Projects (No. 120259947), Murata Science and Education Foundation 2025 (No. 2025), Die and Mould Technology Promotion Foundation 2025 (No. 2025), Fuji Seal Foundation 2025 (No. 2025), Ame Hisaharu Foundation 2025 (No. 2025), TOBE MAKI Scholarship Foundation 2023–2025 (No. 2023), and Nakato Scholarship Foundation 2024–2025, (No. 2024).
Data Availability Statement
The datasets generated and/or analyzed during the current study are not publicly available because they are part of ongoing research but are available from the corresponding author upon reasonable request.
Acknowledgments
The authors appreciate the valuable, practical contributions of Toyama Industrial Technology Research & Development Center and Gunei Chemical Industry Corporation.
Conflicts of Interest
The authors declare no conflicts of interest.
References
- Luo, C.; Xu, C.; Lv, L.; Li, H.; Huang, X.; Liu, W. Review of recent advances in inorganic photoresists. RSC Adv. 2020, 10, 8385–8395. [Google Scholar] [CrossRef]
- Yang, D.X.; Frommhold, A.; McClelland, A.; Roth, J.; Rosamond, M.; Linfield, E.H.; Robinson, A.P.G. Performance of a high resolution chemically amplified electron beam resist at various beam energies. Microelectron. Eng. 2016, 155, 97–101. [Google Scholar] [CrossRef]
- Park, S.H.; Shin, J.A.; Park, H.H.; Yi, G.Y.; Chung, K.J.; Park, H.D.; Lee, I.S. Exposure to volatile organic compounds and possibility of exposure to by-product volatile organic compounds in photolithography processes in semiconductor manufacturing factories. Saf. Health Work. 2011, 2, 210–217. [Google Scholar] [CrossRef] [PubMed]
- Havard, J.M.; Shim, S.Y.; Fréchet, J.M.; Lin, Q.; Medeiros, D.R.; Willson, C.G.; Byers, J.D. Design of photoresists with reduced environmental impact. 1. Water-soluble resists based on photo-cross-linking of poly (vinyl alcohol). Chem. Mater. 1999, 11, 719–725. [Google Scholar] [CrossRef]
- Chiang, S.Y.; Wei, C.C.; Chiang, T.H.; Chen, W.L. How can electronics industries become green manufacturers in Taiwan and Japan. Clean Technol. Environ. Policy 2011, 13, 37–47. [Google Scholar] [CrossRef]
- Wang, Y.; Zhang, Z.; Jiang, C.; Xu, T. Electrodialysis process for the recycling and concentrating of tetramethylammonium hydroxide (TMAH) from photoresist developer wastewater. Ind. Eng. Chem. Res. 2013, 52, 18356–18361. [Google Scholar] [CrossRef]
- Kelleher, B.P.; Doyle, A.M.; O’Dwyer, T.F.; Hodnett, B.K. Preparation and use of a mesoporous silicate material for the removal of tetramethyl ammonium hydroxide (TMAH) from aqueous solution. J. Chem. Technol. Biotechnol. 2001, 76, 1216–1222. [Google Scholar] [CrossRef]
- Park, S.H.; Park, J.; You, K.H.; Shin, H.C.; Kim, H.O. Tetramethylammonium hydroxide poisoning during a pallet cleaning demonstration. J. Occup. Health 2013, 55, 120–124. [Google Scholar] [CrossRef] [PubMed]
- Kawashima, A.; Inoue, K. Re-evaluation of the reduced heart weights in male rats in a 28-day oral repeated-dose toxicity study of tetramethylammonium hydroxide. Regul. Toxicol. Pharmacol. 2024, 153, 105712. [Google Scholar] [CrossRef]
- Hsu, J.Y.; Huang, H.L.; Lin, Y.C.; Hsiao, P.Z.; Chang, C.W.; Liao, P.C. Determination of tetramethylammonium hydroxide in air using ion chromatography or ultra-performance liquid chromatography–high-resolution mass spectrometry. J. Environ. Exposure Assess. 2024, 3, 21. [Google Scholar] [CrossRef]
- Wu, C.L.; Su, S.B.; Chen, J.L.; Lin, H.J.; Guo, H.R. Mortality from dermal exposure to tetramethylammonium hydroxide. J. Occup. Health 2008, 50, 99–102. [Google Scholar] [CrossRef]
- Kawashima, A.; Inoue, K.; Ushida, K.; Kai, K.; Yoshida-Yamashita, L.S.; Masumura, K. Derivation of human health hazard assessment values for tetramethylammonium hydroxide (TMAH) under the Japan Chemical Substances Control Law. Fundam. Toxicol. Sci. 2024, 11, 267–278. [Google Scholar] [CrossRef]
- Innocenzi, V.; Zueva, S.B.; Vegliò, F.; De Michelis, I. Pilot-scale experiences with aerobic treatment and chemical processes of industrial wastewaters from electronics and semiconductor industry. Energies 2021, 14, 5340. [Google Scholar] [CrossRef]
- Lee, J.; Lee, S.; Choi, Y.; Lee, S. Treatment of semiconductor wastewater containing tetramethylammonium hydroxide (TMAH) using nanofiltration, reverse osmosis, and membrane capacitive deionization. Membranes 2023, 13, 336. [Google Scholar] [CrossRef]
- Ippolito, N.M.; Amato, A.; Ferella, F.; Prisciandaro, M.; Beolchini, F.; Vegliò, F.; Innocenzi, V. The application of the life cycle assessment and life cycle costing for the treatment of microelectronic industry effluents. Case Stud. Chem. Environ. Eng. 2024, 10, 100854. [Google Scholar] [CrossRef]
- Shibata, J.; Murayama, N.; Matsumoto, S. Recovery of tetramethyl ammonium hydroxide from waste solution by ion exchange resin. Resour. Process. 2006, 53, 199–203. [Google Scholar] [CrossRef][Green Version]
- Liu, B.; Yoshinaga, K.; Wu, J.H.; Chen, W.Y.; Terashima, M.; Goel, R.; Yasui, H. Kinetic analysis of biological degradation for tetramethylammonium hydroxide (TMAH) in the anaerobic activated sludge system at ambient temperature. Biochem. Eng. J. 2016, 114, 42–49. [Google Scholar] [CrossRef]
- Cao, C.B.; Zhou, C.; Sun, X.; Gao, J.P.; Wang, Z.Y. Photo-induced crosslinking of water-soluble polymers with a new photobase generator. Polymer 2010, 51, 4058–4062. [Google Scholar] [CrossRef]
- Sim, K.M.; Yoon, S.; Kim, S.K.; Ko, H.; Hassan, S.Z.; Chung, D.S. Surfactant-induced solubility control to realize water-processed high-precision patterning of polymeric semiconductors for full color organic image sensor. ACS Nano 2019, 14, 415–421. [Google Scholar] [CrossRef]
- Kumar, R.; Rai, B.; Kumar, G. A simple approach for the synthesis of cellulose nanofiber reinforced chitosan/PVP bio nanocomposite film for packaging. J. Polym. Environ. 2019, 27, 2963–2973. [Google Scholar] [CrossRef]
- Sysova, O.; Durin, P.; Gablin, C.; Léonard, D.; Téolis, A.; Trombotto, S.; Soppera, O. Chitosan as a water-developable 193 nm photoresist for green photolithography. ACS Appl. Polym. Mater. 2022, 4, 4508–4519. [Google Scholar] [CrossRef]
- Jiang, B.; Yang, J.; Li, C.; Zhang, L.; Zhang, X.; Yang, P. Water-Based Photo- and Electron-Beam Lithography Using Egg White as a Resist. Adv. Mater. Interfaces 2017, 4, 1601223. [Google Scholar] [CrossRef]
- Weißenborn, E.; Braunschweig, B. Hydroxypropyl cellulose as a green polymer for thermo-responsive aqueous foams. Soft Matter 2019, 15, 2876–2883. [Google Scholar] [CrossRef]
- Leminen, V.; Ovaska, S.S.C.; Tanninen, P.; Varis, J. Convertability and oil resistance of paperboard with hydroxypropyl-cellulose-based dispersion barrier coatings. J. Appl. Packag. Res. 2015, 7, 92–100. [Google Scholar]
- Le Dare, B.; Gicquel, T. Therapeutic applications of ethanol: A review. J. Pharm. Pharm. Sci. 2019, 22, 525–535. [Google Scholar] [CrossRef] [PubMed]
- Hans, M.; Lugani, Y.; Chandel, A.K.; Rai, R.; Kumar, S. Production of first- and second-generation ethanol for use in alcohol-based hand sanitizers and disinfectants in India. Biomass Convers. Biorefinery 2023, 13, 7423–7440. [Google Scholar] [CrossRef] [PubMed]
- Perez, C.L.S.; Fighera, T.M.; Miasaki, F.; Mesa, C.O.; Paz Filho, G.J.D.; Graf, H.; Carvalho, G.A.D. Evaluation of percutaneous ethanol injections in benign thyroid nodules. Arq. Bras. Endocrinol. Metabol. 2014, 58, 912–917. [Google Scholar] [CrossRef][Green Version]
- Jeong, W.K.; Baek, J.H.; Rhim, H.; Kim, Y.S.; Kwak, M.S.; Jeong, H.J.; Lee, D. Radiofrequency ablation of benign thyroid nodules: Safety and imaging follow-up in 236 patients. Eur. Radiol. 2008, 18, 1244–1250. [Google Scholar] [CrossRef] [PubMed]
- Yu, S.C.H.; Hui, E.P.; Tang, P.; Chan, S.K.C.; Chu, C.C.M.; Hui, J.W.Y.; Yeo, W. Transarterial ethanol ablation for unresectable hepatocellular carcinoma: Analysis of clinical and tumor outcomes. J. Vasc. Interv. Radiol. 2016, 27, 639–649. [Google Scholar] [CrossRef][Green Version]
- Maier, A.; Ovesen, J.L.; Allen, C.L.; York, R.G.; Gadagbui, B.K.; Kirman, C.R.; Quinones-Rivera, A. Safety assessment for ethanol-based topical antiseptic use by health care workers: Evaluation of developmental toxicity potential. Regul. Toxicol. Pharmacol. 2015, 73, 248–264. [Google Scholar] [CrossRef]
- Miura, S.; Hachikubo, Y.; Yamagishi, R.; Ando, M.; Takei, S. Water-soluble biomass resist materials based on polyglucuronic acid for eco-friendly photolithography. Coatings 2023, 13, 2038. [Google Scholar] [CrossRef]
- Russom, C.L.; Drummond, R.A.; Huffman, A.D. Acute toxicity and behavioral effects of acrylates and methacrylates to juvenile fathead minnows. Bull. Environ. Contam. Toxicol. 1988, 41, 539–596. [Google Scholar] [CrossRef]
- Amano, T.; Kobayasi, M.; Takei, S. Effect of Sugar Chain Binding Mode on Water-soluble Micropatterning Performance and Physical Characteristics. J. Photopolym. Sci. Technol. 2021, 34, 187–193. [Google Scholar] [CrossRef]
- Sugane, K.; Mishima, T.; Shibata, M. Biobased epoxy nanocomposites composed of sorbitol polyglycidyl ether, biobased carboxylic acids and microfibrillated cellulose. J. Polym. Res. 2021, 28, 257. [Google Scholar] [CrossRef]
- Marques, C.; Tarek, R.; Sara, M.; Brar, S.K. Sorbitol production from biomass and its global market. In Platform Chemical Biorefinery; Elsevier: Amsterdam, The Netherlands, 2016; pp. 217–227. [Google Scholar]
- Bieleski, R.L. Sugar alcohols. In Plant Carbohydrates I: Intracellular Carbohydrates; Springer: Berlin/Heidelberg, Germany, 1982; pp. 158–192. [Google Scholar]
- Hachikubo, Y.; Miura, S.; Yamagishi, R.; Ando, M.; Kobayashi, M.; Ota, T.; Takei, S. Amylopectin-based eco-friendly photoresist material in water-developable lithography processes for surface micropatterns on polymer substrates. J. Photopolym. Sci. Technol. 2023, 36, 197–204. [Google Scholar] [CrossRef]
- Amano, T.; Hirata, D.; Hasegawa, Y.; Takei, S. Evaluation of nano-patterning performance of water-soluble material for photoresist using sugar chain. J. Photopolym. Sci. Technol. 2020, 33, 445–450. [Google Scholar] [CrossRef]
- Deruiter, J. Ethers and Thioethers; William, B., Pratt, P.T., Eds.; Elsevier Health Sciences: Amsterdam, The Netherlands, 2005. [Google Scholar]
- Yilgör, E.; Burgaz, E.; Yurtsever, E.; Yilgör, I. Comparison of hydrogen bonding in polydimethylsiloxane- and polyether-based urethane and urea copolymers. Polymer 2000, 41, 849–857. [Google Scholar] [CrossRef]
- Ung, H.U.; Moehlig, A.R.; Khodagholian, S.; Berden, G.; Oomens, J.; Morton, T.H. Proton-bridge motions in amine conjugate acid ions having intramolecular hydrogen bonds to hydroxyl and amine groups. J. Phys. Chem. A 2013, 117, 1360–1369. [Google Scholar] [CrossRef]
- Amano, T.; Kobayasi, M.; Takei, S. Micropatterning Performance and Physical Characteristics of Water-soluble High Molecular Weight Polysaccharide Photoresist Materials. J. Photopolym. Sci. Technol. 2021, 34, 181–186. [Google Scholar] [CrossRef]
- Dammel, R.R. New developments in high-performance resist materials. J. Photopolym. Sci. Technol. 1998, 11, 687–703. [Google Scholar] [CrossRef]
- Hachikubo, Y.; Miura, S.; Yamagishi, R.; Ando, M.; Takei, S. Photoresist for Water-developable Photolithography Process Using Plant-derived Hemicellulose. J. Photopolym. Sci. Technol. 2024, 37, 363–370. [Google Scholar] [CrossRef]
Disclaimer/Publisher’s Note: The statements, opinions and data contained in all publications are solely those of the individual author(s) and contributor(s) and not of MDPI and/or the editor(s). MDPI and/or the editor(s) disclaim responsibility for any injury to people or property resulting from any ideas, methods, instructions or products referred to in the content. |
© 2025 by the authors. Licensee MDPI, Basel, Switzerland. This article is an open access article distributed under the terms and conditions of the Creative Commons Attribution (CC BY) license (https://creativecommons.org/licenses/by/4.0/).










