Indirect Evaluation of the Electrocaloric Effect in PbZrTiO3 (20/80)-Based Epitaxial Thin Film Structures
Abstract
1. Introduction
2. Materials and Methods
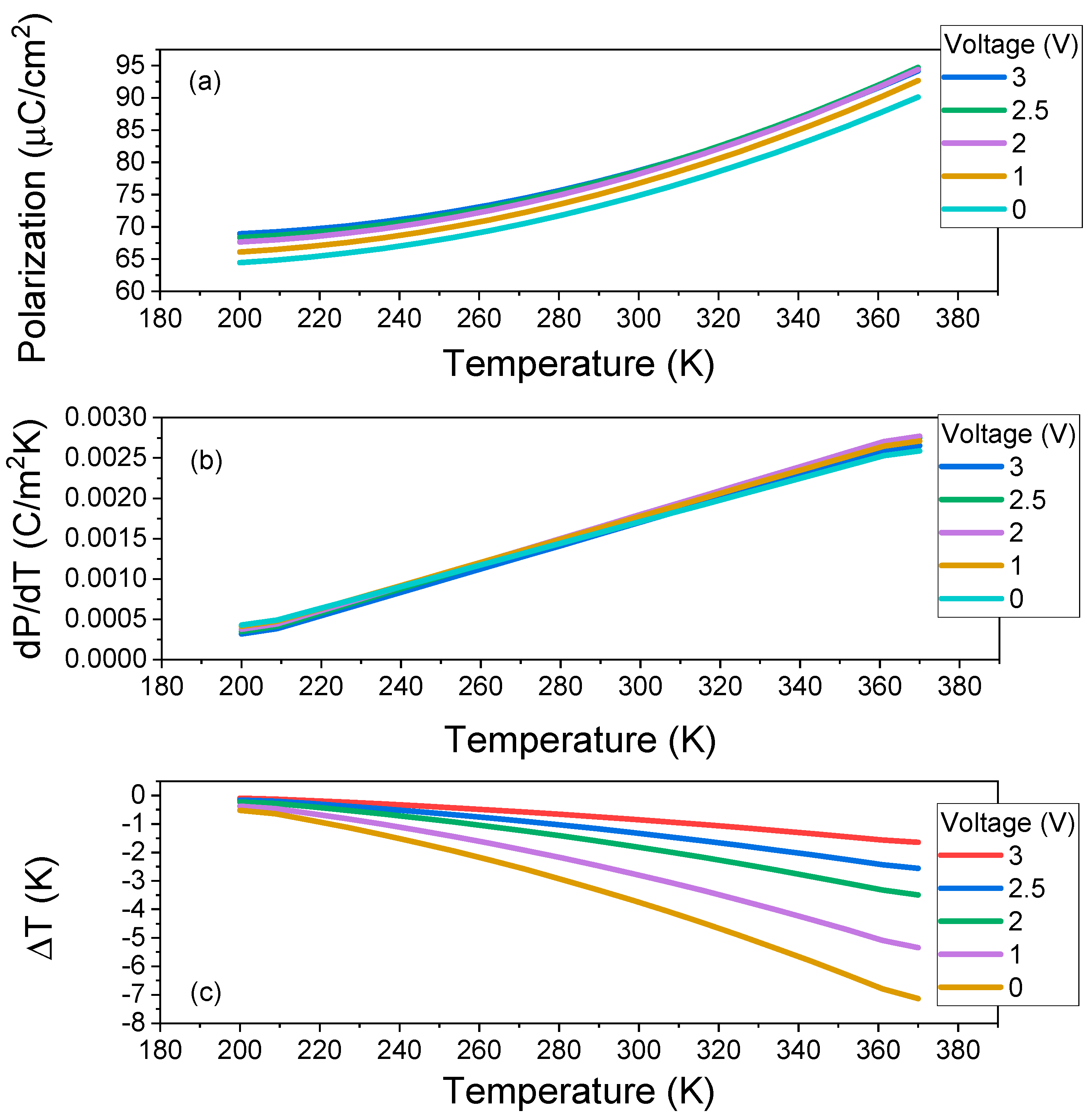
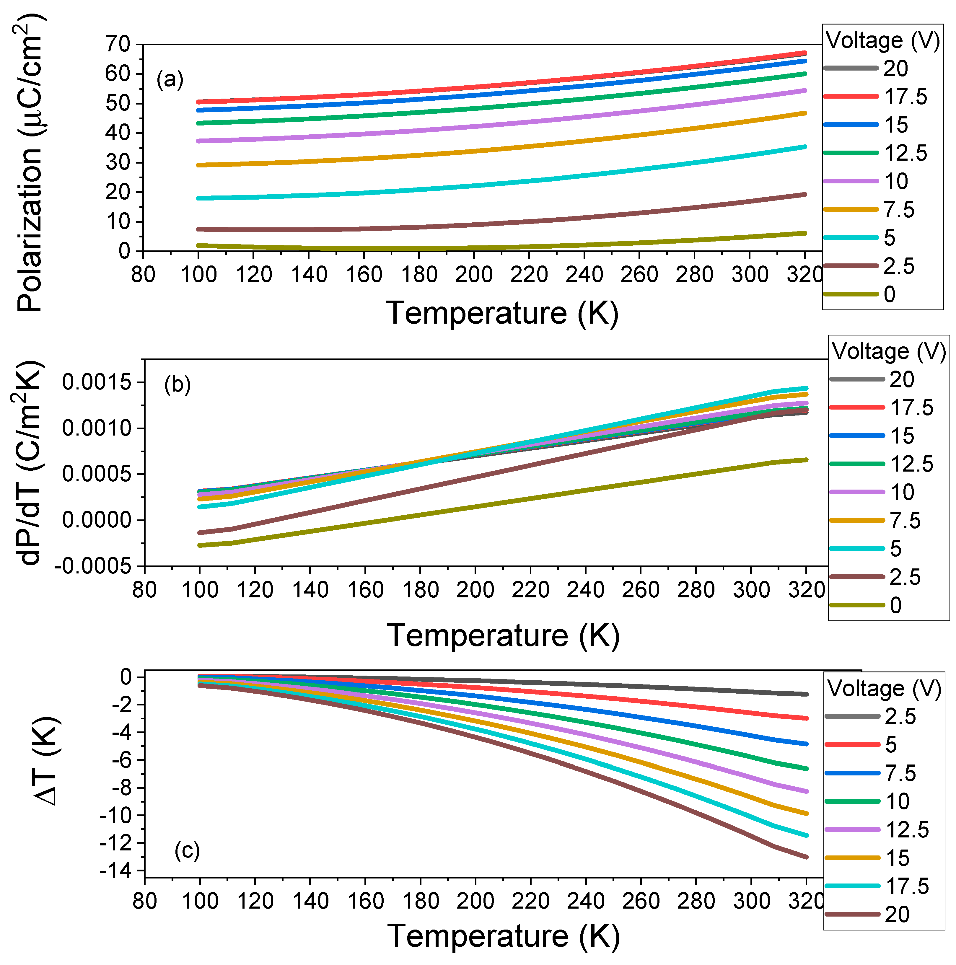
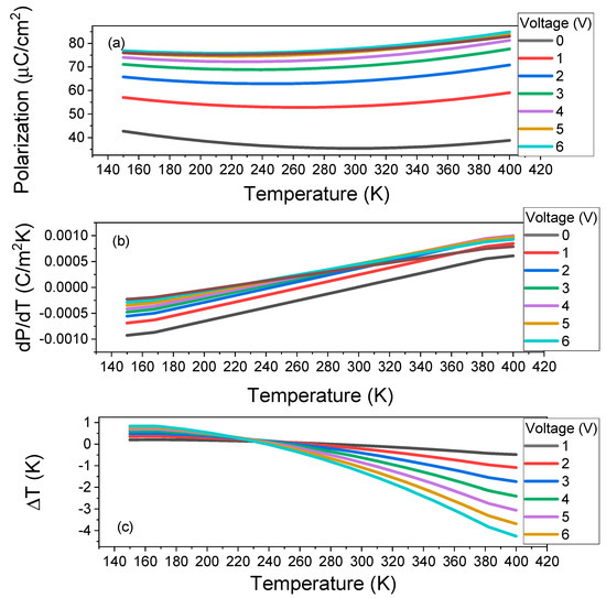
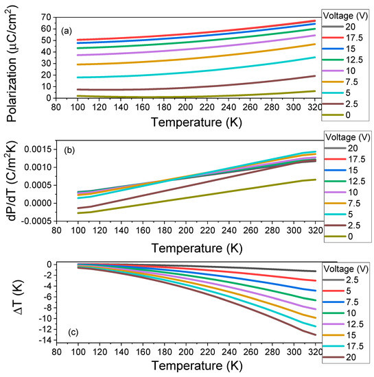
3. Results

4. Conclusions
Supplementary Materials
Author Contributions
Funding
Data Availability Statement
Conflicts of Interest
References
- Jia, Y.; Ju, Y.S. A Solid-State Refrigerator Based on the Electrocaloric Effect. Appl. Phys. Lett. 2012, 100, 242901. [Google Scholar] [CrossRef]
- Ju, Y.S. Solid-State Refrigeration Based on the Electrocaloric Effect for Electronics Cooling. J. Electron. Packag. 2010, 132, 041004. [Google Scholar] [CrossRef]
- Mischenko, A.S.; Zhang, Q.; Scott, J.F.; Whatmore, R.W.; Mathur, N.D. Giant Electrocaloric Effect in Thin-Film PbZr0.95Ti0.05O3. Science 2006, 311, 1270–1271. [Google Scholar] [CrossRef]
- Correia, T.; Zhang, Q. Electrocaloric Effect: An Introduction. In Electrocaloric Materials: New Generation of Coolers; Correia, T., Zhang, Q., Eds.; Engineering Materials; Springer: Berlin/Heidelberg, Germany, 2014; pp. 1–15. ISBN 978-3-642-40264-7. [Google Scholar]
- Wiseman, G.G.; Kuebler, J.K. Electrocaloric Effect in Ferroelectric Rochelle Salt. Phys. Rev. 1963, 131, 2023–2027. [Google Scholar] [CrossRef]
- Kutnjak, Z.; Rožič, B.; Pirc, R. Electrocaloric Effect: Theory, Measurements, and Applications. In Wiley Encyclopedia of Electrical and Electronics Engineering; John Wiley & Sons, Inc.: Hoboken, NJ, USA, 2015; pp. 1–19. ISBN 978-0-471-34608-1. [Google Scholar]
- Peng, B.; Fan, H.; Zhang, Q. A Giant Electrocaloric Effect in Nanoscale Antiferroelectric and Ferroelectric Phases Coexisting in a Relaxor Pb0.8Ba0.2ZrO3 Thin Film at Room Temperature. Adv. Funct. Mater. 2013, 23, 2987–2992. [Google Scholar] [CrossRef]
- Kutnjak, Z.; Rožič, B. Indirect and Direct Measurements of the Electrocaloric Effect. In Electrocaloric Materials: New Generation of Coolers; Engineering Materials; Correia, T., Zhang, Q., Eds.; Springer: Berlin/Heidelberg, Germany, 2014; pp. 147–182. ISBN 978-3-642-40264-7. [Google Scholar]
- Liu, Y.; Scott, J.F.; Dkhil, B. Direct and Indirect Measurements on Electrocaloric Effect: Recent Developments and Perspectives. Appl. Phys. Rev. 2016, 3, 031102. [Google Scholar] [CrossRef]
- Moya, X.; Kar-Narayan, S.; Mathur, N.D. Caloric Materials near Ferroic Phase Transitions. Nat. Mater. 2014, 13, 439–450. [Google Scholar] [CrossRef]
- Marathe, M.; Grünebohm, A.; Nishimatsu, T.; Entel, P.; Ederer, C. First-Principles-Based Calculation of the Electrocaloric Effect in BaTiO3: A Comparison of Direct and Indirect Methods. Phys. Rev. B 2016, 93, 054110. [Google Scholar] [CrossRef]
- Takeuchi, I.; Sandeman, K. Solid-State Cooling with Caloric Materials. Phys. Today 2015, 68, 48–54. [Google Scholar] [CrossRef]
- Fähler, S.; Rößler, U.K.; Kastner, O.; Eckert, J.; Eggeler, G.; Emmerich, H.; Entel, P.; Müller, S.; Quandt, E.; Albe, K. Caloric Effects in Ferroic Materials: New Concepts for Cooling. Adv. Eng. Mater. 2012, 14, 10–19. [Google Scholar] [CrossRef]
- Geng, W.; Liu, Y.; Meng, X.; Bellaiche, L.; Scott, J.F.; Dkhil, B.; Jiang, A. Giant Negative Electrocaloric Effect in Antiferroelectric La-Doped Pb(ZrTi)O3 Thin Films Near Room Temperature. Adv. Mater. 2015, 27, 3165–3169. [Google Scholar] [CrossRef] [PubMed]
- Pirc, R.; Rožič, B.; Koruza, J.; Malič, B.; Kutnjak, Z. Negative Electrocaloric Effect in Antiferroelectric PbZrO3. Eur. Lett. 2014, 107, 17002. [Google Scholar] [CrossRef]
- Zhang, T.; Li, W.; Hou, Y.; Yu, Y.; Cao, W.; Feng, Y.; Fei, W. Positive/Negative Electrocaloric Effect Induced by Defect Dipoles in PZT Ferroelectric Bilayer Thin Films. RSC Adv. 2016, 6, 71934–71939. [Google Scholar] [CrossRef]
- Thacher, P.D. Electrocaloric Effects in Some Ferroelectric and Antiferroelectric Pb(Zr, Ti)O3 Compounds. J. Appl. Phys. 1968, 39, 1996–2002. [Google Scholar] [CrossRef]
- Wang, J.; Yang, T.; Wei, K.; Yao, X. Temperature–Electric Field Hysteresis Loop of Electrocaloric Effect in Ferroelectricity—Direct Measurement and Analysis of Electrocaloric Effect. I. Appl. Phys. Lett. 2013, 102, 152907. [Google Scholar] [CrossRef]
- Wu, H.H.; Cohen, R.E. Polarization Rotation and the Electrocaloric Effect in Barium Titanate. J. Phys. Condens. Matter 2017, 29, 485704. [Google Scholar] [CrossRef] [PubMed]
- Li, B.; Wang, J.B.; Zhong, X.L.; Wang, F.; Zeng, Y.K.; Zhou, Y.C. The Coexistence of the Negative and Positive Electrocaloric Effect in Ferroelectric Thin Films for Solid-State Refrigeration. Eur. Lett. 2013, 102, 47004. [Google Scholar] [CrossRef]
- Marathe, M.; Renggli, D.; Sanlialp, M.; Karabasov, M.O.; Shvartsman, V.V.; Lupascu, D.C.; Grünebohm, A.; Ederer, C. Electrocaloric Effect in BaTiO3 at All Three Ferroelectric Transitions: Anisotropy and Inverse Caloric Effects. Phys. Rev. B 2017, 96, 014102. [Google Scholar] [CrossRef]
- Wu, H.H.; Cohen, R.E. Electric-Field-Induced Phase Transition and Electrocaloric Effect in PMN-PT. Phys. Rev. B 2017, 96, 054116. [Google Scholar] [CrossRef]
- Li, B.; Wang, J.B.; Zhong, X.L.; Wang, F.; Zhou, Y.C. Room Temperature Electrocaloric Effect on PbZr0.8Ti0.2O3 Thin Film. J. Appl. Phys. 2010, 107, 014109. [Google Scholar] [CrossRef]
- Akcay, G.; Alpay, S.P.; Mantese, J.V.; Rossetti, G.A., Jr. Magnitude of the Intrinsic Electrocaloric Effect in Ferroelectric Perovskite Thin Films at High Electric Fields. Appl. Phys. Lett. 2007, 90, 252909. [Google Scholar] [CrossRef]
- Zuo, Z.; Chen, B.; Wang, B.; Yang, H.; Zhan, Q.; Liu, Y.; Wang, J.; Li, R.-W. Strain Assisted Electrocaloric Effect in PbZr0.95Ti0.05O3 Films on 0.7Pb(Mg1/3Nb2/3)O3-0.3PbTiO3 Substrate. Sci. Rep. 2015, 5, 16164. [Google Scholar] [CrossRef] [PubMed]
- Vats, G.; Kumar, A.; Ortega, N.; Bowen, C.R.; Katiyar, R.S. Giant Pyroelectric Energy Harvesting and a Negative Electrocaloric Effect in Multilayered Nanostructures. Energy Environ. Sci. 2016, 9, 1335–1345. [Google Scholar] [CrossRef]
- Zhang, T.; Li, W.; Yu, Y.; Wang, M.; He, J.; Fei, W. Giant Electrocaloric Effect in Compositionally Graded PZT Multilayer Thin Films. J. Alloys Compd. 2018, 731, 489–495. [Google Scholar] [CrossRef]
- Gariglio, S.; Stucki, N.; Triscone, J.-M.; Triscone, G. Strain Relaxation and Critical Temperature in Epitaxial Ferroelectric Pb(Zr0.20Ti0.80)O3 Thin Films. Appl. Phys. Lett. 2007, 90, 202905. [Google Scholar] [CrossRef]
- Pintilie, L.; Ghica, C.; Teodorescu, C.M.; Pintilie, I.; Chirila, C.; Pasuk, I.; Trupina, L.; Hrib, L.; Boni, A.G.; Georgiana Apostol, N.; et al. Polarization Induced Self-Doping in Epitaxial Pb(Zr0.20Ti0.80)O3 Thin Films. Sci. Rep. 2015, 5, 14974. [Google Scholar] [CrossRef]
- Chirila, C.; Boni, G.A.; Filip, L.D.; Husanu, M.; Neatu, S.; Istrate, C.M.; Le Rhun, G.; Vilquin, B.; Trupina, L.; Pasuk, I.; et al. Effect of Strain and Stoichiometry on the Ferroelectric and Pyroelectric Properties of the Epitaxial Pb(Zr0.2Ti0.8)O3 Films Deposited on Si Wafers. Mater. Sci. Eng. B Solid State Mater. Adv. Technol. 2021, 266, 115042. [Google Scholar] [CrossRef]
- Correia, T.M.; Young, J.S.; Whatmore, R.W.; Scott, J.F.; Mathur, N.D.; Zhang, Q. Investigation of the Electrocaloric Effect in a PbMg2/3Nb1/3O3-PbTiO3 Relaxor Thin Film. Appl. Phys. Lett. 2009, 95, 182904. [Google Scholar] [CrossRef]
- Lu, S.G.; Rožič, B.; Zhang, Q.M.; Kutnjak, Z.; Li, X.; Furman, E.; Gorny, L.J.; Lin, M.; Malič, B.; Kosec, M.; et al. Organic and Inorganic Relaxor Ferroelectrics with Giant Electrocaloric Effect. Appl. Phys. Lett. 2010, 97, 162904. [Google Scholar] [CrossRef]
- Niu, Z.-H.; Jiang, Y.-P.; Tang, X.-G.; Liu, Q.-X.; Li, W.-H.; Lin, X.-W.; Lu, S.-G. Giant Negative Electrocaloric Effect in B-Site Non-Stoichiometric (Pb0.97La0.02)(Zr0.95Ti0.05)1+yO3 Anti-Ferroelectric Ceramics. Mater. Res. Lett. 2018, 6, 384–389. [Google Scholar] [CrossRef]
- Cheng, X.; Weyland, F.; Novak, N.; Li, Y. Indirect Electrocaloric Evaluation: Influence of Polarization Hysteresis Measurement Frequency. Phys. Status Solidi (A) 2019, 216, 1900684. [Google Scholar] [CrossRef]
- Chen, X.; Li, S.; Jian, X.; Hambal, Y.; Lu, S.-G.; Shvartsman, V.V.; Lupascu, D.C.; Zhang, Q.M. Maxwell Relation, Giant (Negative) Electrocaloric Effect, and Polarization Hysteresis. Appl. Phys. Lett. 2021, 118, 122904. [Google Scholar] [CrossRef]
- Boni, G.A.; Chirila, C.F.; Stancu, V.; Amarande, L.; Pasuk, I.; Trupina, L.; Istrate, C.M.; Radu, C.; Tomulescu, A.; Neatu, S.; et al. Accidental Impurities in Epitaxial Pb(Zr0.2Ti0.8)O3 Thin Films Grown by Pulsed Laser Deposition and Their Impact on the Macroscopic Electric Properties. Nanomaterials 2021, 11, 1177. [Google Scholar] [CrossRef] [PubMed]
- Catalan, G.; Vlooswijk, A.H.G.; Janssens, A.; Rispens, G.; Redfern, S.; Rijnders, G.; Blank, D.H.A.; Noheda, B. X-ray Diffraction of Ferroelectric Nanodomains in Pbtio3 Thin Films. Integr. Ferroelectr. 2007, 92, 18–29. [Google Scholar] [CrossRef]
- Negative Capacitance and Switching Dynamics Control Via Non-Ferroelectric Elements | ACS Applied Energy Materials. Available online: https://pubs.acs.org/doi/full/10.1021/acsaem.1c03890 (accessed on 21 July 2022).
- Park, M.H.; Kim, H.J.; Kim, Y.J.; Moon, T.; Kim, K.D.; Lee, Y.H.; Hyun, S.D.; Hwang, C.S. Giant Negative Electrocaloric Effects of Hf0.5Zr0.5O2 Thin Films. Adv. Mater. 2016, 28, 7956–7961. [Google Scholar] [CrossRef]
- Bai, Y.; Zheng, G.-P.; Shi, S.-Q. Abnormal Electrocaloric Effect of Na0.5Bi0.5TiO3–BaTiO3 Lead-Free Ferroelectric Ceramics above Room Temperature. Mater. Res. Bull. 2011, 46, 1866–1869. [Google Scholar] [CrossRef]
- Kaur, S.; Arora, M.; Kumar, S.; Malhi, P.S.; Singh, M.; Singh, A. Abnormal Electrocaloric Effect near Ambient Temperature in MgO Modified NBT-KBT. Mater. Today Commun. 2022, 30, 103028. [Google Scholar] [CrossRef]
- Le Goupil, F.L.; Berenov, A.; Axelsson, A.-K.; Valant, M.; Alford, N.M. Direct and Indirect Electrocaloric Measurements on <001>-PbMg1/3Nb2/3O3-30PbTiO3 Single Crystals. J. Appl. Phys. 2012, 111, 124109. [Google Scholar] [CrossRef]
- Peräntie, J.; Hagberg, J.; Uusimäki, A.; Jantunen, H. Electric-Field-Induced Dielectric and Temperature Changes in a ⟨011⟩-Oriented Pb (Mg1/3Nb2/3) O3-PbTiO3 Single Crystal. Phys. Rev. B 2010, 82, 134119. [Google Scholar] [CrossRef]
- Rožič, B.; Kosec, M.; Uršič, H.; Holc, J.; Malič, B.; Zhang, Q.M.; Blinc, R.; Pirc, R.; Kutnjak, Z. Influence of the Critical Point on the Electrocaloric Response of Relaxor Ferroelectrics. J. Appl. Phys. 2011, 110, 064118. [Google Scholar] [CrossRef]







Publisher’s Note: MDPI stays neutral with regard to jurisdictional claims in published maps and institutional affiliations. |
© 2022 by the authors. Licensee MDPI, Basel, Switzerland. This article is an open access article distributed under the terms and conditions of the Creative Commons Attribution (CC BY) license (https://creativecommons.org/licenses/by/4.0/).
Share and Cite
Boni, G.A.; Filip, L.D.; Radu, C.; Chirila, C.; Pasuk, I.; Botea, M.; Pintilie, I.; Pintilie, L. Indirect Evaluation of the Electrocaloric Effect in PbZrTiO3 (20/80)-Based Epitaxial Thin Film Structures. Electron. Mater. 2022, 3, 344-356. https://doi.org/10.3390/electronicmat3040028
Boni GA, Filip LD, Radu C, Chirila C, Pasuk I, Botea M, Pintilie I, Pintilie L. Indirect Evaluation of the Electrocaloric Effect in PbZrTiO3 (20/80)-Based Epitaxial Thin Film Structures. Electronic Materials. 2022; 3(4):344-356. https://doi.org/10.3390/electronicmat3040028
Chicago/Turabian StyleBoni, Georgia A., Lucian D. Filip, Cristian Radu, Cristina Chirila, Iuliana Pasuk, Mihaela Botea, Ioana Pintilie, and Lucian Pintilie. 2022. "Indirect Evaluation of the Electrocaloric Effect in PbZrTiO3 (20/80)-Based Epitaxial Thin Film Structures" Electronic Materials 3, no. 4: 344-356. https://doi.org/10.3390/electronicmat3040028
APA StyleBoni, G. A., Filip, L. D., Radu, C., Chirila, C., Pasuk, I., Botea, M., Pintilie, I., & Pintilie, L. (2022). Indirect Evaluation of the Electrocaloric Effect in PbZrTiO3 (20/80)-Based Epitaxial Thin Film Structures. Electronic Materials, 3(4), 344-356. https://doi.org/10.3390/electronicmat3040028

