Geographical Variations in Polycystic Ovarian Morphology: Comparison of India- and United States-Based Women with Polycystic Ovary Syndrome
Abstract
1. Introduction
2. Materials and Methods
3. Results
3.1. Clinical Characteristics of Participants
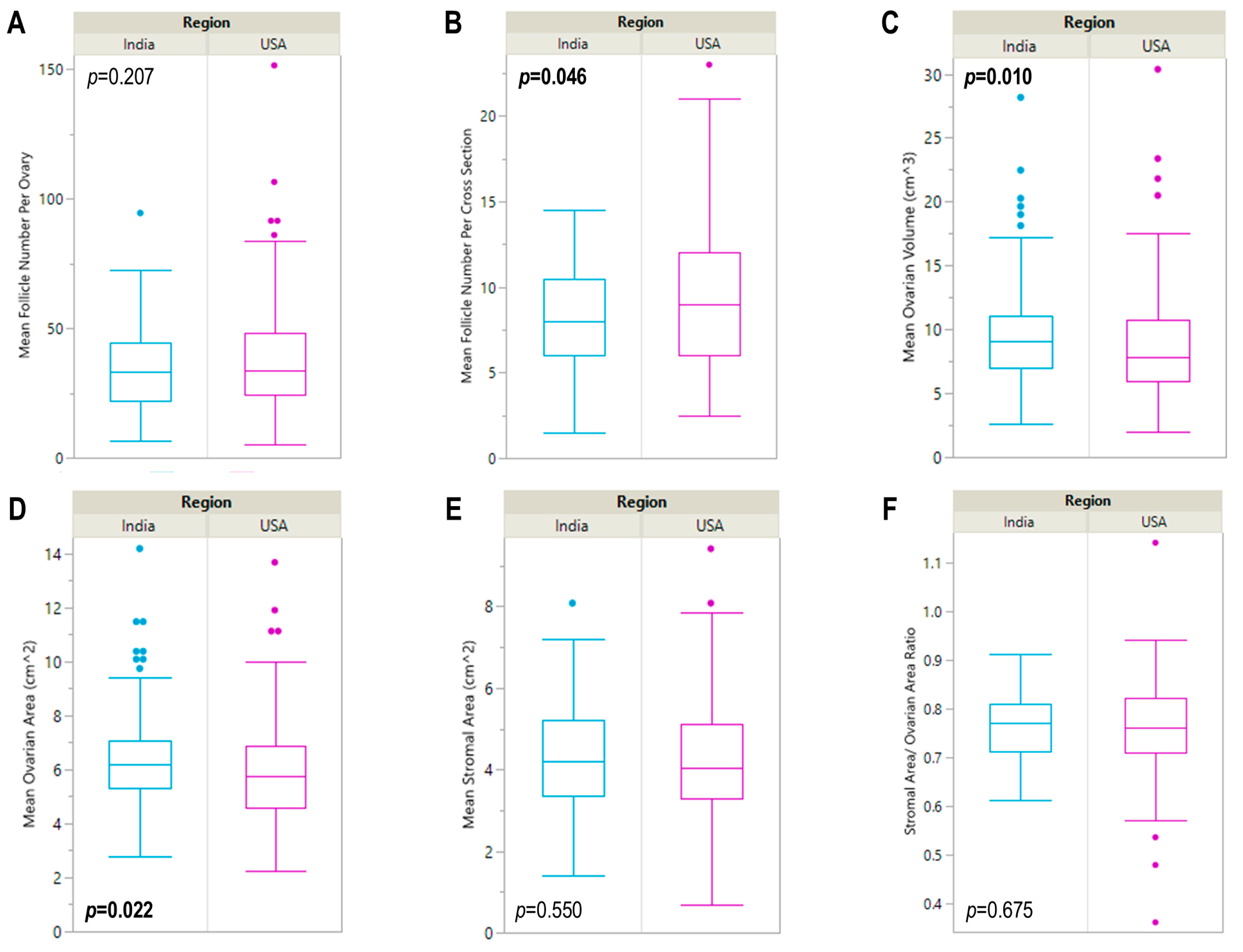
3.2. Ovarian Morphology Markers
3.3. Associations of Ovarian Morphology with Reproductive Features
4. Discussion
5. Conclusions
Author Contributions
Funding
Institutional Review Board Statement
Informed Consent Statement
Data Availability Statement
Acknowledgments
Conflicts of Interest
Abbreviations
| PCOS | Polycystic Ovary Syndrome |
| PCOM | Polycystic Ovarian Morphology |
| FNPO | Follicle Number Per Ovary |
| FNPS | Follicle Number Per Cross-Section |
| OV | Ovarian Volume |
| OA | Ovarian Area |
| SA | Stromal Area |
| S/A | Stromal-to-Ovarian Area Ratio |
| TT | Total Testosterone |
| FAI | Free Androgen Index |
| SHBG | Sex Hormone-Binding Globulin |
| BMI | Body Mass Index |
| HDL | High-Density Lipoprotein |
| LDL | Low-Density Lipoprotein |
| ICC | Intraclass Correlation Coefficient |
| 3D | Three-Dimensional |
| 2D | Two-Dimensional |
References
- Teede, H.J.; Tay, C.T.; E Laven, J.J.; Dokras, A.; Moran, L.J.; Piltonen, T.T.; Costello, M.F.; Boivin, J.; Redman, L.M.; A Boyle, J.; et al. Recommendations From the 2023 International Evidence-based Guideline for the Assessment and Management of Polycystic Ovary Syndrome. J. Clin. Endocrinol. Metab. 2023, 108, 2447–2469. [Google Scholar] [CrossRef]
- Anagnostis, P.; Tarlatzis, B.C.; Kauffman, R.P. Polycystic ovarian syndrome (PCOS): Long-term metabolic consequences. Metabolism 2018, 86, 33–43. [Google Scholar] [CrossRef]
- Sanchez-Garrido, M.A.; Tena-Sempere, M. Metabolic dysfunction in polycystic ovary syndrome: Pathogenic role of androgen excess and potential therapeutic strategies. Mol. Metab. 2020, 35, 100937. [Google Scholar] [CrossRef] [PubMed]
- Chan, J.L.; Kar, S.; Vanky, E.; Morin-Papunen, L.; Piltonen, T.; Puurunen, J.; Tapanainen, J.S.; Maciel, G.A.R.; Hayashida, S.A.Y.; Soares, J.M.; et al. Racial and ethnic differences in the prevalence of metabolic syndrome and its components of metabolic syndrome in women with polycystic ovary syndrome: A regional cross-sectional study. Am. J. Obstet. Gynecol. 2017, 217, 189.e1–189.e8. [Google Scholar] [CrossRef] [PubMed]
- Teede, H.J.; Misso, M.L.; Costello, M.F.; Dokras, A.; Laven, J.; Moran, L.; Piltonen, T.; Norman, R.J. Recommendations from the international evidence-based guideline for the assessment and management of polycystic ovary syndrome. Hum. Reprod. 2018, 33, 1602–1618. [Google Scholar] [CrossRef] [PubMed]
- Mehta, J.; Kamdar, V.; Dumesic, D. Phenotypic Expression of Polycystic Ovary Syndrome in South Asian Women. Obstet. Gynecol. Surv. 2013, 68, 228–234. [Google Scholar] [CrossRef]
- Wijeyaratne, C.N.; Seneviratne, R.D.A.; Dahanayake, S.; Kumarapeli, V.; Palipane, E.; Kuruppu, N.; Yapa, C.; Balen, A.H. Phenotype and metabolic profile of South Asian women with polycystic ovary syndrome (PCOS): Results of a large database from a specialist Endocrine Clinic. Hum. Reprod. 2011, 26, 202–213. [Google Scholar] [CrossRef]
- Kazemi, M.; Kim, J.Y.; Parry, S.A.; Azziz, R.; Lujan, M.E. Disparities in cardio metabolic risk between Black and White women with polycystic ovary syndrome: A systematic review and meta-analysis. Am. J. Obstet. Gynecol. 2021, 224, 428–444.e8. [Google Scholar] [CrossRef]
- Kazemi, M.; Kim, J.Y.; Wan, C.; Xiong, J.D.; Parry, S.A.; Azziz, R.; Lujan, M.E. Comprehensive evaluation of disparities in cardiometabolic and reproductive risk between Hispanic and White women with polycystic ovary syndrome in the United States: A systematic review and meta-analysis. Am. J. Obstet. Gynecol. 2022, 226, 187–204.e15. [Google Scholar] [CrossRef]
- Huang, Z.; Yong, E.-L. Ethnic differences: Is there an Asian phenotype for polycystic ovarian syndrome? Best Pract. Res. Clin. Obstet. Gynaecol. 2016, 37, 46–55. [Google Scholar] [CrossRef]
- Zhao, Y.; Qiao, J. Ethnic differences in the phenotypic expression of polycystic ovary syndrome. Steroids 2013, 78, 755–760. [Google Scholar] [CrossRef]
- Vaggopoulos, V.; Trakakis, E.; Chrelias, C.; Panagopoulos, P.; Basios, G.; Makridima, S.; Sioulas, V.D.; Simeonides, G.; Labos, G.; Boutati, E.; et al. Comparing classic and newer phenotypes in Greek PCOS women: The prevalence of metabolic syndrome and their association with insulin resistance. J. Endocrinol. Investig. 2013, 36, 478–484. [Google Scholar]
- Chiaffarino, F.; Cipriani, S.; Dalmartello, M.; Ricci, E.; Esposito, G.; Fedele, F.; La Vecchia, C.; Negri, E.; Parazzini, F. Prevalence of polycystic ovary syndrome in European countries and USA: A systematic review and meta-analysis. Eur. J. Obstet. Gynecol. Reprod. Biol. 2022, 279, 159–170. [Google Scholar] [CrossRef]
- Kazemi, M.; McBreairty, L.E.; Chizen, D.R.; Pierson, R.A.; Chilibeck, P.D.; Zello, G.A. A Comparison of a Pulse-Based Diet and the Therapeutic Lifestyle Changes Diet in Combination with Exercise and Health Counselling on the Cardio-Metabolic Risk Profile in Women with Polycystic Ovary Syndrome: A Randomized Controlled Trial. Nutrients 2018, 10, 1387. [Google Scholar] [CrossRef]
- Lujan, M.E.; Brooks, E.D.; Kepley, A.L.; Chizen, D.R.; Pierson, R.A.; Peppin, A.K. Grid Analysis Improves Reliability in Follicle Counts Made by Ultrasonography in Women with Polycystic Ovary Syndrome. Ultrasound Med. Biol. 2010, 36, 712–718. [Google Scholar] [CrossRef]
- Balen, A.H.; Laven, J.S.E.; Tan, S.-L.; Dewailly, D. Ultrasound assessment of the polycystic ovary: International consensus definitions. Hum. Reprod. Update 2003, 9, 505–514. [Google Scholar] [CrossRef]
- Vanden Brink, H.; Nosrati, A.; Ortiz-Flores, A.E.; Tam, A.; Jarrett, B.Y.; Johnson, L.; Peppin, A.K.; Lujan, M.E. Reliability and Agreement of Ultrasonographic Measures of the Ovarian Stroma: Impact of Methodology. J. Ultrasound Med. 2022, 41, 2307–2315. [Google Scholar] [CrossRef] [PubMed]
- Christ, J.P.; Willis, A.D.; Brooks, E.D.; Brink, H.V.; Jarrett, B.Y.; Pierson, R.A.; Chizen, D.R.; Lujan, M.E. Follicle number, not assessments of the ovarian stroma, represents the best ultrasonographic marker of polycystic ovary syndrome. Fertil. Steril. 2014, 101, 280–287.e1. [Google Scholar] [CrossRef] [PubMed]
- Sujata, K.; Swoyam, S. 2D and 3D Trans-vaginal Sonography to Determine Cut-offs for Ovarian Volume and Follicle Number per Ovary for Diagnosis of Polycystic Ovary Syndrome in Indian Women. J. Reprod. Infertil. 2018, 19, 146–151. [Google Scholar] [PubMed]
- Jain, S.; Shukla, R.C.; Jain, M.; Mishra, R.N. Age-Specific Nomograms for Antral Follicle Count in Fertile and Infertile Indian Women: A Comparative Study. Indian J. Radiol. Imaging 2023, 33, 463–470. [Google Scholar] [CrossRef]
- Gunasheela, D.; Murali, R.; Appaneravanda, L.C.; Gerstl, B.; Kumar, A.; Sengeetha, N.; Nayak, H.; Chandrikadevi, P. Age-specific distribution of serum anti-mullerian hormone and antral follicle count in Indian infertile women. J. Hum. Reprod. Sci. 2021, 14, 372–379. [Google Scholar] [CrossRef] [PubMed]
- Pea, J.; Bryan, J.; Wan, C.; Oldfield, A.L.; Ganga, K.; E Carter, F.; Johnson, L.M.; Lujan, E.M. Ultrasonographic criteria in the diagnosis of polycystic ovary syndrome: A systematic review and diagnostic meta-analysis. Hum. Reprod. Update 2024, 30, 109–130. [Google Scholar] [CrossRef] [PubMed]
- Kim, H.-J.; Adams, J.M.; Gudmundsson, J.A.; Arason, G.; Pau, C.T.; Welt, C.K. Polycystic ovary morphology: Age-based ultrasound criteria. Fertil. Steril. 2017, 108, 548–553. [Google Scholar] [CrossRef]
- Lazareva, L.; Suturina, L.; Atalyan, A.; Danusevich, I.; Nadelyaeva, I.; Belenkaya, L.; Egorova, I.; Ievleva, K.; Babaeva, N.; Lizneva, D.; et al. Ovarian Morphology in Non-Hirsute, Normo-Androgenic, Eumenorrheic Premenopausal Women from a Multi-Ethnic Unselected Siberian Population. Diagnostics 2024, 14, 673. [Google Scholar] [CrossRef]
- Iglesias, C.; Banker, M.; Mahajan, N.; Herrero, L.; Meseguer, M.; Garcia-Velasco, J.A. Ethnicity as a determinant of ovarian reserve: Differences in ovarian aging between Spanish and Indian women. Fertil. Steril. 2014, 102, 244–249. [Google Scholar] [CrossRef]
- Yao, L.; Graff, J.C.; Aleya, L.; Jiao, Y.; Gu, W.; Tian, G. Bring the life stages into the domain of basic and clinical pharmacology. Front. Pharmacol. 2022, 13, 923016. [Google Scholar] [CrossRef] [PubMed]
- Jungari, S.B.; Chauhan, B.G. Prevalence and Determinants of Premature Menopause among Indian Women: Issues and Challenges Ahead. Health Soc. Work 2017, 42, 79–86. [Google Scholar] [CrossRef] [PubMed]
- Goodarzi, M.O.; Dumesic, D.A.; Chazenbalk, G.; Azziz, R. Polycystic ovary syndrome: Etiology, pathogenesis and diagnosis. Nat. Rev. Endocrinol. 2011, 7, 219–231. [Google Scholar] [CrossRef]
- Sachdeva, G.; Gainder, S.; Suri, V.; Sachdeva, N.; Chopra, S. Comparison of the different PCOS phenotypes based on clinical metabolic, and hormonal profile, and their response to clomiphene. Indian J. Endocrinol. Metab. 2019, 23, 326. [Google Scholar] [CrossRef]
- Mani, H.; Davies, M.J.; Bodicoat, D.H.; Levy, M.J.; Gray, L.J.; Howlett, T.A.; Khunti, K. Clinical characteristics of polycystic ovary syndrome: Investigating differences in White and South Asian women. Clin. Endocrinol. 2015, 83, 542–549. [Google Scholar] [CrossRef]
- Kim, J.J.; Choi, Y.M. Phenotype and genotype of polycystic ovary syndrome in Asia: Ethnic differences. J. Obstet. Gynaecol. Res. 2019, 45, 2330–2337. [Google Scholar] [CrossRef] [PubMed]
- Afifi, L.; Saeed, L.; Pasch, L.; Huddleston, H.; Cedars, M.; Zane, L.; Shinkai, K. Association of ethnicity, Fitzpatrick skin type, and hirsutism: A retrospective cross-sectional study of women with polycystic ovarian syndrome. Int. J. Women’s Dermatol. 2017, 3, 37–43. [Google Scholar] [CrossRef]
- Samant, M.; Bhat, M.; Dadachanji, R.; Sudhakar, D.V.S.; Patil, A.; Mukherjee, S. Whole exome sequencing uncovers rare variants associated with PCOS susceptibility in Indian women. Syst. Biol. Reprod. Med. 2025, 71, 76–89. [Google Scholar] [CrossRef]
- Janani, D.M.; Ramasubramanyan, S.; Chellappa, V.; Santhanam, R.; Manickam, R.; Shameli, J.; Balasundaram, U. Whole exome and targeted sequencing reveal novel mutations associated with inherited PCOS condition in an Indian cohort. J. Hum. Genet. 2023, 68, 39–46. [Google Scholar] [CrossRef]
- Sharma, P.; Senapati, S.; Goyal, L.D.; Kaur, B.; Kamra, P.; Khetarpal, P. Genome-wide association study (GWAS) identified PCOS susceptibility variants and replicates reported risk variants. Arch. Gynecol. Obstet. 2024, 309, 2009–2019. [Google Scholar] [CrossRef]
- Kempegowda, P.; Melson, E.; Manolopoulos, K.N.; Arlt, W.; O’Reilly, M.W. Implicating androgen excess in propagating metabolic disease in polycystic ovary syndrome. Ther. Adv. Endocrinol. Metab. 2020, 11, 2042018820934319. [Google Scholar] [CrossRef]
- Schiffer, L.; Kempegowda, P.; Arlt, W.; O’Reilly, M.W. MECHANISMS IN ENDOCRINOLOGY: The sexually dimorphic role of androgens in human metabolic disease. Eur. J. Endocrinol. 2017, 177, R125–R143. [Google Scholar] [CrossRef] [PubMed]
- Dewailly, D.; Robert, Y.; Helln, I.; Ardaens, Y.; Thomas-Desrousseaux, P.; Lemaltre, L.; Fossati, P. Ovarian stromal hypertrophy in hyperandrogenic women. Clin. Endocrinol. 1994, 41, 557–562. [Google Scholar] [CrossRef] [PubMed]
- Fulghesu, A.M.; Angioni, S.; Frau, E.; Belosi, C.; Apa, R.; Mioni, R.; Xamin, N.; Capobianco, G.; Dessole, S.; Fruzzetti, F.; et al. Ultrasound in polycystic ovary syndrome the measuring of ovarian stroma and relationship with circulating androgens: Results of a multicentric study. Hum. Reprod. 2007, 22, 2501–2508. [Google Scholar] [CrossRef]


| Variable | India | U.S. | Effect Size † | p-Value | ||
|---|---|---|---|---|---|---|
| N = 119 | N = 212 | |||||
| Demographics | n | Mean (SD) | n | Mean (SD) | ||
| Age (years) | 119 | 26.5 (3.5) | 212 | 26.0 (5.4) | 0.10 | 0.17 |
| BMI (kg/m2) | 119 | 28.1 (5.1) | 205 | 29.0 (8.7) | 0.12 | 0.44 |
| Ethnicity | n | Count (%) | n | Count (%) | ||
| Hispanic or Latino | - | - | 203 | 17 (8) | - | - |
| Not Hispanic or Latino | - | - | 203 | 177 (87) | - | - |
| Other | - | - | 203 | 9 (4) | - | - |
| Race | ||||||
| White | - | - | 205 | 138 (67) | - | - |
| Black | - | - | 205 | 25 (12) | - | - |
| Asian | - | - | 205 | 33 (16) | - | - |
| Other | - | - | 205 | 9 (4) | - | - |
| Reproductive Features | n | Count (%) | n | Count (%) | ||
| Menstrual Irregularity | 119 | 118 (99) | 206 | 168 (82) | - | <0.0001 |
| Oligomenorrhea (36–89 days) | 119 | 81 (68) | 206 | 107 (52) | - | 0.005 |
| Amenorrhea (≥90 days) | 119 | 37 (31) | 206 | 61 (30) | - | 0.779 |
| Hyperandrogenism | 119 | 115 (97) | 211 | 134 (64) | - | <0.0001 |
| Elevated Total Testosterone 1 | 38 | 28 (74) | 205 | 33 (16) | - | <0.0001 |
| Free Androgen Index (≥5) | - | - | 202 | 40 (20) | - | - |
| Hirsute (≥6) | 114 | 114 (100) | 205 | 100 (49) | - | <0.0001 |
| Polycystic Ovarian Morphology | 119 | 103 (87) | 212 | 176 (83) | - | 0.396 |
| Excess FNPO (≥20) | 118 | 91 (77) | 208 | 176 (85) | - | 0.091 |
| Excess FNPS (≥10) | 119 | 35 (29) | 210 | 86 (41) | - | 0.037 |
| Enlarged Ovarian Volume (≥10 cm3) | 119 | 44 (37) | 211 | 65 (31) | - | 0.252 |
| PCOS Phenotype 2 | - | |||||
| Phenotype A | 118 | 99 (84) | 173 | 91 (53) | - | <0.0001 |
| Phenotype B | 118 | 15 (13) | 173 | 11 (6) | - | 0.062 |
| Phenotype C | 118 | 0 (0) | 173 | 20 (12) | - | 0.0001 |
| Phenotype D | 118 | 4 (3) | 173 | 51 (29) | - | <0.0001 |
| Variable | India | U.S. | Effect Size † | p-Value | ||
|---|---|---|---|---|---|---|
| N = 99 | N = 91 | |||||
| Demographics | n | Mean (SD) | n | Mean (SD) | ||
| Age (years) | 99 | 26.3 (3.3) | 91 | 25.8 (5.0) | 0.12 | 0.22 |
| BMI (kg/m2) | 99 | 27.8 (5.0) | 89 | 29.5 (8.0) | 0.26 | 0.46 |
| Reproductive Features | n | Count (%) | n | Count (%) | ||
| Menstrual Irregularity | ||||||
| Oligomenorrhea (35–89 days) | 99 | 69 (70) | 91 | 53 (58) | - | 0.100 |
| Amenorrhea (≥90 days) | 99 | 30 (29) | 91 | 38 (42) | - | 0.100 |
| Hyperandrogenism | ||||||
| Elevated Total Testosterone 1 | 32 | 24 (75) | 89 | 23 (26) | - | <0.0001 |
| Free Androgen Index (≥5) | - | - | 87 | 28 (32) | - | - |
| Hirsute (≥6) | 98 | 98 (100) | 90 | 64 (71) | - | <0.0001 |
| Polycystic Ovarian Morphology | ||||||
| Excess FNPO (≥20) | 98 | 81 (83) | 89 | 79 (89) | - | 0.235 |
| Excess FNPS (≥10) | 99 | 34 (34) | 91 | 50 (55) | - | 0.004 |
| Enlarged Ovarian Volume (>10 cm3) | 96 | 42 (44) | 91 | 44 (48) | - | 0.412 |
| Variable | India N = 119 | U.S. N = 212 | Effect Size † | p-Value | ||
|---|---|---|---|---|---|---|
| n | Mean (SD) or count (%) | n | Mean (SD) or count (%) | |||
| Metabolic Measures | ||||||
| Waist circumference (cm) | 115 | 91.0 (11.1) | 180 | 88.3 (20.8) | 0.15 | 0.001 |
| Prevalence of elevated WC (>89 cm) | 60 (52) | 67 (37) | - | 0.011 | ||
| Waist-to-hip ratio | 115 | 0.9 (0.04) | 187 | 0.82 (0.1) | 0.96 | <0.0001 |
| Prevalence of elevated WHR (>0.85) | 104 (90) | 62 (33) | - | <0.0001 | ||
| Fasting glucose (mg/dL) | 93 | 95.7 (10.4) | 184 | 93.4 (11.0) | 0.21 | 0.030 |
| Prevalence of elevated 0-h glucose (≥100 mg/dL) | 28 (30) | 51 (28) | - | 0.313 | ||
| 2-h glucose (mg/dL) | 77 | 142.6 (41.6) | 176 | 96.2 (24.7) | 1.51 | <0.0001 |
| Prevalence of elevated 2-h glucose (>139 mg/dL) | 40 (52) | 17 (10) | - | <0.0001 | ||
| Systolic pressure (mmHg) | 117 | 118.8 (9.7) | 181 | 112.7 (15.7) | 0.45 | 0.0002 |
| Prevalence of elevated systolic BP (>130 mmHg) | 6 (5) | 20 (11) | - | 0.077 | ||
| Diastolic pressure (mmHg) | 117 | 72.2 (10.9) | 181 | 72.1 (11.8) | 0.01 | 0.827 |
| Prevalence of elevated diastolic BP (>85 mmHg) | 11 (9) | 21 (12) | - | 0.549 | ||
| Total Cholesterol (mg/dL) | 58 | 178.47 (37.0) | 184 | 173.9 (31.5) | 0.14 | 0.279 |
| Prevalence of elevated TC (>199 mg/dL) | 15 (26) | 31 (17) | - | 0.127 | ||
| Triglycerides (mg/dL) | 59 | 150.2 (71.3) | 184 | 84.1 (53.7) | 1.13 | <0.0001 |
| Prevalence of elevated TG (>150 mg/dL) | 28 (47) | 17 (9) | - | <0.0001 | ||
| HDL (mg/dL) | 59 | 40.4 (7.9) | 184 | 58.0 (16.3) | 1.20 | <0.0001 |
| Prevalence of low HDL (<50 mg/dL) | 50 (85) | 62 (34) | - | <0.0001 | ||
| LDL (mg/dL) | 59 | 110.6 (28.6) | 184 | 96.8 (26.2) | 0.51 | 0.0004 |
| Prevalence of elevated LDL (>99 mg/dL) | 38 (64) | 79 (43) | - | 0.004 | ||
| Variable | India | US | Effect Size † | p-Value | ||
|---|---|---|---|---|---|---|
| N = 99 | N = 91 | |||||
| n | Mean (SD) or count (%) | n | Mean (SD) or count (%) | |||
| Metabolic Measures | ||||||
| Waist circumference (cm) | 97 | 90.4 (10.7) | 79 | 89.8 (20.8) | 0.04 | 0.125 |
| Prevalence of elevated WC (>89 cm) | 50 (52) | 33 (42) | - | 0.196 | ||
| Waist-to-hip ratio | 97 | 0.9 (0.04) | 82 | 0.8 (0.1) | 1.36 | <0.0001 |
| Prevalence of elevated WHR (>0.85) | 88 (91) | 30 (37) | - | <0.0001 | ||
| Fasting glucose (mg/dL) | 81 | 95.5 (9.7) | 77 | 93.4 (11.1) | 0.20 | 0.086 |
| Prevalence of elevated 0-h glucose (≥100 mg/dL) | 25 (31) | 18 (23) | - | 0.291 | ||
| 2-h glucose (mg/dL) | 67 | 143.1 (41.6) | 74 | 96.0 (23.6) | 1.41 | <0.0001 |
| Prevalence of elevated 2-h glucose (≥140 mg/dL) | 36 (54) | 2 (3) | - | <0.0001 | ||
| Systolic pressure (mmHg) | 99 | 117.9 (9.3) | 77 | 111.6 (14.0) | 0.54 | 0.009 |
| Prevalence of elevated systolic BP (>130 mmHg) | 3 (3) | 5 (6) | - | 0.300 | ||
| Diastolic pressure (mmHg) | 99 | 71.4 (10.3) | 77 | 71.3 (11.0) | 0.01 | 0.946 |
| Prevalence of elevated diastolic BP (>85 mmHg) | 6 (6) | 8 (10) | - | 0.292 | ||
| Total cholesterol (mg/dL) | 51 | 177.9 (38.0) | 79 | 177.4 (35.0) | 0.01 | 0.760 |
| Prevalence of elevated TC (≥200 mg/dL) | 13 (25) | 18 (23) | - | 0.724 | ||
| Triglycerides (mg/dL) | 51 | 152.6 (74.0) | 79 | 86.4 (61.8) | 0.99 | <0.0001 |
| Prevalence of elevated TG (>150 mg/dL) | 24 (47) | 7 (9) | - | <0.0001 | ||
| HDL (mg/dL) | 51 | 40.2 (8.1) | 79 | 56.1 (15.9) | 1.19 | <0.0001 |
| Prevalence of low HDL (<50 mg/dL) | 44 (86) | 28 (35) | - | <0.0001 | ||
| LDL (mg/dL) | 51 | 109.6 (30.0) | 79 | 101.2 (28.1) | 0.29 | 0.058 |
| Prevalence of elevated LDL (≥100 mg/dL) | 31 (61) | 39 (49) | - | 0.202 | ||
| FNPO | FNPS | OV | OA | SA | S/A | |||||||
|---|---|---|---|---|---|---|---|---|---|---|---|---|
| Reproductive Markers | India | U.S. | India | U.S. | India | U.S. | India | U.S. | India | U.S. | India | U.S. |
| Menstrual cycle length (d) | −0.01 | +0.23 | +0.01 | +0.15 | +0.12 | +0.21 | +0.13 | +0.25 | +0.16 | +0.12 | −0.11 | +0.16 |
| Ferriman-Gallwey hirsutism score | +0.10 | +0.23 | +0.01 | +0.13 | +0.19 | +0.27 | +0.19 | +0.23 | +0.18 | +0.09 | +0.13 | +0.01 |
| Total testosterone (ng/dL) | +0.24 | +0.36 | +0.32 | +0.28 | +0.04 | +0.34 | +0.06 | +0.33 | −0.11 | +0.14 | −0.33 | −0.09 |
| FNPO | FNPS | OV | OA | SA | S/A | |||||||
|---|---|---|---|---|---|---|---|---|---|---|---|---|
| Reproductive Markers | India | U.S. | India | U.S. | India | U.S. | India | U.S. | India | U.S. | India | U.S. |
| Menstrual cycle length (d) | +0.05 | +0.10 | +0.05 | −0.06 | +0.22 | +0.08 | +0.23 | +0.08 | +0.22 | −0.04 | −0.14 | +0.16 |
| Ferriman-Gallwey hirsutism score | −0.02 | +0.11 | −0.11 | +0.09 | +0.12 | +0.15 | +0.11 | +0.13 | +0.15 | −0.00 | +0.15 | −0.09 |
| Total testosterone (ng/dL) | +0.42 | +0.31 | +0.41 | +0.16 | +0.16 | +0.28 | +0.17 | +0.27 | +0.05 | +0.20 | −0.31 | +0.04 |
Disclaimer/Publisher’s Note: The statements, opinions and data contained in all publications are solely those of the individual author(s) and contributor(s) and not of MDPI and/or the editor(s). MDPI and/or the editor(s) disclaim responsibility for any injury to people or property resulting from any ideas, methods, instructions or products referred to in the content. |
© 2026 by the authors. Licensee MDPI, Basel, Switzerland. This article is an open access article distributed under the terms and conditions of the Creative Commons Attribution (CC BY) license.
Share and Cite
Zhang, H.; Kalay, A.; Pea, J.; Carter, F.E.; Rahman, E.; Jarrett, B.Y.; Hoeger, K.M.; Kar, S.; Lujan, M.E. Geographical Variations in Polycystic Ovarian Morphology: Comparison of India- and United States-Based Women with Polycystic Ovary Syndrome. Reprod. Med. 2026, 7, 10. https://doi.org/10.3390/reprodmed7010010
Zhang H, Kalay A, Pea J, Carter FE, Rahman E, Jarrett BY, Hoeger KM, Kar S, Lujan ME. Geographical Variations in Polycystic Ovarian Morphology: Comparison of India- and United States-Based Women with Polycystic Ovary Syndrome. Reproductive Medicine. 2026; 7(1):10. https://doi.org/10.3390/reprodmed7010010
Chicago/Turabian StyleZhang, Hilary, Abbey Kalay, Jeffrey Pea, Faith E. Carter, Effat Rahman, Brittany Y. Jarrett, Kathleen M. Hoeger, Sujata Kar, and Marla E. Lujan. 2026. "Geographical Variations in Polycystic Ovarian Morphology: Comparison of India- and United States-Based Women with Polycystic Ovary Syndrome" Reproductive Medicine 7, no. 1: 10. https://doi.org/10.3390/reprodmed7010010
APA StyleZhang, H., Kalay, A., Pea, J., Carter, F. E., Rahman, E., Jarrett, B. Y., Hoeger, K. M., Kar, S., & Lujan, M. E. (2026). Geographical Variations in Polycystic Ovarian Morphology: Comparison of India- and United States-Based Women with Polycystic Ovary Syndrome. Reproductive Medicine, 7(1), 10. https://doi.org/10.3390/reprodmed7010010

