Photonic Spin Hall Effect: Contribution of Polarization Mixing Caused by Anisotropy
Abstract
1. Introduction
2. Account on Polarization Mixing Contribution
- (1)
- – propagation along or across optical axis;
- (2)
- – maximum mixing occurs.
3. Results and Discussion
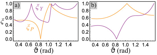
3.1. Parallel Optical Axis:
3.2. Rotated Optical Axis:
3.3. Dependence on Anisotropy Degree
3.4. Simulated Field Patterns
4. Conclusions
Author Contributions
Funding
Conflicts of Interest
Abbreviations
| PSHE | Photonic spin Hall effect |
| IF | Imbert-Fedorov |
| PM | Polarization mixing |
| TE | Transverse electric |
| TM | Transverse magnetic |
| QWP | Quarter-wave plate |
Appendix A. Derivation of Fresnel Coefficients for Uniaxial Slab
Appendix B. Numerical Simulation
References
- Landau, L.D.; Lifshitz, E.M. Mechanics. In Course of Theoretical Physics; Institute of Physical Problems, USSR Academy of Sciences: Moscow, Russia, 1976; Volume 1. [Google Scholar]
- Maxwell, J.C. A Treatise on Electricity and Magnetism; Clarendon Press: Oxford, UK, 1873; Volume 1. [Google Scholar]
- Lebedev, P. Experimental examination of light pressure. Ann. Phys. 1901, 6, 433. [Google Scholar]
- Nichols, E.F.; Hull, G.F. A preliminary communication on the pressure of heat and light radiation. Phys. Rev. (Ser. I) 1901, 13, 307. [Google Scholar] [CrossRef]
- Poynting, J.H. The wave motion of a revolving shaft, and a suggestion as to the angular momentum in a beam of circularly polarised light. Proc. R. Soc. Lond. A 1909, 82, 560–567. [Google Scholar]
- Allen, L.; Beijersbergen, M.W.; Spreeuw, R.; Woerdman, J. Orbital angular momentum of light and the transformation of Laguerre-Gaussian laser modes. Phys. Rev. A 1992, 45, 8185. [Google Scholar] [CrossRef]
- Bliokh, K.Y.; Rodríguez-Fortuño, F.J.; Nori, F.; Zayats, A.V. Spin—Orbit interactions of light. Nat. Photonics 2015, 9, 796–808. [Google Scholar] [CrossRef]
- Cardano, F.; Marrucci, L. Spin—Orbit photonics. Nat. Photonics 2015, 9, 776–778. [Google Scholar] [CrossRef]
- Bliokh, K.Y.; Bekshaev, A.Y.; Nori, F. Extraordinary momentum and spin in evanescent waves. Nat. Commun. 2014, 5, 1–8. [Google Scholar] [CrossRef]
- Aiello, A.; Banzer, P.; Neugebauer, M.; Leuchs, G. From transverse angular momentum to photonic wheels. Nat. Photonics 2015, 9, 789–795. [Google Scholar] [CrossRef]
- Yermakov, O.Y.; Ovcharenko, A.I.; Bogdanov, A.A.; Iorsh, I.V.; Bliokh, K.Y.; Kivshar, Y.S. Spin control of light with hyperbolic metasurfaces. Phys. Rev. B 2016, 94, 075446. [Google Scholar] [CrossRef]
- Fedorov, F. K teorii polnogo otrazheniya. Dokl. Akad. Nauk SSSR 1955, 105, 465–468. [Google Scholar]
- Imbert, C. Calculation and experimental proof of the transverse shift induced by total internal reflection of a circularly polarized light beam. Phys. Rev. D 1972, 5, 787. [Google Scholar] [CrossRef]
- Bliokh, K.Y.; Bliokh, Y.P. Conservation of angular momentum, transverse shift, and spin Hall effect in reflection and refraction of an electromagnetic wave packet. Phys. Rev. Lett. 2006, 96, 073903. [Google Scholar] [CrossRef] [PubMed]
- Hosten, O.; Kwiat, P. Observation of the spin Hall effect of light via weak measurements. Science 2008, 319, 787–790. [Google Scholar] [CrossRef] [PubMed]
- Liu, Y.; Ke, Y.; Luo, H.; Wen, S. Photonic spin Hall effect in metasurfaces: A brief review. Nanophotonics 2017, 6, 51–70. [Google Scholar] [CrossRef]
- Ling, X.; Zhou, X.; Huang, K.; Liu, Y.; Qiu, C.W.; Luo, H.; Wen, S. Recent advances in the spin Hall effect of light. Rep. Prog. Phys. 2017, 80, 066401. [Google Scholar] [CrossRef] [PubMed]
- Zhou, X.; Li, X.; Luo, H.; Wen, S. Optimal preselection and postselection in weak measurements for observing photonic spin Hall effect. Appl. Phys. Lett. 2014, 104, 051130. [Google Scholar] [CrossRef]
- Zhou, X.; Sheng, L.; Ling, X. Photonic spin Hall effect enabled refractive index sensor using weak measurements. Sci. Rep. 2018, 8, 1–8. [Google Scholar] [CrossRef]
- Qin, Y.; Li, Y.; Feng, X.; Liu, Z.; He, H.; Xiao, Y.F.; Gong, Q. Spin Hall effect of reflected light at the air-uniaxial crystal interface. Opt. Express 2010, 18, 16832–16839. [Google Scholar] [CrossRef]
- Bliokh, K.Y.; Samlan, C.; Prajapati, C.; Puentes, G.; Viswanathan, N.K.; Nori, F. Spin-Hall effect and circular birefringence of a uniaxial crystal plate. Optica 2016, 3, 1039–1047. [Google Scholar] [CrossRef]
- Bliokh, K.; Prajapati, C.; Samlan, C.; Viswanathan, N.K.; Nori, F. Spin-Hall effect of light at a tilted polarizer. Opt. Lett. 2019, 44, 4781–4784. [Google Scholar] [CrossRef]
- Takayama, O.; Puentes, G. Enhanced spin Hall effect of light by transmission in a polymer. Opt. Lett. 2018, 43, 1343–1346. [Google Scholar] [CrossRef] [PubMed]
- Lekenta, K.; Król, M.; Mirek, R.; Łempicka, K.; Stephan, D.; Mazur, R.; Morawiak, P.; Kula, P.; Piecek, W.; Lagoudakis, P.G. Tunable optical spin Hall effect in a liquid crystal microcavity. Light. Sci. Appl. 2018, 7, 1–6. [Google Scholar] [CrossRef] [PubMed]
- Yin, X.; Ye, Z.; Rho, J.; Wang, Y.; Zhang, X. Photonic spin Hall effect at metasurfaces. Science 2013, 339, 1405–1407. [Google Scholar] [CrossRef]
- Luo, W.; Xiao, S.; He, Q.; Sun, S.; Zhou, L. Photonic spin Hall effect with nearly 100% efficiency. Adv. Opt. Mater. 2015, 3, 1102–1108. [Google Scholar] [CrossRef]
- Shaltout, A.; Liu, J.; Kildishev, A.; Shalaev, V. Photonic spin Hall effect in gap–plasmon metasurfaces for on-chip chiroptical spectroscopy. Optica 2015, 2, 860–863. [Google Scholar] [CrossRef]
- Puentes, G. Spin-Orbit Angular Momentum Conversion in Metamaterials and Metasurfaces. Quantum Rep. 2019, 1, 10. [Google Scholar] [CrossRef]
- Kapitanova, P.V.; Ginzburg, P.; Rodríguez-Fortuño, F.J.; Filonov, D.S.; Voroshilov, P.M.; Belov, P.A.; Poddubny, A.N.; Kivshar, Y.S.; Wurtz, G.A.; Zayats, A.V. Photonic spin Hall effect in hyperbolic metamaterials for polarization-controlled routing of subwavelength modes. Nat. Commu. 2014, 5, 1–8. [Google Scholar] [CrossRef] [PubMed]
- Takayama, O.; Sukham, J.; Malureanu, R.; Lavrinenko, A.V.; Puentes, G. Photonic spin Hall effect in hyperbolic metamaterials at visible wavelengths. Opt. Lett. 2018, 43, 4602–4605. [Google Scholar] [CrossRef] [PubMed]
- Kim, M.; Lee, D.; Kim, T.H.; Yang, Y.; Park, H.J.; Rho, J. Observation of enhanced optical spin Hall effect in a vertical hyperbolic metamaterial. ACS Photonics 2019, 6, 2530–2536. [Google Scholar] [CrossRef]
- Bliokh, K.Y.; Aiello, A. Goos–Hänchen and Imbert–Fedorov beam shifts: An overview. J. Opt. 2013, 15, 014001. [Google Scholar] [CrossRef]
- Born, M.; Wolf, E. Principles of Optics: Electromagnetic Theory of Propagation, Interference and Diffraction of Light; Elsevier: Amsterdam, The Netherlands, 2013. [Google Scholar]
- Dennis, M.R.; Götte, J.B. The analogy between optical beam shifts and quantum weak measurements. New J. Phys. 2012, 14, 073013. [Google Scholar] [CrossRef]
- Lekner, J. Optical properties of a uniaxial layer. Pure Appl. Opt. 1994, 3, 821–837. [Google Scholar] [CrossRef][Green Version]






© 2020 by the authors. Licensee MDPI, Basel, Switzerland. This article is an open access article distributed under the terms and conditions of the Creative Commons Attribution (CC BY) license (http://creativecommons.org/licenses/by/4.0/).
Share and Cite
Mazanov, M.; Yermakov, O.; Deriy, I.; Takayama, O.; Bogdanov, A.; Lavrinenko, A.V. Photonic Spin Hall Effect: Contribution of Polarization Mixing Caused by Anisotropy. Quantum Rep. 2020, 2, 489-500. https://doi.org/10.3390/quantum2040034
Mazanov M, Yermakov O, Deriy I, Takayama O, Bogdanov A, Lavrinenko AV. Photonic Spin Hall Effect: Contribution of Polarization Mixing Caused by Anisotropy. Quantum Reports. 2020; 2(4):489-500. https://doi.org/10.3390/quantum2040034
Chicago/Turabian StyleMazanov, Maxim, Oleh Yermakov, Ilya Deriy, Osamu Takayama, Andrey Bogdanov, and Andrei V. Lavrinenko. 2020. "Photonic Spin Hall Effect: Contribution of Polarization Mixing Caused by Anisotropy" Quantum Reports 2, no. 4: 489-500. https://doi.org/10.3390/quantum2040034
APA StyleMazanov, M., Yermakov, O., Deriy, I., Takayama, O., Bogdanov, A., & Lavrinenko, A. V. (2020). Photonic Spin Hall Effect: Contribution of Polarization Mixing Caused by Anisotropy. Quantum Reports, 2(4), 489-500. https://doi.org/10.3390/quantum2040034

