First- and Second-Order Forces in the Asymmetric Dynamical Casimir Effect for a Single δ − δ′ Mirror
Abstract
1. Introduction
2. Quantum Fluctuation–Dissipation Theorem
Force on a Mirror
3. The Scattering Matrix
3.1. First-Order Corrections
3.2. Second-Order Corrections
4. First-Order Forces
4.1. Moving Mirror
4.2. Mirror with Time-Dependent Properties
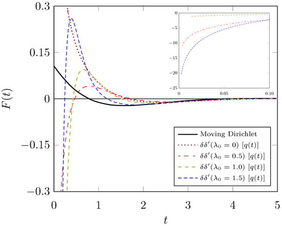
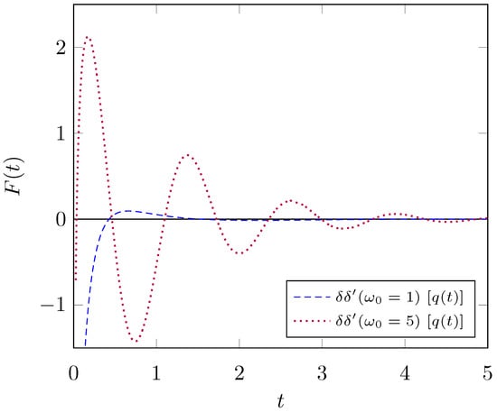
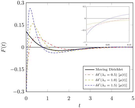
5. Second-Order Forces
5.1. Moving Mirror
5.2. Mirror with Time-Dependent Properties
5.3. Force from the Interference Effect
6. Conclusions
Author Contributions
Funding
Data Availability Statement
Acknowledgments
Conflicts of Interest
References
- Dodonov, V.V. Dynamical Casimir effect: Some theoretical aspects. J. Phys. Conf. Ser. 2009, 161, 012027. [Google Scholar] [CrossRef]
- Dodonov, V.V. Current status of the dynamical Casimir effect. Phys. Scr. 2010, 82, 038105. [Google Scholar] [CrossRef]
- Dodonov, V. Fifty years of the dynamical Casimir effect. Physics 2020, 2, 67–104. [Google Scholar] [CrossRef]
- Wilson, C.M.; Johansson, G.; Pourkabirian, A.; Simoen, M.; Johansson, J.R.; Duty, T.; Nori, F.; Delsing, P. Observation of the dynamical Casimir effect in a superconducting circuit. Nature 2011, 479, 376–379. [Google Scholar] [CrossRef]
- Silva, J.D.L.; Braga, A.N.; Alves, D.T. Dynamical Casimir effect with δ − δ′ mirrors. Phys. Rev. D 2016, 94, 105009. [Google Scholar] [CrossRef]
- Silva, J.D.L.; Braga, A.N.; Rego, A.L.C.; Alves, D.T. Motion induced by asymmetric excitation of the quantum vacuum. Phys. Rev. D 2020, 102, 125019. [Google Scholar] [CrossRef]
- Gorban, M.J.; Julius, W.D.; Brown, P.M.; Matulevich, J.A.; Cleaver, G.B. The asymmetric dynamical Casimir effect. Physics 2023, 5, 398–422. [Google Scholar] [CrossRef]
- Gorban, M.J.; Julius, W.D.; Brown, P.M.; Matulevich, J.A.; Cleaver, G.B. Correction: Gorban et al. The asymmetric dynamical Casimir effect. Physics 2023, 5, 398–422. Physics 2024, 6, 422–425. [Google Scholar] [CrossRef]
- Gorban, M.J.; Julius, W.D.; Radhakrishnan, R.; Cleaver, G.B. Interference phenomena in the asymmetric dynamical Casimir effect for a single δ − δ′ mirror. Phys. Rev. D 2023, 108, 096037. [Google Scholar] [CrossRef]
- Barton, G.; Calogeracos, A. On the quantum electrodynamics of a dispersive mirror: I. Mass shifts, radiation, and radiative reaction. Ann. Phys. 1995, 238, 227–267. [Google Scholar] [CrossRef]
- Nicolaevici, N. Quantum radiation from a partially reflecting moving mirror. Class. Quant. Grav. 2001, 18, 619–628. [Google Scholar] [CrossRef]
- Nicolaevici, N. Semitransparency effects in the moving mirror model for Hawking radiation. Phys. Rev. D 2009, 80, 125003. [Google Scholar] [CrossRef]
- Dalvit, D.A.R.; Maia Neto, P.A. Decoherence via the dynamical Casimir effect. Phys. Rev. Lett. 2000, 84, 798–801. [Google Scholar] [CrossRef]
- Muñoz-Castañeda, J.M.; Mateos Guilarte, J. δ − δ′ generalized Robin boundary conditions and quantum vacuum fluctuations. Phys. Rev. D 2015, 91, 025028. [Google Scholar] [CrossRef]
- Braga, A.N.; Silva, J.D.L.; Alves, D.T. Casimir force between δ- δ′ mirrors transparent at high frequencies. Phys. Rev. D 2016, 94, 125007. [Google Scholar] [CrossRef]
- Rego, A.L.C.; Braga, A.N.; Silva, J.D.L.; Alves, D.T. Dynamical Casimir effect enhanced by decreasing the mirror reflectivity. Phys. Rev. D 2022, 105, 025013. [Google Scholar] [CrossRef]
- Silva, H.O.; Farina, C. Simple model for the dynamical Casimir effect for a static mirror with time-dependent properties. Phys. Rev. D 2011, 84, 045003. [Google Scholar] [CrossRef]
- Jackel, M.-T.; Reynaud, S. Fluctuations and dissipation for a mirror in vacuum. Quant. Opt. 1992, 4, 39–53. [Google Scholar] [CrossRef]
- Jaekel, M.-T.; Reynaud, S. Quantum fluctuations of position of a mirror in vacuum. J. Phys. 1993, 3, 1–20. [Google Scholar] [CrossRef][Green Version]
- Jaekel, M.-T.; Reynaud, S. Movement and fluctuations of the vacuum. Rep. Prog. Phys. 1997, 60, 863–887. [Google Scholar] [CrossRef][Green Version]
- Silva, J.D.L.; Braga, A.N.; Rego, A.L.C.; Alves, D.T. Interference phenomena in the dynamical Casimir effect for a single mirror with Robin conditions. Phys. Rev. D 2015, 92, 025040. [Google Scholar] [CrossRef]



Disclaimer/Publisher’s Note: The statements, opinions and data contained in all publications are solely those of the individual author(s) and contributor(s) and not of MDPI and/or the editor(s). MDPI and/or the editor(s) disclaim responsibility for any injury to people or property resulting from any ideas, methods, instructions or products referred to in the content. |
© 2024 by the authors. Licensee MDPI, Basel, Switzerland. This article is an open access article distributed under the terms and conditions of the Creative Commons Attribution (CC BY) license (https://creativecommons.org/licenses/by/4.0/).
Share and Cite
Gorban, M.J.; Julius, W.D.; Brown, P.M.; Matulevich, J.A.; Radhakrishnan, R.; Cleaver, G.B. First- and Second-Order Forces in the Asymmetric Dynamical Casimir Effect for a Single δ − δ′ Mirror. Physics 2024, 6, 760-779. https://doi.org/10.3390/physics6020047
Gorban MJ, Julius WD, Brown PM, Matulevich JA, Radhakrishnan R, Cleaver GB. First- and Second-Order Forces in the Asymmetric Dynamical Casimir Effect for a Single δ − δ′ Mirror. Physics. 2024; 6(2):760-779. https://doi.org/10.3390/physics6020047
Chicago/Turabian StyleGorban, Matthew J., William D. Julius, Patrick M. Brown, Jacob A. Matulevich, Ramesh Radhakrishnan, and Gerald B. Cleaver. 2024. "First- and Second-Order Forces in the Asymmetric Dynamical Casimir Effect for a Single δ − δ′ Mirror" Physics 6, no. 2: 760-779. https://doi.org/10.3390/physics6020047
APA StyleGorban, M. J., Julius, W. D., Brown, P. M., Matulevich, J. A., Radhakrishnan, R., & Cleaver, G. B. (2024). First- and Second-Order Forces in the Asymmetric Dynamical Casimir Effect for a Single δ − δ′ Mirror. Physics, 6(2), 760-779. https://doi.org/10.3390/physics6020047

