Next Article in Journal
Locality in the Schrödinger Picture of Quantum Mechanics
Previous Article in Journal
First- and Second-Order Forces in the Asymmetric Dynamical Casimir Effect for a Single δδ Mirror
 
 
Font Type:
Arial Georgia Verdana
Font Size:
Aa Aa Aa
Line Spacing:
Column Width:
Background:
Article

Anisotropy Induced by Electric Charge: A Computational Analytical Approach

by
Franyelit Suárez-Carreño
1,* and
Luis Rosales-Romero
2
1
Carrera de Ingeniería Industrial, Facultad de Ingeniería y Ciencias Aplicadas, Universidad de las Américas, Quito 170124, Ecuador
2
Departamento de Ciencias Básicas, Universidad Nacional Experimental Politécnica Antonio José de Sucre, UNEXPO, Puerto Ordaz 8050, Venezuela
*
Author to whom correspondence should be addressed.
Physics 2024, 6(2), 780-792; https://doi.org/10.3390/physics6020048
Submission received: 13 October 2023 / Revised: 22 March 2024 / Accepted: 25 March 2024 / Published: 16 May 2024
(This article belongs to the Section Astrophysics, Astronomy and Planetology)

Abstract

This paper presents a novel class of interior solutions for anisotropic stars under the imposition of a self-similar symmetry. This means proposing exact solutions to the Einstein field equations to describe charged matter distribution with radiation flow. The Einstein–Maxwell system by employing specific choices of mass function is formulated to describe the gravitational collapse of charged, anisotropic, spherically symmetric distributions using the Schwarzschild metric. Two ordinary differential equations governing the dynamics are derived by matching a straightforward solution of the symmetry equations to the charged exterior (Reissner–Nordström–Vaidya). Models with satisfactory physical behavior are constructed by extensively exploring self-similar solutions for a set of parameters and initial conditions. Finally, the paper presents the evolution of physical variables and the collapsing radius, demonstrating the inevitable collapse of the matter distribution.

1. Introduction

In this study, the evolution of an electrically charged matter distribution is investigated by treating it as an anisotropic fluid. It is quite widely accepted that different energy–momentum tensors can produce identical space-time configurations [1,2]. An illustrative example is in the framework of spherical symmetry, where viscosity can be considered to be a particular manifestation of anisotropy [3]. Then, to demonstrate the proposed methodology and based on the derivation of dynamical models, free streaming is adopted as the underlying transport mechanism while employing a self-similar space-time description with the Schwarzschild coordinates for the interior region. This approach accommodates several gravitational collapse scenarios, including one previously documented [4,5,6].
Spherically symmetric exact solutions play a crucial role in studying compact stellar objects within the framework of general relativity. In particular, the investigation of charged fluid spheres, characterized by self-gravitation and anisotropy, has been explored in a separate study [7]. Several research endeavors have recently focused on compact star models in an electric field, using the Einstein–Maxwell system of equations. It is worth noting that the presence of charge can significantly impact essential stellar parameters such as redshift, radius, and maximum mass values [8,9,10].
Incorporating electric charge into the analysis often requires researchers to make additional assumptions, such as defining an equation of state, introducing additional symmetries, or establishing relationships between metric variables [7,11]. The majority of studies in this field have focused on static conditions. For instance, in Ref. [12], static-charged perfect fluid spheres in general relativity were extensively explored, while Ref. [13], the effects of electric charge on compact stars and its implications for gravitational collapse were investigated. In Ref. [14], charged fluid spheres in an Einstein–Maxwell spacetime were studied with the imposition of conformal symmetry.
Other investigations on electric charge have examined self-similar charged spherical distributions using diffusion approximation [9,11]. These studies have found that exact solutions can provide valuable information about the physical characteristics of collapsing stars [4,9,15]. These analyses highlight the relevance of precise solutions within the framework of Einstein–Maxwell systems for describing highly dense astronomical objects, such as neutron stars and strange stars. In Ref. [16], exact solutions of the Einstein–Maxwell systems were obtained for charged spheres with specific choices of electric field and gravitational potential.
In Ref. [17], regular models of invariant conformal spheres exhibiting an anisotropic energy-momentum tensor were successfully identified. In this research, self-similar symmetry was proved to be a valuable tool for modeling dense relativistic stellar objects, representing a specific case of conformal symmetry. Furthermore, in Ref. [18], it was proposed that the presence of electric fields in stellar bodies can give rise to pressure anisotropy.
In the current study, it is considered that electric charge can be seen as a form of anisotropy [11], but not just any anisotropy, as is discussed. Within specific density ranges, local anisotropic pressure can be physically justified in self-gravitating systems since different physical phenomena that lead to local anisotropy can occur and relax the upper limits imposed on the maximum value of the surface gravitational potential.
We investigate self-gravitating spherical distribution of charged matter, which includes a dissipative fluid. Schwarzschild coordinates are used, following the method described in Refs. [5,11]. An additional symmetry (homothetic motion) is assumed to be present inside the sphere of viscous fluid induced by the electric charge, along with the radiation flux. The self-similar inner solution is found to match with the outer Reissner–Nordström–Vaidya solution.
The results of this paper demonstrate that electric charge produces local anisotropy in the same sense as viscosity. From this perspective, relevant physical information is obtained for spherically symmetric, self-similar, and electrically charged matter distributions under the free streaming approximation. Furthermore, the solutions are found to satisfy the Darmois–Lichnerowicz boundary conditions on the surface of the distribution and well match the inner self-similar solution with the outer Reissner–Nordström–Vaidya solution.
Section 2 presents the field equations for Bondian observers, showcasing how they demonstrate the influence of the electric charge in inducing anisotropy and establishing the connection with the Reissner–Nordström–Vaidya exterior solution. Additionally, this Section provides the corresponding surface equation for this analysis. Section 3 presents a brief description of the numerical methods used in this study. This Section provides a summary description of application and implementation of the methods considered. Section 4 illustrates self-similar solutions using non-adiabatic charged models with an emphasis of their significant and noteworthy implications within the research context. Finally, Section 5 gives the conclusions and pertinent observations.

2. The Metric, Energy–Momentum Tensor, and Field Equations

2.1. Bondian Observers and Field Equations

The Einstein field equations are written using the line element in Schwarzschild coordinates [6],
d s 2 = e ν d t 2 e λ d r 2 r 2 ( d θ 2 + s i n 2 θ d ϕ 2 ) ,
where ν = ν ( t , r ) , λ = λ(t, r), and t and r are the temporal and radial coordinates, respectively. This matter exhibits spherical symmetry and comprises a charged fluid characterized by energy density, ρ , pressure, p, electrical energy density, ρ e , and non-polarized radiation flux, ε , as follows [5,19]:
T α β = (   ρ + p   )   u α u β p g β α + ε l β l α + E β α ,
where T α β is the stress-energy tensor, u α and l α are the components of the 4-velocity and the 4-null vector, respectively, satisfying u α u α = 1 and l α l α = 0 , and E β α are the components of the electromagnetic energy–momentum tensor,
E β α = 1 4 π F β κ F α k + 1 4 g β α F σ κ F σ κ ,
where F β κ are the components of the Maxwell field tensor, which satisfies the Maxwell equations:
F β α ; σ = 0
and
g F ν μ , ν = 4 π g J μ ,
where the semicolon and the comma in the subscript denote, respectively, the covariant derivative and partial differentiation relative to the next indicated coordinate, g is the determinant of metric 4-tensor, J α = ρ e u α is electric current 4-vector, σ is the electric conductivity, and the Greek letter indexes take 0 (time) and 1, 2, and 3 (space) values. Thanks to the spherical symmetry, only the radial electric field, F t r = s r 2 e 1 2 ( ν + λ ) = F r t , is nonzero, with
s   t ,   r   = 4 π r 2 J t e 1 2 ν + λ d r .
On the other hand, the inhomogeneous Maxwell Equations (4) and (5) become [11]
s , r = 4 π r 2 J t e 1 2 ( ν + λ )
and
s , t = 4 π r 2 J r e 1 2 ( ν + λ )
where J t and J r are, respectively, the temporal and radial components of the current 4-vector J α . The function s ( t , r ) is naturally interpreted as the electric charge within the radius r at the time t.
The conservation of charge inside a sphere moving with the fluid is expressed as
u i s , i = 0 .
The conservation Equation (9) can be written in a form more suitable for numerical purposes as follows:
s , t + d r d t s , r = 0 ,
where the velocity of matter in the Schwarzschild coordinates is
d r d t = ω e ( ν λ ) / 2
with ω , the radial direction velocity.
The contravariant components of the 4-velocity are
u μ = e ν / 2 ( 1 ω 2 ) 1 / 2 δ t μ + ω e λ / 2 ( 1 ω 2 ) 1 2 δ r μ
with δ r μ the Kronecker delta. Then, the field Equation (12) can be written as
ρ + p ω 2 1 ω 2 + ε 1 + ω 1 ω + s 2 4 π r 2 = 1 8 π r 2 1 r e λ 1 r λ , r ,
p + ρ ω 2 1 ω 2 + ε 1 + ω 1 ω + s 2 4 π r 2 = 1 8 π r 2 e λ 1 r + ν , r 1 r ,
p + s 2 4 π r 2 = e λ 32 π 2 ν , r r + ν , r 2 ν , r λ , r + 2 r ν , r λ , r e ν 2 λ , t t + λ , t λ , t ν , t ,
ω 1 ω 2 p + ρ + 1 + ω 1 ω ε = λ , t 8 π r e 1 2 ( λ + ν ) .

2.2. Anisotropy Fluid and Electric Charge

To express the field equations in a form equivalent to that of an anisotropic fluid, the following definition is introduced:
e λ = 1 2 μ r ,
where μ ( t , r ) = m ( t , r ) s 2 2 r and m is the mass distribution [11]. Thus, the field Equations (17)–(20) read
ρ ^ = μ , r 8 π r 2 ,
p ^ = μ , r 8 π r ν , r 1 2 μ r 2 μ r 2 ,
p t = ( r 2 μ ) 16 π r ν , r r + ν , r 2 2 + ν , r r ( ν , r + 2 r ) ( μ , r μ r ) ( r 2 μ ) e ν 8 π ( r 2 μ ) μ , t t + 3 μ , t 2 ( r 2 μ ) μ , t ν , t 2 ,
S ~ = μ . t 4 π r 1 2 μ r 1 2 e ν 2 ,
where
S ~ = ω 1 ω 2 p + ρ + 1 + ω 1 ω ε
and the conservative variables are
ρ ~ = ρ ^ + ω 2 1 ω 2 + ε 1 + ω 1 ω
and
p ~ = p r ρ ^ ω 2 1 ω 2 + ε 1 + ω 1 ω .
Generally, ρ ~ and p ~ , are referred to as effective density and effective pressure, respectively.
For an anisotropic fluid, Equations (18)–(21) are formally the same, with ρ ^ = ρ + ρ e , p r = p ρ e , p t = p + ρ e , and the electric energy density ρ e = E 2 / ( 8 π ), and the local electric field strength being equal to E = s / r 2 . If = p t p r = 2 ρ e , which is defined as the degree of local anisotropy induced by the electric charge, s; then, at any point, the electric charge determines the degree of local anisotropy. Once the metrics μ ( t ,   r ) and ν ( t ,   r ) are obtained, together with their derivatives, from the symmetry equations the physical variables ρ , p, ω, and ε, and are determined in algebraic form from the field equations. In this framework, the electric charge becomes an integral part of the metric, manifesting as anisotropy within the fluid. The electric charge plays a significant role by contributing to the energy density and pressure. Adopting the Bondian observers’ [5] approach to general relativity, which incorporates a moving reference frame, enhancing understanding of this perspective.

2.3. Junction Conditions and Surface Equations

The exterior spacetime is described by the Reissner–Nordström–Vaidya metric. The spherically symmetric charged distribution is considered to be bounded by the a(t) surface. Beyond this boundary, a Reissner–Nordström–Vaidya spacetime is assumed, as described in Refs. [12,13]:
d s 2 = 1 2 M ( u ) / r + S ( u ) 2 / r 2 d u 2 + 2 d u d r r 2 d θ 2 + s i n 2 θ d ϕ ,
where M ( u ) is the total active gravitational mass, S ( u ) is the total charge of the sphere, and u is the time delay. The exterior and interior solutions are separated by the surface r = a ( t ) . Darmois junction conditions [9] ensure a smooth transition between both regions on this surface by demanding the continuity of the first fundamental form, resulting in
e λ a = 1 2 M a + C 2 a 2 ,
S ( u ) = C ,
M ( u ) = M ,
ν a = λ a .
The quantity (27) is evaluated on the surface what is indicated by the subscript a .

2.4. Surface Equations

The space in the matter distribution can be divided into the two distinct regions: the inner region, which is described by the line element (1), and the outer region, characterized by the Reissner–Nordström–Vaidya metric (23). These two regions are separated by the hypersurface located at r = a. Consequently, it is imperative to account for the interaction and connection between the solutions governing the inner and outer regions as dictated by the field Equations (17)–(20).
Furthermore, in order to obtain the evolution of the matter physical variables, such as the pressure p, the density ρ , the electric charge s, the radiation flux ε, and the velocity ω, within the distribution, it is essential to establish a system of ordinary differential equations at the surface of the matter distribution.
Once a system of the equations is established, one obtains a system consisting of two ordinary differential equations. These equations involve three functions that vary with respect to time t: the radius of the distribution, the velocity ω at the distribution’s edge, and the mass function μ at the distribution’s surface.
Following the procedure outlined in Ref. [9], the surface equations are written by evaluating Equations (11) and (20) on the surface of the distribution. The first and second surface equations then read:
d a d t = ω a 1 2 μ a a ,
d μ a d t = L + C 2 2 a 2 d a d t ,
where
L = ϵ ( 1 ω a ) 1 2 μ a a
and
ϵ = 4 π a 2 ε a .
Up to here, four field Equation (10) governing seven unknowns, which consist of two geometric variables, ν and μ , and five physical variables, p, ρ , radiation flux ε, velocity ω, and electric charge s.
Here is the step-by-step solution algorithm:
  • Prior to this, solve the surface equations by utilizing a fourth-order Runge–Kutta method. This yields the surface variables, which are obtained by satisfying the coupling conditions.
  • Start by obtaining the geometric variables through the application of an additional homothetic (self-similar) symmetry. This means deriving these variables based on the equations of symmetry by considering the surface variables.
  • Determine the electric charge by numerically solving the charge conservation equation.
  • Once the geometric variables and the electric charge are determined, the physical variables of pressure, density, radiation flux, and velocity are determined in algebraic form from the field Equations (13)–(16).

3. Integration of the Conservative Equation

Once the equations are integrated on the surface, observation Equation (10) has to be integrated to obtain all the physical variables in the source. For this purpose, we introduce the dimensionless coordinate, x = r/a. Thus, the conservation equation can be written as
s , u = d x d u s , x ,
which is integrated numerically using the Lax method with the appropriate Courant–Friedrichs–Levy (CFL) condition [17]. The solution of the conservation Equation (32) is constrained by the evolution of the surface and was implemented as follows:
s j m + 1 = 1 2 s j + 1 m + s j 1 m + δ t 2 δ x d x d t j n s j + 1 m s j 1 m .
The superscript n points to the hypersurface u = nδu, and the subscript j points to the position for a comoving observer with x = j δ x . Typically, the time delay increments in u = 10−2 with the CFL condition of δ t = 2 δ x . To integrate the conservation equation, one must specify the boundary and initial conditions. In this case, the boundary condition is
s(x = 0, u) = 0
with the initial condition of
s(x, u = 0) = sxP,
where the power p allows studying the sensitivity of the results to the initial conditions. We define the initial electric charge function in a manner that ensures it complies with the conservation Equation (32), particularly with respect to its radial dependence.
At this point, there are no limitations on exploring the interior of the distribution and tracking the temporal changes in the physical variables. To achieve this, it is essential to specify the charge function with regard to the radial coordinate r at time t = 0. While doing so, it is needed to take into account that the temporal evolution should not compromise the fulfillment of the physical prerequisites. By this consideration, one can readily derive the model.

4. Self-Similarity and Determination of the Metric

Covariant descriptions of self-similarity in the context of spherical matter distributions reveal that self-similar solutions can be categorized into two types based on their invariance or non-invariance to scale transformations. From a mathematical perspective, self-similarity is intriguing for two primary reasons: it first simplifies the field equations into a set of ordinary differential equations, and, secondly, it nullifies both the homothetic Killing symmetry and the conformal Killing symmetry [20,21,22].
The presence of a homothetic Killing vector field serves as an invariant definition of self-similarity. In a specific coordinate system, self-similarity becomes evident through a straightforward scaling relation for the metric functions. Subsequently, an additional homothetic (self-similar) symmetry is imposed [20,23]:
L ξ g μ ν = 2 g μ ν ,
where g μ ν is the metric tensor, and the homothetic generator, ξ, is of the form
ξ μ = Λ t , r δ μ + ( t , r ) δ μ ,
where Λ and ᴦ are the temporal and radial components of the homothetical vector, respectively, and δ μ represents the Kronecker delta.
Equations (36) and (37) combined with Equation (1) lead to
= r ,
Λ , r = 0 ,
Λ μ , t + μ , r = μ ,
Λ ν , t + ν , r + 2 Λ , t = 2 .
Then, inserting the functions
X = μ r  
and
Y = μ e r ν / 2
into Equations (40) and (41) leads to
Λ X , t + r X , r = 0
and
Y , t + r Y , r = 0 ,
respectively, which can also be written as
ξ X t , r = 0 ,
ξ Y t , r = 0 .
As soon as Equations (44) and (45) are solved, it is possible to know the form of the metric variables μ and ν at all t and r.
Equations (46) and (47) have general solutions X = X ζ     a n d   Y = Y ζ , where ζ = r e d t Λ .
Specific solutions of X = A 1 ζ k and Y = A 2 ζ l are proposed, where A1, A2, k, and l are constants.
Therefore, the geometrical variables are
μ = μ a r a k + 1 ,
e ν = 1 2 μ a / a r a 2 ( l + 1 ) ,
S = ω 1 ω 2 p r + ρ ^ + ε 1 + ω 1 ω .
The case study involves a system consisting of a radiant fluid with an electric charge, made possible through the application of field equations describing the Einstein–Maxwell system. Solving these equations leads to two crucial outcomes. Firstly, it yields a set of physical properties, including density, pressure, fluid velocity, energy flow, and electric charge. Secondly, it furnishes insights into the structural characteristics of space-time.
From a theoretical perspective, this problem requires a more complete examination where it is taken into account that the matter distribution’s surface delineates two distinct space-time regions: the inner region, replete with matter and radiation, and the outer region beyond the surface, where radiation emanates unhindered into infinity. Thus, it becomes imperative to adequately define the geometry of both the inner and outer regions and delineate the nature of their energy and material constituents.
To facilitate the analysis, the sphere was partitioned into five layers, wherein the physical variables derived from the field equations were meticulously assessed. The collapse was imposed by imparting an initial velocity to the surface, allowing the surface’s evolution. The fourth-order Runge–Kutta method integrated the differential Equations (28) and (29) on the surface. In addition, the physical variables during integration are bounded within the physically acceptable values of ρ > 0, ρ > p , and −1 < ω < 1.
That is, at a density above zero, high pressure, and radial velocity in between −1 and 1, one avoids propagation at speeds exceeding the speed of light. The CFL sets a limit the latter not to happen.
A crucial feature is the anisotropy index of p t p r = 2 ρ e , where it is evident that the charge induces such anisotropy. When the charge is zero, the anisotropy index is also zero. The time evolution of the distribution radius and the variation of the physical variables are detailed in Figure 1, with the radius of the distribution, which inevitably collapses, being illustrated.

5. Discussion

Initially, in the search for solutions for the Einstein–Maxwell system (17)–(20) proposed in this study, there were no limitations regarding the specification of the values of the constants k, l, and the initial electric charge C (25); see Equations (48)–(50). What was required is that the choice allows for physically acceptable behaviors, as discussed in Section 4 above. Any choice of the parameters listed must be consistent with the condition of −1 < ω a < 1 and M > 0 (defined in Equation (26)) in the initial light cone (surface of the matter distribution).
The evolution with time of the distribution radius in Figure 1 shows that the matter distribution collapses inexorably. The parameters used in the simulation are k = 0.25, l = 0.30, and the initial data of the initial charge and the radius s(0) = 0.75 and a(0) = 0.23, respectively [9,24].
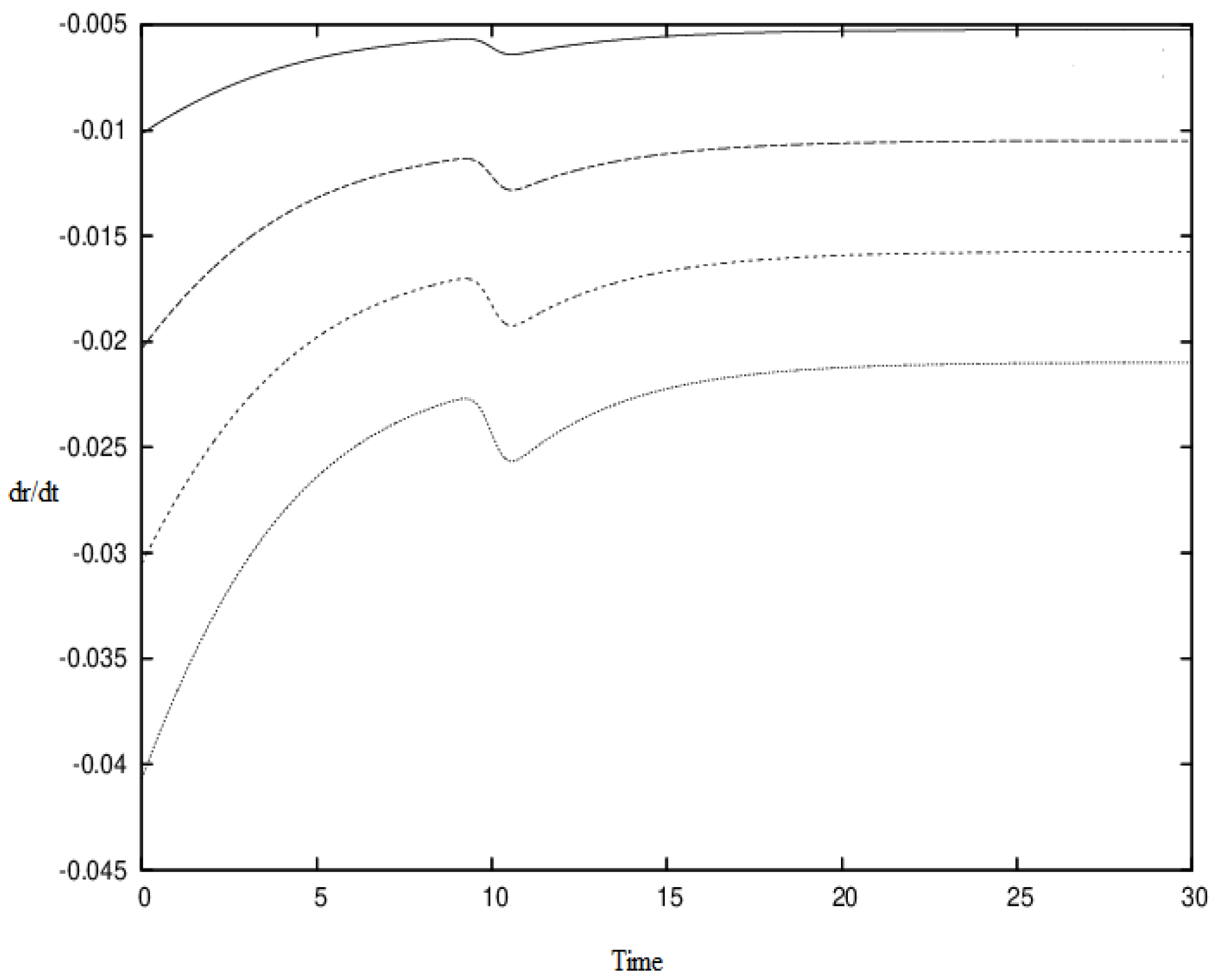
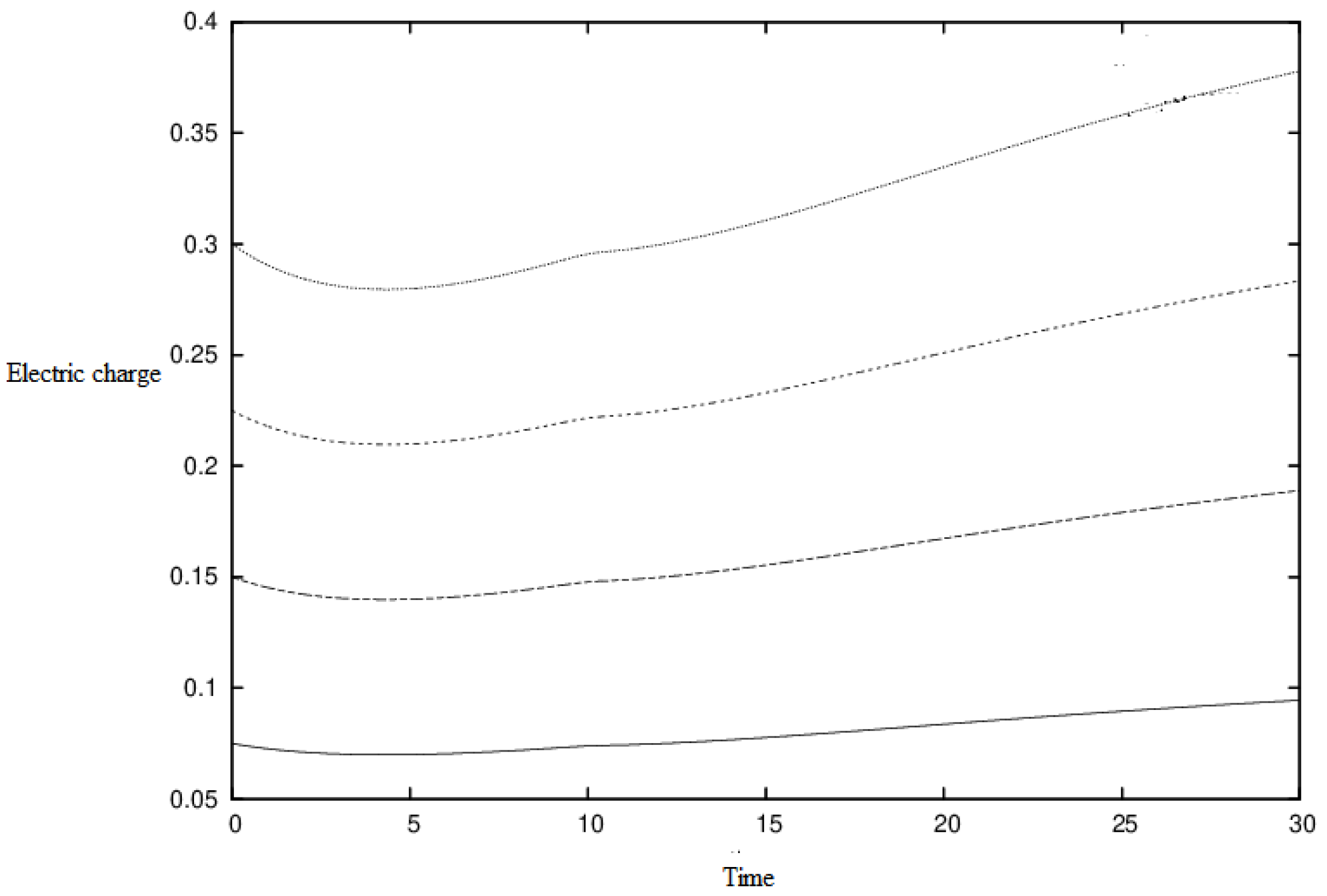
Figure 2, Figure 3, Figure 4, Figure 5 and Figure 6 show, respectively, the velocity dr/dt (11), the charge function, s, the radiation flux, ε, the matter density, ρ ,   and the pressure, p for the set of initial conditions: a(0) = 5, M(0) = 1, ω a (0) = − 10 3 , s(0) = 0.5, with k = 0.35, l = 0.5, and different r/a values as indicated. From Figure 3, it follows that at any time, the interior electric charge for any comoving space marker r / a is always less than the total electric charge enclosed by the boundary surface. Therefore, the electric charge for inner regions can, actually, increase.
Due to the effect of the repulsive force, the charged matter distribution is expected to exhibit a larger mass and radius than for the uncharged matter. This phenomenon resembles that which was observed in Refs. [14,25]. Notably, the presence of the electric field results in an increase in the gravitational redshift at the surface; consequently, an observer then perceives a more distant compact distribution compared to the no-charge scenario. This aspect was used to check the validity of the code.
It should be noted that Figure 2, Figure 3, Figure 4, Figure 5 and Figure 6 represent a selection of various executions of the code with different initial conditions of the radius a(0) and with different values of the self-similar variables k, l, and total charge C.
The primary motivation for this study was based on previous results employing the same system and solutions but with a different transport mechanism, i.e., the diffusion limit [11]. The evolution of the distribution varies markedly due to heat flow: the presence of electric charge prevents collapse, resulting in a final state with oscillations. In this paper, the electric charge does not alter the fate of gravitational collapse.
In this study, the Einstein–Maxwell equations are resolved with the inclusion of the homothetic vector, resulting in the creation of realistic generalized exact models featuring charge and pressure anisotropy. A thorough physical analysis was conducted on this newly generated class of solutions to assess its physical viability. The examination revealed regularity of matter variables and gravitational potentials at the distribution center, satisfaction of energy conditions, and adherence to stability criteria. Notably, our generalized set of exact solutions builds upon earlier explorations [9,11,26,27,28,29,30,31,32,33].
A feature of great importance is the anisotropy factor. In Ref. [32], similar results were obtained despite having carried it out with the Bondi metric, and this study has been undertaken with the Schwarzschild metric, straightforwardly showing that the charge induces anisotropy in both cases. When the charge is zero, the anisotropy factor also becomes zero. This observation was used to validate the code, given that results have been previously presented in the case of zero charge. It can be seen in Figure 1 that the radius of distribution falls over time, with a further observation that the electric charge does not prevent the collapse, unlike in the study developed in Ref. [11], where the determining factor to stop the collapse is the flow of heat.

6. Conclusions

In this investigation, we delved into a model of an anisotropic compact star endowed with electric charge. The exploration led to the obtaining of an exact solution within the framework of the Einstein–Maxwell equations, showcasing a self-similar symmetry. Specifically, the [fits better, the scrutiny cannot belong to someone] scrutiny extended here to instances where the parameters k and l deviate from zero. The analysis distinctly illustrates the commendable behavior of the metric variables and the metric potentials ν and μ across the entire distribution, signifying their stability and cohesiveness.
Our study focused on incorporating electric charge as a specific manifestation of anisotropy within spherical symmetry. Leveraging the free streaming approximation as a transport mechanism, we implemented a dynamic model, employing a self-similar spacetime for the interior region. Emphasis was placed on scrutinizing the final state of gravitational collapse, exploring the ramifications of dissipation through the free streaming of radiation and local anisotropy stemming from electric charge. The assumption of self-similarity facilitated the simplification of the problem into a system of ordinary differential equations, with boundary conditions dictated by matching to a Reissner–Nordström–Vaidya exterior solution.
With free streaming, the interior was found to evolve under a total charge surpassing the maximum allowable charge in the diffusion limit derived in prior studies [11,32]. The system deviates from equilibrium and undergoes collapse. The contribution of electric charge to the collapse parallels how anisotropy, with tangential pressure exceeding radial pressure, favors collapse, as elucidated in earlier studies [25,26]. A critical total electric charge (or anisotropy parameter) exists, defining the boundaries within which the system evolves according to the Einstein–Maxwell system of field equation constraints.
To ascertain the universality of the results presented in this paper exploring more general solutions of the symmetry equations is imperative. Nevertheless, the outcomes derived through the anisotropic approach align with those previously reported when the steady state is the final state [27,28].
To ascertain the universality of the results presented in this paper exploring more general solutions of the symmetry equations is imperative. Nevertheless, the outcomes derived through the anisotropic approach align with those previously reported when the steady state serves as the final state [28,29].

Author Contributions

Conceptualization, F.S.-C. and L.R.-R.; methodology, F.S.-C.; software, L.R.-R.; validation, F.S.-C. and L.R.-R.; formal analysis, F.S.-C. and L.R.-R.; investigation, F.S.-C. and L.R.-R.; writing—original draft preparation, F.S.-C. and L.R.-R.; writing—review and editing, F.S.-C. All authors have read and agreed to the published version of the manuscript.

Funding

The APC was funded by Universidad de las Américas, Quito, Ecuador.

Data Availability Statement

The data presented in this study are available on request from the corresponding author.

Acknowledgments

We thank the anonymous reviewers for comments and questions raised during the review process to clarify the results.

Conflicts of Interest

The authors declare no conflicts of interest.

References

  1. Sofuoğlu, D.; Tiwari, R.K.; Abebe, A.; Alfedeel, A.H.A.; Hassan, E.I. The cosmology of a non-minimally coupled f(R, T) gravitation. Physics 2022, 4, 1348–1358. [Google Scholar] [CrossRef]
  2. Herrera, L.; Santos, N.O. Jeans mass for anisotropic matter. Astrophys. J. 1995, 438, 308–313. [Google Scholar] [CrossRef]
  3. Abdelghani, E.; Youssef, K.; Mohammed, D. Anisotropic compact stars via embedding approach in general relativity: New physical insights of stellar configurations. Eur. Phys. J. C 2021, 81, 266. [Google Scholar] [CrossRef]
  4. Barreto, W.; Da Silva, A. Gravitational collapse in AdS: Instabilities, turbulence, and information. Eur. Phys. J. Plus 2022, 137, 845. [Google Scholar] [CrossRef]
  5. Barreto, W.; Rosales, L. Self-similar and charged spheres in the free-streaming approximation. Gen. Relativ. Grav. 2011, 43, 2833–2846. [Google Scholar] [CrossRef][Green Version]
  6. Nikko, J.; Lobos, R. Generalized extended uncertainty principle black holes: Shadow and lensing in the macro- and microscopic realms. Physics 2022, 4, 1318–1330. [Google Scholar] [CrossRef]
  7. Esculpi, M.; Alomá, E. Conformal anisotropic relativistic charged fluid spheres with a linear equation of state. Eur. Phys. J. C 2010, 67, 521–532. [Google Scholar] [CrossRef]
  8. Mafa Takisa, P.; Maharaj, S.D.; Leeuw, L.L. Effect of electric charge on conformal compact stars. Eur. Phys. J. C 2019, 79, 8. [Google Scholar] [CrossRef]
  9. Rosales, L.; Barreto, W.; Peralta, C.; Rodríguez-Mueller, B. Nonadiabatic charged spherical evolution in the postquasistatic approximation. Phys. Rev. D 2010, 82, 084014. [Google Scholar] [CrossRef]
  10. Thirukkanesh, S.; Maharaj, S. Charged anisotropic matter with a linear equation of state. Class. Quant. Grav. 2008, 25, 235001. [Google Scholar] [CrossRef]
  11. Barreto, W.; Rodríguez, B.; Rosales, L.; Serrano, O. Self-similar and charged radiating spheres: An anisotropic approach. Gen. Relat. Grav. 2007, 39, 23–39. [Google Scholar] [CrossRef]
  12. Ivanov, B.V. The importance of anisotropy for relativistic fluids with spherical symmetry. Int. J. Theor. Phys. 2010, 49, 1236–1243. [Google Scholar] [CrossRef]
  13. Ray, S.; Usmani, A.A.; Rahaman, F.; Kalam, M.; Chakraborty, K. Electromagnetic mass model admitting conformal motion. Ind. J. Phys. 2008, 82, 1191–1204. Available online: https://www.academia.edu/92409415/Electromagnetic_mass_model_admitting_conformal_motion?uc-sb-sw=106137220 (accessed on 23 March 2024).
  14. Jape, J.W.; Maharaj, S.D.; Sunzu, J.M.; Mkenyel, J.M. Generalized compact star models with conformal symmetry eye. Eur. Phys. J. C 2021, 81, 1057. [Google Scholar] [CrossRef]
  15. Dev, K. Exact solutions for charged spheres and their stability. II. Anisotropic fluids. arXiv 2022, arXiv:2202.8632. [Google Scholar] [CrossRef]
  16. Komathiraj, K.; Sharma, R.; Das, S.; Maharaj, D. Generalized Durgapal–Fuloria relativistic stellar models. J. Astrophys. Astron. 2019, 40, 37. [Google Scholar] [CrossRef]
  17. Maartens, R.; Maharaj, D. Conformal symmetries of pp-waves. Class. Quant. Grav. 1991, 8, 503–514. [Google Scholar] [CrossRef]
  18. Usov, M. Electric fields at the quark surface of strange stars in the color-flavor locked phase. Phys. Rev. D 2004, 70, 067301. [Google Scholar] [CrossRef]
  19. Salam, A. van der Waals dispersion potential between excited chiral molecules via the coupling of induced dipoles. Physics 2023, 5, 247–260. [Google Scholar] [CrossRef]
  20. Lao, B.; Liu, P.; Zheng, X.; Lu, Z.; Li, S.; Zhao, K.; Gong, L.; Tang, T.; Wu, K.; Shi, Y.-G.; et al. Anisotropic linear and nonlinear charge-spin conversion in topological semimetal SrIrO3. Phys. Rev. B 2022, 106, L220409. [Google Scholar] [CrossRef]
  21. Kochelap, V.A.; Sokolov, V.N. Anisotropic electron transport Rashba effects in valleytronics. Phys. Rev. B 2022, 106, 245422. [Google Scholar] [CrossRef]
  22. Schürmann, T. On momentum operators given by Killing vectors whose integral curves are geodesics. Physics 2022, 4, 1440–1452. [Google Scholar] [CrossRef]
  23. Carr, B.; Kühnel, F. Primordial black holes with multimodal mass spectra. Phys. Rev. D 2019, 99, 103535. [Google Scholar] [CrossRef]
  24. Nakama, T.; Carr, B.; Silk, J. Limits on primordial black holes from μ distortions in the cosmic microwave background. Phys. Rev. D 2018, 97, 043525. [Google Scholar] [CrossRef]
  25. Rocha, J.V.; Tomašević, M. Self-similarity in Einstein-Maxwell-dilaton theories and critical collapse. Phys. Rev. D 2018, 98, 104063. [Google Scholar] [CrossRef]
  26. Henriksen, R.N.; Patel, K. Null charts and naked singularities in spherically symmetric, homothetic spacetimes. Gen. Relativ. Grav. 1991, 23, 527–581. [Google Scholar] [CrossRef]
  27. Brassel, B.; Maharaj, S.; Goswami, R. Inhomogeneous and radiating composite fluids. Entropy 2021, 23, 1400. [Google Scholar] [CrossRef]
  28. Thirukkanesh, S.; Sharma, R.; Maharaj, S. Anisotropic generalization of Vaidya–Tikekar superdense stars. Eur. Phys. J. Plus 2019, 134, 378. [Google Scholar] [CrossRef]
  29. Komathiraj, K.; Sharma, R.; Chanda, S. Effects of electric field and anisotropy on the mass-radius relationship of a particular class of compact stars. Astrophys. Space Sci. 2022, 367, 86. [Google Scholar] [CrossRef]
  30. Ray, S.; Espindola, A.L.; Malheiro, M.; Lemos, J.; Zanchin, V.T. Electrically charged compact stars. In Proceedings of the Tenth Marcel Grossmann Meeting, Rio de Janeiro, Brazil, 20–26 July 2003; Novello, M., Bergliaffa, P., Ruffini, R., Eds.; World Scientific Co. Ltd.: Singapore, 2006; pp. 1361–1363. [Google Scholar] [CrossRef]
  31. Barreto, W.; Castillo, L.; Barrios, E. Bondian frames to couple matter with radiation. Gen. Relativ. Grav. 2010, 42, 1845–1862. [Google Scholar] [CrossRef][Green Version]
  32. Barreto, W.; Ovalle, J.; Rodríguez, B. A Self-similar dynamics in viscous spheres. Gen. Relativ. Grav. 1998, 30, 15–26. [Google Scholar] [CrossRef]
  33. Suárez-Carreño, F.; Rosales-Romero, L. Computational algorithms for the study of distributions with electric charge and radiation flux in general relativity. Appl. Sci. 2021, 11, 5957. [Google Scholar] [CrossRef]
Figure 1. The evolution of the radius of the matter distribution with well decrease over time. See text for details.
Figure 1. The evolution of the radius of the matter distribution with well decrease over time. See text for details.
Physics 06 00048 g001
Figure 2. The velocity, dr/dt (11), of matter for the set of initial conditions: a(0) = 5, M(0) = 1, ω a ( 0 ) = − 10 3 , and s(0) = 0.5, with k = 0.35, l = 0.5 and r / a = 1 ,   0.75 ,   0.5 , a n d   0.25   (bottom to top). See text for details.
Figure 2. The velocity, dr/dt (11), of matter for the set of initial conditions: a(0) = 5, M(0) = 1, ω a ( 0 ) = − 10 3 , and s(0) = 0.5, with k = 0.35, l = 0.5 and r / a = 1 ,   0.75 ,   0.5 , a n d   0.25   (bottom to top). See text for details.
Physics 06 00048 g002
Figure 3. The charge function, s(8), for the set of initial conditions: a(0) = 5, M(0) = 1, ω a ( 0 ) = − 10 3 , and s(0) = 0.5, with k = 0.35, l = 0.5, and r / a = 1 ,   0.75 ,   0.5 , a n d   0.25   (bottom to top).
Figure 3. The charge function, s(8), for the set of initial conditions: a(0) = 5, M(0) = 1, ω a ( 0 ) = − 10 3 , and s(0) = 0.5, with k = 0.35, l = 0.5, and r / a = 1 ,   0.75 ,   0.5 , a n d   0.25   (bottom to top).
Physics 06 00048 g003
Figure 4. Radiation flux, ε, for the set of initial conditions: a(0) = 5, M(0) = 1, ω a ( 0 ) = − 10 3 , and s(0) = 0.5, with k = 0.35, l = 0.5, and r / a = 1 ,   0.75 ,   0.5 , a n d   0.25   (bottom to top).
Figure 4. Radiation flux, ε, for the set of initial conditions: a(0) = 5, M(0) = 1, ω a ( 0 ) = − 10 3 , and s(0) = 0.5, with k = 0.35, l = 0.5, and r / a = 1 ,   0.75 ,   0.5 , a n d   0.25   (bottom to top).
Physics 06 00048 g004
Figure 5. The density, ρ , for the set of initial conditions: a(0) = 5, M(0) = 1, ω a ( 0 ) = − 10 3 , and s(0) = 0.5, with k = 0.35, l = 0.5; and r / a = 1 ,   0.75 ,   0.5 , a n d   0.25   (bottom to top).
Figure 5. The density, ρ , for the set of initial conditions: a(0) = 5, M(0) = 1, ω a ( 0 ) = − 10 3 , and s(0) = 0.5, with k = 0.35, l = 0.5; and r / a = 1 ,   0.75 ,   0.5 , a n d   0.25   (bottom to top).
Physics 06 00048 g005
Figure 6. The pressure, p, for the set of initial conditions: a(0) = 5, M(0) = 1, ω a ( 0 ) = − 10 3 , and s(0) = 0.5, with k = 0.35, l = 0.5, and r / a = 1 ,   0.75 ,   0.5 , a n d   0.25 (bottom to top).
Figure 6. The pressure, p, for the set of initial conditions: a(0) = 5, M(0) = 1, ω a ( 0 ) = − 10 3 , and s(0) = 0.5, with k = 0.35, l = 0.5, and r / a = 1 ,   0.75 ,   0.5 , a n d   0.25 (bottom to top).
Physics 06 00048 g006
Disclaimer/Publisher’s Note: The statements, opinions and data contained in all publications are solely those of the individual author(s) and contributor(s) and not of MDPI and/or the editor(s). MDPI and/or the editor(s) disclaim responsibility for any injury to people or property resulting from any ideas, methods, instructions or products referred to in the content.

Share and Cite

MDPI and ACS Style

Suárez-Carreño, F.; Rosales-Romero, L. Anisotropy Induced by Electric Charge: A Computational Analytical Approach. Physics 2024, 6, 780-792. https://doi.org/10.3390/physics6020048

AMA Style

Suárez-Carreño F, Rosales-Romero L. Anisotropy Induced by Electric Charge: A Computational Analytical Approach. Physics. 2024; 6(2):780-792. https://doi.org/10.3390/physics6020048

Chicago/Turabian Style

Suárez-Carreño, Franyelit, and Luis Rosales-Romero. 2024. "Anisotropy Induced by Electric Charge: A Computational Analytical Approach" Physics 6, no. 2: 780-792. https://doi.org/10.3390/physics6020048

APA Style

Suárez-Carreño, F., & Rosales-Romero, L. (2024). Anisotropy Induced by Electric Charge: A Computational Analytical Approach. Physics, 6(2), 780-792. https://doi.org/10.3390/physics6020048

Article Metrics

Back to TopTop