Opinion Dynamics Systems via Biswas–Chatterjee–Sen Model on Solomon Networks
Abstract
:1. Introduction
2. Solomon Networks, Biswas–Chatterjee–Sen Model and Monte Carlo Simulation Details
2.1. Solomon Networks
2.2. Biswas–Chatterjee–Sen Model
2.3. Magnetic-like Variables of Interest
2.4. Monte Carlo Simulation Details
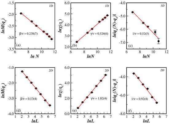
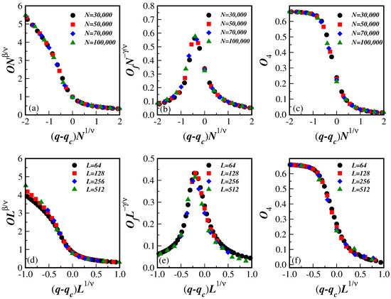
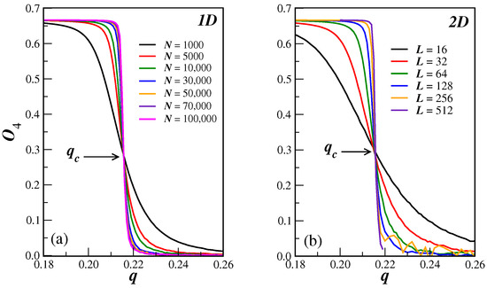
3. Results and Discussion
4. Concluding Remarks
Author Contributions
Funding
Data Availability Statement
Acknowledgments
Conflicts of Interest
References
- Chakrabarti, B.K.; Chakraborti, A.; Chatterjee, A. (Eds.) Econophysics and Sociophysics: Trends and Perspectives; Wiley-VCH Verlag GmbH & Co. KGaA: Weinheim, Germany, 2006. [Google Scholar] [CrossRef]
- Castellano, C.; Fortunato, S.; Loreto, V. Statistical physics of social dynamics. Rev. Mod. Phys. 2009, 81, 591–646. [Google Scholar] [CrossRef]
- Helbing, D. Quantitative Sociodynamics. Stochastic Methods and Models of Social Interaction Processes; Springer: Berlin/Heidelberg, Germany, 2010. [Google Scholar] [CrossRef]
- Galam, S. Sociophysics. A Physicist’s Modeling of Psycho-Political Phenomena; Springer Science+Business Media, LLC: New York, NY, USA, 2012. [Google Scholar] [CrossRef]
- Biswas, S.; Chatterjee, A.; Sen, P. Disorder induced phase transition in kinetic models of opinion dynamics. Physica A 2012, 391, 3257–3265. [Google Scholar] [CrossRef]
- Stauffer, D. A biased review of sociophysics. J. Stat. Phys. 2013, 151, 9–20. [Google Scholar] [CrossRef]
- Sen, P.; Chakrabarti, B.K. Sociophysics: An Introduction; Oxford University Press: New York, NY, USA, 2013. [Google Scholar]
- Noorazar, H. Recent advances in opinion propagation dynamics: A 2020 survey. Eur. Phys. J. Plus 2020, 135, 521. [Google Scholar] [CrossRef]
- Galam, S.; Mod, I.J. The Trump phenomenon: An explanation from sociophysics. Int. J. Mod. Phys. B 2017, 31, 1742015. [Google Scholar] [CrossRef]
- Ising, E. Beitrag zur Theorie des Ferromagnetismus. Z. Phys. 1925, 31, 235–258. [Google Scholar] [CrossRef]
- Ising, E. Contribution to the Theory of Ferromagnetism. Available online: https://www.hs-augsburg.de/~harsch/anglica/Chronology/20thC/Ising/isi_intr.html (accessed on 29 July 2023).
- Baxter, R.J. Exactly Solved Models in Statistical Mechanics; Academic Press: London, UK, 1982. [Google Scholar]
- de Oliveira, M.J. Isotropic majority-vote model on a square lattice. J. Stat. Phys. 1992, 66, 273–281. [Google Scholar] [CrossRef]
- Lima, F.W.S.; Plascak, J.A. Magnetic models on various topologies. J. Phys. Conf. Ser. 2014, 487, 012011. [Google Scholar] [CrossRef]
- Alencar, D.S.M.; Alves, T.F.A.; Alves, G.A.; Macedo-Filho, A.; Ferreira, R.S.; Lima, F.W.S.; Plascak, J.A. Opinion dynamics systems on Barabási-Albert networks: Biswas–Chatterjee–Sen model. Entropy 2023, 25, 183. [Google Scholar] [CrossRef] [PubMed]
- Biswas, S.; Chatterjee, A.; Sen, P.; Mukherjee, S.; Chakrabarti, B.K. Social dynamics through kinetic exchange: The BChS model. Front. Phys. 2023, 11, 1196745. [Google Scholar] [CrossRef]
- Erez, T.; Hohnisch, M.; Solomon, S. Statistical economics on multi-variable layered networks. In Economics: Complex Windows; Salzano, M., Kirman, A., Eds.; Springer: Milan, Italy, 2005; pp. 201–217. [Google Scholar] [CrossRef]
- Goldenberg, J.; Shavitt, Y.; Shir, E.; Solomon, S. Distributive immunization of networks against viruses using the ‘honey-pot’ architecture. Nat. Phys. 2005, 1, 184–188. [Google Scholar] [CrossRef]
- Malarz, K. Social phase transition in Solomon network. Int. J. Mod. Phys. C 2003, 14, 561–565. [Google Scholar] [CrossRef]
- Pȩkalski, A. Ising model on a small world network. Phys. Rev. E 2001, 64, 057104. [Google Scholar] [CrossRef] [PubMed]
- Herrero, C.P. Ising model in small-world networks. Phys. Rev. E 2002, 65, 066110. [Google Scholar] [CrossRef] [PubMed]
- Lima, F.W.S.; Sumour, M.A.; Moreira, A.A.; Araújo, A.D. majority-vote and BCS model on Complex Networks. Phys. A 2021, 571, 125834. [Google Scholar] [CrossRef]
- Lima, F.W.S.; Plascak, J.A. Kinetic models of discrete opinion dynamics on directed Barabási–Albert networks. Entropy 2019, 21, 942. [Google Scholar] [CrossRef]
- Raquel, M.T.S.A.; Lima, F.W.S.; Alves, T.F.A.; Alves, G.A.; Macedo-Filho, A.; Plascak, J.A. Non-equilibrium kinetic Biswas–Chatterjee–Sen model on complex networks. Physcial A 2022, 603, 127825. [Google Scholar] [CrossRef]
- Binder, K.; Heermann, D.W. Monte Carlo Simulation in Statistical Phyics: An Introduction; Springer: Berlin/Heidelberg, Germany, 2010. [Google Scholar] [CrossRef]
- Lima, F.W.S. Equilibrium and non-equilibrium models on Solomon networks. Int. J. Mod. Phys. C 2016, 28, 1650134. [Google Scholar] [CrossRef]
- Lima, F.W.S. Equilibrium and nonequilibrium models on Solomon networks with two square lattices. Int. J. Mod. Phys. C 2017, 28, 1750099. [Google Scholar] [CrossRef]
- Mukherjee, S.; Chatterjee, A. Disorder-induced phase transition in an opinion dynamics model: Results in two and three dimensions. Phys. Rev. E 2016, 94, 062317. [Google Scholar] [CrossRef] [PubMed]




| IM | MVM | BChS | |||
|---|---|---|---|---|---|
| 1D | 2D | 1D | 2D | 1D | 2D |
| 2.995(3) | 6.985(4) | 1.165(4) | 1.915(5) | 0.215(2) | 0.216(2) |
| Model | ||||
|---|---|---|---|---|
| Linear Chain (1D) | ||||
| IM [26] | ||||
| MVM [26] | ||||
| Square Lattice (2D) | ||||
| IM [27] | ||||
| MVM [27] | ||||
| Discrete Biswas–Chatterjee–Sen Model | ||
|---|---|---|
| Lattice or Network | Universality Class | Ref. |
| Fully connected | Mean field | [5] |
| Regular dimension-D | d-Dimensional IM | [28] |
| Apollonian | proper class | [22] |
| Barabási-Albert | Proper class | [15] |
| z-dependent exponents | ||
| Directed Barabási-Albert | MVM | [23] |
| z-dependent exponents | ||
| Erdös-Rènyi | Proper class | [24] |
| z-dependent exponents | ||
| Directed Erdös-Rènyi | Proper class | [24] |
| z-dependent exponents | ||
| Small world | either of | [24] |
| Erdös-Rènyi graphs | ||
| Solomon | Proper class | This paper |
| including IM and MVM | ||
| Continuum Biswas–Chatterjee–Sen model | ||
| Fully connected | Mean field | [5] |
| Regular dimension-D | d-Dimensional IM | [28] |
Disclaimer/Publisher’s Note: The statements, opinions and data contained in all publications are solely those of the individual author(s) and contributor(s) and not of MDPI and/or the editor(s). MDPI and/or the editor(s) disclaim responsibility for any injury to people or property resulting from any ideas, methods, instructions or products referred to in the content. |
© 2023 by the authors. Licensee MDPI, Basel, Switzerland. This article is an open access article distributed under the terms and conditions of the Creative Commons Attribution (CC BY) license (https://creativecommons.org/licenses/by/4.0/).
Share and Cite
Filho, E.A.; Lima, F.W.; Alves, T.F.A.; Alves, G.d.A.; Plascak, J.A. Opinion Dynamics Systems via Biswas–Chatterjee–Sen Model on Solomon Networks. Physics 2023, 5, 873-882. https://doi.org/10.3390/physics5030056
Filho EA, Lima FW, Alves TFA, Alves GdA, Plascak JA. Opinion Dynamics Systems via Biswas–Chatterjee–Sen Model on Solomon Networks. Physics. 2023; 5(3):873-882. https://doi.org/10.3390/physics5030056
Chicago/Turabian StyleFilho, Edmundo Alves, Francisco Welington Lima, Tayroni Francisco Alencar Alves, Gladstone de Alencar Alves, and Joao Antonio Plascak. 2023. "Opinion Dynamics Systems via Biswas–Chatterjee–Sen Model on Solomon Networks" Physics 5, no. 3: 873-882. https://doi.org/10.3390/physics5030056
APA StyleFilho, E. A., Lima, F. W., Alves, T. F. A., Alves, G. d. A., & Plascak, J. A. (2023). Opinion Dynamics Systems via Biswas–Chatterjee–Sen Model on Solomon Networks. Physics, 5(3), 873-882. https://doi.org/10.3390/physics5030056

