Abstract
Color transparency, the reduction of initial-state or final-state interactions in coherent nuclear processes, is a natural prediction of QCD (quantum chromodynamics) provided that small-sized or point-like configurations (PLCs) are formed in high-momentum transfer, high-energy, semi-exclusive processes. I use the Frankfurt-Miller-Strikman criteria for the existence of PLCs to show that the wave functions of light-front holographic QCD, as currently formulated, do not contain a PLC.
Color transparency is an amazing prediction of quantum chromodynamics (QCD) that initial-state and final-state interactions are reduced in reactions that are measured under very specific conditions. The usual situation is that when a strongly interacting particle hits a nucleus, it does not penetrate (with the same energy) in its motion all the way through the nucleus. The typical situation is that the intensity falls exponentially as , where is the cross-section, the nuclear density, and z is the distance traveled. However, coherent reactions (those in which the amplitude is added before squaring to make the cross-section) that occur at high-momentum transfer are predicted to be very different; see reviews [1,2,3,4]. According to QCD the effective cross-section can be much smaller than . This remarkable effect is a kind of quantum mechanical invisibility because the typical diffractive shadow of a nucleus is removed.
This phenomenon is based on three requirements:
- High-momentum transfer coherent reactions make point-like color-singlet objects, denoted as point-like configurations (PLCs). This statement was a prediction initially based on perturbative QCD (pQCD). For example, early pQCD calculations [5,6,7,8,9,10] of the pion elastic electromagnetic form factor were interpreted [11] to involve point-like configurations of quarks, meaning that the important regions of integration that contribute to the form factor are those in which the quark and anti-quark are very close together. The idea is that for the system to stay together when hit by a high-momentum virtual photon, the quark and anti-quark must be connected by the exchange of a high-momentum gluon, see Figure 1a. This idea is based on the ideas of perturbative QCD, but the validity of that version of QCD is not a necessary condition. Other strong interaction effects may also lead to the creation of a PLC.
Figure 1. High-momentum transfer reaction mechanisms. (a) A pQCD mechanism; other diagrams of the same order are not shown. (b) Initial state (top) and final state (bottom) in the Feynman mechanism. The final state overlaps well with the turned around version of the initial state. See text for detals. - Small objects have small cross-sections. It has been widely reported that the imaginary part of the forward scattering amplitude, f, of a rapidly moving color singlet object is proportional to the square of the transverse separation b between positive and negative color charges. Two-gluon exchange [12,13,14] provides the lowest-order perturbative contribution to f. The remarkable feature is that, in the limit that b approaches 0, the cross-section vanishes because the color singlet point particles do not exchange colored gluons; concisely, This result is caused by interference between emission by quarks of different colors in coherent processes. Coherence means that one adds amplitudes to obtain the scattering amplitude, which is then squared to obtain the cross-section. The cancellation, known as color cancellation, is the basic ingredient behind QCD factorization proofs and is used elsewhere [15] and not questioned.
- A PLC, once created, will expand as it moves. This is because a PLC is not an eigenstate of the Hamiltonian. The expansion effect is diminished if the PLC moves with sufficiently high momentum.
If all three requirements are satisfied for a given process, then the effects of color transparency will be evident in coherent nuclear reactions.
The second and third items are based on many calculations, many experiments, and the basic principles of quantum mechanics. The interesting dynamical question is the validity or lack thereof of the idea the PLCs are formed. This question is intimately connected with the origin of the hadronic-electromagnetic-form mechanism at high-momentum transfer. In the perturbative QCD mechanism, the large-momentum transfer is taken up by the exchange of high-momentum gluons. For this to occur, all of the partons must be at the same transverse spatial location. While it is natural to suppose that PLCs dominate coherent high-momentum transfer processes, it is not obvious that such dominance actually occurs [9,10,16]. A counter example is that the momentum transfer can involve only one single quark of high momentum; this is the Feynman mechanism (see also [17]). The spectator system does not shrink to a small size, and color transparency effects involving protons could not be expected to occur. References [17,18] obtained a reasonably valid relation between elastic and deep inelastic scattering. Another recent example that favors the Feynman mechanism is [19]. Feynman remarked that “if a system is made of three particles, the large behavior depends not on the singularity when just two come together, but rather when all three are on top of one another”. Furthermore, “such pictures are too simple and inadequate”.
Both the longitudinal and transverse structure of nucleons can be accessed by measuring generalized parton distributions (GPDs) [20], allowing the different mechanisms to be distinguished. It is known [21] that GPDs parameterize soft dynamics akin to the Feynman mechanism. Specific models of GPDs (see, e.g., [22]) also favor the Feynman mechanism. There are only two proposals for the mechanism responsible for high-momentum elastic reactions [23].
Frankfurt, Miller, and Strikman (FMS) introduced [24] a criterion to determine whether or not a given model of a hadronic wave function admits the existence of a PLC. They found that a PLC could arise from non-perturbative effects, as well as from perturbative QCD. The aim of this paper is to use the FMS criteria to see if the relativistic light-front (LF) wave functions obtained from LF holographic QCD (for review, see [25]) admit the existence of a PLC.
The first step is to discuss the FMS criterion. A PLC is originated via a hard interaction involving nucleons initially bound in a nucleus. As noted above, the soft interaction between the PLC and the surrounding medium is proportional to , the square of the transverse separation distance between constituents [12,13,14]. Here, where the constituents are labeled etc. in first-quantized notation. Consider a high-momentum transfer process on a nucleon. Denote the initial nucleon state as and the final state as , where p and q denote the initial proton momentum and the momentum transfer, respectively. Then, represent the high-momentum transfer operator as . With this notation, the form factor , with being the momentum transfer squared (), is given by
The key question is whether the state is a PLC that does not interact with the medium. The interaction with the surrounding medium is proportional to . The first-order term in the interaction is proportional to the matrix element . This term is small if the operator produces a PLC. The relevant comparison is with the form factor , which is the process amplitude in the absence of final-state interactions. Thus, FMS defined the quantity as
If , final-state interactions of normal magnitudes occur. If drops with increasing values of , then the model wave function is said to admit the existence of a PLC.
Now, I evaluate for wave functions obtained from holographic techniques used to represent relativistic LF wave functions; for review, see [25]. I briefly discuss that approach. LF quantization is a relativistic approach for describing the hadronic constituent structure. The simple LF vacuum allows a definition of the partonic content of a hadron in QCD [26]. In principle, the spectrum and LF wave functions of relativistic bound states are obtained from the eigenvalue equation , which is an infinite set of coupled integral equations; here is the LF Hamiltonian and M is the hadronic mass. The formalism provides a quantum-mechanical probabilistic interpretation of the structure of hadronic states in terms of their constituents at a fixed LF time , where and are the time and space components of the space-time four-vector [27]. The necessary integral equations [26] of the frame-independent LF Hamiltonian eigenvalue equation in four-dimensional space–time have not been solved. Instead, other methods and approximations [25] are necessary.
Neglecting quantum loops and quark masses, the relativistic bound-state equation for light hadrons has been approximately reduced to an effective LF Schrödinger equation. The invariant mass of the constituents is identified as a key dynamical variable, , which measures the separation of the partons within the hadron at equal LF time [28]. The result is an effective one-dimensional quantum field theory in which the complexities of the strong interaction dynamics are hidden in an effective potential, U.
It is remarkable that in the semiclassical approximation, described above, the LF Hamiltonian has a structure that matches exactly the eigenvalue equations in anti-de-Sitter (AdS) space [25]. This offers the possibility to explicitly connect the AdS wave function to the internal constituent structure of hadrons. In fact, one can obtain the AdS wave equations by starting from the semiclassical approximation to LF QCD in physical space–time. This connection yields a relation between the coordinate z of AdS space with the impact LF variable [28], thus giving the holographic variable z a precise definition and intuitive meaning in LF QCD.
LF holographic methods were originally introduced [29,30] by matching the electromagnetic current matrix elements in AdS space [31] with the corresponding expression derived from LF quantization in physical space–time [17,18]. It was also shown that one obtains an identical holographic mapping using the matrix elements of the energy–momentum tensor [32] by perturbing the AdS metric around its static solution [33], thus establishing a precise relation between wave functions in AdS space and the LF wave functions describing the internal structure of hadrons.
The LF wave functions that arise out of this LF holographic approach provide a new way to study old problems that require the use of relativistic-confining quark models. The study of the existence of a PLC by evaluating is an excellent example of such a problem.
I evaluate two examples. The first [30] is an early representation of the pion wave function as a quark–anti-quark system,
where is a constant phenomenologicaly chosen to reproduce meson spectra.
I use the normalization throughout this paper. The form factor is given by
and evaluation yields
with being the incomplete Gamma function. This form factor falls asymptotically as . The quantity is obtained by inserting a factor into the integrand:
The insertion represents the interaction with the surrounding medium.
Observe that cannot be obtained just by differentiating the form factor with respect to . This is because of the factor that appears in the exponential function. Evaluation of the integral over the transverse coordinates yields
The value of is infinite for all values of because of the divergence as x approaches unity. This shows that the simple wave function of Ref. [30] is not suitable for use in evaluating high-energy forward cross-sections for pion–nucleus interactions.
The model of Equation (3) is meant as a simple first illustration. It is merely an indication that can be very large. The next step is to use the more-detailed universal LF wave functions of Ref. [22]. This presents a universal description of generalized parton distributions, obtained from LF holographic QCD, and I use the wave functions of Ref. [22]. These are given as functions of the number of constituents of a Fock space component. Nucleon and pion valence quark distribution functions have been obtained in precise agreement with global fits. The model is defined by the quark distribution, , and the profile function, :
and The constant denotes a normalization factor that insures that . The value of the universal scale was fixed from the -meson mass: GeV [25,34]. The flavor-independent parameter a was determined to be . The u and d quark distributions of the proton are given by a linear superposition of and , while those of the pion are obtained from and . The relevant wave function is that of Ref. [22]:
where and are given by Equations (8) and (9).
The form factor for a given value of is given by
and , obtained by inserting a factor into the above integrand, is given by:
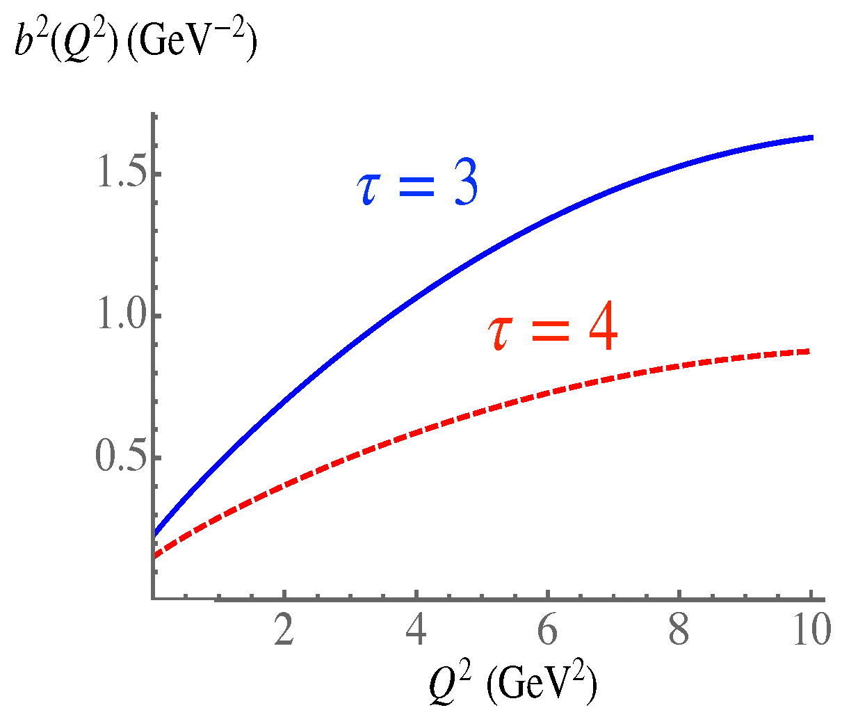
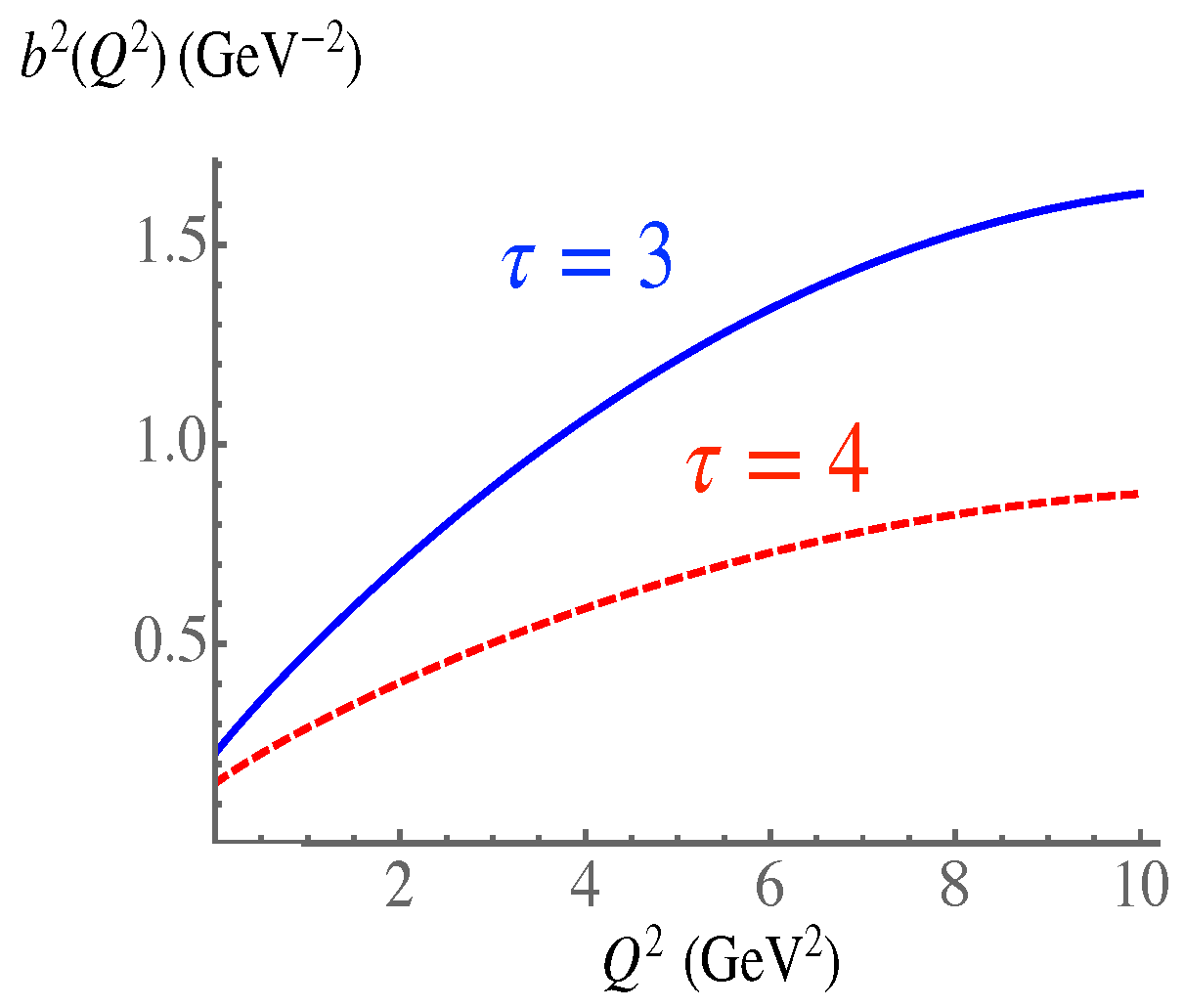
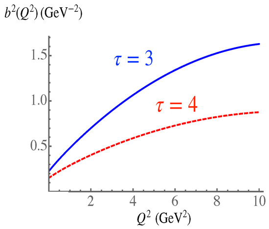
Thus, the same divergence that haunted the wave function of Equation (3) reappears for the more sophisticated wave function of Ref. [22]. The function for is shown in Figure 2.
Figure 2.
The function . The numbers refer to the value of , the number of constituents in the Fock state. See text for details.
Observe that rises with increasing values of , so that these wave functions do not admit the existence of PLCs. Furthermore, observe the surprising effect that constituents with a larger number of partons have smaller values of and, so, interact less strongly with a surrounding medium.
The summary of this study is that light-front holographic wave functions do not contain a PLC, so they do not predict the appearance of color transparency. This is consistent with the recent striking experimental finding [35] that color transparency does not occur in reactions with momentum transfer squared, , up to 14.2 GeV2. The present results show that these wave functions do not predict color transparency to occur disregarding any large value of . The wave functions are suitable for describing the soft dynamics involved in the time evolution of a wave packet [36].
I conclude this paper by commenting on the state of the data. No color transparency has been observed for the reaction [35], but hints have been seen in the [37] and [38] reactions. Furthermore, a massive signal [39] has been observed in the high-energy (500 GeV) nuclear-coherent dijet-production reaction [3]. The latter reaction is unique. The physics is different than the form factor physics discussed above because the final pionic state is not the ground-state wave function. Nevertheless, the clear interpretation is that a PLC is formed. A simple explanation is that it is easier for a quark–anti-quark system to form a PLC than for a three-quarks system to do so. Furthermore, the energy is large enough so that the effects of PLC expansion are not important. Future higher-energy and measurements that are free from the PLC expansion should observe the effects of color transparency.
Funding
This work was supported by the U.S. Department of Energy Office of Science, Office of Nuclear Physics under Award Number DE-FG02-97ER-41014.
Data Availability Statement
Not applicable.
Acknowledgments
I thank the organizers R. Dupre, D. Dutta, M. Sargsian, and M. Strikman of the 2021 Workshop on The Future of Color Transparency and Hadronization Studies at Jefferson Lab and Beyond for re-stimulating my interest in this subject. I thank S. J. Brodsky for making this paper necessary.
Conflicts of Interest
The author declares no conflict of interest.
References
- Frankfurt, L.L.; Miller, G.A.; Strikman, M. The Geometrical color optics of coherent high-energy processes. Ann. Rev. Nucl. Part. Sci. 1994, 44, 501–560. [Google Scholar] [CrossRef]
- Jain, P.; Pire, B.; Ralston, J.P. Quantum color transparency and nuclear filtering. Phys. Rep. 1996, 271, 67–179. [Google Scholar] [CrossRef] [Green Version]
- Ashery, D. High momentum diffractive processes and hadronic structure. Prog. Part. Nucl. Phys. 2006, 56, 279–339. [Google Scholar] [CrossRef]
- Dutta, D.; Hafidi, K.; Strikman, M. Color transparency: Past, present and future. Prog. Part. Nucl. Phys. 2013, 69, 1–27. [Google Scholar] [CrossRef] [Green Version]
- Farrar, G.R.; Jackson, D.R. The pion form factor. Phys. Rev. Lett. 1979, 43, 246–250. [Google Scholar] [CrossRef]
- Efremov, A.V.; Radyushkin, A.V. Factorization and asymptotical behavior of pion form-factor in QCD. Phys. Lett. B 1980, 94, 245–250. [Google Scholar] [CrossRef]
- Lepage, G.P.; Brodsky, S.J. Exclusive processes in quantum chromodynamics: The form-factors of baryons at large momentum transfer. Phys. Rev. Lett. 1979, 43, 545–549, Erratum in Phys. Rev. Lett. 1979, 43, 1625–1626. [Google Scholar] [CrossRef] [Green Version]
- Lepage, G.P.; Brodsky, S.J. Exclusive processes in quantum chromodynamics: Evolution equations for hadronic wave functions and the form-factors of mesons. Phys. Lett. B 1979, 87, 359–365. [Google Scholar] [CrossRef]
- Duncan, A.; Mueller, A.H. Asymptotic behavior of composite-particle form factors and the renormalization group. Phys. Rev. D 1980, 21, 1636–1650. [Google Scholar] [CrossRef]
- Duncan, A.; Mueller, A. Asymptotic behavior of exclusive and almost exclusive processes. Phys. Lett. B 1980, 90, 159–163. [Google Scholar] [CrossRef]
- Mueller, A.H. Topics in high-energy perturbative QCD including interactions with nuclear matter. In Proceedings of the 17th Rencontres de Moriond on Elementary Particle Physics: I. Electroweak Interactions and Grand Unified Theories, Les Arcs, France, 14–20 March 1982; Tran Than Van, J., Ed.; Editions Frontieres: Gif-Sur-Yvette, France, 1988; pp. 13–43. [Google Scholar]
- Low, F.E. Model of the bare Pomeron. Phys. Rev. D 1975, 12, 163–173. [Google Scholar] [CrossRef]
- Nussinov, S. Colored quark version of some hadronic puzzles. Phys. Rev. Lett. 1975, 34, 1286–1289. [Google Scholar] [CrossRef]
- Gunion, J.F.; Soper, D.E. Quark counting and hadron size effects for total cross-sections. Phys. Rev. D 1977, 15, 2617–2621. [Google Scholar] [CrossRef]
- Donnachie, S.; Dosch, G.; Landshoff, P.; Nachtmann, O. Pomeron Physics and QCD; Cambridge University Press: Cambridge, UK, 2002. [Google Scholar] [CrossRef]
- Feynman, R.P. Photon-Hadron Interactions; W. A. Benjamin, Inc.: Reading, MA, USA, 1972. [Google Scholar] [CrossRef]
- Drell, S.; Yan, T.M. Connection of elastic electromagnetic nucleon form-factors at large Q2 and deep inelastic structure functions near threshold. Phys. Rev. Lett. 1970, 24, 181–185. [Google Scholar] [CrossRef] [Green Version]
- West, G.B. Phenomenological model for the electromagnetic structure of the proton. Phys. Rev. Lett. 1970, 24, 1206–1209. [Google Scholar] [CrossRef]
- Radyushkin, A.V. Nonforward parton densities and soft mechanism for form factors and wide-angle Compton scattering in QCD. Phys. Rev. D 1998, 58, 114008. [Google Scholar] [CrossRef] [Green Version]
- Ji, X. Generalized parton distributions. Ann. Rev. Nucl. Part. Sci. 2004, 54, 413–450. [Google Scholar] [CrossRef] [Green Version]
- Diehl, M. Generalized parton distributions. Phys. Rep. 2003, 388, 41–277. [Google Scholar] [CrossRef] [Green Version]
- de Teramond, G.F.; Liu, T.; Sufian, R.S.; Dosch, H.G.; Brodsky, S.J.; Deur, A. Universality of generalized parton distributions in light-front holographic QCD. Phys. Rev. Lett. 2018, 120, 182001. [Google Scholar] [CrossRef] [Green Version]
- Belitsky, A.V.; Radyushkin, A.V. Unraveling hadron structure with generalized parton distributions. Phys. Rep. 2005, 418, 1–387. [Google Scholar] [CrossRef] [Green Version]
- Frankfurt, L.; Miller, G.; Strikman, M. Precocious dominance of point-like configurations in hadronic form-factors. Nucl. Phys. A 1993, 555, 752–764. [Google Scholar] [CrossRef]
- Brodsky, S.J.; de Teramond, G.F.; Dosch, H.G.; Erlich, J. Light-front holographic QCD and emerging confinement. Phys. Rep. 2015, 584, 1–105. [Google Scholar] [CrossRef] [Green Version]
- Brodsky, S.J.; Pauli, H.C.; Pinsky, S.S. Quantum chromodynamics and other field theories on the light cone. Phys. Rep. 1998, 301, 299–486. [Google Scholar] [CrossRef] [Green Version]
- Dirac, P.A. Forms of relativistic dynamics. Rev. Mod. Phys. 1949, 21, 392–399. [Google Scholar] [CrossRef] [Green Version]
- de Teramond, G.F.; Brodsky, S.J. Light-front holography: A first approximation to QCD. Phys. Rev. Lett. 2009, 102, 081601. [Google Scholar] [CrossRef] [Green Version]
- Brodsky, S.J.; de Teramond, G.F. Hadronic spectra and light-front wavefunctions in holographic QCD. Phys. Rev. Lett. 2006, 96, 201601. [Google Scholar] [CrossRef] [Green Version]
- Brodsky, S.J.; de Teramond, G.F. Light-front dynamics and AdS/QCD correspondence: The pion form factor in the space- and time-like regions. Phys. Rev. D 2008, 77, 056007. [Google Scholar] [CrossRef] [Green Version]
- Polchinski, J.; Strassler, M.J. Deep inelastic scattering and gauge/string duality. J. High Energy Phys. 2003, 2003, 12. [Google Scholar] [CrossRef] [Green Version]
- Brodsky, S.J.; de Teramond, G.F. Light-front dynamics and AdS/QCD correspondence: Gravitational form factors of composite hadrons. Phys. Rev. D 2008, 78, 025032. [Google Scholar] [CrossRef] [Green Version]
- Abidin, Z.; Carlson, C.E. Gravitational form factors of vector mesons in an AdS/QCD model. Phys. Rev. D 2008, 77, 095007. [Google Scholar] [CrossRef] [Green Version]
- Brodsky, S.J.; de Teramond, G.F.; Dosch, H.G.; Lorce, C. Universal effective hadron dynamics from superconformal algebra. Phys. Lett. B 2016, 759, 171–177. [Google Scholar] [CrossRef] [Green Version]
- Bhetuwal, D.; Matter, J.; Szumila-Vance, H.; Kabir, M.L.; Dutta, D.; Ent, R.; Abrams, D.; Ahmed, Z.; Aljawrneh, B.; Alsalmi, S.; et al. Ruling out color transparency in quasielastic 12C(e,e′p) up to Q2 of 14.2 (GeV/c)2. Phys. Rev. Lett. 2021, 126, 082301. [Google Scholar] [CrossRef] [PubMed]
- Caplow-Munro, O.; Miller, G.A. Color transparency and the proton form factor: Evidence for the Feynman mechanism. Phys. Rev. C 2021, 104, L012201. [Google Scholar] [CrossRef]
- Clasie, B.; Qian, X.; Arrington, J.; Asaturyan, R.; Benmokhtar, F.; Boeglin, W.; Bosted, P.; Bruell, A.; Christy, M.E.; Chudakov, E.; et al. Measurement of nuclear transparency for the A(e,e′π+) reaction. Phys. Rev. Lett. 2007, 99, 242502. [Google Scholar] [CrossRef] [Green Version]
- El Fassi, L.; Zana, L.; Hafidi, K.; Holtrop, M.; Mustapha, B.; Brooks, W.K.; Hakobyan, H.; Zhenga, X.; Adhikari, K.P.; Adikaram, D.; et al. [CLAS Collaboration]. Evidence for the onset of color transparency in ρ0 electroproduction off nuclei. Phys. Lett. B 2012, 712, 326–330. [Google Scholar] [CrossRef]
- Frankfurt, L.; Miller, G.A.; Strikman, M. Coherent nuclear diffractive production of mini-jets: Illuminating color transparency. Phys. Lett. B 1993, 304, 1–7. [Google Scholar] [CrossRef] [Green Version]
Publisher’s Note: MDPI stays neutral with regard to jurisdictional claims in published maps and institutional affiliations. |
© 2022 by the author. Licensee MDPI, Basel, Switzerland. This article is an open access article distributed under the terms and conditions of the Creative Commons Attribution (CC BY) license (https://creativecommons.org/licenses/by/4.0/).

