Highly Regioselective 1,3-Dipolar Cycloaddition of Nitrilimines and Thioaurones Towards Spiro-2-Pyrazolines: Synthesis, Characterization, and Mechanistic Study
Abstract
1. Introduction
2. Materials and Methods
2.1. Synthesis of Spiropyrazolines 3
2.2. Spectroscopic Data of the Synthetized Spiropyrazolines 3
2.2.1. 2′,4′,5′-Triphenyl-2′,4′-dihydro-3H-spiro[benzo[b]thiophene-2,3′-pyrazol]-3-one (3aa)
2.2.2. 4′-[4-Chlorophenyl]-2′,5′-diphenyl-2′,4′-dihydro-3H-spiro[benzo[b]thiophene-2,3′-pyrazol]-3-one (3ab)
2.2.3. 5′-[4-Methylphenyl]-2′,4′-diphenyl-2′,4′-dihydro-3H-spiro[benzo[b]thiophene-2,3′-pyrazol]-3-one (3ba)
2.2.4. 5′-[4-Chlorophenyl]-2′,4′-diphenyl-2′,4′-dihydro-3H-spiro[benzo[b]thiophene-2,3′-pyrazol]-3-one (3ca)
2.3. Computational Details
3. Results and Discussion
3.1. Synthesis
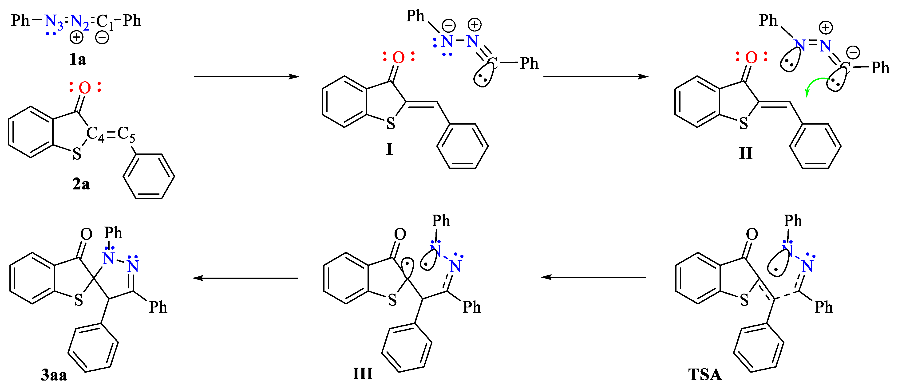
3.2. Mechanistic Study of 1,3-DC Reaction
3.2.1. ELF Topological Analysis of Reagents
3.2.2. Analysis of the CDFT Indexes
3.2.3. Reaction Profiles
3.2.4. ELF Topological Analysis of Intermediates
4. Conclusions
Supplementary Materials
Author Contributions
Funding
Data Availability Statement
Acknowledgments
Conflicts of Interest
References
- La Monica, G.; Alamia, F.; Bono, A.; Lauria, A.; Martorana, A. Scaffold-Hopping Strategies in Aurone Optimization: A Comprehensive Review of Synthetic Procedures and Biological Activities of Nitrogen and Sulfur Analogues. Molecules 2024, 29, 2813. [Google Scholar] [CrossRef]
- Zhang, Y.; Yu, A.; Jia, J.; Ma, S.; Li, K.; Wei, Y.; Meng, X. NaH Promoted [4+3] Annulation of Crotonate-Derived Sulfur Ylides with Thioaurones: Synthesis of 2,5-Dihydrobenzo[4,5]Thieno[3,2-b]Oxepines. Chem. Commun. 2017, 53, 10672–10675. [Google Scholar] [CrossRef] [PubMed]
- Ma, S.; Yu, A.; Zhang, L.; Meng, X. Phosphine-Catalyzed Domino Reaction of Thioaurones and Allenoate: Synthesis of Benzothiophene-Fused Dioxabicyclo[3.3.1]Nonane Derivatives. J. Org. Chem. 2018, 83, 5410–5419. [Google Scholar] [CrossRef]
- Ding, W.; Yu, A.; Zhang, L.; Meng, X. Construction of Eight-Membered Cyclic Diaryl Sulfides via Domino Reaction of Arynes with Thioaurone Analogues and DFT Study on the Reaction Mechanism. Org. Lett. 2019, 21, 9014–9018. [Google Scholar] [CrossRef]
- Bakhouch, M.; Es-Sounni, B.; Nakkabi, A.; Yazidi, M.E. Thioaurones: Recent Advances in Synthesis, Reactivity, and Biological Activity. Mini-Rev. Org. Chem. 2021, 18, 313–327. [Google Scholar] [CrossRef]
- Zaher, A.F.; Abuel-Maaty, S.M.; El-Nassan, H.B.; Amer, S.A.S.; Abdelghany, T.M. Synthesis, Antitumor Screening and Cell Cycle Analysis of Novel Benzothieno[3,2-b]Pyran Derivatives. J. Enzym. Inhib. Med. Chem. 2016, 31, 145–153. [Google Scholar] [CrossRef]
- Mouineer, A.; Zaher, A.; El-Malah, A.; Sobh, E.A.-F. Design, Synthesis, Antitumor Activity, Cell Cycle Analysis and ELISA Assay for Cyclin Dependant Kinase-2 of a New (4-Aryl-6-Flouro-4H-Benzo[4,5]Thieno[3,2-b]Pyran) Derivatives. Mediterr. J. Chem. 2017, 6, 165–179. [Google Scholar] [CrossRef]
- Zweig, J.E.; Newhouse, T.R. Isomer-Specific Hydrogen Bonding as a Design Principle for Bidirectionally Quantitative and Redshifted Hemithioindigo Photoswitches. J. Am. Chem. Soc. 2017, 139, 10956–10959. [Google Scholar] [CrossRef] [PubMed]
- Erdélyi, M.; Karlén, A.; Gogoll, A. A New Tool in Peptide Engineering: A Photoswitchable Stilbene-Type β-Hairpin Mimetic. Chem. A Eur. J. 2006, 12, 403–412. [Google Scholar] [CrossRef]
- Costa, A.L.; Gomes, A.C.; Pereira, R.C.; Pillinger, M.; Gonçalves, I.S.; Pineiro, M.; Seixas de Melo, J.S. Interactions and Supramolecular Organization of Sulfonated Indigo and Thioindigo Dyes in Layered Hydroxide Hosts. Langmuir 2018, 34, 453–464. [Google Scholar] [CrossRef] [PubMed]
- Koeppe, B.; Römpp, F. Reversible Spatial Control in Aqueous Media by Visible Light: A Thioindigo Photoswitch That Is Soluble and Operates Efficiently in Water. Chem. A Eur. J. 2018, 24, 14382–14386. [Google Scholar] [CrossRef] [PubMed]
- Konieczny, M.T.; Konieczny, W.; Okabe, S.; Tsujimoto, H.; Suda, Y.; Wierzba, K. Synthesis and Cytostatic Activity of 4,7-Dihydroxythioaurone Derivatives. Effect of B Ring Substitution on the Activity. Chem. Pharm. Bull. 2006, 54, 350–353. [Google Scholar] [CrossRef]
- Hallgas, B.; Patonay, T.; Kiss-Szikszai, A.; Dobos, Z.; Hollósy, F.; Erős, D.; Őrfi, L.; Kéri, G.; Idei, M. Comparison of Measured and Calculated Lipophilicity of Substituted Aurones and Related Compounds. J. Chromatogr. B 2004, 801, 229–235. [Google Scholar] [CrossRef]
- Lee, J.I. Novel Synthesis of Thioaurones by the Regioselective Cyclization of 1-(2-Benzylthio)Phenyl-3-Phenyl-2-Propyn-1-Ones Derived from Thiosalicylic Acid. Bull. Korean Chem. Soc. 2019, 40, 70–73. [Google Scholar] [CrossRef]
- Nguyen, T.B.; Retailleau, P. Cooperative Activating Effect of Tertiary Amine/DMSO on Elemental Sulfur: Direct Access to Thioaurones from 2′-Nitrochalcones under Mild Conditions. Org. Lett. 2018, 20, 186–189. [Google Scholar] [CrossRef] [PubMed]
- Konieczny, M.T.; Konieczny, W. Synthesis and Reactivity of Thioaurones over the Past One Hundered Years. ChemInform 2005, 36, 451–464. [Google Scholar] [CrossRef]
- Lee, J.I. Synthetic Approaches to (Z)-Thioaurones. Bull. Korean Chem. Soc. 2021, 42, 1210–1219. [Google Scholar] [CrossRef]
- In Lee, J. A Review of the Syntheses of (Thio)Flavones, 4-Quinolones, (Thio)Aurones, and Azaaurones from 2′-Substituted Alkynones. Bull. Korean Chem. Soc. 2021, 42, 1610–1623. [Google Scholar] [CrossRef]
- Gutti, G.; Kumar, D.; Paliwal, P.; Ganeshpurkar, A.; Lahre, K.; Kumar, A.; Krishnamurthy, S.; Singh, S.K. Development of Pyrazole and Spiropyrazoline Analogs as Multifunctional Agents for Treatment of Alzheimer’s Disease. Bioorganic Chem. 2019, 90, 103080. [Google Scholar] [CrossRef]
- Nunes, R.C.; Ribeiro, C.J.A.; Monteiro, Â.; Rodrigues, C.M.P.; Amaral, J.D.; Santos, M.M.M. In Vitro Targeting of Colon Cancer Cells Using Spiropyrazoline Oxindoles. Eur. J. Med. Chem. 2017, 139, 168–179. [Google Scholar] [CrossRef]
- Monteiro, Â.; Gonçalves, L.M.; Santos, M.M.M. Synthesis of Novel Spiropyrazoline Oxindoles and Evaluation of Cytotoxicity in Cancer Cell Lines. Eur. J. Med. Chem. 2014, 79, 266–272. [Google Scholar] [CrossRef]
- Ansari, A.; Ali, A.; Asif, M. Shamsuzzaman Review: Biologically Active Pyrazole Derivatives. New J. Chem. 2017, 41, 16–41. [Google Scholar] [CrossRef]
- Kumar, V.; Kaur, K.; Gupta, G.K.; Sharma, A.K. Pyrazole Containing Natural Products: Synthetic Preview and Biological Significance. Eur. J. Med. Chem. 2013, 69, 735–753. [Google Scholar] [CrossRef]
- Zeun, R.; Scalliet, G.; Oostendorp, M. Biological Activity of Sedaxane—A Novel Broad-Spectrum Fungicide for Seed Treatment. Pest Manag. Sci. 2013, 69, 527–534. [Google Scholar] [CrossRef] [PubMed]
- Britton, J.; Jamison, T.F. Synthesis of Celecoxib, Mavacoxib, SC-560, Fluxapyroxad, and Bixafen Enabled by Continuous Flow Reaction Modules. Eur. J. Org. Chem. 2017, 2017, 6566–6574. [Google Scholar] [CrossRef]
- Kang, S.; Song, B.; Wu, J.; He, M.; Hu, D.; Jin, L.; Zeng, S.; Xue, W.; Yang, S. Design, Synthesis and Insecticidal Activities of Novel Acetamido Derivatives Containing N-Pyridylpyrazole Carboxamides. Eur. J. Med. Chem. 2013, 67, 14–18. [Google Scholar] [CrossRef] [PubMed]
- Boddy, A.J.; Bull, J.A. Stereoselective Synthesis and Applications of Spirocyclic Oxindoles. Org. Chem. Front. 2021, 8, 1026–1084. [Google Scholar] [CrossRef]
- Altowyan, M.S.; Barakat, A.; Al-Majid, A.M.; Al-Ghulikah, H.A. Spiroindolone Analogues as Potential Hypoglycemic with Dual Inhibitory Activity on α-Amylase and α-Glucosidase. Molecules 2019, 24, 2342. [Google Scholar] [CrossRef]
- Farghaly, T.A.; Abbas, I.M.; Hassan, W.M.I.; Lotfy, M.S.; Al-Qurashi, N.T.; Hadda, T.B. Structure Determination and Quantum Chemical Analysis of 1,3-Dipolar Cycloaddition of Nitrile Imines and New Dipolarophiles and POM Analyses of the Products as Potential Breast Cancer Inhibitors. Russ. J. Org. Chem. 2020, 56, 1258–1271. [Google Scholar] [CrossRef]
- Yang, C.; Li, J.; Zhou, R.; Chen, X.; Gao, Y.; He, Z. Facile Synthesis of Spirooxindole-Pyrazolines and Spirobenzofuranone-Pyrazolines and Their Fungicidal Activity. Org. Biomol. Chem. 2015, 13, 4869–4878. [Google Scholar] [CrossRef]
- Raposo, L.R.; Silva, A.; Silva, D.; Roma-Rodrigues, C.; Espadinha, M.; Baptista, P.V.; Santos, M.M.M.; Fernandes, A.R. Exploiting the Antiproliferative Potential of Spiropyrazoline Oxindoles in a Human Ovarian Cancer Cell Line. Bioorganic Med. Chem. 2021, 30, 115880. [Google Scholar] [CrossRef]
- Dawood, K.M. Synthesis of Spiro-Pyrazole-3,3′-Thiopyrano[2,3-b]Pyridines and Azolo[a]Pyrido[2′,3′:5,6]Thiopyrano[3,4-d]Pyrimidines as New Ring Systems with Antifungal and Antibacterial Activities. J. Heterocycl. Chem. 2005, 42, 221–225. [Google Scholar] [CrossRef]
- Sadiq, Z.; Naz, S.; Hussain, E.A.; Aslam, U. Spiropyrazolines: A Worthy Insight into the Recent Strategies and Synthetic Applications. Lett. Org. Chem. 2019, 16, 357–391. [Google Scholar] [CrossRef]
- Shawali, A.S.; Abdelhamid, A.O. Synthesis of Spiro-Heterocycles via 1,3-Dipolar Cycloadditions of Nitrilimines to Exoheterocyclic Enones. Site-, Regio- and Stereo-Selectivities Overview. Curr. Org. Chem. 2012, 16, 2673–2689. [Google Scholar] [CrossRef]
- Boughaleb, A.; Al Houari, G.; Bennani, B.; Daoudi, M.; Garrigues, B.; Kerbal, A.; El Yazidi, M. Cycloaddition des N-Phényl-C-Arylnitrilimines sur des Dérivés de la 2-Benzylidènebenzo[b]tiophèn-3(2H)-One (Thioaurones). J. Soc. Chim. Tunisie 2010, 12, 109–115. [Google Scholar]
- Boughaleb, A.; Akhazzane, M.; Alhouari, G.; Bennani, B.; Daoudi, M.; Garrigues, B.; Kerbal, A. Cycloaddition Des Arylnitriloxydes Sur Des Dérivés de La 2-Benzylidènebenzo[b]Tiophen-3(2H)-One (Thioaurones). J. Soc. Chim. Tunisie 2011, 13, 117–122. [Google Scholar]
- Rhazi, Y.; Chalkha, M.; Nakkabi, A.; Hammoudan, I.; Akhazzane, M.; Bakhouch, M.; Chtita, S.; El Yazidi, M. Novel Quinazolinone–Isoxazoline Hybrids: Synthesis, Spectroscopic Characterization, and DFT Mechanistic Study. Chemistry 2022, 4, 969–982. [Google Scholar] [CrossRef]
- Chalkha, M.; Nour, H.; Chebbac, K.; Nakkabi, A.; Bahsis, L.; Bakhouch, M.; Akhazzane, M.; Bourass, M.; Chtita, S.; Bin Jardan, Y.A.; et al. Synthesis, Characterization, DFT Mechanistic Study, Antimicrobial Activity, Molecular Modeling, and ADMET Properties of Novel Pyrazole-Isoxazoline Hybrids. ACS Omega 2022, 7, 46731–46744. [Google Scholar] [CrossRef] [PubMed]
- Frisch, M.J.; Trucks, G.W.; Schlegel, H.B.; Scuseria, G.E.; Robb, M.A.; Cheeseman, J.R.; Scalmani, G.; Barone, V.; Mennucci, B.; Petersson, G.A.; et al. Gaussian 09; Gaussian Inc: Wallingford, CT, USA, 2009. [Google Scholar]
- Becke, A.D. Density-functional Thermochemistry. III. The Role of Exact Exchange. J. Chem. Phys. 1993, 98, 5648–5652. [Google Scholar] [CrossRef]
- Lee, C.; Yang, W.; Parr, R.G. Development of the Colle-Salvetti Correlation-Energy Formula into a Functional of the Electron Density. Phys. Rev. B 1988, 37, 785–789. [Google Scholar] [CrossRef] [PubMed]
- Parr, R.G.; Szentpály, L.v.; Liu, S. Electrophilicity Index. J. Am. Chem. Soc. 1999, 121, 1922–1924. [Google Scholar] [CrossRef]
- Domingo, L.R.; Pérez, P. The Nucleophilicity N Index in Organic Chemistry. Org. Biomol. Chem. 2011, 9, 7168–7175. [Google Scholar] [CrossRef] [PubMed]
- Domingo, L.R.; Pérez, P.; Sáez, J.A. Understanding the Local Reactivity in Polar Organic Reactions through Electrophilic and Nucleophilic Parr Functions. RSC Adv. 2013, 3, 1486–1494. [Google Scholar] [CrossRef]
- Lu, T.; Chen, F. Multiwfn: A Multifunctional Wavefunction Analyzer. J. Comput. Chem. 2012, 33, 580–592. [Google Scholar] [CrossRef]
- Bakhouch, M.; Houari, G.A.; Daoudi, M.; Kerbal, A.; Yazidi, M.E. Michael Addition of Active Methylene Compounds to (Z)-2-Arylidenebenzo[b]Thiophen-3(2H)-Ones. Mediterr. J. Chem. 2015, 4, 9–17. [Google Scholar] [CrossRef]
- Hassaneen, H.M.; Daboun, H.A.; Abdelhadi, H.A.; Abdel-reheim, N.A. Site Selectivity and Regiochemistry of Nitrilimines. Cycloadditions to 1,3-Diphenyl-2-Thiono-4-Imidazolidinone and Its 5-Phenylmethylene Derivatives. Phosphorus Sulfur Silicon Relat. Elem. 1995, 107, 269–273. [Google Scholar] [CrossRef]
- Kerbal, A.; Vebrel, J.; Roche, M.; Laude, B. Reaction of Diarylnitrilimines with 3-Arylidene-4-Isothiochromanones. A General Approach to the First Thiadiazaphenanthrene. Tetrahedron Lett. 1990, 31, 4145–4146. [Google Scholar] [CrossRef]
- Akkurt, M.; Yıldırım, S.Ö.; Badri, R.; Kerbal, A.; Hadda, T.B.; Büyükgüngör, O. 4-p-Anisyl-1,2′-Diphenyl-3-p-Tolyl-2′,3′-Dihydrospiro [2-Pyrazoline-5,3′-Isoquinolin]-4′(1′H)-One. Acta Crystallogr. Sect. E 2006, 62, o5022–o5023. [Google Scholar] [CrossRef]
- Dawood, K.M. Regio- and Stereoselective Synthesis of Bis-Spiropyrazoline-5,3′-Chroman(Thiochroman)-4-One Derivatives via Bis-Nitrilimines. Tetrahedron 2005, 61, 5229–5233. [Google Scholar] [CrossRef]
- Chalkha, M.; Bakhouch, M.; Akhazzane, M.; Bourass, M.; Nicolas, Y.; Al Houari, G.; El Yazidi, M. Design, Synthesis and Characterization of Functionalized Pyrazole Derivatives Bearing Amide and Sulfonamide Moieties from Aza-Aurones. J. Chem. Sci. 2020, 132, 86. [Google Scholar] [CrossRef]
- Ukaji, Y.; Soeta, T. Development of New Methods for The Construction of Heterocycles Based on Cycloaddition Reaction of 1,3-Dipoles. In Methods and Applications of Cycloaddition Reactions in Organic Syntheses; John Wiley & Sons, Ltd.: Hoboken, NJ, USA, 2014; pp. 263–282. ISBN 978-1-118-77817-3. [Google Scholar]
- Campeau, D.; Pommainville, A.; Gagosz, F. Ynamides as Three-Atom Components in Cycloadditions: An Unexplored Chemical Reaction Space. J. Am. Chem. Soc. 2021, 143, 9601–9611. [Google Scholar] [CrossRef]
- Ríos-Gutiérrez, M.; Domingo, L.R.; Ghodsi, F. Unveiling the Different Reactivity of Bent and Linear Three-Atom-Components Participating in [3 + 2] Cycloaddition Reactions. Organics 2021, 2, 274–286. [Google Scholar] [CrossRef]
- Deepthi, A.; Acharjee, N.; Sruthi, S.L.; Meenakshy, C.B. An Overview of Nitrile Imine Based [3+2] Cycloadditions over Half a Decade. Tetrahedron 2022, 116, 132812. [Google Scholar] [CrossRef]
- Tu, L.; Gao, L.; Wang, Q.; Cao, Z.; Huang, R.; Zheng, Y.; Liu, J. Substrate-Switched Chemodivergent Pyrazole and Pyrazoline Synthesis: [3 + 2] Cycloaddition/Ring-Opening Rearrangement Reaction of Azadienes with Nitrile Imines. J. Org. Chem. 2022, 87, 3389–3401. [Google Scholar] [CrossRef]
- Deng, Q.; Meng, X. Recent Advances in the Cycloaddition Reactions of 2-Benzylidene-1-Benzofuran-3-Ones, and Their Sulfur, Nitrogen and Methylene Analogues. Chem. Asian J. 2020, 15, 2838–2853. [Google Scholar] [CrossRef]
- Domingo, L.R. Molecular Electron Density Theory: A Modern View of Reactivity in Organic Chemistry. Molecules 2016, 21, 1319. [Google Scholar] [CrossRef] [PubMed]
- Ríos-Gutiérrez, M.; Domingo, L.R. Unravelling the Mysteries of the [3+2] Cycloaddition Reactions. Eur. J. Org. Chem. 2019, 2019, 267–282. [Google Scholar] [CrossRef]
- Becke, A.D.; Edgecombe, K.E. A Simple Measure of Electron Localization in Atomic and Molecular Systems. J. Chem. Phys. 1990, 92, 5397–5403. [Google Scholar] [CrossRef]
- Silvi, B.; Savin, A. Classification of Chemical Bonds Based on Topological Analysis of Electron Localization Functions. Nature 1994, 371, 683–686. [Google Scholar] [CrossRef]
- Ríos-Gutiérrez, M.; Domingo, L.R. The Carbenoid-Type Reactivity of Simplest Nitrile Imine from a Molecular Electron Density Theory Perspective. Tetrahedron 2019, 75, 1961–1967. [Google Scholar] [CrossRef]
- Domingo, L.R.; Ríos-Gutiérrez, M. A Molecular Electron Density Theory Study of the Reactivity of Azomethine Imine in [3+2] Cycloaddition Reactions. Molecules 2017, 22, 750. [Google Scholar] [CrossRef]
- Domingo, L.R.; Kula, K.; Ríos-Gutiérrez, M.; Jasiński, R. Understanding the Participation of Fluorinated Azomethine Ylides in Carbenoid-Type [3 + 2] Cycloaddition Reactions with Ynal Systems: A Molecular Electron Density Theory Study. J. Org. Chem. 2021, 86, 12644–12653. [Google Scholar] [CrossRef] [PubMed]
- Domingo, L.R.; Ríos-Gutiérrez, M.; Acharjee, N. A Molecular Electron Density Theory Study of the Lewis Acid Catalyzed [3+2] Cycloaddition Reactions of Nitrones with Nucleophilic Ethylenes. Eur. J. Org. Chem. 2022, 2022, e202101417. [Google Scholar] [CrossRef]
- Domingo, L.R.; Aurell, M.J.; Pérez, P.; Contreras, R. Quantitative Characterization of the Global Electrophilicity Power of Common Diene/Dienophile Pairs in Diels–Alder Reactions. Tetrahedron 2002, 58, 4417–4423. [Google Scholar] [CrossRef]
- Jaramillo, P.; Domingo, L.R.; Chamorro, E.; Pérez, P. A Further Exploration of a Nucleophilicity Index Based on the Gas-Phase Ionization Potentials. J. Mol. Struct. THEOCHEM 2008, 865, 68–72. [Google Scholar] [CrossRef]
- Domingo, L.R. A New C–C Bond Formation Model Based on the Quantum Chemical Topology of Electron Density. RSC Adv. 2014, 4, 32415–32428. [Google Scholar] [CrossRef]
- Bahsis, L.; Hrimla, M.; Ben El Ayouchia, H.; Anane, H.; Julve, M.; Stiriba, S.-E. 2-Aminobenzothiazole-Containing Copper(II) Complex as Catalyst in Click Chemistry: An Experimental and Theoretical Study. Catalysts 2020, 10, 776. [Google Scholar] [CrossRef]
- Domingo, L.R.; Ríos-Gutiérrez, M.; Aurell, M.J. Unveiling the Regioselectivity in Electrophilic Aromatic Substitution Reactions of Deactivated Benzenes through Molecular Electron Density Theory. New J. Chem. 2021, 45, 13626–13638. [Google Scholar] [CrossRef]










| HOMO | LUMO | µ | η | ω | N | |
|---|---|---|---|---|---|---|
| Nitrilimine (1a) | −5.35 | −1.69 | −3.53 | 3.66 | 1.70 | 3.76 |
| Thioaurone (2a) | −5.97 | −2.60 | −4.29 | 3.37 | 2.73 | 3.14 |
| Structures | I | II | TSA | III | 3aa |
|---|---|---|---|---|---|
| V(C1, N2) | 2.54 | 1.00 | 3.05 | 3.20 | 3.03 |
| V′(C1, N2) | 2.49 | 2.23 | - | - | - |
| V(C1) | 0.99 | 1.26 | - | - | - |
| V(N2) | - | 1.80 | 2.05 | 2.28 | 2.28 |
| V(N3) | 3.19 | 3.03 | 2.93 | 2.87 | 2.82 |
| V(C4) | 0.89 | ||||
| V(N2, N3) | 2.06 | 2.03 | 2.03 | 1.97 | 1.44 |
| V(C4, C5) | 3.27 | 3.17 | 2.69 | 2.29 | 1.89 |
| V′(C4, C5) | - | - | - | - | - |
| V(C1, C5) | - | - | 1.72 | 1.79 | 2.04 |
| V(N3, C4) | - | - | - | - | 1.69 |
Disclaimer/Publisher’s Note: The statements, opinions and data contained in all publications are solely those of the individual author(s) and contributor(s) and not of MDPI and/or the editor(s). MDPI and/or the editor(s) disclaim responsibility for any injury to people or property resulting from any ideas, methods, instructions or products referred to in the content. |
© 2024 by the authors. Licensee MDPI, Basel, Switzerland. This article is an open access article distributed under the terms and conditions of the Creative Commons Attribution (CC BY) license (https://creativecommons.org/licenses/by/4.0/).
Share and Cite
Bakhouch, M.; Es-Sounni, B.; Ouaddi, A.; Oudghiri, K.; Chalkha, M.; Bahsis, L.; Benali, T.; Bourass, M.; Fdil, R.; Akhazzane, M.; et al. Highly Regioselective 1,3-Dipolar Cycloaddition of Nitrilimines and Thioaurones Towards Spiro-2-Pyrazolines: Synthesis, Characterization, and Mechanistic Study. Reactions 2024, 5, 1066-1079. https://doi.org/10.3390/reactions5040056
Bakhouch M, Es-Sounni B, Ouaddi A, Oudghiri K, Chalkha M, Bahsis L, Benali T, Bourass M, Fdil R, Akhazzane M, et al. Highly Regioselective 1,3-Dipolar Cycloaddition of Nitrilimines and Thioaurones Towards Spiro-2-Pyrazolines: Synthesis, Characterization, and Mechanistic Study. Reactions. 2024; 5(4):1066-1079. https://doi.org/10.3390/reactions5040056
Chicago/Turabian StyleBakhouch, Mohamed, Bouchra Es-Sounni, Ayoub Ouaddi, Khaoula Oudghiri, Mohammed Chalkha, Lahoucine Bahsis, Taoufiq Benali, Mohamed Bourass, Rabiaa Fdil, Mohamed Akhazzane, and et al. 2024. "Highly Regioselective 1,3-Dipolar Cycloaddition of Nitrilimines and Thioaurones Towards Spiro-2-Pyrazolines: Synthesis, Characterization, and Mechanistic Study" Reactions 5, no. 4: 1066-1079. https://doi.org/10.3390/reactions5040056
APA StyleBakhouch, M., Es-Sounni, B., Ouaddi, A., Oudghiri, K., Chalkha, M., Bahsis, L., Benali, T., Bourass, M., Fdil, R., Akhazzane, M., & El Yazidi, M. (2024). Highly Regioselective 1,3-Dipolar Cycloaddition of Nitrilimines and Thioaurones Towards Spiro-2-Pyrazolines: Synthesis, Characterization, and Mechanistic Study. Reactions, 5(4), 1066-1079. https://doi.org/10.3390/reactions5040056

