Toluene Alkylation Reactions over Y-Type Zeolite Catalysts: An Experimental and Kinetic Study
Abstract
1. Introduction
2. Experimental
2.1. Chemicals and Catalyst
2.2. Catalyst Characterisation
2.3. Kinetics Experiments
3. Mathematical Model
3.1. Model Assumptions
- First-order reaction rate;
- Perfect mixing on the process side;
- Negligible residence time in the thermal jacket;
- Instantaneous thermal response times.
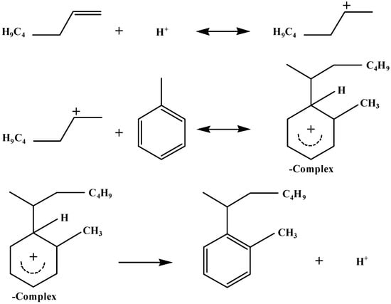
3.2. Mechanism of Alkylation Reaction
3.3. Modeling of Reaction Kinetics
3.4. Kinetic Parameters Estimation
4. Results and Discussions
4.1. Catalyst Properties
4.2. Alkylation of Toluene with 1-Heptene
4.2.1. Activity
4.2.2. Selectivity
4.2.3. Reliability and Reasonability
4.3. Kinetic Study
4.4. Deactivation Kinetic Modeling
5. Conclusions
Author Contributions
Funding
Data Availability Statement
Acknowledgments
Conflicts of Interest
Nomenclature
| Ci. | Molar concentration of species i (mol/m3) |
| EAj | Activation energy (kJ/mol) of jth reaction |
| Pre-exponential factor (mol/gmcat·min·m3) | |
| ki | ith reaction rate (kmol min−1) |
| R | Universal gas constant (kJ/mol·K) |
| ri | Rate of reaction (mol/gmcat·min) |
| Si,j | Stoichiometry of reaction |
| t | Time (min) |
| T | Temperature (K) |
| To | Reference temperature (K) |
| V | Volume of the reaction mixture (m3) |
| Wc | Weight of catalyst (gm) |
| y | Mole fraction |
| Catalyst activity (−) | |
| Subscript | |
| exp | Experiment |
| i | Component number |
| j | Reaction number |
| pred | Predicted |
| com | Component |
| N | Number |
References
- Al-Shathr, A.; Al-Zaidi, B.Y.; Shehab, A.K.; Shakoor, Z.M.; Aal-Kaeb, S.; Gomez, L.Q.; Majdi, H.S.; Al-Shafei, E.N.; AbdulRazak, A.A.; McGregor, J. Experimental and kinetic studies of the advantages of coke accumulation over Beta and Mordenite catalysts according to the pore mouth catalysis hypothesis. Catal. Commun. 2023, 181, 106718. [Google Scholar] [CrossRef]
- Bayout, A.; Cammarano, C.; Medeiros-Costa, I.; Veryasov, G.; Hulea, V. Friedel–Crafts Alkylation of Toluene by Methyl Mercaptan: Effect of Topology and Acidity of Zeolite Catalysts. ACS Catal. 2024, 14, 3867–3877. [Google Scholar] [CrossRef]
- Wang, K.; Horlyck, J.; An, N.; Voutchkova-Kostal, A. Homogeneous vs. heterogeneous catalysts for acceptorless dehydrogenation of biomass-derived glycerol and ethanol towards circular chemistry. Green Chem. 2024, 26, 3546–3564. [Google Scholar] [CrossRef]
- Yadav, G.D.; Siddiqui, M.I.N.I. UDCaT-5: A Novel Mesoporous Superacid Catalyst in the Selective Synthesis of Linear Phenyldodecanes by the Alkylation of Benzene with 1-Dodecene. Ind. Eng. Chem. Res. 2009, 48, 10803–10809. [Google Scholar] [CrossRef]
- Misaki, S.; Takabatake, M.; Hasegawa, S.; Manaka, Y.; Chun, W.-J.; Motokura, K. Effect of Zeolites on the Alkylation of Aromatics with Alkanes using a Pd Nanoparticle/Solid Acid Cooperative Catalytic System. Green Carbon 2024, 2, 282–290. [Google Scholar] [CrossRef]
- Kong, F.; Li, G.; Wang, J.; Shi, Y.; Zhou, R. Promoting effect of acid sites in hierarchical porous Pt/ZSM-5 catalysts for low-temperature removal of VOCs. Appl. Surf. Sci. 2022, 606, 154888. [Google Scholar] [CrossRef]
- Ali, N.S.; Salih, I.K.; Harharah, H.N.; Majdi, H.S.; Salih, H.G.; Kalash, K.R.; Al-Shathr, A.; Al-Sudani, F.T.; Abdulrahman, M.A.; Alrubaye, J.M.; et al. Utilization of Loaded Cobalt onto MCM-48 Mesoporous Catalyst as a Heterogeneous Reaction in a Fixed Bed Membrane Reactor to Produce Isomerization Product from n-Heptane. Catalysts 2023, 13, 1138. [Google Scholar] [CrossRef]
- Zhang, H.; Samsudin, I.b.; Jaenicke, S.; Chuah, G.-K. Zeolites in catalysis: Sustainable synthesis and its impact on properties and applications. Catal. Sci. Technol. 2022, 12, 6024–6039. [Google Scholar] [CrossRef]
- Gomez, L.Q.; Shehab, A.K.; Al-Shathr, A.; Ingram, W.; Konstantinova, M.; Cumming, D.; McGregor, J. H2-free Synthesis of Aromatic, Cyclic and Linear Oxygenates from CO2. ChemCatChem 2020, 13, 647–658. [Google Scholar] [CrossRef]
- Da, Z.; Magnoux, P.; Guisnet, M. Liquid phase alkylation of toluene with 1-heptene over a HFAU zeolite: Evidence for transalkylation between toluene and non-desorbed products. Appl. Catal. A Gen. 1999, 182, 407–411. [Google Scholar] [CrossRef]
- Al-Zaidi, B.Y.; Al-Shathr, A.; Shehab, A.K.; Shakor, Z.M.; Majdi, H.S.; AbdulRazak, A.A.; McGregor, J. Hydroisomerisation and Hydrocracking of n-Heptane: Modelling and Optimisation Using a Hybrid Artificial Neural Network–Genetic Algorithm (ANN–GA). Catalysts 2023, 13, 1125. [Google Scholar] [CrossRef]
- Pérez-Botella, E.; Valencia, S.; Rey, F. Zeolites in Adsorption Processes: State of the Art and Future Prospects. Chem. Rev. 2022, 122, 17647–17695. [Google Scholar] [CrossRef] [PubMed]
- Al-Sultani, S.H.; Al-Shathr, A.; Al-Zaidi, B.Y. Aromatics Alkylated with Olefins Utilizing Zeolites as Heterogeneous Catalysts: A Review. Reactions 2024, 5, 900–927. [Google Scholar] [CrossRef]
- Zou, Q.; Lin, W.; Xu, D.; Wu, S.; Mondal, A.K.; Huang, F. Study the effect of zeolite pore size and acidity on the catalytic pyrolysis of Kraft lignin. Fuel Process. Technol. 2022, 237, 107467. [Google Scholar] [CrossRef]
- Li, R.; Xing, S.; Zhang, S.; Han, M. Effect of surface silicon modification of H-beta zeolites for alkylation of benzene with 1-dodecene. RSC Adv. 2020, 10, 10006–10016. [Google Scholar] [CrossRef]
- Hullfish, C.W.; Tan, J.Z.; Adawi, H.I.; Sarazen, M.L. Toward Intrinsic Catalytic Rates and Selectivities of Zeolites in the Presence of Limiting Diffusion and Deactivation. ACS Catal. 2023, 13, 13140–13150. [Google Scholar] [CrossRef]
- Cao, Y.; Kessas, R.; Naccache, C.; Ben Taarit, Y. Alkylation of benzene with dodecene. The activity and selectivity of zeolite type catalysts as a function of the porous structure. Appl. Catal. A Gen. 1999, 184, 231–238. [Google Scholar] [CrossRef]
- Khalil, M.; Al-Zaidi, B.Y.; Shakor, Z.M.; Hussein, S.J.; Al-Shathr, A. Experimental and Kinetic Study of the Catalytic Behavior of Sulfate-Treated Nanostructured Bifunctional Zirconium Oxide Catalysts in n-Heptane Hydroisomerization Reactions. ChemEngineering 2023, 7, 115. [Google Scholar] [CrossRef]
- Quintana-Gómez, L.; Connolly, M.; Shehab, A.K.; Al-Shathr, A.; McGregor, J. “Reverse combustion” of carbon dioxide in water: The influence of reaction conditions. Front. Energy Res. 2022, 10, 917943. [Google Scholar] [CrossRef]
- Ren, S.; Yang, F.; Tian, C.; Yue, Y.; Zou, W.; Hua, W.; Gao, Z. Selective Alkylation of Benzene with Methanol to Toluene and Xylene over H-ZSM-5 Zeolites: Impact of Framework Al Spatial Distribution. Catalysts 2023, 13, 1295. [Google Scholar] [CrossRef]
- Craciun, I.; Reyniers, M.-F.; Marin, G.B. Effects of acid properties of Y zeolites on the liquid-phase alkylation of benzene with 1-octene: A reaction path analysis. J. Mol. Catal. A Chem. 2007, 277, 1–14. [Google Scholar] [CrossRef]
- Sahebdelfar, S.; Kazemeini, M.; Khorasheh, F.; Badakhshan, A. Deactivation behavior of the catalyst in solid acid catalyzed alkylation: Effect of pore mouth plugging. Chem. Eng. Sci. 2002, 57, 3611–3620. [Google Scholar] [CrossRef]
- Prins, R. Eley–Rideal, the Other Mechanism. Top. Catal. 2018, 61, 714–721. [Google Scholar] [CrossRef]
- Craciun, I.; Reyniers, M.-F.; Marin, G.B. Liquid-phase alkylation of benzene with octenes over Y zeolites: Kinetic modeling including acidity descriptors. J. Catal. 2012, 294, 136–150. [Google Scholar] [CrossRef]
- Aslam, W.; Hossain, M.; Siddiqui, A.B.; Abussaud, B.; Al-Khattaf, S.S. Kinetics Modeling of Liquid Phase Alkylation of Benzene with Dodecene over Mordenite. Can. J. Chem. Eng. 2015, 93, 870–880. [Google Scholar] [CrossRef]
- de Almeida, J.G.; Dufaux, M.; Ben Taarit, Y.; Naccache, C. Effect of pore size and aluminium content on the production of linear alkylbenzenes over HY, H-ZSM-5 and H-ZSM-12 zeolites: Alkylation of benzene with 1-dodecene. Appl. Catal. A Gen. 1994, 114, 141–159. [Google Scholar] [CrossRef]
- Yadav, G.D.; Doshi, N.S. Synthesis of Linear Phenyldodecanes by the Alkylation of Benzene with 1-Dodecene over Non-Zeolitic Catalysts. Org. Process Res. Dev. 2002, 6, 263–272. [Google Scholar] [CrossRef]
- Tsai, T.-C.; Wang, I.; Li, S.-J.; Liu, J.-Y. Development of a green LAB process: Alkylation of benzene with 1-dodecene over mordenite. Green Chem. 2003, 5, 404–409. [Google Scholar] [CrossRef]
- Al-Shathr, A.; Shakor, Z.M.; Al-Zaidi, B.Y.; Majdi, H.S.; AbdulRazak, A.A.; Aal-Kaeb, S.; Shohib, A.A.; McGregor, J. Reaction Kinetics of Cinnamaldehyde Hydrogenation over Pt/SiO2: Comparison between Bulk and Intraparticle Diffusion Models. Int. J. Chem. Eng. 2022, 2022, 8303874. [Google Scholar] [CrossRef]
- Shakor, Z.M.; AbdulRazak, A.A.; Shuhaib, A.A. Optimization of process variables for hydrogenation of cinnamaldehyde to cinnamyl alcohol over a Pt/SiO2 catalyst using response surface methodology. Chem. Eng. Commun. 2021, 209, 827–843. [Google Scholar] [CrossRef]
- Magnoux, P.; Mourran, A.; Bernard, S.; Guisnet, M. Influence of the acidity and of the pore structure of zeolites on the alkylation of toluene by 1-heptene. Stud. Surf. Sci. Catal. 1997, 108, 107–114. [Google Scholar]
- Cadenas, M.; Bringué, R.; Fité, C.; Iborra, M.; Ramírez, E.; Cunill, F. Alkylation of toluene with 1-hexene over macroreticular ion-exchange resins. Appl. Catal. A Gen. 2014, 485, 143–148. [Google Scholar] [CrossRef][Green Version]
- Al-Karim, A.A.; Shakor, Z.M.; Al-Sheikh, F.; Anderson, W.A. Experimental and kinetic study of vacuum residue cracking over zirconium based catalysts. React. Kinet. Mech. Catal. 2022, 135, 847–865. [Google Scholar] [CrossRef]
- Al-Mubaiyedh, U.A.; Ali, S.A.; Al-Khattaf, S.S. Kinetic modeling of heavy reformate conversion into xylenes over mordenite-ZSM5 based catalysts. Chem. Eng. Res. Des. 2012, 90, 1943–1955. [Google Scholar] [CrossRef]
- Mathworks. Solve Nonstiff Differential Equations Medium Order Method-MATLAB ode45. 2024. Available online: https://www.mathworks.com/help/matlab/ref/ode45.html (accessed on 1 October 2024).
- Shakor, Z.M.; Ramos, M.J.; AbdulRazak, A.A. A detailed reaction kinetic model of light naphtha isomerization on Pt/zeolite catalyst. J. King Saud Univ. Eng. Sci. 2022, 34, 303–308. [Google Scholar] [CrossRef]
- Al-Shathr, A.; Shakor, Z.M.; Majdi, H.S.; AbdulRazak, A.A.; Albayati, T.M. Comparison between Artificial Neural Network and Rigorous Mathematical Model in Simulation of Industrial Heavy Naphtha Reforming Process. Catalysts 2021, 11, 1034. [Google Scholar] [CrossRef]
- Shakor, Z.; Abdulrazak, A.; Sukkar, K. A Detailed Reaction Kinetic Model of Heavy Naphtha Reforming. Arab. J. Sci. Eng. 2020, 45, 7361–7370. [Google Scholar] [CrossRef]
- Pagis, C.; Bouchy, C.; Dodin, M.; Martinez Franco, R.; Farrusseng, D.; Tuel, A. Hollow Y zeolite single crystals: Synthesis, characterization and activity in the hydroisomerization of n-hexadecane. Oil Gas Sci. Technol.-Rev. IFP Energ. Nouv. 2019, 74, 38. [Google Scholar] [CrossRef]
- Yin, H.; Zhou, T.; Liu, Y.; Chai, Y.; Liu, C. Synthesis of high-quality nanocrystalline zeolite Y using pseudoboehmite as aluminum source. J. Porous Mater. 2012, 19, 277–281. [Google Scholar] [CrossRef]
- Mekki, A.; Benmaati, A.; Mokhtar, A.; Hachemaoui, M.; Zaoui, F.; Habib Zahmani, H.; Sassi, M.; Hacini, S.; Boukoussa, B. Michael Addition of 1,3-Dicarbonyl Derivatives in the Presence of Zeolite Y as an Heterogeneous Catalyst. J. Inorg. Organomet. Polym. Mater. 2020, 30, 2323–2334. [Google Scholar] [CrossRef]
- Zhao, X.; Meng, X.; Shang, Y.; Song, Y.; Liu, R.; Wei, J.; Gong, Y.; Li, Z. Efficient assembly of hierarchical NaY aggregates by using an organosilane modified SDA. Microporous Mesoporous Mater. 2018, 264, 92–103. [Google Scholar] [CrossRef]
- Sang, S.; Liu, Z.; Tian, P.; Liu, Z.; Qu, L.; Zhang, Y. Synthesis of small crystals zeolite NaY. Mater. Lett. 2006, 60, 1131–1133. [Google Scholar] [CrossRef]
- Saleh, N.J.; Al-Zaidi, B.Y.S.; Sabbar, Z.M. A Comparative Study of Y Zeolite Catalysts Derived from Natural and Commercial Silica: Synthesis, Characterization, and Catalytic Performance. Arab. J. Sci. Eng. 2018, 43, 5819–5836. [Google Scholar] [CrossRef]
- Kaneko, K. Determination of pore size and pore size distribution: 1. Adsorbents and catalysts. J. Membr. Sci. 1994, 96, 59–89. [Google Scholar] [CrossRef]
- Milato, J.; França, R.; Marques, M. Pyrolysis of oil sludge from the offshore petroleum industry: Influence of different mesoporous zeolites catalysts to obtain paraffinic products. Environ. Technol. 2019, 42, 1013–1022. [Google Scholar] [CrossRef]
- Guisnet, M. “Coke” molecules trapped in the micropores of zeolites as active species in hydrocarbon transformations. J. Mol. Catal. A Chem. 2002, 182–183, 367–382. [Google Scholar] [CrossRef]
- Yuan, X.-D.; Park, J.-N.; Wang, J.; Lee, C.; Park, S.-E. Alkylation of benzene with 1- dodecene over usy zeolite catalyst: Effect of pretreatment and reaction conditions. Korean J. Chem. Eng. 2002, 19, 607–610. [Google Scholar] [CrossRef]
- Da, Z.; Magnoux, P.; Guisnet, M. Alkylation of toluene with 1-dodecene over HFAU zeolite. Deactivation and regeneration. Catal. Lett. 1999, 61, 203–206. [Google Scholar] [CrossRef]
- Cowley, M.; de Klerk, A.; Nel, R.J.J. Amylation of Toluene by Solid Acid Catalysis. Ind. Eng. Chem. Res. 2005, 44, 5535–5541. [Google Scholar] [CrossRef]
- Jae, J.; Tompsett, G.A.; Foster, A.J.; Hammond, K.D.; Auerbach, S.M.; Lobo, R.F.; Huber, G.W. Investigation into the shape selectivity of zeolite catalysts for biomass conversion. J. Catal. 2011, 279, 257–268. [Google Scholar] [CrossRef]
- Horňáček, M.; Hudec, P.; Smiešková, A.; Jakubík, T. Alkylation of Benzene with 1-Alkenes over Zeolite Y and Mordenite. Acta Chim. Slov. 2009, 2, 31–45. [Google Scholar]
- Ahmed, A.M.; Jarullah, A.T.; Abed, F.M.; Mujtaba, I.M. Modeling of an industrial naphtha isomerization reactor and development and assessment of a new isomerization process. Chem. Eng. Res. Des. 2018, 137, 33–46. [Google Scholar] [CrossRef]
- Shakor, Z.; Shafei, E. The mathematical catalyst deactivation models: A mini review. RSC Adv. 2023, 13, 22579–22592. [Google Scholar] [CrossRef] [PubMed]
- Gromotka, Z.; Yablonsky, G.; Ostrovskii, N.; Constales, D. Three-Factor Kinetic Equation of Catalyst Deactivation. Entropy 2021, 23, 818. [Google Scholar] [CrossRef]



















| Zeolite | SBET (m2/g) | Vtot (cm3/g) | Vmic (cm3/g) | Vmeso (cm3/g) | ) (nm) Horvath–Kowazoe | Si/Al (XRF) |
|---|---|---|---|---|---|---|
| Y | 817 | 0.387 | 0.349 | 0.038 | 0.71 | 3.5 ± 0.14 |
| Zeolite | Weak Acid Sites (mmol/g) | Strong Acid Sites (mmol/g) | Total Acid Amount (mmol/g) |
|---|---|---|---|
| Y | 0.53 (195 °C) | 0.79 (332 °C) | 1.32 |
| No. | Elementary Step | Aj (m3/gmcat·min) | Ej (kJ/mol) |
|---|---|---|---|
| 1 | 1,643,749.7 | 60.8 | |
| 2 | 735,149.2 | 120.2 | |
| 3 | 1,738,065.4 | 69.3 | |
| 4 | 4,541,511.5 | 71.7 | |
| 5 | 321.2 | 73.1 | |
| 6 | 493,594.3 | 172 | |
| 7 | 372,012.0 | 83.4 | |
| 8 | 841,221.5 | 332.1 | |
| 9 | 12,963.4 | 362.7 | |
| 10 | 43,144.0 | 346.6 | |
| 11 | 17,892.3 | 105.6 | |
| 12 | 267.4 | 93.9 | |
| 13 | 2028.5 | 55.9 |
Disclaimer/Publisher’s Note: The statements, opinions and data contained in all publications are solely those of the individual author(s) and contributor(s) and not of MDPI and/or the editor(s). MDPI and/or the editor(s) disclaim responsibility for any injury to people or property resulting from any ideas, methods, instructions or products referred to in the content. |
© 2024 by the authors. Licensee MDPI, Basel, Switzerland. This article is an open access article distributed under the terms and conditions of the Creative Commons Attribution (CC BY) license (https://creativecommons.org/licenses/by/4.0/).
Share and Cite
Al-Sultani, S.H.; Al-Shathr, A.; Al-Zaidi, B.Y. Toluene Alkylation Reactions over Y-Type Zeolite Catalysts: An Experimental and Kinetic Study. Reactions 2024, 5, 1042-1065. https://doi.org/10.3390/reactions5040055
Al-Sultani SH, Al-Shathr A, Al-Zaidi BY. Toluene Alkylation Reactions over Y-Type Zeolite Catalysts: An Experimental and Kinetic Study. Reactions. 2024; 5(4):1042-1065. https://doi.org/10.3390/reactions5040055
Chicago/Turabian StyleAl-Sultani, Samaa H., Ali Al-Shathr, and Bashir Y. Al-Zaidi. 2024. "Toluene Alkylation Reactions over Y-Type Zeolite Catalysts: An Experimental and Kinetic Study" Reactions 5, no. 4: 1042-1065. https://doi.org/10.3390/reactions5040055
APA StyleAl-Sultani, S. H., Al-Shathr, A., & Al-Zaidi, B. Y. (2024). Toluene Alkylation Reactions over Y-Type Zeolite Catalysts: An Experimental and Kinetic Study. Reactions, 5(4), 1042-1065. https://doi.org/10.3390/reactions5040055

