Use of Biosourced Molecules as Liquid Organic Hydrogen Carriers (LOHC) and for Circular Storage
Abstract
1. Introduction
- Storage capacity: The hydrogen-rich molecule in the pair is expected to have volumetric and gravimetric densities of about 56 kg/m3 and 6 wt.% or higher, respectively.
- Dehydrogenation enthalpy: it must be less than or in the range of 40–60 kJ/mol H2 to enable the reaction to be carried out below 200 °C and at near-atmospheric pressures. This is key to introducing the LOHC system into a heat integration plan where waste heat supplies the dehydrogenation requirement.
- Availability or ease of synthesis: LOHC pairs must be either widely available or easy to be synthesized, while also being inexpensive in order to satisfy economic constraints.
- Synergy with catalysts: The hydrogenation/dehydrogenation cycle must be able to be undertaken at low temperatures by means of a low-production-cost catalyst. Either heterogeneous or homogeneous (but especially for the latter), the activity and stability, separation and recycling must be favored by the LOHC pair.
- Material handling: it comprises a set of properties that facilitate the manipulation of the LOHC along the supply chain. The boiling point should be high enough (>300 °C) so the LOHC does not volatilize during dehydrogenation, implying an additional separation step prior to hydrogen utilization. The melting point should be low (<0 °C), avoiding possible solidification during storage and/or the use of solvents that ultimately reduce their storage capacity. Viscosity and eco-toxicity are considered to ease pumping during transport and storage and to avoid environmental and health hazards along the supply chain; these values are expected to be the same or lower than those of conventional fuels.
- LOHC and catalyst stability relative to the formation of undesired byproducts, either during the storage or hydrogenation cycles. The longer a LOHC pair works without losses or degradation, the more H2 delivery cycles it can undergo. Lower temperatures at dehydrogenation and an active and selective catalyst play a crucial role in extending the carrier’s lifespan.
- Gas uptake: This represents the rate at which hydrogen gas is released from the hydrogen-rich LOHC.
- Technology Readiness Level relative to its compatibility with the existing fuel and chemistry infrastructure of storage and transport and the maturity of its obtention process.
2. Circular Hydrogen Carriers
3. Alcohols
3.1. Primary and Secondary Alcohols
- Ethanol steam reforming (ESR): Conversion of a steam atmosphere into carbon dioxide and 6 moles of H2 per mol of ethanol [40]. However, this route is not of interest to the current work, as discussed previously.
- AAD: Alcohol dehydrogenation can yield ethyl acetate or acetaldehyde depending on the catalyst and reaction conditions (Figure 1). It can be extended for general primary and secondary alcohols and their corresponding hydrogen-lean ketones or esters, respectively.
- Mild reaction conditions are required for temperature (80–100 °C) and pressure (H2 from electrolyzers at low pressure).
- Turn over number (TON) is relatively constant after the high number of hydrogenation/dehy drogenation cycles.
- Stability, selectivity and reactivity, to avoid the over-formation of reaction products and allow catalyst reuse.
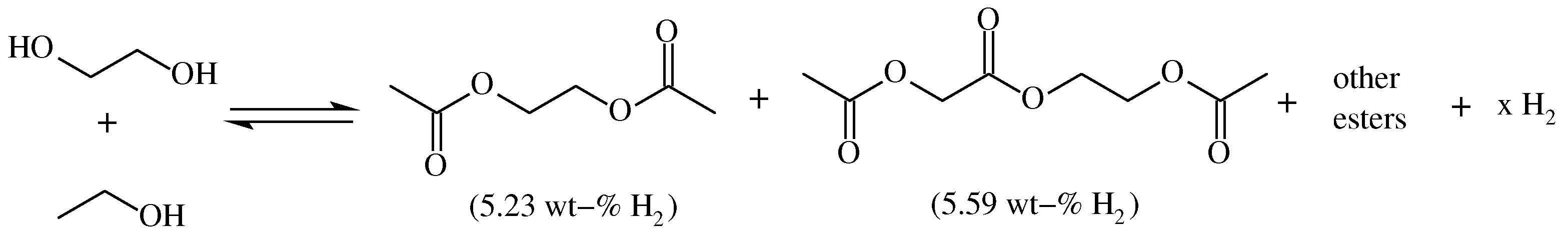
3.2. Polyols
3.3. Coupling with Alcohols
4. Amines
4.1. Amines and Diamines
4.2. Aminoalcohols
4.3. N-Heterocyclic Compounds
4.4. Coupling with Alcohols
5. Discussion
6. Conclusions
- Hydrogen production technology needs to be optimized to achieve higher yields and production capacities. Moreover, the development of LOHC fuel cells that allow direct utilization of a LOHC system would allow performing the dehydrogenation reactions at room temperature by reducing the O2 species inside the cell.
- Catalysts play a central role in this application, as they guarantee the selectivity (and thus the purity of the hydrogen), but also the time-efficacy of the process. Understanding the mechanisms to increase the kinetics of the process will bring it closer to its industrial-scale application.
- “Circular” organic hydrogen carriers require efficient carbon dioxide capture technologies in order to provide the hydrogen-lean molecule for the pair, but also to guarantee its circularity and sustainability.
- Thorough research on natural molecules may lead science to isolate potential candidates with a higher performance than any known LOHC at the time. A very efficient example of this was obtained from the Amaryllidaceae alkaloids, from which only two were analyzed in the presented work, but more than 500 exist only in this plant species. This fact shows the research potential in this regard.
- Technological tools are becoming involved in human personal and professional decisions since their calculation capacity is higher than ours. This is why it is recommended to use modeling software to determine potential candidates from biomass sources or biomass transformation that fulfill all LOHC criteria, reducing significantly the innovation time this (or any) topic is currently having. An example of this approach is presented in the work published by Paragian et al. [5], where they evaluated over 1 million molecules in a database and obtained 37 LOHC candidates at the end by conditioning their characteristics like minimum hydrogen storage capacity and dehydrogenation enthalpies, among others.
Author Contributions
Funding
Acknowledgments
Conflicts of Interest
References
- Niermann, M.; Beckendorff, A.; Kaltschmitt, M.; Bonhoff, K. Liquid Organic Hydrogen Carrier (LOHC)–Assessment based on chemical and economic properties. Int. J. Hydrogen Energy 2019, 44, 6631–6654. [Google Scholar] [CrossRef]
- Modisha, P.; Bessarabov, D. Aromatic liquid organic hydrogen carriers for hydrogen storage and release. Curr. Opin. Green Sustain. Chem. 2023, 42, 100820. [Google Scholar] [CrossRef]
- Li, L.; Vellayani Aravind, P.; Woudstra, T.; van den Broek, M. Assessing the waste heat recovery potential of liquid organic hydrogen carrier chains. Energy Convers. Manag. 2023, 276, 116555. [Google Scholar] [CrossRef]
- Valentini, F.; Marrocchi, A.; Vaccaro, L. Liquid Organic Hydrogen Carriers (LOHCs) as H-Source for Bio-Derived Fuels and Additives Production. Adv. Energy Mater. 2022, 12, 2103362. [Google Scholar] [CrossRef]
- Paragian, K.; Li, B.; Massino, M.; Rangarajan, S. A computational workflow to discover novel liquid organic hydrogen carriers and their dehydrogenation routes. Mol. Syst. Des. Eng. 2020, 5, 1658–1670. [Google Scholar] [CrossRef]
- Rao, P.; Yoon, M. Potential Liquid-Organic Hydrogen Carrier (LOHC) Systems: A Review on Recent Progress. Energies 2020, 13, 6040. [Google Scholar] [CrossRef]
- Abdin, Z.; Tang, C.; Liu, Y.; Catchpole, K. Large-scale stationary hydrogen storage via liquid organic hydrogen carriers. iScience 2021, 24, 102966. [Google Scholar] [CrossRef] [PubMed]
- Kim, C.; Lee, Y.; Kim, K.; Lee, U. Implementation of Formic Acid as a Liquid Organic Hydrogen Carrier (LOHC): Techno-Economic Analysis and Life Cycle Assessment of Formic Acid Produced via CO2 Utilization. Catalysts 2022, 12, 1113. [Google Scholar] [CrossRef]
- Preuster, P.; Albert, J. Biogenic Formic Acid as a Green Hydrogen Carrier. Energy Technol. 2018, 6, 501–509. [Google Scholar] [CrossRef]
- Shen, F.; Smith Jr., R.; Li, J.; Guo, H.; Zhang, X.; Qi, X. Critical assessment of reaction pathways for conversion of agricultural waste biomass into formic acid. Green Chem. 2021, 23, 1536–1561. [Google Scholar] [CrossRef]
- Chen, X.; Liu, Y.; Wu, J. Sustainable production of formic acid from biomass and carbon dioxide. Mol. Catal. 2020, 483, 110716. [Google Scholar] [CrossRef]
- Wang, C.; Chen, X.; Qi, M.; Wu, J.; Gözaydın, G.; Yan, N.; Zhong, H.; Jin, F. Room temperature, near-quantitative conversion of glucose into formic acid. Green Chem. 2019, 21, 6089–6096. [Google Scholar] [CrossRef]
- Sahoo, P.; Zhang, T.; Das, S. Oxidative Transformation of Biomass into Formic Acid. Eur. J. Org. Chem. 2021, 2021, 1331–1343. [Google Scholar] [CrossRef]
- Eppinger, J.; Huang, K.W. Formic Acid as a Hydrogen Energy Carrier. ACS Energy Lett. 2016, 2, 188–195. [Google Scholar] [CrossRef]
- Huang, Y.; Xu, J.; Ma, X.; Huang, Y.; Li, Q.; Qiu, H. An effective low Pd-loading catalyst for hydrogen generation from formic acid. Int. J. Hydrogen Energy 2017, 42, 18375–18382. [Google Scholar] [CrossRef]
- Zhong, H.; Iguchi, M.; Chatterjee, M.; Himeda, Y.; Xu, Q.; Kawanami, H. Formic Acid-Based Liquid Organic Hydrogen Carrier System with Heterogeneous Catalysts. Adv. Sustain. Syst. 2018, 2, 1700161. [Google Scholar] [CrossRef]
- Sahin, S.; Bayazit, S.S.; Bilgin, M.; Inci, I. Investigation of Formic Acid Separation from Aqueous Solution by Reactive Extraction: Effects of Extractant and Diluent. J. Chem. Eng. Data 2010, 55, 1519–1522. [Google Scholar] [CrossRef]
- Mungma, N.; Kienberger, M.; Siebenhofer, M. Reactive Extraction of Lactic Acid, Formic Acid and Acetic Acid from Aqueous Solutions with Tri-n-octylamine/1-Octanol/n-Undecane. ChemEngineering 2019, 3, 43. [Google Scholar] [CrossRef]
- Zeidan, H.; Marti, M.E. Selective and efficient separation of levulinic, acetic and formic acids from multi-acid solutions by adjusting process parameters. J. Water Process Eng. 2023, 56, 104299. [Google Scholar] [CrossRef]
- Karunanithi, S.; e, P.; Kapoor, A.; Delfino, P. Separation of Carboxylic Acids from Aqueous Solutions using Hollow Fiber Membrane Contactors. J. Membr. Sci. Res. 2019, 5, 233–239. [Google Scholar] [CrossRef]
- Garg, N.; Sarkar, A.; Sundararaju, B. Recent developments on methanol as liquid organic hydrogen carrier in transfer hydrogenation reactions. Coord. Chem. Rev. 2021, 433, 213728. [Google Scholar] [CrossRef]
- Gautam, P.; Neha; Upadhyay, S.; Dubey, S. Bio-methanol as a renewable fuel from waste biomass: Current trends and future perspective. Fuel 2020, 273, 117783. [Google Scholar] [CrossRef]
- Zentou, H.; Abidin, Z.Z.; Yunus, R.; Awang Biak, D.R.; Korelskiy, D. Overview of Alternative Ethanol Removal Techniques for Enhancing Bioethanol Recovery from Fermentation Broth. Processes 2019, 7, 458. [Google Scholar] [CrossRef]
- Feng, W.; Ji, P.; Chen, B.; Zheng, D. Analysis of Methanol Production from Biomass Gasification. Chem. Eng. Technol. 2011, 34, 307–317. [Google Scholar] [CrossRef]
- Shamsul, N.; Kamarudin, S.; Rahman, N.; Kofli, N. An overview on the production of bio-methanol as potential renewable energy. Renew. Sustain. Energy Rev. 2014, 33, 578–588. [Google Scholar] [CrossRef]
- Moioli, E.; Schildhauer, T. Eco-Techno-Economic Analysis of Methanol Production from Biogas and Power-to-X. Ind. Eng. Chem. Res. 2022, 61, 7335–7348. [Google Scholar] [CrossRef]
- Ferlin, F.; Valentini, F.; Marrocchi, A.; Vaccaro, L. Catalytic Biomass Upgrading Exploiting Liquid Organic Hydrogen Carriers (LOHCs). ACS Sustain. Chem. Eng. 2021, 9, 9604–9624. [Google Scholar] [CrossRef]
- Sun, S.; Jiang, Q.; Zhao, D.; Cao, T.; Sha, H.; Zhang, C.; Song, H.; Da, Z. Ammonia as hydrogen carrier: Advances in ammonia decomposition catalysts for promising hydrogen production. Renew. Sustain. Energy Rev. 2022, 169, 112918. [Google Scholar] [CrossRef]
- Kojima, Y.; Yamaguchi, M. Ammonia as a hydrogen energy carrier. Int. J. Hydrogen Energy 2022, 47, 22832–22839. [Google Scholar] [CrossRef]
- Babson, D.; Bellman, K.; Prakash, S.; Fennell, D. Anaerobic digestion for methane generation and ammonia reforming for hydrogen production: A thermodynamic energy balance of a model system to demonstrate net energy feasibility. Biomass Bioenergy 2013, 56, 493–505. [Google Scholar] [CrossRef]
- Papadias, D.; Peng, J.K.; Ahluwalia, R. Hydrogen carriers: Production, transmission, decomposition, and storage. Int. J. Hydrogen Energy 2021, 46, 24169–24189. [Google Scholar] [CrossRef]
- Kojima, Y. Hydrogen storage materials for hydrogen and energy carriers. Int. J. Hydrogen Energy 2019, 44, 18179–18192. [Google Scholar] [CrossRef]
- Pawelczyk, E.; Łukasik, N.; Wysocka, I.; Rogala, A.; Gębicki, J. Recent Progress on Hydrogen Storage and Production Using Chemical Hydrogen Carriers. Energies 2022, 15, 4964. [Google Scholar] [CrossRef]
- Catizzone, E.; Freda, C.; Braccio, G.; Frusteri, F.; Bonura, G. Dimethyl ether as circular hydrogen carrier: Catalytic aspects of hydrogenation/dehydrogenation steps. J. Energy Chem. 2021, 58, 55–77. [Google Scholar] [CrossRef]
- Yadav, V.; Sivakumar, G.; Gupta, V.; Balaraman, E. Recent Advances in Liquid Organic Hydrogen Carriers: An Alcohol-Based Hydrogen Economy. ACS Catal. 2021, 11, 14712–14726. [Google Scholar] [CrossRef]
- Bušić, A.; Marđetko, N.; Kundas, S.; Morzak, G.; Belskaya, H.; Ivančić Šantek, M.; Komes, D.; Novak, S.; Šantek, B. Bioethanol Production from Renewable Raw Materials and its Separation and Purification: A Review. Food Technol. Biotechnol. 2018, 56. [Google Scholar] [CrossRef]
- Gamage, J.; Lam, H.; Zhang, Z. Bioethanol Production from Lignocellulosic Biomass, A Review. J. Biobased Mater. Bioenergy 2010, 4, 3–11. [Google Scholar] [CrossRef]
- Rajeswari, S.; Baskaran, D.; Saravanan, P.; Rajasimman, M.; Rajamohan, N.; Vasseghian, Y. Production of ethanol from biomass–Recent research, scientometric review and future perspectives. Fuel 2022, 317, 123448. [Google Scholar] [CrossRef]
- Aditiya, H.B.; Mahlia, T.M.I.; Chong, W.T.; Nur, H.; Sebayang, A.H. Second generation bioethanol production: A critical review. Renew. Sustain. Energy Rev. 2016, 66, 631–653. [Google Scholar] [CrossRef]
- Sharma, Y.; Kumar, A.; Prasad, R.; Upadhyay, S. Ethanol steam reforming for hydrogen production: Latest and effective catalyst modification strategies to minimize carbonaceous deactivation. Renew. Sustain. Energy Rev. 2017, 74, 89–103. [Google Scholar] [CrossRef]
- Tran, B.; Johnson, S.; Brooks, K.; Autrey, S. Ethanol as a Liquid Organic Hydrogen Carrier for Seasonal Microgrid Application: Catalysis, Theory, and Engineering Feasibility. ACS Sustain. Chem. Eng. 2021, 9, 7130–7138. [Google Scholar] [CrossRef]
- Gao, D.; Feng, Y.; Yin, H.; Wang, A.; Jiang, T. Coupling reaction between ethanol dehydrogenation and maleic anhydride hydrogenation catalyzed by Cu/Al2O3, Cu/ZrO2, and Cu/ZnO catalysts. Chem. Eng. J. 2013, 233, 349–359. [Google Scholar] [CrossRef]
- Santacesaria, E.; Carotenuto, G.; Tesser, R.; Di Serio, M. Ethanol dehydrogenation to ethyl acetate by using copper and copper chromite catalysts. Chem. Eng. J. 2012, 179, 209–220. [Google Scholar] [CrossRef]
- Rana, J.; Sahoo, S.; Daw, P. Homogeneous first-row transition metal catalyst for sustainable hydrogen production and organic transformation from methanol, formic acid, and bio-alcohols. Tetrahedron 2021, 99, 132473. [Google Scholar] [CrossRef]
- Schubert, T. Production routes of advanced renewable C1 to C4 alcohols as biofuel components—A review. Biofuels Bioprod. Biorefining 2020, 14, 845–878. [Google Scholar] [CrossRef]
- Abo, B.; Gao, M.; Wang, Y.; Wu, C.; Wang, Q.; Ma, H. Production of butanol from biomass: Recent advances and future prospects. Environ. Sci. Pollut. Res. 2019, 26, 20164–20182. [Google Scholar] [CrossRef]
- Verevkin, S.P.; Siewert, R.; Pimerzin, A.A. Furfuryl alcohol as a potential liquid organic hydrogen carrier (LOHC): Thermochemical and computational study. Fuel 2020, 266, 117067. [Google Scholar] [CrossRef]
- D’ambra, F.; Faucheux, V.; Nicolas, E.; Silva Costa, R. Nouveaux Liquides Organiques Porteurs D’hydrogene, Leurs Utilisations Pour Le Transport Et Le Stockage D’hydrogene, Et Les Procedes De Generation D’hydrogene Les Utilisant. Patent WO2023006956, 2 February 2023. [Google Scholar]
- Jardim, I.N.; Oliveira, D.F.; Silva, G.H.; Campos, V.P.; de Souza, P.E. (E)-cinnamaldehyde from the essential oil of Cinnamomum cassia controls Meloidogyne incognita in soybean plants. J. Pest Sci. 2018, 91, 479–487. [Google Scholar] [CrossRef]
- Buck, K.T.; Boeing, A.J.; Dolfini, J.E. Method of Producing Benzaldehyde. Patent US4673766A, 16 June 1987. [Google Scholar]
- Ma, L.; Liu, X.; Liang, J.; Zhang, Z. Biotransformations of cinnamaldehyde, cinnamic acid and acetophenone with Mucor. World J. Microbiol. Biotechnol. 2011, 27, 2133–2137. [Google Scholar] [CrossRef]
- Zakzeski, J.; Bruijnincx, P.C.A.; Jongerius, A.L.; Weckhuysen, B.M. The Catalytic Valorization of Lignin for the Production of Renewable Chemicals. Chem. Rev. 2010, 110, 3552–3599. [Google Scholar] [CrossRef]
- Zhang, Y.; Liu, D.; Chen, Z. Production of C2–C4 diols from renewable bioresources: New metabolic pathways and metabolic engineering strategies. Biotechnol. Biofuels 2017, 10. [Google Scholar] [CrossRef] [PubMed]
- Xiu, Z.L.; Zeng, A.P. Present state and perspective of downstream processing of biologically produced 1,3-propanediol and 2,3-butanediol. Appl. Microbiol. Biotechnol. 2008, 78, 917–926. [Google Scholar] [CrossRef] [PubMed]
- Issariyakul, T.; Dalai, A. Biodiesel from vegetable oils. Renew. Sustain. Energy Rev. 2014, 31, 446–471. [Google Scholar] [CrossRef]
- Tomishige, K.; Nakagawa, Y.; Tamura, M. Production of Diols from Biomass. In Production of Platform Chemicals from Sustainable Resources; Springer: Singapore, 2017; pp. 343–373. [Google Scholar] [CrossRef]
- Pang, J.; Zheng, M.; Sun, R.; Song, L.; Wang, A.; Wang, X.; Zhang, T. Catalytic conversion of cellulosic biomass to ethylene glycol: Effects of inorganic impurities in biomass. Bioresour. Technol. 2015, 175, 424–429. [Google Scholar] [CrossRef] [PubMed]
- te Molder, T.; Kersten, S.; Lange, J.P.; Ruiz, M.P. Ethylene Glycol from Lignocellulosic Biomass: Impact of Lignin on Catalytic Hydrogenolysis. Ind. Eng. Chem. Res. 2021, 60, 7043–7049. [Google Scholar] [CrossRef]
- Chappaz, A.; Bengaouer, A. Use of Hydrogenated Organic Liquids, in Particular in Devices for Converting Energy. Patent EP3725738A1, 21 October 2020. [Google Scholar]
- Onoda, M.; Nagano, Y.; Fujita, K.i. Iridium-catalyzed dehydrogenative lactonization of 1,4-butanediol and reversal hydrogenation: New hydrogen storage system using cheap organic resources. Int. J. Hydrogen Energy 2019, 44, 28514–28520. [Google Scholar] [CrossRef]
- Mevawala, C.; Autrey, T.; Brooks, K.; Bowden, M.; Tran, B.; Müller, K. 1,4-Butanediol as a Hydrogen Carrier: Liquid- versus Gas-Phase Dehydrogenation. Energy Fuels 2022, 37, 560–566. [Google Scholar] [CrossRef]
- Hwang, D.W.; Kashinathan, P.; Lee, J.M.; Lee, J.H.; Lee, U.h.; Hwang, J.S.; Hwang, Y.K.; Chang, J.S. Production of γ-butyrolactone from biomass-derived 1,4-butanediol over novel copper-silica nanocomposite. Green Chem. 2011, 13, 1672–1675. [Google Scholar] [CrossRef]
- Nagaiah, P.; Venkat Rao, M.; Thirupathaiah, K.; Venkateshwarlu, V.; David Raju, B.; Rama Rao, K.S. Selective vapour phase dehydrogenation of biomass-derived 1,4-butanediol to gamma butyrolactone over Cu/ZrO2 catalysts: Influence of La2O3 promotor. Res. Chem. Intermed. 2018, 44, 5817–5831. [Google Scholar] [CrossRef]
- Patil, K.N.; Prasad, D.; Manoorkar, V.K.; Bhanushali, J.T.; Jadhav, A.H.; Nagaraja, B.M. Selective vapour-phase dehydrocyclization of biomass-derived 1,4-butanediol to γ-butyrolactone over Cu/ZnAl2O4-CeO2 catalyst. J. Ind. Eng. Chem. 2022, 106, 142–151. [Google Scholar] [CrossRef]
- Alagy, J.; Trambouze, P.J.L. Procede et Systeme de Recuperation d’Energie Pour Dispositif Consommateur de Dihydrogene. Patent FR3097218A1, 18 December 2020. [Google Scholar]
- Al-Auda, Z.; Li, X.; Hohn, K.L. Dehydrogenation of 2,3-Butanediol to Acetoin Using Copper Catalysts. Ind. Eng. Chem. Res. 2022, 61, 3530–3538. [Google Scholar] [CrossRef]
- Zou, Y.Q.; Von Wolff, N.; Anaby, A.; Xie, Y.; Milstein, D. Ethylene glycol as an efficient and reversible liquid-organic hydrogen carrier. Nat. Catal. 2019, 2, 415–422. [Google Scholar] [CrossRef]
- Zhou, Q.Q.; Zou, Y.Q.; Ben-David, Y.; Milstein, D. A Reversible Liquid-to-Liquid Organic Hydrogen Carrier System Based on Ethylene Glycol and Ethanol. Chem. Eur. J. 2020, 26, 15487–15490. [Google Scholar] [CrossRef]
- Gupta, N.; Reif, P.; Palenicek, P.; Rose, M. Toward Renewable Amines: Recent Advances in the Catalytic Amination of Biomass-Derived Oxygenates. ACS Catal. 2022, 12, 10400–10440. [Google Scholar] [CrossRef]
- Wu, Y.; Yuan, H.; Shi, F. Sustainable Catalytic Amination of Diols: From Cycloamination to Monoamination. ACS Sustain. Chem. Eng. 2018, 6, 1061–1067. [Google Scholar] [CrossRef]
- Müller, K. Acceptorless Dehydrogenation of Amines to Nitriles for Hydrogen Storage: Reality or Wishful Thinking? Energy Technol. 2022, 10, 2200468. [Google Scholar] [CrossRef]
- Grellier, M.; Sabo-Etienne, S. New Perspectives in Hydrogen Storage Based on RCH2NH2/RCN Couples. Dalton Trans. 2014, 43, 6283–6286. [Google Scholar] [CrossRef] [PubMed]
- Verevkin, S.; Konnova, M.; Zherikova, K.; Pimerzin, A. Sustainable hydrogen storage: Thermochemistry of amino-alcohols as seminal liquid organic hydrogen carriers. J. Chem. Thermodyn. 2021, 163, 106591. [Google Scholar] [CrossRef]
- Verevkin, S.; Andreeva, I.; Konnova, M.; Portnova, S.; Zherikova, K.; Pimerzin, A. Paving the way to the sustainable hydrogen storage: Thermochemistry of amino-alcohols as precursors for liquid organic hydrogen carriers. J. Chem. Thermodyn. 2021, 163, 106610. [Google Scholar] [CrossRef]
- Hu, P.; Fogler, E.; Diskin-Posner, Y.; Iron, M.; Milstein, D. A novel liquid organic hydrogen carrier system based on catalytic peptide formation and hydrogenation. Nat. Commun. 2015, 6, 6859. [Google Scholar] [CrossRef] [PubMed]
- Crabtree, R. Nitrogen-Containing Liquid Organic Hydrogen Carriers: Progress and Prospects. ACS Sustain. Chem. Eng. 2017, 5, 4491–4498. [Google Scholar] [CrossRef]
- Preuster, P.; Papp, C.; Wasserscheid, P. Liquid Organic Hydrogen Carriers (LOHCs): Toward a Hydrogen-free Hydrogen Economy. Accounts Chem. Res. 2016, 50, 74–85. [Google Scholar] [CrossRef]
- Brayton, D.F.; Jensen, C.M. Dehydrogenation of pyrrolidine based liquid organic hydrogen carriers by an iridium pincer catalyst, an isothermal kinetic study. Int. J. Hydrogen Energy 2015, 40, 16266–16270. [Google Scholar] [CrossRef]
- Ortiz-Cervantes, C.; Flores-Alamo, M.; García, J. Synthesis of pyrrolidones and quinolines from the known biomass feedstock levulinic acid and amines. Tetrahedron Lett. 2016, 57, 766–771. [Google Scholar] [CrossRef]
- Tang, C.; Fei, S.; Lin, G.D.; Liu, Y. Natural liquid organic hydrogen carrier with low dehydrogenation energy: A first principles study. Int. J. Hydrogen Energy 2020, 45, 32089–32097. [Google Scholar] [CrossRef]
- Forberg, D.; Schwob, T.; Zaheer, M.; Friedrich, M.; Miyajima, N.; Kempe, R. Single-catalyst high-weight% hydrogen storage in an N-heterocycle synthesized from lignin hydrogenolysis products and ammonia. Nat. Commun. 2016, 7, 13201. [Google Scholar] [CrossRef] [PubMed]
- Kumar, A.; Janes, T.; Espinosa-Jalapa, N.; Milstein, D. Selective Hydrogenation of Cyclic Imides to Diols and Amines and Its Application in the Development of a Liquid Organic Hydrogen Carrier. J. Am. Chem. Soc. 2018, 140, 7453–7457. [Google Scholar] [CrossRef] [PubMed]
- Hossain, S.S.; Ahmad Alwi, M.M.; Saleem, J.; Al-Odail, F.; Basu, A.; Mozahar Hossain, M. Recent Advances in Anode Electrocatalysts for Direct Formic Acid Fuel Cell-II-Platinum-Based Catalysts. Chem. Rec. 2022, 22, e202200156. [Google Scholar] [CrossRef] [PubMed]
- Hossain, S.S.; Saleem, J.; Mudassir Ahmad Alwi, M.; Al-Odail, F.A.; Mozahar Hossain, M. Recent Advances in Anode Electrocatalysts for Direct Formic Acid Fuel Cells–Part I–Fundamentals and Pd Based Catalysts. Chem. Rec. 2022, 22, e202200045. [Google Scholar] [CrossRef] [PubMed]
- Brodt, M.; Müller, K.; Kerres, J.; Katsounaros, I.; Mayrhofer, K.; Preuster, P.; Wasserscheid, P.; Thiele, S. The 2-Propanol Fuel Cell: A Review from the Perspective of a Hydrogen Energy Economy. Energy Technol. 2021, 9, 2100164. [Google Scholar] [CrossRef]
- Hauenstein, P.; Mangoufis-Giasin, I.; Seeberger, D.; Wasserscheid, P.; Mayrhofer, K.J.J.; Katsounaros, I.; Thiele, S. Impact of Catalyst Loading, Ionomer Content, and Carbon Support on the Performance of Direct Isopropanol Fuel Cells. J. Power Sources Adv. 2021, 10, 100064. [Google Scholar] [CrossRef]
- Aakko-Saksa, P.; Cook, C.; Kiviaho, J.; Repo, T. Liquid organic hydrogen carriers for transportation and storing of renewable energy–Review and discussion. J. Power Sources 2018, 396, 803–823. [Google Scholar] [CrossRef]
- Dong, Z.; Mukhtar, A.; Lin, H. Heterogeneous Catalysis on Liquid Organic Hydrogen Carriers. Top. Catal. 2021, 64, 481–508. [Google Scholar] [CrossRef]
- Mevawala, C.; Brooks, K.; Bowden, M.; Breunig, H.; Tran, B.; Gutiérrez, O.; Autrey, T.; Müller, K. The Ethanol–Ethyl Acetate System as a Biogenic Hydrogen Carrier. Energy Technol. 2022, 11, 2200892. [Google Scholar] [CrossRef]
- Ventura-Espinosa, D.; Marzá-Beltrán, A.; Mata, J. Catalytic Hydrogen Production by Ruthenium Complexes from the Conversion of Primary Amines to Nitriles: Potential Application as a Liquid Organic Hydrogen Carrier. Chem. Eur. J. 2016, 22, 17758–17766. [Google Scholar] [CrossRef]








| Chemical Route | Raw Material | Products | Yield | Conditions | Highlights | Refs. |
|---|---|---|---|---|---|---|
| Acid Hydrolysis of biomass | LCB | Levulinic Acid (LeA), 5-HMF, Acetic Acid (AA), FA, Lignin | 8.5% or lower | Acid catalyst, (e.g., HCl, p-TSA, H2SO4), T: around 180–240 °C | Low FA yield due to other products formation | [10,11] |
| Wet oxidation of biomass | LCB | FA, AA | Up to 29% from waste biomass, up to 91.3% from glucose | Oxidant (O2 or H2O2), Additive (NaOH or LiOH), T: <100–320 °C, P: 0.5 to 20 MPa | Difficult reaction with LCB, so pre-fractionation is recommended | [10,11,12] |
| Fast pyrolysis | Any type of biomass | Bio-oil (FA, AA, etc.): 50–80% Bio-char Bio-gas | 7–40% | Heating rate: 10 to 200 °C/s, Residence time: <5 s, T: 500–600 °C | High temperature favors FA yield. Purification of product is complicated. | [10] |
| HPAs-based catalytic oxidation systems | LCB, Algae | FA, CO2 | Cellulose: 1%, Hemicellulose: 33%, Lignin: 14% | Acid and oxidative catalyst, Oxidative agent (O2 or air), T: 80–160 °C, P: 6 to 50 bar O2 | Low temperatures make it attractive. | [9,11] |
| V-based catalytic systems | LCB | FA, AA, CO2 | 47–75% | Mineral acid + Vanadium species, Alcohol additive, T: 100–200 °C, P: 20 to 30 bar O2 | Addition of alcohol prevents FA decomposition into CO2 | [11,13] |
| Photocatalytic system | GLU | Formate or FA, Lactic acid (LA) | 10–40% | TiO2 or similar, Presence of O2 and alkali, UV or natural light, T: 25 °C | Technology is still immature. Interesting because of room P and T | [10,11,13] |
| Electrocatalysis | GLU, XYL | FA, AA, CO2 | Up to 38% | Alkaline medium., T: 25 °C | High efficiency and low T requirements | [10] |
| Chemical Route | Raw Material | Products | Yield | Conditions | Highlights | Refs. |
|---|---|---|---|---|---|---|
| 1. Gasification or Pyrolysis. 2. Methanol synthesis from syngas | Any type of Biomass | 1. Mainly syngas (H2 + CO) 2. Methanol + Water | 70% conversion of Syngas to Methanol | 1. T: 700–900 °C, moderate pressures of reactive gas 2. T: 200–400 °C, 80–300 bar, Cu-ZnO-based catalysts. | Energy intensive, catalyst dependent | [22,24,25] |
| 1. Anaerobic digestion (AD) 2. Methanol synthesis. Either by: (a) Reforming + Synthesis (b) CO2 hydrogenation | Any type of Biomass | 1. Mainly CO2 + CH4 (65–70%) 2. (a) Methanol and Water (b) Methanol and Methane | - | 1. T: 20–40 °C, P: atmospheric 2. (a) T: >800 °C, P: <5 bar. Steam addition, Ni-based catalysts. (b) T: 230–250 °C. Hydrogen addition (H2:CO2 = 4:1). Cu-ZnO-supported catalysts. | Economical, very mature technology for AD and FT synthesis. CH4 is not reactive in the 2.b.reaction conditions. This route is very thermodynamically hindered. | [25,26] |
| Indirect Liquefaction | Any type of Biomass | Bio-oil (containing methanol) | Dependent on CO2/CO. Not reported | T: 200–500 °C P: 5–20 bar | Low yields. Still immature and not economically feasible | [22] |
| Biosynthesis | Methane and Carbon dioxide from anaerobic digestion | Methanol-rich fermentation broth | Dependent on the bacterial strain. | Performed at the adequate conditions for Methanotrophs species (like Methylosinus trichosporium OB3b) to grow and be productive. | Main constraint is the transfer of gaseous substrate to liquid growth medium. Metabolic engineering efforts are needed. | [22,25] |
| Chemical Route | Raw Material | Products | Yield | Conditions | Highlights | Refs. |
|---|---|---|---|---|---|---|
| Transesterif. of triglycerides | Oil from oleaginous crops | Fatty acid, alkyl esters, Glycerol | 10% of biodiesel weight. 51 to 99.5 % for glycerol. | T: 25–120 °C Alcohol to oil ratio: 6:1 to 30:1. Basic or acid hom. catalyst | Well-known process in the biofuel industry. Variability in performance related to catalyst and alcohol chosen. | [55] |
| Glycerol hydrogenolysis | Glycerol | 1,3-propanediol, 1,2-propanediol, 1-propanol, 2-propanol, | 38%. 70% selectivity to 1,3-propanediol | T: 100 °C P: 80 bar H2 H2SO4 Ir-ReOX/SiO2 or Pt-based catalysts 4 h | Ir-ReOX/SiO2 proves to be the most effective catalyst in terms of yield and selectivity | [56] |
| Catalytic hydrogenolysis of biomass | (Ligno) Cellulosic biomass and H2 | Ethylene glycol and minor propylene glycol | 8 to 60% depending on source and impurities present. 50% conversion. | T: 245 °C P: 60 bar in Autoclave. Tungstic acid + Raney Ni as catalyst. | MCC and crude LCB behaved similarly | [57,58] |
| Biosynthesis via Fermentation by GM E. coli | One of the following: Glucose, D-Xylose, D-arabinose, L-lyxose, L-Arabinose, L-Fucose, L-rhamnose | Ethylene glycol, 1,3- or 1,2-propanediol, 1,4- or 2,3- or 1,3-butanediol | 0.09 to 0.48 g/g substrate | Genetically modified E. coli. Substrate. Temperature according to growth rate desired. | Based on the creation of new synthetic metabolic pathways in E. coli that allow the production of diols. | [53] |
| H2-Rich Form / (Liq. Range T (°C)) | H2-Lean Form / (Liq. Range T (°C)) | H2 Content wt-% (/L) | ΔH kJ/mol H2 | Dehyd. Temp. °C | Catalyst | Refs. |
|---|---|---|---|---|---|---|
| Formic Acid (FA) (8.4–100) | CO2 | 4.34 (53) | 31.2 | 25–90 | Het: Pt, Pd, Ag, Au, Ir and Rh on carbon or alumina. Hom: Ru, Rh, Ir, Fe organometallic | [14,16,87] |
| Methanol + H2O (0–65) | CO2 | 12.5 (99) | 16.5 | 100–420 | Hydrogenation: Cu-based Dehydrogenation: Ir-based or homogeneous | [1,21] |
| Ethanol (−114–79) | Ethyl Acetate (−84–77) | 4.3 (34.2) | 36.0 | 80–120 | Molecular catalysts: Ru-MACHO or Fe-based. Also heterogeneous but with lower performance. | [41,88,89] |
| Ethylene glycol (−13–197) | Esters | <6.5% | 38.5 | 100–150 | The high hydrogen storage capacity and the simplicity of the starting molecules make it interesting. | [67,68] |
| 1,4-butanediol (20–235) | -butyrolactone (−44–204) | 4.5 (46) | 43.2 (Liq.) | Het.: 150–250 Hom.: 150 | Het.: Cu Hom.: Ir | [59,60,61,62,63,64] |
| 2,3-butanediol (19–179) | 2,3-butanedione (−2–88) | 4.4 | - | Het.: 150–200 | Cu, Ni heterogeneous catalysts | [65] |
| 1,2-propanediol (−59–188) | pyruvaldehyde (−20–72) | 5.3 (53) | - | Het.: 150–200 | Cu, Ni heterogeneous catalysts | [65] |
| 1-cyclohexylethanol (?(−189)) | acetophenone (20–202) | 6.3 (58.5) | 66 | Pt | [48] | |
| Hexane-1,6-diamine (42–204) | 1,4-butanedinitrile | 6.9 (57.8) | 62.6 | 251 | Very thermodynamically hindered and thus impractical. Requires continuous removal of hydrogen from the media. | [71,90] |
| 2-ethanolamine (10–170) | piperazine-2,5-dione | 6.6 (66.1) | 24.2 | 135 | PNN Ruthenium pincer molecular catalysts | [73,74,75] |
| Pyrrolidine (−63–89) | Pyrrole (−23–130) | 5.6 (48.7) | ca. 60 | 130–160 | Ir-based pincer homogenous catalyst | [69,78] |
| Perhydro-phenazine | Phenazine (175–357) | 7.2 (90) | 50–60 | 180 | Pd2Ru/SiCN | [81] |
| H14-Trisphaeridine | Trisphaeridine | 5.9 (82.6) | 54 | 130 | Pd- or Ru-based organometallic | [80] |
| Ethylenediamine and 1,4-butanediol | Bis-cyclic imide | 6.7 (68.9) | - | 120–135 | Ru-based organometallic | [35,82] |
| Tetrahydro furfuryl alcohol (TFHA) (−120–178) | Furfuryl alcohol (−29–170) | 3.9 (41.2) | 76.9 | 325 | - | [47] |
Disclaimer/Publisher’s Note: The statements, opinions and data contained in all publications are solely those of the individual author(s) and contributor(s) and not of MDPI and/or the editor(s). MDPI and/or the editor(s) disclaim responsibility for any injury to people or property resulting from any ideas, methods, instructions or products referred to in the content. |
© 2024 by the authors. Licensee MDPI, Basel, Switzerland. This article is an open access article distributed under the terms and conditions of the Creative Commons Attribution (CC BY) license (https://creativecommons.org/licenses/by/4.0/).
Share and Cite
Bermudez Aponte, N.A.; Meille, V. Use of Biosourced Molecules as Liquid Organic Hydrogen Carriers (LOHC) and for Circular Storage. Reactions 2024, 5, 195-212. https://doi.org/10.3390/reactions5010008
Bermudez Aponte NA, Meille V. Use of Biosourced Molecules as Liquid Organic Hydrogen Carriers (LOHC) and for Circular Storage. Reactions. 2024; 5(1):195-212. https://doi.org/10.3390/reactions5010008
Chicago/Turabian StyleBermudez Aponte, Nelson Alexis, and Valérie Meille. 2024. "Use of Biosourced Molecules as Liquid Organic Hydrogen Carriers (LOHC) and for Circular Storage" Reactions 5, no. 1: 195-212. https://doi.org/10.3390/reactions5010008
APA StyleBermudez Aponte, N. A., & Meille, V. (2024). Use of Biosourced Molecules as Liquid Organic Hydrogen Carriers (LOHC) and for Circular Storage. Reactions, 5(1), 195-212. https://doi.org/10.3390/reactions5010008
