A Review of Finite Element Methods for Room Acoustics
Abstract
1. Introduction
- the determination of interior sound pressure levels caused by exterior sources of sound, e.g., traffic noise in bedrooms,
- the estimation of sound transmission between adjoining rooms,
- room mode analysis and the estimation of resonant frequencies and modal decay rates,
- the predicting of acoustical parameters, e.g., reverberation time, strength, or clarity,
- the design of listening rooms and reverberation chambers, and
- the simulation of acoustic spaces for auralization and virtual acoustics.
2. Finite Element Method
2.1. Wave Equation
2.2. Variational Formulation
2.3. Discretization
2.4. Solution
3. Modal Domain Solutions
3.1. Rigid-Walled Rooms
3.2. Example: A Room with Rigid Walls
3.3. Damped Rooms
3.4. Example: Two Rooms with Damped Walls
3.5. Modal Domain Summary
4. Frequency Domain Solutions
4.1. Direct Approach
4.2. Modal Approach
4.3. Example: Room Transfer Function
4.4. Frequency Domain Summary
5. Time Domain Solutions
5.1. Time-Stepping Approach
5.2. Modal Approach
5.3. Inverse Fourier Transform Approach
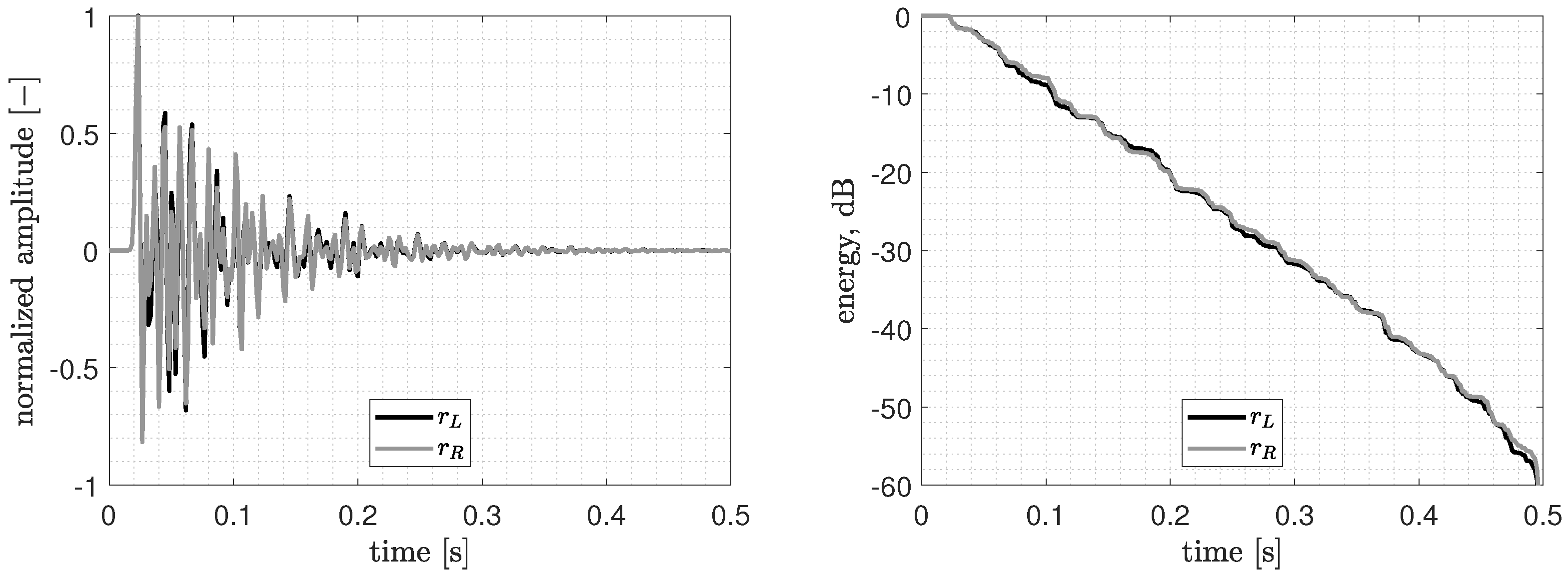
5.4. Example: Room Impulse Response
5.5. Time Domain Summary
6. Challenges and State-of-the-Art
6.1. Computational Cost
6.1.1. Iterative Solvers
6.1.2. Domain Decomposition
6.1.3. Discontinuous Galerkin Method
6.1.4. Reduced Basis
6.2. Pollution Effect
6.2.1. Modified Integration Rules
6.2.2. High-Order Methods
6.2.3. Partition of Unity FEM
6.3. Material Modeling
6.3.1. Uncertainty of Material Properties
6.3.2. Frequency-Dependent Materials
6.3.3. Extended Reaction Materials
6.4. Verification and Validation
7. Conclusions and Future Directions
- time-domain solutions, because they are faster and more convenient that frequency-domain solutions,
- dispersion reducing techniques, and higher-order approaches,
- the DGM, due to its accuracy, speed, and parallelizability, and
- ER models written using an EFM and ADEs.
Future Directions
Funding
Institutional Review Board Statement
Informed Consent Statement
Data Availability Statement
Conflicts of Interest
Abbreviations
| 1D | one dimensional |
| 2D | two dimensional |
| 3D | three dimensional |
| ADE | auxiliary differential equation |
| COCG | conjugate orthogonal conjugate gradient |
| CPU | central processing unit |
| DGM | discontinuous Galerkin method |
| DtN | Dirichlet-to-Neumann |
| EFM | equivalent fluid model |
| ER | extended reaction |
| FEM | finite element method |
| GPU | graphics processing unit |
| LR | local reaction |
| MIR | modified integration rules |
| PUFEM | partition of unity FEM |
References
- Gladwell, G. A finite element method for acoustics. In Proceedings of the Fifth International Conference on Acoustics, Liege, Belgium, 15–17 June 1965. [Google Scholar]
- Pierce, A.D. Acoustics—An Introduction to Its Physical Principles and Applications; ASA Press: Monroe, MI, USA, 2019. [Google Scholar]
- Astley, R.J. Handbook of Noise and Vibration Control: Numerical Acoustical Modeling (Finite Element Modeling); John Wiley & Sons, Inc.: Hoboken, NJ, USA, 1998; Chapter 7; pp. 101–115. [Google Scholar]
- Ho-Le, K. Finite element mesh generation methods: A review and classification. Comput. Aided Des. 1988, 20, 27–38. [Google Scholar] [CrossRef]
- Desmet, W.; Vandepitte, D. Finite Element Method in Acoustics. In Proceedings of the ISAAC 13—International Seminar on Applied Acoustics, Leuven, Belgium, 13–15 September 2002. [Google Scholar]
- Solin, P.; Segeth, K.; Dolezel, I. Higher-Order Finite Element Methods; Chapman and Hall/CRC: Boca Raton, FL, USA, 2004. [Google Scholar]
- Bathe, K.J. Finite Element Procedures, 2nd ed.; Klaus-Jurgen Bathe: Belmont, MA, USA, 2014; Chapter 5. [Google Scholar]
- Astley, R.J. Finite Elements in Solids and Structures; Chapman & Hall: Boca Raton, FL, USA, 1992. [Google Scholar]
- Ihlenburg, F.; Babuška, I. Finite element solution of the Helmholtz-equation with high wave-number.1. The h-version of the FEM. Comput. Math. Appl. 1995, 30, 9–37. [Google Scholar] [CrossRef]
- Ihlenburg, F. Finite Element Analysis of Acoustic Scattering; Springer-Verlag: New York, NY, USA, 1998. [Google Scholar]
- Thompson, L.L. A review of finite-element methods for time-harmonic acoustics. J. Acoust. Soc. Am. 2006, 119, 1315–1330. [Google Scholar] [CrossRef]
- Harari, I. A survey of finite element methods for time-harmonic acoustics. Comput. Methods Appl. Mech. Eng. 2006, 195, 1594–1607. [Google Scholar] [CrossRef]
- Sakuma, T.; Sakamoto, S.; Otsuru, T. Computational Simulation in Architectural and Environmental Acoustics; Springer: New York, NY, USA, 2014. [Google Scholar]
- Saad, Y. Numerical Methods for Large Eigenvalue Problems; Society for Industrial and Applied Mathematics: Philadelphia, PA, USA, 2011. [Google Scholar]
- Craggs, A. The Transient Response of Coupled Acousto-Mechanical Systems; Technical report CR1421; NASA: Washington, DC, USA, 1969. [Google Scholar]
- Craggs, A. The Transient Response of a Coupled Plate-Acoustic System using Plate and Acoustic Finite Elements. J. Sound Vib. 1971, 15, 509–528. [Google Scholar] [CrossRef]
- Morse, P.M. Vibration and Sound, 2nd ed.; McGraw-Hill: New York, NY, USA, 1948. [Google Scholar]
- Morse, P.; Ingard, K. Theoretical Acoustics; McGraw-Hill: New York, NY, USA, 1971. [Google Scholar]
- Craggs, A. The use of simple three-dimensional acoustic finite elements for determining the natural modes and frequencies of complex shaped enclosures. J. Sound Vib. 1972, 23, 331–339. [Google Scholar] [CrossRef]
- Craggs, A. An acoustic finite element approach for studying boundary flexibility and sound transmission between irregular enclosures. J. Sound Vib. 1973, 30, 242–357. [Google Scholar] [CrossRef]
- Shuku, T.; Ishihara, K. The analysis of the acoustic field in irregularly shaped rooms by the finite element method. J. Sound Vib. 1973, 29, 67–76. [Google Scholar] [CrossRef]
- Ihlenburg, F.; Babuška, I. Finite element solution to the Helmholtz equation with high wave number—part II: The hp-version of the FEM. SIAM J. Numer. Anal. 1996, 34, 315–358. [Google Scholar] [CrossRef]
- Bayliss, A.; Goldstein, C.I.; Turkel, E. On accuracy conditions for the numerical computation of waves. J. Comput. Phys. 1985, 59, 396–404. [Google Scholar] [CrossRef]
- Petyt, M.; Lea, J.; Koopmann, G. A finite element method for determining the acoustic modes of irregular shaped cavities. J. Sound Vib. 1976, 45, 495–502. [Google Scholar] [CrossRef]
- Petyt, M.; Koopmann, G.; Pinnington, R. The acoustic modes of a rectangular cavity containing a rigid, incomplete partition. J. Sound Vib. 1977, 53, 71–82. [Google Scholar] [CrossRef]
- MacNeal, R.H. A hybrid method of component mode synthesis. Comput. Struct. 1971, 1, 581–601. [Google Scholar] [CrossRef]
- Richards, T.; Jha, S. A simplified finite element method for studying acoustic characteristics inside a car cavity. J. Sound Vib. 1979, 63, 61–72. [Google Scholar] [CrossRef]
- Nefske, D.; Wolf, J.; Howell, L. Structural-acoustic finite element analysis of the automobile passenger compartment: A review of current practice. J. Sound Vib. 1982, 80, 247–266. [Google Scholar] [CrossRef]
- Milner, J.R.; Bernhard, R.J. An investigation of the modal characteristics of nonrectangular reverberation rooms. J. Acoust. Soc. Am. 1989, 85, 772–779. [Google Scholar] [CrossRef]
- Otsuru, T.; Tomiku, R. Basic characteristics and accuracy of acoustic element using spline function in finite element sound field analysis. J. Acoust. Soc. Jpn. 2000, 21, 87–95. [Google Scholar] [CrossRef]
- Papadopoulos, C. Redistribution of the low frequency acoustic modes of a room: A finite element-based optimisation method. Appl. Acoust. 2001, 62, 1267–1285. [Google Scholar] [CrossRef]
- Yuezhe, Z.; Shuoxian, W. Acoustic normal mode analysis for coupled rooms. In Proceedings of the 21st Audio Engineering Society Conference, St. Petersburg, Russia, 1–3 June 2002. [Google Scholar]
- Roozen, N.; Piana, E.; Deckers, E.; Scrosati, C. On the numerical modelling of reverberation rooms, including a comparison with experiments. In Proceedings of the 26th International Conference of Sound and Vibration, Montreal, Canada, 7–11 July 2019. [Google Scholar]
- Kuttruff, H. Room Acoustics, 6th ed.; Taylor & Francis: Abingdon, UK, 2017. [Google Scholar]
- Watson, W.; Lansing, D. A Comparison of Matrix Methods for Calculating Eigenvalues in Acoustically Lined Ducts; Technical Report; NASA: Washington, DC, USA, 1976. [Google Scholar]
- Craggs, A. A Finite Element Method for the Free Vibration of Air in Ducts and Rooms with Absorbing Walls. J. Sound Vib. 1994, 173, 568–576. [Google Scholar] [CrossRef]
- Easwaran, V.; Craggs, A. On further validation and use of the finite element method to room acoustics. J. Sound Vib. 1995, 187, 195–212. [Google Scholar] [CrossRef]
- Bermúdez, A.; Durán, R.G.; Rodríguez, R.; Solomin, J. Finite Element Analysis of a Quadratic Eigenvalue Problem Arising in Dissipative Acoustics. SIAM J. Numer. Anal. 2000, 38, 267–291. [Google Scholar] [CrossRef]
- Arnoldi, W.E. The principle of minimized iterations in the solution of the matrix eigenvalue problem. Quart. Appl. Math. 1951, 9, 17–29. [Google Scholar] [CrossRef]
- Larbi, W.; Deü, J.F.; Ohayon, R. A new finite element formulation for internal acoustic problems with dissipative walls. Int. J. Numer. Methods Eng. 2006, 68, 381–399. [Google Scholar] [CrossRef]
- Amestoy, P.R.; Duff, I.; L’Excellent, J.Y. MUltifrontal Massively Parallel sparse direct Solver. Available online: https://mumps-solver.org/index.php (accessed on 9 March 2023).
- Schenk, O. Available online: https://pardiso-project.org/ (accessed on 9 March 2023).
- Davis, T.A. Direct Methods for Sparse Linear Systems; SIAM: Philadelphia, PA, USA, 2006. [Google Scholar]
- Kagawa, Y.; Yamabuchi, T.; Mori, A. Finite element simulation of an axisymmetric acoustic transmission system with a sound absorbing wall. J. Sound Vib. 1977, 53, 357–374. [Google Scholar] [CrossRef]
- Joppa, P.; Fyfe, I. A finite element analysis of the impedance properties of irregular shaped cavities with absorptive boundaries. J. Sound Vib. 1978, 56, 61–69. [Google Scholar] [CrossRef]
- Craggs, A. Coupling of finite element acoustic absorption models. J. Sound Vib. 1979, 66, 605–613. [Google Scholar] [CrossRef]
- Craggs, A. A finite element model for acoustically lined small rooms. J. Sound Vib. 1986, 108, 327–337. [Google Scholar] [CrossRef]
- Delany, M.E.; Bazley, E.N. Acoustic properties of fibrous absorbent materials. Appl. Acoust. 1970, 3, 105–116. [Google Scholar] [CrossRef]
- Maluski, S.P.S.; Gibbs, B.M. Application of a finite-element model to low-frequency sound insulation in dwellings. J. Acoust. Soc. Am. 2000, 108, 1741–1751. [Google Scholar] [CrossRef]
- Tomiku, R.; Otsuru, T.; Takahashi, Y. Finite Element Sound Field Analysis of Diffuseness in Reverberation Rooms. J. Asian Archit. Build. Eng. 2002, 1, 33–39. [Google Scholar] [CrossRef]
- Naka, Y.; Oberai, A.; Shinn-Cunningham, B. The finite element method with the Dirichlet-to-Neumann map for sound-hard rectangular rooms. In Proceedings of the 18th International Conference on Acoustics, Kyoto, Japan, 4–9 April 2004. [Google Scholar]
- Naka, Y.; Oberai, A.A.; Shinn-Cunningham, B. Acoustic eigenvalues of rectangular rooms with arbitrary wall impedances using the interval Newton/generalized bisection method. J. Acoust. Soc. Am. 2005, 118, 3662–3671. [Google Scholar] [CrossRef]
- Vorländer, M. Simulation and auralization of broadband room impulse responses. In Proceedings of the Tecniacústica, Cadiz, Spain, 23–25 September 2009. [Google Scholar]
- Pelzer, S.; Aretz, M.; Vorländer, M. Quality assessment of room acoustic simulation tools by comparing binaural measurements and simulations in an optimized test scenario. In Proceedings of the Forum Acusticum, Aalborg, Denmark, 27 June–1 July 2011. [Google Scholar]
- Schroeder, M.R.; Kuttruff, K.H. On Frequency Response Curves in Rooms. Comparison of Experimental, Theoretical, and Monte Carlo Results for the Average Frequency Spacing between Maxima. J. Acoust. Soc. Am. 1962, 34, 76–80. [Google Scholar] [CrossRef]
- Aretz, M. Combined Wave and Ray Based Room Acoustic Simulations of Small Rooms. Ph.D. Thesis, RWTH, Aachen, Germany, 2012. [Google Scholar]
- Aretz, M.; Vorländer, M. Combined wave and ray based room acoustic simulations of audio systems in car passenger compartments, Part I: Boundary and source data. Appl. Acoust. 2014, 76, 82–99. [Google Scholar] [CrossRef]
- Aretz, M.; Vorländer, M. Combined wave and ray based room acoustic simulations of audio systems in car passenger compartments, Part II: Comparison of simulations and measurements. Appl. Acoust. 2014, 76, 52–65. [Google Scholar] [CrossRef]
- Dokmanić, I.; Vetterli, M. Room helps: Acoustic localization with finite elements. In Proceedings of the IEEE International Conference on Acoustics, Speech and Signal Processing, Kyoto, Japan, 25–30 March 2012. [Google Scholar]
- Kopuz, S.; Lalor, N. Analysis of interior acoustic fields using the finite element method and the boundary element method. Appl. Acoust. 1995, 45, 193–210. [Google Scholar] [CrossRef]
- Tomiku, R.; Otsuru, T.; Okamoto, N.; Kurogi, Y. Direct and modal frequency response analysis of sound fields in small rooms by finite element method. In Proceedings of the Acoustics, Reading, UK, 10–11 April 2008. [Google Scholar]
- Van der Vorst, H.A.; Melissen, J.B. A Petrov-Galerkin type method for solving Axk = b, where A is symmetric complex. IEEE Trans. Magn. 1990, 26, 706–708. [Google Scholar] [CrossRef]
- Newmark, N.M. A method of computation for structural dynamics. J. Eng. Mech. Div. 1959, 85, 67–94. [Google Scholar] [CrossRef]
- Hughes, T.J. The Finite Element Method: Linear Static and Dynamic Finite Element Analysis; Courier Corporation: Gloucester, MA, USA, 2012. [Google Scholar]
- Barrett, R.; Berry, M.; Chan, T.F.; Demmel, J.; Donato, J.; Dongarra, J.; Eijkhout, V.; Pozo, R.; Romine, C.; Van der Vorst, H. Templates for the Solution of Linear Systems: Building Blocks for Iterative Methods; SIAM: Philadelphia, PA, USA, 1994. [Google Scholar]
- Saad, Y. Iterative Methods for Sparse Linear Systems; SIAM: Philadelphia, PA, USA, 2003. [Google Scholar]
- Otsuru, T.; Uchida, T. A discussion on finite elemental analysis of sound field in rooms with sound absorbing materials. In Proceedings of the Fifth International Conference on Sound and Vibration, Adelaide, Australia, 15–18 December 1997. [Google Scholar]
- Murillo, D.M.; Fazi, F.M.; Astley, R.J. Room Acoustic Simulations Using the Finite Element Method and Diffuse Absorption Coefficients. Acta Acust. United Acust. 2019, 105, 231–239. [Google Scholar] [CrossRef]
- Otsuru, T.; Uchinoura, Y.; Tomiku, R.; Okamoto, N.; Takahashi, Y. Basic concept, accuracy and application of large-scale finite element sound field analysis of rooms. In Proceedings of the International Congress on Acoustics, Kyoto, Japan, 4–9 April 2004. [Google Scholar]
- Okuzono, T.; Otsuru, T.; Tomiku, R.; Okamoto, N.; Minokuchi, T. Speedup of Time Domain Finite Element Sound Field Analysis of Rooms. In Proceedings of the Internoise, Shanghai, China, 26–29 October 2008. [Google Scholar]
- Carey, G.; Barragy, E.; McLay, R.; Sharma, M. Element-by-element vector and parallel computations. Commun. Numer. 1988, 4, 299–307. [Google Scholar] [CrossRef]
- Okuzono, T.; Otsuru, T.; Tomiku, R.; Okamoto, N. Fundamental accuracy of time domain finite element method for sound-field analysis of rooms. Appl. Acoust. 2010, 71, 940–946. [Google Scholar] [CrossRef]
- Papadakis, N.; Stavroulakis, G. Validation of time domain finite element method via calculation of acoustic parameters in a reverberant space. In Proceedings of the 10th HSTAM International Congress on Mechanics, Chania, Greece, 25–27 May 2013. [Google Scholar]
- Papadakis, N.; Stavroulakis, G.E. Time domain finite element method for the calculation of impulse response of enclosed spaces. Room acoustics application. AIP Conf. Proc. 2015, 1703, 100002. [Google Scholar] [CrossRef]
- Chung, J.; Hulbert, G.M. A Time Integration Algorithm for Structural Dynamics with Improved Numerical Dissipation: The Generalized-α Method. J. Appl. Mech. 1993, 60, 371–375. [Google Scholar] [CrossRef]
- Okuzono, T.; Sakagami, K. A time-domain finite element model of permeable membrane absorbers. Acoust. Sci. Technol. 2016, 37, 46–49. [Google Scholar] [CrossRef]
- Sakuma, T.; Iwase, T.; Yasuoka, M. Prediction of sound fields in rooms with membrane materials: Development of a limp membrane element in acoustical FEM analysis and its application. J. Archit. Plann. Environ. Eng. 1998, 63, 1–8. [Google Scholar]
- Easwaran, V.; Craggs, A. Transient response of lightly damped rooms: A finite element approach. J. Acoust. Soc. Am. 1996, 99, 108–113. [Google Scholar] [CrossRef]
- Granier, E.; Kleiner, M.; Dalenbäck, B.; Svensson, P. Experimental Auralization of Car Audio Installations. J. Audio Eng. Soc. 1996, 44, 835–849. [Google Scholar]
- Aretz, M.; Nöthen, R.; Vorländer, M.; Schröder, D. Combined broadband impulse responses using FEM and hybrid ray-based methods. In Proceedings of the EAA Symposium on Auralization, Espoo, Finland, 15–17 June 2009. [Google Scholar]
- Prinn, A. On Computing Impulse Responses from Frequency-Domain Finite Element Solutions. J. Theor. Comput. Acoust. 2021, 29, 2050024. [Google Scholar] [CrossRef]
- Yatabe, K.; Sugahara, A. Convex-optimization-based post-processing for computing room impulse response by frequency-domain FEM. Appl. Acoust. 2022, 199, 108988. [Google Scholar] [CrossRef]
- Hargreaves, J.A. Time Domain Boundary Element Method for Room Acoustics. Ph.D. Thesis, University of Salford, Salford, UK, 2007. [Google Scholar]
- Bilbao, S. Modeling of Complex Geometries and Boundary Conditions in Finite Difference/Finite Volume Time Domain Room Acoustics Simulation. IEEE Trans. Audio Speech Language Process. 2013, 21, 1524–1533. [Google Scholar] [CrossRef]
- Hamilton, B. Finite Difference and Finite Volume Methods for Wave-based Modelling of Room Acoustic. Ph.D. Thesis, University of Edinburgh, Edinburgh, UK, 2016. [Google Scholar]
- Gumerov, N.A.; Duraiswami, R. Fast multipole accelerated boundary element methods for room acoustics. J. Acoust. Soc. Am. 2021, 150, 1707–1720. [Google Scholar] [CrossRef]
- Magolu monga Made, M. Performance of parallel incomplete LDLt factorizations for solving acoustic wave propagation problems from industry. Numer. Linear Algebra Appl. 2004, 11, 813–830. [Google Scholar] [CrossRef]
- Petersen, S.; Dreyer, D.; Von Estorff, O. Assessment of finite and spectral element shape functions for efficient iterative simulations of interior acoustics. Comput. Methods Appl. Mech. Eng. 2006, 195, 6463–6478. [Google Scholar] [CrossRef]
- Okamoto, N.; Tomiku, R.; Otsuru, T.; Yasuda, Y. Numerical analysis of large-scale sound fields using iterative methods part II: Application of Krylov subspace methods to finite element analysis. J. Comp. Acous. 2007, 15, 473–493. [Google Scholar] [CrossRef]
- Okuzono, T.; Yoshida, T.; Sakagami, K. Efficiency of room acoustic simulations with time-domain FEM including frequency-dependent absorbing boundary conditions: Comparison with frequency-domain FEM. Appl. Acoust. 2021, 182, 108212. [Google Scholar] [CrossRef]
- Lieu, A. High-Accuracy Methods for Frequency-Domain Flow Acoustics. Ph.D. Thesis, University of Southampton, Southampton, UK, 2019. [Google Scholar]
- Lieu, A.; Marchner, P.; Gabard, G.; Beriot, H.; Antoine, X.; Geuzaine, C. A non-overlapping Schwarz domain decomposition method with high-order finite elements for flow acoustics. Comput. Methods Appl. Mech. Eng. 2020, 369, 113223. [Google Scholar] [CrossRef]
- Yoshida, T.; Okuzono, T.; Sakagami, K. A Parallel Dissipation-Free and Dispersion-Optimized Explicit Time-Domain FEM for Large-Scale Room Acoustics Simulation. Buildings 2022, 12, 105. [Google Scholar] [CrossRef]
- Mehra, R.; Raghuvanshi, N.; Savioja, L.; Lin, M.C.; Manocha, D. An efficient GPU-based time domain solver for the acoustic wave equation. Appl. Acoust. 2012, 73, 83–94. [Google Scholar] [CrossRef]
- López, J.J.; Carnicero, D.; Ferrando, N.; Escolano, J. Parallelization of the finite-difference time-domain method for room acoustics modelling based on CUDA. Math. Comput. Model. 2013, 57, 1822–1831. [Google Scholar] [CrossRef]
- Spa, C.; Rey, A.; Hernández, E. A GPU Implementation of an Explicit Compact FDTD Algorithm with a Digital Impedance Filter for Room Acoustics Applications. IEEE/ACM Trans. Audio Speech Language Process. 2015, 23, 1368–1380. [Google Scholar] [CrossRef]
- Savioja, L. Real-Time 3D Finite-Difference Time-Domain Simulation of Low- and Mid-Frequency Room Acoustics. In Proceedings of the 13th International Conference on Digital Audio Effects (DAFx-10), Graz, Austria, 6–10 September 2010. [Google Scholar]
- Klöckner, A.; Warburton, T.; Bridge, J.; Hesthaven, J.S. Nodal discontinuous Galerkin methods on graphics processors. J. Comput. Phys. 2009, 228, 7863–7882. [Google Scholar] [CrossRef]
- Modave, A.; St-Cyr, A.; Warburton, T. GPU performance analysis of a nodal discontinuous Galerkin method for acoustic and elastic models. Comput. Geosci. 2016, 91, 64–76. [Google Scholar] [CrossRef]
- Simonaho, S.P.; Lähivaara, T.; Huttunen, T. Modeling of acoustic wave propagation in time-domain using the discontinuous Galerkin method—A comparison with measurements. Appl. Acoust. 2012, 73, 173–183. [Google Scholar] [CrossRef]
- Wang, H.; Sihar, I.; Raúl, P.M.; Hornikx, M. Room acoustics modelling in the time-domain with the nodal discontinuous Galerkin method. J. Acoust. Soc. Am. 2019, 145, 2650–2663. [Google Scholar] [CrossRef] [PubMed]
- Schoeder, S.; Wall, W.A.; Kronbichler, M. ExWave: A high performance discontinuous Galerkin solver for the acoustic wave equation. SoftwareX 2019, 9, 49–54. [Google Scholar] [CrossRef]
- Pind, F.; Jeong, C.H.; Engsig-Karup, A.P.; Hesthaven, J.S.; Strømann-Andersen, J. Time-domain room acoustic simulations with extended-reacting porous absorbers using the discontinuous Galerkin method. J. Acoust. Soc. Am. 2020, 148, 2851–2863. [Google Scholar] [CrossRef]
- Allard, J.F.; Atalla, N. Propagation of Sound in Porous Media: Modelling Sound Absorbing Materials, 2nd ed.; John Wiley & Sons, Ltd.: Chichester, UK, 2009. [Google Scholar]
- Wang, H.; Cosnefroy, M.; Hornikx, M. An arbitrary high-order discontinuous Galerkin method with local time-stepping for linear acoustic wave propagation. J. Acoust. Soc. Am. 2021, 149, 569–580. [Google Scholar] [CrossRef]
- Sampedro Llopis, H.; Engsig-Karup, A.P.; Jeong, C.H.; Pind, F.; Hesthaven, J.S. Reduced basis methods for numerical room acoustic simulations with parametrized boundaries. J. Acoust. Soc. Am. 2022, 152, 851–865. [Google Scholar] [CrossRef]
- Weeks, W.T. Numerical inversion of Laplace transform using Laguerre functions. J. Assoc. Comput. Mach. 1966, 13, 419–429. [Google Scholar] [CrossRef]
- Saarelma, J.; Savioja, L. Audibility of dispersion error in room acoustic finite-difference time-domain simulation in the presence of a single early reflection. J. Acoust. Soc. Am. 2019, 145, 2761–2769. [Google Scholar] [CrossRef]
- Guddati, M.N.; Yue, B. Modified integration rules for reducing dispersion error in finite element methods. Comput. Methods Appl. Mech. Eng. 2004, 193, 275–287. [Google Scholar] [CrossRef]
- Yue, B.; Guddati, M.N. Dispersion-reducing finite elements for transient acoustics. J. Acoust. Soc. Am. 2005, 118, 2132–2141. [Google Scholar] [CrossRef]
- Okuzono, T.; Otsuru, T.; Tomiku, R.; Okamoto, N. Application of modified integration rule to time-domain finite-element acoustic simulation of rooms. J. Acoust. Soc. Am. 2012, 132, 804–813. [Google Scholar] [CrossRef] [PubMed]
- Otsuru, T.; Okuzono, T.; Tomiku, R.; Kusno, A.; Okamoto, N. Large-scale finite element sound field analysis of rooms using a practical boundary modeling technique. In Proceedings of the 19th International Congress on Sound and Vibration, London, UK, 23–27 July 2012. [Google Scholar]
- Okuzono, T.; Otsuru, T.; Sakagami, K. An explicit time-domain finite-element method for room acoustics simulation. In Proceedings of the Internoise, Melbourne, Australia, 16–19 November 2014. [Google Scholar]
- Babuška, I.; Suri, M. The p-and hp versions of the finite element method, an overview. Comput. Methods Appl. Mech. Eng. 1990, 80, 5–26. [Google Scholar] [CrossRef]
- Prinn, A.G. Efficient Finite Element Methods for Aircraft Engine Noise Prediction. Ph.D. Thesis, University of Southampton, Southampton, UK, 2014. [Google Scholar]
- Okuzono, T.; Otsuru, T.; Tomiku, R.; Okamoto, N. Dispersion-reduced spline acoustic finite elements for frequency-domain analysis. Acoust. Sci. Technol. 2013, 34, 221–224. [Google Scholar] [CrossRef]
- Okuzono, T.; Otsuru, T.; Tomiku, R.; Okamoto, N. A finite-element method using dispersion reduced spline elements for room acoustics simulation. Appl. Acoust. 2014, 79, 1–8. [Google Scholar] [CrossRef]
- Yoshida, T.; Okuzono, T.; Sakagami, K. Time Domain Room Acoustic Solver with Fourth-Order Explicit FEM Using Modified Time Integration. Appl. Sci. 2020, 10, 3750. [Google Scholar] [CrossRef]
- Yoshida, T.; Okuzono, T.; Sakagami, K. Dissipation-free and dispersion-optimized explicit time-domain finite element method for room acoustic modeling. Acoust. Sci. Technol. 2021, 42, 270–281. [Google Scholar] [CrossRef]
- Pind, F.; Engsig-Karup, A.P.; Jeong, C.H.; Hesthaven, J.S.; Mejling, M.S.; Strømann-Andersen, J. Time domain room acoustic simulations using the spectral element method. J. Acoust. Soc. Am. 2019, 145, 3299–3310. [Google Scholar] [CrossRef]
- Geevers, S.; Mulder, W.A.; Van der Vegt, J.J.W. Dispersion Properties of Explicit Finite Element Methods for Wave Propagation Modelling on Tetrahedral Meshes. J. Sci. Comput. 2018, 77, 372–396. [Google Scholar] [CrossRef]
- Duarte, C.A.; Tinsley Oden, J. An h-p adaptive method using clouds. Comput. Methods Appl. Mech. Eng. 1996, 139, 237–262. [Google Scholar] [CrossRef]
- Melenk, J.; Babuška, I. The partition of unity finite element method: Basic theory and applications. Comput. Methods Appl. Mech. Eng. 1996, 139, 289–314. [Google Scholar] [CrossRef]
- Okuzono, T.; Mohamed, M.S.; Sakagami, K. Potential of Room Acoustic Solver with Plane-Wave Enriched Finite Element Method. Appl. Sci. 2020, 10, 1969. [Google Scholar] [CrossRef]
- Tamaru, K.; Okuzono, T.; Mukae, S.; Sakagami, K. Exploration of efficient numerical integration rule for wideband room-acoustics simulations by plane-wave-enriched finite-element method. Acoust. Sci. Technol. 2021, 42, 231–240. [Google Scholar] [CrossRef]
- Mukae, S.; Okuzono, T.; Tamaru, K.; Sakagami, K. On the Robustness and Efficiency of the Plane-Wave-Enriched FEM with Variable q-Approach on the 2D Room Acoustics Problem. Acoustics 2022, 4, 53–73. [Google Scholar] [CrossRef]
- Vorländer, M. Computer simulations in room acoustics: Concepts and uncertainties. J. Acoust. Soc. Am. 2013, 133, 1203–1213. [Google Scholar] [CrossRef]
- Wittstock, V. Determination of Measurement Uncertainties in Building Acoustics by Interlaboratory Tests. Part 2: Sound Absorption Measured in Reverberation Rooms. Acta Acust. United Acust. 2018, 104, 999–1008. [Google Scholar] [CrossRef]
- Thydal, T.; Pind, F.; Jeong, C.H.; Engsig-Karup, A.P. Experimental validation and uncertainty quantification in wave-based computational room acoustics. Appl. Acoust. 2021, 178, 107939. [Google Scholar] [CrossRef]
- Brandão, E.; Lenzi, A.; Paul, S. A review of the In Situ impedance and sound absorption measurement techniques. Acta Acust. United Acust. 2015, 101, 443–463. [Google Scholar] [CrossRef]
- Prinn, A.; Walther, A.; Habets, E.A.P. Estimation of locally reacting surface impedance at modal frequencies using an eigenvalue approximation technique. J. Acoust. Soc. Am. 2021, 150, 2921–2935. [Google Scholar] [CrossRef]
- Joseph, R.M.; Hagness, S.C.; Taflove, A. Direct time integration of Maxwell’s equations in linear dispersive media with absorption for scattering and propagation of femtosecond electromagnetic pulses. Opt. Lett. 1991, 16, 1412–1414. [Google Scholar] [CrossRef]
- Dragna, D.; Pineau, P.; Blanc-Benon, P. A generalized recursive convolution method for time-domain propagation in porous media. J. Acoust. Soc. Am. 2015, 138, 1030–1042. [Google Scholar] [CrossRef] [PubMed]
- Wang, H.; Hornikx, M. Time-domain impedance boundary condition modeling with the discontinuous Galerkin method for room acoustics simulations. J. Acoust. Soc. Am. 2020, 147, 2534–2546. [Google Scholar] [CrossRef] [PubMed]
- Okuzono, T.; Sakagami, K.; Otsuru, T. Dispersion-reduced time domain FEM for room acoustics simulation. In Proceedings of the 23th International Congress on Acoustics, Aachen, Germany, 9–13 September 2019. [Google Scholar]
- Yoshida, T. and Okuzono, T. and Sakagami, K.. Implementation of a frequency-dependent impedance boundary model into a room acoustic solver with time-domain finite element method. Acoust. Sci. Technol. 2020, 41, 819–822. [Google Scholar] [CrossRef]
- Okuzono, T.; Yoshida, T. High potential of small-room acoustic modeling with 3D time-domain finite element method. Front. Built Environ. 2022, 8, 1006365. [Google Scholar] [CrossRef]
- Cox, T.J.; D’antonio, P. Acoustic Absorbers and Diffusers: Theory, Design and Application, 3rd ed.; Taylor & Francis: London, UK, 2017. [Google Scholar]
- Chazot, J.D.; Nennig, B.; Perrey-Debain, E. Performances of the Partition of Unity Finite Element Method for the analysis of two-dimensional interior sound fields with absorbing materials. J. Sound Vib. 2013, 332, 1918–1929. [Google Scholar] [CrossRef]
- Chazot, J.D.; Perrey-Debain, E.; Nennig, B. The Partition of Unity Finite Element Method for the simulation of waves in air and poroelastic media. J. Acoust. Soc. Am. 2014, 135, 724–733. [Google Scholar] [CrossRef] [PubMed]
- Mukae, S.; Okuzono, T.; Tamaru, K.; Sakagami, K. Modeling microperforated panels and permeable membranes for a room acoustic solver with plane-wave enriched FEM. Appl. Acoust. 2022, 185, 20–26. [Google Scholar] [CrossRef]
- Okuzono, T.; Sakagami, K. Room acoustics simulation with single-leaf microperforated panel absorber using two-dimensional finite-element method. Acoust. Sci. Technol. 2015, 36, 358–361. [Google Scholar] [CrossRef]
- Okuzono, T.; Sakagami, K. A finite-element formulation for room acoustics simulation with microperforated panel sound absorbing structures: Verification with electro-acoustical equivalent circuit theory and wave theory. Appl. Acoust. 2015, 95, 20–26. [Google Scholar] [CrossRef]
- Maa, D.Y. Potential of microperforated panel absorber. J. Acoust. Soc. Am. 1998, 104, 2861–2866. [Google Scholar] [CrossRef]
- Okuzono, T.; Sakagami, K. Dispersion error reduction of absorption finite elements based on equivalent fluid model. Acoust. Sci. Technol. 2018, 39, 362–365. [Google Scholar] [CrossRef]
- Yoshida, T.; Okuzono, T.; Sakagami, K. Time-domain finite element formulation of porous sound absorbers based on an equivalent fluid model. Acoust. Sci. Technol. 2020, 41, 837–840. [Google Scholar] [CrossRef]
- Pind, F.; Jeong, C.H.; Hesthaven, J.S.; Engsig-Karup, A.P.; Strømann-Andersen, J. A phenomenological extended-reaction boundary model for time-domain wave-based acoustic simulations under sparse reflection conditions using a wave splitting method. Appl. Acoust. 2021, 172, 107596. [Google Scholar] [CrossRef]
- Wang, H.; Hornikx, M. Extended reacting boundary modeling of porous materials with thin coverings for time-domain room acoustic simulations. J. Sound Vib. 2023, 548, 117550. [Google Scholar] [CrossRef]
- Otsuru, T.; Sakuma, T.; Sakamoto, S. Constructing a database of computational methods for environmental acoustics. Acoust. Sci. Technol. 2005, 26, 221–224. [Google Scholar] [CrossRef]
- Working Group on Computational Method for Environmental Acoustics. Benchmark Platform on Computational Methods for Architectural/Environmental Acoustics. Available online: http://news-sv.aij.or.jp/kankyo/s26/AIJ-BPCA/index.html (accessed on 9 March 2023).
- Hornikx, M.; Kaltenbacher, M.; Marburg, S. A platform for benchmark cases in computational acoustics. Acta Acust. United Acust. 2015, 101, 811–820. [Google Scholar] [CrossRef]
- European Acoustics Association. Benchmark Cases for Computational Acoustics. Available online: https://www.tuwien.at/en/mwbw/mec/e325-03-research-unit-of-measurement-and-actuator-technology/eaa-benchmarks (accessed on 9 March 2023).
- Brinkmann, F.; Aspöck, L.; Ackermann, D.; Opdam, R.; Vorländer, M.; Weinzierl, S. A benchmark for room acoustical simulation. Concept and database. Appl. Acoust. 2021, 176, 107867. [Google Scholar] [CrossRef]
- Technische Universität Berlin. Benchmark for Room Acoustical Simulation. Available online: https://depositonce.tu-berlin.de/items/38410727-febb-4769-8002-9c710ba393c4 (accessed on 9 March 2023).
- Bériot, H.; Prinn, A.; Gabard, G. Efficient implementation of high-order finite elements for Helmholtz problems. Int. J. Numer. Methods Eng. 2016, 106, 213–240. [Google Scholar] [CrossRef]
- Bianco, M.J.; Gerstoft, P.; Traer, J.; Ozanich, E.; Roch, M.A.; Gannot, S.; Deledalle, C.A. Machine learning in acoustics: Theory and applications. J. Acoust. Soc. Am. 2019, 146, 3590–3628. [Google Scholar] [CrossRef]
- Pulkki, V.; Svensson, U.P. Machine-learning-based estimation and rendering of scattering in virtual reality. J. Acoust. Soc. Am. 2019, 145, 2664–2676. [Google Scholar] [CrossRef]
- Tuna, C.; Zevering, A.; Prinn, A.; Götz, P.; Walther, A.; Habets, E.A.P. Data-driven local average room transfer function estimation for multi-point equalization. J. Acoust. Soc. Am. 2022, 152, 3635–3647. [Google Scholar] [CrossRef] [PubMed]






| Exact [Hz] | FEM, tet. [Hz] | Error, tet. [%] | FEM, hex. [Hz] | Error, hex. [%] | |||
|---|---|---|---|---|---|---|---|
| 1 | 0 | 0 | 42.8750 | 42.8757 | 0.0016 | 42.8772 | 0.0051 |
| 0 | 1 | 0 | 57.1667 | 57.1693 | 0.0046 | 57.1727 | 0.0106 |
| 0 | 0 | 1 | 68.6000 | 68.6056 | 0.0082 | 68.6176 | 0.0256 |
| 1 | 1 | 0 | 71.4583 | 71.4668 | 0.0119 | 71.4645 | 0.0086 |
| 1 | 0 | 1 | 80.8964 | 80.9099 | 0.0166 | 80.9125 | 0.0199 |
| 2 | 0 | 0 | 85.7500 | 85.7707 | 0.0241 | 85.8178 | 0.0790 |
| 0 | 1 | 1 | 89.2972 | 89.3203 | 0.0258 | 89.3146 | 0.0195 |
| 1 | 1 | 1 | 99.0568 | 99.0941 | 0.0377 | 99.0734 | 0.0168 |
| 2 | 1 | 0 | 103.0587 | 103.1089 | 0.0487 | 103.1184 | 0.0580 |
| 2 | 0 | 1 | 109.8136 | 109.8829 | 0.0631 | 109.8775 | 0.0582 |
Disclaimer/Publisher’s Note: The statements, opinions and data contained in all publications are solely those of the individual author(s) and contributor(s) and not of MDPI and/or the editor(s). MDPI and/or the editor(s) disclaim responsibility for any injury to people or property resulting from any ideas, methods, instructions or products referred to in the content. |
© 2023 by the author. Licensee MDPI, Basel, Switzerland. This article is an open access article distributed under the terms and conditions of the Creative Commons Attribution (CC BY) license (https://creativecommons.org/licenses/by/4.0/).
Share and Cite
Prinn, A.G. A Review of Finite Element Methods for Room Acoustics. Acoustics 2023, 5, 367-395. https://doi.org/10.3390/acoustics5020022
Prinn AG. A Review of Finite Element Methods for Room Acoustics. Acoustics. 2023; 5(2):367-395. https://doi.org/10.3390/acoustics5020022
Chicago/Turabian StylePrinn, Albert G. 2023. "A Review of Finite Element Methods for Room Acoustics" Acoustics 5, no. 2: 367-395. https://doi.org/10.3390/acoustics5020022
APA StylePrinn, A. G. (2023). A Review of Finite Element Methods for Room Acoustics. Acoustics, 5(2), 367-395. https://doi.org/10.3390/acoustics5020022

