Colors and Brilliance in the Wall Mosaic Assemblage of the Rotunda in Thessaloniki: A Physicochemical Investigation of the Glass Tesserae
Abstract
1. Introduction
2. The Mosaic Decoration
3. Materials and Methods
4. Results and Discussion
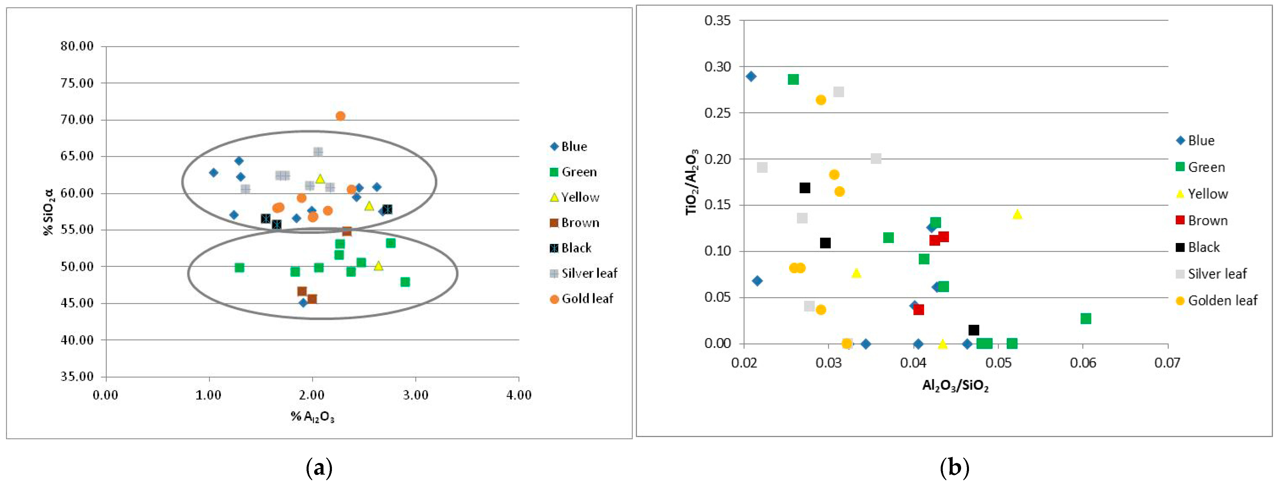
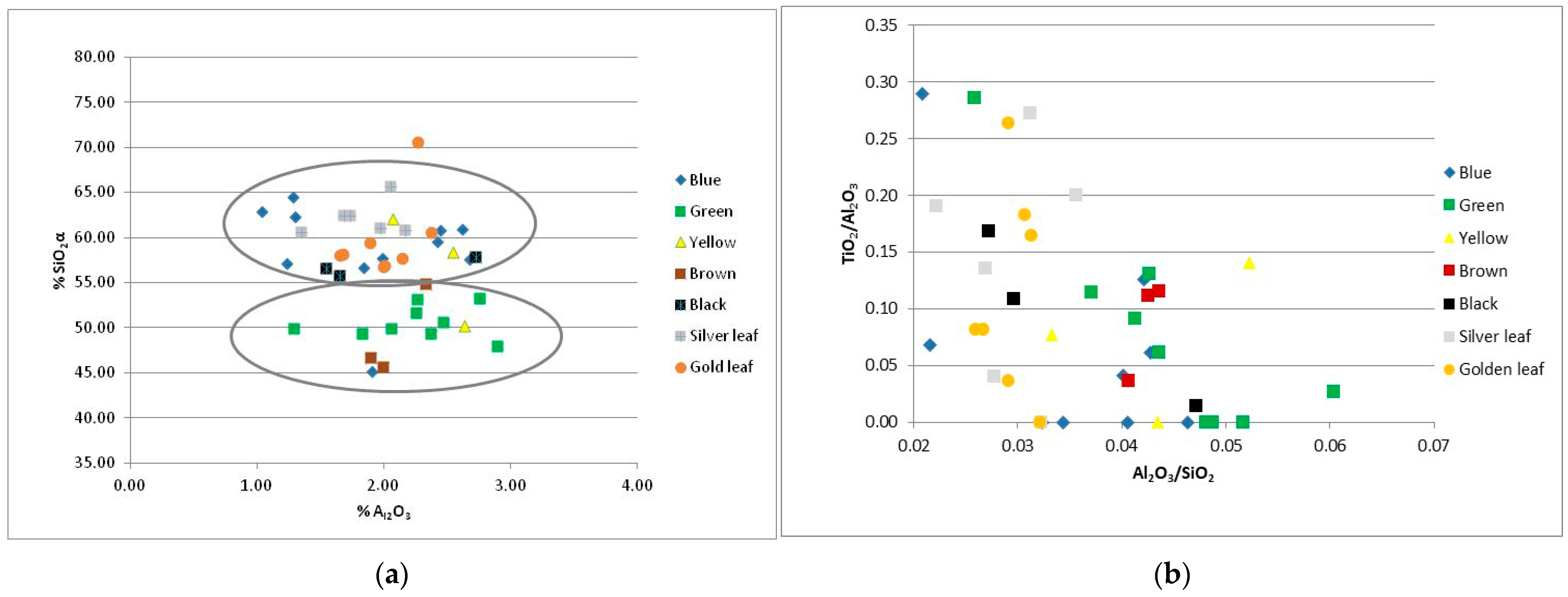
4.1. Base Glass Composition
“The alkali-rich waste gases in wood-fired glass working furnaces can affect the composition of the glass when it is heated over prolonged periods. This results in increased concentrations of alkali, potash in particular”.

- Soda–lime, when the PbO/(SiO2+Na2O+CaO) ratio is less than 0.01.
- Soda–lime–lead, when the PbO/(SiO2+Na2O+CaO) ratio is between 0.01 and 0.1.
- Leaded, when the PbO/(SiO2+Na2O+CaO) ratio is higher than 0.1.
4.2. Coloring, Opacifying and Decolorizing Elements
4.3. Blue Tesserae
4.4. Green Tesserae
4.5. Yellow Tesserae
4.6. Black Tesserae
4.7. Brown Tesserae
4.8. Gold Leaf Tesserae
- R.GO.3: Both cartellina and support glass have a yellowish tint.
- R.GO.4: Cartellina has a yellowish tint while the support glass is greenish.
- R.GO.1: Cartellina is yellowish, while both hues coexist in support glass.
4.9. Silver Leaf Tesserae
5. Conclusions
Author Contributions
Funding
Data Availability Statement
Acknowledgments
Conflicts of Interest
Abbreviations
| Bdl | Below detection limit |
| BSE | Backscattered electron |
| CIE | Commission Internationale de l’Eclairage |
| ICDD | International Centre for Diffraction Data |
| JCPDS | Joint Committee on Powder Diffraction Standards |
| OM | Optical microscopy |
| Powder Diffraction Files | |
| SEM-EDS | Scanning electron microscopy with energy dispersive spectroscopy |
| Std Dev | Standard deviation |
| XRD | X-ray diffraction |
| XRF | X-ray fluorescence |
References
- Bonnerot, O.; Ceglia, A.; Michaelides, D. Technology and materials of Early Christian Cypriot wall mosaics. J. Archaeol. Sci. 2016, 7, 649–661. [Google Scholar] [CrossRef]
- Schibille, N.; Neri, E.; Ebanista, C.; Ramzi Ammar, M.; Bisconti, F. Something old, something new: The late antique mosaics from the catacomb of San Gennaro (Naples). J. Archaeol. Sci. Rep. 2018, 20, 411–422. [Google Scholar] [CrossRef]
- Mastora, P.; Kyranoudi, M.; Zacharopoulou, G. Wall mosaics of Thessaloniki: Recording the art and technology of the archaeological findings. In Proceedings of the 14th Conference of the Association Internationale pour l’Étude de la Mosaïque Antique (AIEMA), Nicosia, Cyprus, 15–19 October 2018. [Google Scholar]
- Velenis, G. Some observations on the original form of the Rotunda in Thessaloniki. Balkan Stud. 1974, 15, 298–307. [Google Scholar]
- Mentzos, A. Reflections of the interpretation and dating of the Rotunda of Thessaloniki. Egnatia 2000, 5, 57–80. [Google Scholar]
- Nasrallah, L.S. Empire and apocalypse in Thessaloniki: Interpreting the early Christian Rotunda. J. Early Christ. Stud. 2005, 13, 465–508. [Google Scholar] [CrossRef]
- Torp, H. An interpretation of the early Byzantine martyr inscriptions in the mosaics of the Rotunda at Thessaloniki. Acta Archaeol. Artium Hist. Pertin. 2011, 24, 11–43. [Google Scholar] [CrossRef]
- Antonaras, A. The production and uses of glass in Byzantine Thessaloniki. In New Light on Old Glass: Recent Research on Byzantine Glass and Mosaics; James, L., Entwistle, C., Eds.; British Museum: London, UK, 2013; pp. 189–198. [Google Scholar]
- Torp, H. La Rotonde Palatine à Thessalonique: Architecture et Mosaïques; Kapon Editions: Athens, Greece, 2018. [Google Scholar]
- Bakirtzis, C.; Mastora, P.; Pitsalidis, N. The conservation of the mosaics of the Rotunda in Thessaloniki: An act of discovery. In Proceedings of the 10th Conference of the International Committee for the Conservation of Mosaics (ICCM), Palermo, Italy, 20–26 October 2008; pp. 214–224. [Google Scholar]
- Bakirtzis, C.; Mastora, P. Are the mosaics in the Rotunda in Thessaloniki linked to its conversion into a Christian church? In Proceedings of the IX International Symposium ‘Niš and Byzantium’, Niš, Serbia, 3–5 June 2010; pp. 33–45. [Google Scholar]
- Mastora, P. Interventions to Wall Mosaics During Byzantine Period. Ph.D. Thesis, Open University of Cyprus, Nicosia, Cyprus, 2017. [Google Scholar]
- Bakirtzis, C.; Mastora, P. Ροτόντα Θεσσαλονίκης. Το Μαυσωλείο του Μεγάλου Κωνσταντίνου, ο Ναός των Aγίων Aσωμάτων; Υπουργείο Πολιτισμού και Aθλητισμού, ΣHΜA Εκδοτική: Aθήνα, Greece, 2021. [Google Scholar]
- Malletzidou, L.; Zorba, T.; Kyranoudi, M.; Mastora, P.; Karfaridis, D.; Vourlias, G.; Pavlidou, E.; Paraskevopoulos, K.M. The dome of Rotunda in Thessaloniki: Investigation of a multi-pictorial phase wall painting through analytical methods. Spectrochim. Acta A Mol. Biomol. Spectrosc. 2021, 262, 120116. [Google Scholar] [CrossRef]
- Sotiropoulou, S.; Kyranoudi, M.; Raptis, K. Preliminary considerations on the technology of manufacture of glass mosaics tesserae of the Rotunda in Thessaloniki, based on in situ colour and XRF measurements. In Proceedings of the TECHNART 2017 Non-Destructive and Microanalytical Techniques in Art and Cultural Heritage, Bilbao, Spain, 2–6 May 2017. [Google Scholar]
- Bakirtzis, C.; Kourkoutidou-Nikolaidou, E.; Mavropoulou-Tsioumi, C. Mosaics of Thessaloniki, 4th–14th Century; Kapon Editions: Athens, Greece, 2012. [Google Scholar]
- Mentzos, A.; Pliota, A. Impressions: Byzantine Thessalonike through the Photographs and Drawings of the British School at Athens (1888–1910); Centre for Byzantine Research: Thessaloniki, Greece, 2012. [Google Scholar]
- Munsell Color (Firm). Geological Rock-Color Chart: With Genuine Munsell Color Chips; Munsell Color: Grand Rapids, MI, USA, 2011. [Google Scholar]
- Bidegaray, A.I.; Nys, K.; Silvestri, A.; Cosyns, P.; Meulebroeck, W.; Terryn, H.; Godet, S.; Ceglia, A. 50 shades of colour: How thickness, iron redox and manganese/antimony contents influence perceived and intrinsic colour in Roman glass. Archaeol. Anthropol. Sci. 2020, 12, 109. [Google Scholar] [CrossRef]
- Verità, M. Technology and deterioration of vitreous mosaic tesserae. Stud. Conserv. 2000, 45 (Suppl. S1), 65–76. [Google Scholar] [CrossRef]
- Neri, E.; Verità, M.; Biron, I.; Guerra, M.F. Glass and gold: Analyses of 4th–12th Levantine mosaic tesserae. A contribution to technological and chronological knowledge. J. Archaeol. Sci. 2016, 70, 158–171. [Google Scholar] [CrossRef]
- Noboru, O.; Robertson, A. Colorimetry: Fundamentals and Applications; John Wiley & Sons Inc.: Hoboken, NJ, USA, 2006. [Google Scholar]
- Mokrzycki, W.; Tatol, M. Perceptual difference in Lab* color space as the base for object colour identification. In Proceedings of the 1st International Conference on Image Processing & Communications, Bydgoszcz, Poland, 16–18 September 2009. [Google Scholar] [CrossRef]
- Sappi Fine Paper North America. Defining and Communicating Color: The CIELAB System. Available online: https://www.sappi.com/files/cielab-technical-guide-pdf (accessed on 28 June 2023).
- Arletti, R.; Conte, S.; Vandini, M.; Fiori, C.; Bracci, S.; Bacci, M.; Porcinai, M. Florence Baptistery: Chemical and mineralogical investigation of glass mosaic tesserae. J. Archaeol. Sci. 2011, 38, 79–88. [Google Scholar] [CrossRef]
- Davison, S. The Conservation and Restoration of Glass, 2nd ed.; Butterworth-Heinemann: Oxford, UK, 2003. [Google Scholar]
- Papadopoulos, N.; Drosou, C.A. Influence of weather conditions on glass properties. J. Univ. Chem. Technol. Metall. 2012, 47, 429–439. [Google Scholar]
- Melcher, M.; Schreiner, M. Glass degradation by liquids and atmospheric agents. In Modern Methods for Analysing Archaeological and Historical Glass; Janssens, K., Ed.; Wiley: Chichester, UK, 2013; pp. 609–642. [Google Scholar]
- Loukopoulou, P. Glass Corrosion Mechanisms and Their Restoration. Ph.D. Thesis, National Technical University of Athens, Athens, Greece, 2014. [Google Scholar]
- Alawneh, F.; Al Shiyab, A.; Al Sekheneh, W. Chemical analysis of Late Roman glass from Quasr Al Rabbah, Jordan. Mediterr. Archaeol. Archaeom. 2017, 17, 201–213. [Google Scholar]
- Micheletti, F.; Orsilli, J.; Melada, J.; Gargano, M.; Ludwig, N.; Bonizzoni, L. The role of IRT in the archaeometric study of ancient glass through XRF and FORS. Microchem. J. 2020, 153, 104388. [Google Scholar] [CrossRef]
- Galli, S.; Mastelloni, M.; Ponterio, R.; Sabatino, G.; Triscari, M. Raman and scanning electron microscopy and energy dispersive X-ray techniques for the characterization of colouring and opaquening agents in Roman mosaic glass tesserae. J. Raman Spectrosc. 2004, 35, 622–627. [Google Scholar] [CrossRef]
- Freestone, I.; Bimson, M.; Duckton, D. Compositional categories of Byzantine glass tesserae. In Proceedings of the Annales du 11e Congrès de l’Association Internationale pour l’Histoire du Verre, Bâle, Switzerland, 29 August–3 September 1988; pp. 271–280. [Google Scholar]
- Schibille, N.; Degryse, P.; Corremans, M.; Specht, C.G. Chemical characterisation of glass mosaic tesserae from sixth-century Sagalassos (south-west Turkey): Chronology and production techniques. J. Archaeol. Sci. 2012, 39, 1480–1492. [Google Scholar] [CrossRef]
- Boschetti, C.; Henderson, J.; Evans, J.; Leonelli, C. Mosaic tesserae from Italy and the production of Mediterranean coloured glass (4th century BCE–4th century CE). Part I: Chemical composition and technology. J. Archaeol. Sci. Rep. 2016, 7, 303–311. [Google Scholar] [CrossRef]
- Rasmussen, K.L.; Delbey, T.; Jørgensen, B.; Jensen, K.H.; Poulsen, B.; Pedersen, P. Materials and technology of mosaics from the House of Charidemos at Halikarnassos (Bodrum, Turkey). Herit. Sci. 2022, 10, 62. [Google Scholar] [CrossRef]
- Paynter, S. Experiments in the reconstruction of Roman wood-fired glassworking furnaces: Waste products and their formation processes. J. Glass Stud. 2008, 50, 271–290. [Google Scholar]
- Henderson, J. Ancient Glass, An Interdisciplinary Exploration; Cambridge University Press: Cambridge, UK, 2013. [Google Scholar]
- Freestone, I. Glass production in the first millennium CE: A compositional perspective. In Ancient Glass and Glass Production; Klimscha, F., Ed.; Berlin Studies of the Ancient World 67; Edition Topoi: Berlin, Germany, 2021; pp. 211–232. [Google Scholar] [CrossRef]
- Wypyski, M.; Becker, L. Glassmaking technology at Antioch. In The Arts of Antioch; Becker, L., Kondoleon, C., Eds.; Worcester Art Museum: Worcester, MA, USA, 2005; pp. 115–175. [Google Scholar]
- Freestone, I. The recycling and reuse of Roman glass: Analytical approaches. J. Glass Stud. 2015, 57, 29–40. [Google Scholar]
- Jackson, C.M.; Paynter, S. A great big melting pot: Exploring patterns of glass supply, consumption and recycling in Roman Coppergate, York. Archaeometry 2016, 58, 68–95. [Google Scholar] [CrossRef]
- Fiorentino, S.; Chinni, T.; Cirelli, E.; Arletti, R.; Conte, S.; Vandini, M. Considering the effects of the Byzantine–Islamic transition: Umayyad glass tesserae and vessels from the qasr of Khirbet al-Mafjar (Jericho, Palestine). Archaeol. Anthropol. Sci. 2018, 10, 223–245. [Google Scholar] [CrossRef]
- Silvestri, A.; Maltoni, S.; Gianandrea, M.; Deiana, R.; Croci, C. The glass mosaic of S. Agnese fuori le mura: New tesserae in the puzzle of early medieval Rome. Heritage 2024, 7, 4562–4591. [Google Scholar] [CrossRef]
- Marii, F.; Rehren, T. Archaeological coloured glass cakes and tesserae from the Petra church. In Annales du 17e Congrès de l’Association Internationale Pour l’Histoire du Verre; Janssens, K., Ed.; UPA: Anvers, Belgium, 2006; pp. 295–300. [Google Scholar]
- Vandini, M.; Fiori, C.; Cametti, R. Classification and technology of Byzantine mosaic glass. Ann. Chim. 2006, 96, 587–599. [Google Scholar] [CrossRef] [PubMed]
- Silvestri, A.; Tonietto, S.; Molin, G.; Guerriero, P. The palaeo-Christian glass mosaic of St. Prosdocimus (Padova, Italy): Archaeometric characterization of tesserae with copper- or tin-based opacifiers. J. Archaeol. Sci. 2014, 42, 51–67. [Google Scholar] [CrossRef]
- Gliozzo, E. The composition of colourless glass: A review. Archaeol. Anthropol. Sci 2017, 9, 455–483. [Google Scholar] [CrossRef]
- Neri, E.; Verità, M.; Conventi, A. Glass mosaic tesserae from the 5th to 6th century Baptistery of San Giovanni alle Fonti, Milan, Italy: Analytical investigations. In New Light on Old Glass: Recent Research on Byzantine Mosaics and Glass; James, L., Entwistle, C., Eds.; British Museum: London, UK, 2013; pp. 1–10. [Google Scholar]
- Maltoni, S.; Silvestri, A. Innovation and tradition in the fourth century mosaic of the Casa delle Bestie Ferite in Aquileia, Italy: Archaeometric characterisation of the glass tesserae. Archaeol. Anthropol. Sci. 2016, 8, 617–633. [Google Scholar] [CrossRef]
- Neri, E.; Jackson, M.; O’Hea, M.; Gregory, T.; Blet-Lemarquand, M.; Schibille, N. Analyses of glass tesserae from Kilise Tepe: New insights into an early Byzantine production technology. J. Archaeol. Sci. Rep. 2017, 11, 600–612. [Google Scholar] [CrossRef]
- Maltoni, S.; Silvestri, A. Investigating a Byzantine technology: Experimental replicas of Ca-phosphate opacified glass. J. Cult. Herit. 2019, 39, 251–259. [Google Scholar] [CrossRef]
- Bandiera, M.; Lehuédé, P.; Verità, M.; Alves, L.; Biron, I.; Vilarigues, M. Nanotechnology in Roman opaque red glass from the 2nd century AD: Archaeometric investigation in red sectilia from the decoration of the Lucius Verus Villa in Rome. Heritage 2019, 2, 2597–2611. [Google Scholar] [CrossRef]
- Silvestri, A.; Nestola, F.; Peruzzo, L. Multi-methodological characterisation of calcium phosphate in late-antique glass mosaic tesserae. Microchem. J. 2016, 126, 462–469. [Google Scholar] [CrossRef]
- Serra, C.L.; Silvestri, A.; Molin, G. Appendix: Archaeometric characterization. In Lachin, M.T. Vitreous Mosaic from Tyana (Cappadocia); Lafli, E., Ed.; Colloquia Anatolica et Aegaea Acta Congressus Communis Omnium Gentium Smyrnae II.; Ege Yayınları: İzmir, Turkey, 2009; pp. 171–183. [Google Scholar]
- Neri, E.; Morvan, C.; Colomban, P.; Guerra, M.F.; Prigent, V. Late Roman and Byzantine mosaic opaque “glass-ceramics” tesserae (5th–9th century). Ceram. Int. 2016, 42, 18859–18869. [Google Scholar] [CrossRef]
- Silvestri, A.; Tonietto, S.; Molin, G.; Guerriero, P. Multi-methodological study of palaeo-Christian glass mosaic tesserae of St. Maria Mater Domini (Vicenza, Italy). Eur. J. Mineral. 2015, 27, 225–245. [Google Scholar] [CrossRef]
- Henriques, J.M.; Barboza, C.A.; Albuquerque, E.L.; Caetano, E.W.S.; Freire, V.N.; Da Costa, J.A.P. First-principles calculations of structural, electronic and optical properties of orthorhombic CaPbO3. J. Phys. D Appl. Phys. 2008, 41, 045404. [Google Scholar] [CrossRef]
- Matin, M. Tin-based opacifiers in archaeological glass and ceramics glazes: A review and new perspectives. Archaeol. Anthropol. Sci. 2019, 11, 1155–1167. [Google Scholar] [CrossRef]
- Tite, M.; Pradell, T.; Shortland, A.J. Discovery, production and use of tin-based opacifiers in glasses, enamels and glazes from the Late Iron Age onwards: A reassessment. Archaeometry 2008, 50, 67–84. [Google Scholar] [CrossRef]
- Wypyski, M. Technical analysis of glass mosaic tesserae from Amorium. Dumbart. Oaks Pap. 2005, 59, 183–192. [Google Scholar] [CrossRef]
- Van der Linden, V.; Cosyns, P.; Schalm, O.; Cagno, S.; Nys, K.; Janssens, K.; Nowak, A.; Wagner, B.; Bulska, E. Deeply coloured and black glass in the northern provinces of the Roman Empire: Differences and similarities in chemical composition before and after AD 150. Archaeometry 2009, 51, 822–844. [Google Scholar] [CrossRef]
- Gliozzo, E.; Santagostino Barbone, A.; Turchiano, M.; Memmi, I.; Volpe, G. The coloured tesserae decorating the vaults of the Faragola Balneum (Ascoli Satriano, Foggia, Southern Italy). Archaeometry 2012, 54, 311–331. [Google Scholar] [CrossRef]
- Maltoni, S.; Silvestri, A. A mosaic of colors: Investigating production technologies of Roman glass tesserae from northeastern Italy. Minerals 2018, 8, 255. [Google Scholar] [CrossRef]
- Fiorentino, S. A tale of two legacies: Byzantine and Egyptian influences in the manufacture and supply of glass tesserae under the Umayyad Caliphate (661–750 AD). Heritage 2021, 4, 2810–2834. [Google Scholar] [CrossRef]
- Di Bella, M.; Quartieri, S.; Sabatino, G.; Santalucia, F.; Triscari, M. The glass mosaics tesserae of “Villa del Casale” (Piazza Armerina, Italy): A multitechnique archaeometric study. Archaeol. Anthropol. Sci. 2014, 6, 345–362. [Google Scholar] [CrossRef]
- Kyranoudi, M.; Malletzidou, L.; Zorba, T.; Vourlias, G.; Melfos, V.; Pavlidou, E.; Chrissafis, K. Glass mosaic tesserae from the Rotunda of Thessaloniki: Microstructural and spectroscopic characterization. Appl. Res. 2024, 3, e202300120. [Google Scholar] [CrossRef]
- Freestone, I. Composition and microstructure of early opaque red glass. In Early Vitreous Materials; Shortland, A.J., Ed.; British Museum Occasional Paper 56; The British Museum: London, UK, 1987; pp. 173–191. [Google Scholar]
- Silvestri, A.; Tonietto, S.; D’Acapito, F.; Molin, G. The role of copper on colour of the palaeo-Christian glass mosaic tesserae: An XAS study. J. Cult. Herit. 2012, 13, 137–144. [Google Scholar] [CrossRef]
- Fiori, C. Production technology of Byzantine red mosaic glasses. Ceram. Int. 2015, 41, 3152–3157. [Google Scholar] [CrossRef]
- Boschetti, C.; Nikita, K.; Veronesi, P.; Henderson, J.; Leonelli, C.; Andreescu-Treadgold, I. Glass in mosaic tesserae: Two interdisciplinary research projects. In Annales du 18e Congrès de l’Association Internationale Pour l’Histoire du Verre; Ignatiadou, D., Antonaras, A., Eds.; ASP: Thessaloniki, Greece, 2009; pp. 145–150. [Google Scholar]
- Crocco, R.; Huisman, H.; Sablerolles, Y.; Henderson, J.; van Os, B.; Nieuwhof, A. Hunting colours: Origin and reuse of glass tesserae from the Wierum terp. Archaeol. Anthropol. Sci. 2021, 13, 155. [Google Scholar] [CrossRef]
- Brill, R.H. Chemical Analyses of Early Glasses, Vol. 1: The Catalogue; Vol. 2: The Tables; The Corning Museum of Glass: Corning, NY, USA, 1999. [Google Scholar]
- Verità, M.; Santopadre, P. Unusual glass tesserae from a third century mosaic in Rome. J. Glass Stud. 2015, 57, 287–292. [Google Scholar]
- Barca, D.; Basso, E.; Bersani, D.; Galli, G.; Invernizzi, C.; La Russa, M.F.; Lottici, P.P.; Malagodi, M.; Ruffolo, S.A. Vitreous tesserae from the calidarium mosaics of the Villa dei Quintili, Rome: Chemical composition and production technology. Microchem. J. 2016, 124, 726–735. [Google Scholar] [CrossRef]
- Verità, M.; Lazzarini, L.; Tesser, E.; Antonelli, F. Villa del Casale (Piazza Armerina, Sicily): Stone and glass tesserae in the baths floor mosaics. Archaeol. Anthropol. Sci. 2019, 11, 373–385. [Google Scholar] [CrossRef]
- Vataj, E.; Hobdari, E.; Röhrs, S.; Vandenabeele, P.; Civici, N. Analytical characterization of glass tesserae from mosaics of early Christian basilicas in Albania. Appl. Phys. A 2017, 123, 76. [Google Scholar] [CrossRef]
- Neri, E.; Biron, I.; Verità, M. New insights into Byzantine glass technology from loose mosaic tesserae from Hierapolis (Turkey): PIXE/PIGE and EPMA analyses. Archaeol. Anthropol. Sci. 2017, 9, 1523–1540. [Google Scholar] [CrossRef]
- Neri, E.; Verità, M. Glass and metal analysis of gold leaf tesserae of 1st to 9th century mosaics: A contribution to technological and chronological knowledge. J. Archaeol. Sci. 2013, 40, 4596–4606. [Google Scholar] [CrossRef]
- James, L. Mosaics in the Medieval World: From Late Antiquity to the Fifteenth Century; Cambridge University Press: Cambridge, UK, 2017. [Google Scholar]
- Schibille, N.; Sterrett-Krause, A.; Freestone, I. Glass groups, glass supply and recycling in late Roman Carthage. Archaeol. Anthropol. Sci. 2016, 8, 697–714. [Google Scholar] [CrossRef]
- Conventi, A.; Neri, E.; Verità, M. SEM-EDS analysis of ancient gold leaf glass mosaic tesserae: A contribution to the dating of the materials. IOP Conf. Ser. Mater. Sci. Eng. 2012, 32, 012007. [Google Scholar] [CrossRef]
- Oddy, W.A.; La Niece, S. Byzantine gold coins and jewellery: A study of gold content. Gold Bull. 1986, 19, 19–27. [Google Scholar] [CrossRef]
- Brems, D.; Ganio, M.; Walton, M.; Degryse, P. Mediterranean sand deposits as a raw material for glass production in antiquity. In Annales du 18e Congrès de l’Association Internationale Pour l’Histoire du Verre; Ignatiadou, D., Antonaras, A., Eds.; ASP: Thessaloniki, Greece, 2009; pp. 120–127. [Google Scholar]
- Neri, E.; Gratuze, B.; Schibille, N. Dating the mosaics of the Durres amphitheatre through interdisciplinary analysis. J. Cult. Herit. 2017, 28, 27–36. [Google Scholar] [CrossRef]
- Brill, R.H.; Whitehouse, D. The Thomas Panel. J. Glass Stud. 1988, 30, 34–50. [Google Scholar]
- Van der Werf, I.; Mangone, A.; Giannossa, L.C.; Traini, A.; Laviano, R.; Coralini, A.; Sabbatini, L. Archaeometric investigation of Roman tesserae from Herculaneum (Italy) by the combined use of complementary micro-destructive analytical techniques. J. Archaeol. Sci. 2009, 36, 2625–2634. [Google Scholar] [CrossRef]
- Schibille, N.; McKenzie, J. Glass tesserae from Hagios Polyeuktos, Constantinople: Their early Byzantine affiliations. In Neighbours and Successors of Rome: Traditions of Glass Production and Use in Europe and the Middle East in the Later 1st Millennium AD; Keller, D., Price, J., Jackson, C., Eds.; Oxbow Books: Oxford, UK, 2014; pp. 114–127. [Google Scholar]
- Neri, E. The mosaics of Durres amphitheatre: An assessment using technical observations. AnTard 2017, 25, 353–374. [Google Scholar] [CrossRef]
- Verità, M.; Maggetti, M.; Sagui, L.; Santopadre, P. Colors of Roman glass: An investigation of the yellow sectilia in the Gorga Collection. J. Glass Stud. 2013, 55, 21–34. [Google Scholar]
- Vataj, E.; Civici, N.; Röhrs, S.; Dilo, T.; Hobdari, E. The study of Byzantine glass mosaic tesserae from Albania using nuclear techniques. In Proceedings of the 23rd WiN Global Annual Conference: Women in Nuclear Meet Atoms for Peace, Vienna, Austria, 24–28 August 2015. [Google Scholar]
- Nenna, M.D. Primary glass workshops in Graeco-Roman Egypt: Preliminary report on the excavations of the site of Beni Salama, Wadi Natrun. In Glass of the Roman World; Bayley, J., Freestone, I., Jackson, C., Eds.; Oxbow Books: Oxford, UK, 2015; pp. 53–65. [Google Scholar]












| Sample Code | Chromatic Group (Macroscopic Classification) | Sample Photo | Color After Munsell | L* | a* | b* |
|---|---|---|---|---|---|---|
| R.B.L.1 | Light blue Semi-opaque | ![]() | 5B 5/6 Moderate Blue | 44.27 | −14.25 | −3.72 |
| R.B.L.2 | Light blue Semi-opaque | ![]() | 5B 5/6 Moderate Blue | 4.37 | −14.26 | −8.06 |
| R.B.L.5 | Light blue Semi-opaque | ![]() | 5B 5/6 Moderate Blue | 41.20 | −14.67 | −4.51 |
| R.B.L.3 | Light blue Semi-opaque | ![]() | 5BG 7/2 Pale Blue Green | 71.26 | −3.79 | −0.75 |
| R.B.L.4 | Light blue Semi-opaque | ![]() | 5BG 7/2 Pale Blue Green | 54.08 | −8.15 | 4.16 |
| R.B.M.1 | Blue Semi-opaque | ![]() | 5B 5/6 Moderate Blue | 24.32 | −13.37 | 14.96 |
| R.B.M.2 | Blue Semi-opaque | ![]() | 5B 5/6 Moderate Blue | 33.58 | −4.95 | −3.61 |
| R.B.M.3 | Blue Semi-opaque | ![]() | 5B 5/6 Moderate Blue | 35.56 | −11.5 | −2.92 |
| R.B.D.1 | Dark blue Semi-opaque | ![]() | 5PB 3/2 Dusky Blue | 20.90 | −0.09 | −7.15 |
| R.B.D.2 | Dark blue Semi-opaque | ![]() | 5PB 3/2 Dusky Blue | 36.91 | −1.08 | −7.57 |
| R.B.D.3 | Dark blue Semi-opaque | ![]() | 5PB 3/2 Dusky Blue | 34.90 | 0.75 | −8.29 |
| R.G.L.1 | Light green Semi-opaque | ![]() | 10GY 6/4 Moderate Yellowish Green | 49.33 | −21.13 | 21.74 |
| R.G.L.2 | Light green Semi-opaque | ![]() | 10GY 6/4 Moderate Yellowish Green | 27.17 | −16.07 | 10.41 |
| R.G.L.3 | Light green Semi-opaque | ![]() | 10GY 6/4 Moderate Yellowish Green | 46.10 | −16.56 | 15.71 |
| R.G.M.1 | Green Semi-opaque | ![]() | 5G 5/6 Moderate Green | 49.33 | −12.51 | 7.88 |
| R.G.M.2 | Green Semi-opaque | ![]() | 5G 5/6 Moderate Green | 28.98 | −11.89 | 1.61 |
| R.G.M.3 | Green Semi-opaque | ![]() | 5G 5/6 Moderate Green | 42.87 | −21.6 | 12.75 |
| R.G.D.1 | Dark green Semi-opaque | ![]() | 5BG 4/6 Moderate Blue Green | 36.98 | −16.71 | 7.52 |
| R.G.D.2 | Dark green Semi-opaque | ![]() | 5BG 4/6 Moderate Blue Green | 37.95 | −16.49 | 8.49 |
| R.G.D.3 | Dark green Semi-opaque | ![]() | 5BG 4/6 Moderate Blue Green | 36.98 | −9.84 | 7.58 |
| R.Y.1 | Yellow Semi-opaque | ![]() | 5GY 7/4 Moderate Yellow Green | 56.46 | −7.74 | 31.99 |
| R.Y.3 | Yellow Semi-opaque | ![]() | 5GY 7/4 Moderate Yellow Green | 57.53 | −5.68 | 17.31 |
| R.Y.2 | Yellow Semi-opaque | ![]() | 10Y 6/6 Dark Greenish Yellow | 53.26 | −3.07 | 17.79 |
| R.BR.1 | Brown Opaque | ![]() | 5R 2/2 Blackish Red | 22.86 | 8.12 | 16.14 |
| R.BR.2 | Brown Opaque | ![]() | 5R 3/4 Dusky Red | 29.65 | 9.34 | 13.05 |
| R.BR.3 | Brown Opaque | ![]() | 5R 4/6 Moderate Red | 31.54 | 16.99 | 16.81 |
| R.BL.1 | Black Opaque | ![]() | N2 Grayish Black | 15.91 | −2.87 | 13.02 |
| R.BL.3 | Black Opaque | ![]() | N2 Grayish Black | 21.06 | −2.69 | 8.45 |
| R.BL.2 | Black Opaque | ![]() | N1 Black | 25.35 | −2.67 | 6.81 |
| R.GO.1 | Gold leaf Transparent yellowish/greenish | ![]() | ||||
| R.GO.2 | Gold leaf Transparent (only cartellina) | ![]() | ||||
| R.GO.3 | Gold leaf Transparent yellowish | ![]() | ||||
| R.GO.4 | Gold leaf Transparent yellowish/greenish | ![]() | ||||
| R.S.1 | Silver leaf Transparent yellowish/greenish | ![]() | ||||
| R.S.2 | Silver leaf Transparent yellowish | ![]() | ||||
| R.S.3 | Silver leaf Transparent yellowish | ![]() |
| Sample Code | Sample Color | Na2O | MgO | Al2O3 | SiO2 | P2O5 | SO3 | Cl | K2O | CaO | TiO2 | MnO | Fe2O3 | CoO | CuO | ZnO | SnO2 | Sb2O3 | PbO |
|---|---|---|---|---|---|---|---|---|---|---|---|---|---|---|---|---|---|---|---|
| R.B.L.1 | Light blue | 13.59 | 0.51 | 2.67 | 57.62 | 0.96 | bdl | 1.84 | 2.37 | 13.17 | bdl | 0.06 | 0.69 | 0.20 | 1.14 | 0.47 | 2.13 | 2.58 | bdl |
| R.B.L.2 | Light blue | 11.92 | 0.54 | 1.30 | 62.37 | 0.47 | 0.74 | 3.87 | 2.02 | 11.14 | 0.38 | 0.12 | 0.73 | bdl | 1.51 | bdl | 1.17 | 1.73 | bdl |
| R.B.L.3 * | Light blue | 5.55 | 0.65 | 1.23 | 57.20 | bdl | bdl | bdl | 4.24 | 16.76 | 0.08 | bdl | bdl | 2.42 | 2.90 | 1.86 | 4.35 | 2.74 | bdl |
| R.B.L.4 | Light blue | 16.39 | 0.81 | 1.84 | 56.73 | bdl | 0.42 | 4.21 | 1.36 | 13.90 | bdl | 0.33 | 0.86 | bdl | 0.07 | bdl | 1.27 | 1.57 | 0.25 |
| R.B.L.5 | Light blue | 15.23 | 0.28 | 2.44 | 60.85 | 0.42 | 0.03 | 2.57 | 1.66 | 11.51 | 0.10 | 0.03 | 0.04 | 0.19 | 0.24 | bdl | 1.16 | 3.25 | bdl |
| R.B.M.1 | Blue | 15.27 | 0.84 | 2.42 | 59.59 | 0.04 | 0.18 | 2.28 | 1.86 | 11.13 | bdl | bdl | 0.54 | 0.06 | 2.33 | 0.72 | 1.30 | 1.05 | 0.41 |
| R.B.M.2 | Blue | 15.99 | 0.61 | 2.61 | 61.00 | bdl | 0.12 | 2.40 | 1.67 | 11.77 | 0.16 | bdl | 0.75 | bdl | 1.00 | 0.08 | 0.45 | 1.12 | 0.28 |
| R.B.M.3 | Blue | 17.37 | 0.37 | 1.04 | 62.94 | 0.29 | 0.55 | 3.53 | 0.98 | 9.12 | bdl | bdl | 0.26 | 0.08 | 0.64 | bdl | 0.54 | 2.30 | bdl |
| R.B.D.1 | Dark blue | 11.86 | 0.79 | 1.90 | 45.15 | 0.09 | 0.20 | 2.89 | 2.03 | 11.44 | 0.24 | 0.44 | 2.76 | 0.10 | 1.77 | bdl | 5.93 | 0.68 | 11.72 |
| R.B.D.2 | Dark blue | 18.17 | 1.00 | 1.99 | 57.76 | 0.49 | 0.36 | 1.89 | 1.05 | 10.11 | bdl | 1.74 | 2.14 | 0.30 | 0.56 | 0.44 | 0.42 | 0.28 | 1.31 |
| R.B.D.3 * | Dark blue | 2.90 | 7.07 | 1.28 | 64.52 | 0.29 | 0.67 | 1.62 | 2.13 | 9.46 | 0.19 | 0.78 | 1.84 | bdl | 1.96 | 2.48 | 0.90 | 1.93 | bdl |
| R.G.L.1 * | Light green | 4.72 | 0.62 | 2.75 | 53.26 | 1.05 | bdl | 1.37 | 2.02 | 8.82 | bdl | bdl | 0.13 | bdl | 1.17 | 2.07 | 3.73 | 0.65 | 17.65 |
| R.G.L.2 | Light green | 15.59 | 0.35 | 2.06 | 49.91 | 0.26 | bdl | 2.22 | 0.67 | 8.13 | 0.19 | 0.31 | 0.61 | bdl | bdl | bdl | 2.84 | 4.40 | 12.47 |
| R.G.L.3 | Light green | 15.86 | 0.82 | 2.37 | 49.31 | 0.47 | 0.35 | 2.02 | 0.92 | 8.08 | bdl | 0.14 | 0.14 | bdl | 0.57 | 0.11 | 1.42 | 1.43 | 16.00 |
| R.G.M.1 | Green | 15.83 | 0.37 | 2.47 | 50.63 | bdl | bdl | 1.88 | 1.64 | 7.23 | bdl | 0.12 | bdl | bdl | 1.37 | bdl | 2.54 | 0.36 | 15.58 |
| R.G.M.2 | Green | 13.91 | 0.94 | 2.25 | 51.59 | bdl | 0.25 | bdl | 1.45 | 8.57 | 0.14 | 0.18 | 0.73 | 0.11 | 1.62 | 0.12 | 2.17 | 0.39 | 15.59 |
| R.G.M.3 | Green | 15.46 | 0.27 | 2.26 | 53.16 | bdl | bdl | 2.38 | 0.75 | 9.55 | 0.30 | bdl | 0.34 | bdl | 0.62 | 0.09 | 0.12 | 0.52 | 14.18 |
| R.G.D.1 | Dark green | 11.16 | 0.69 | 2.89 | 47.91 | bdl | 0.17 | 1.10 | 0.57 | 8.22 | 0.08 | 1.21 | bdl | 1.01 | 2.46 | 1.25 | 2.24 | 2.56 | 16.47 |
| R.G.D.2 * | Dark green | 6.93 | 0.43 | 1.83 | 49.32 | 0.14 | bdl | 2.92 | 2.20 | 13.49 | 0.21 | 1.04 | 0.96 | bdl | 0.13 | bdl | 1.02 | 0.80 | 18.59 |
| R.G.D.3 | Dark green | 17.42 | 1.01 | 1.29 | 49.85 | bdl | 0.58 | 1.88 | 0.40 | 8.60 | 0.37 | 0.14 | 1.79 | bdl | 2.64 | 0.33 | 1.15 | 0.55 | 12.00 |
| R.Y.1 | Yellow | 19.02 | 0.63 | 2.06 | 62.08 | 0.38 | bdl | 1.55 | 1.59 | 7.64 | 0.16 | 0.08 | 0.49 | 0.16 | 0.74 | 0.40 | 0.45 | 0.63 | 1.96 |
| R.Y.2 * | Yellow | 2.00 | 0.99 | 2.54 | 58.38 | bdl | bdl | 2.51 | 1.90 | 10.99 | bdl | bdl | 1.73 | bdl | bdl | 0.79 | 1.91 | 3.12 | 13.16 |
| R.Y.3 | Yellow | 17.28 | 0.42 | 2.63 | 50.26 | 0.62 | 1.11 | 2.33 | 2.13 | 6.73 | 0.37 | 0.02 | 0.63 | 0.02 | 0.31 | bdl | 3.89 | 1.25 | 10.00 |
| R.BR.1 | Brown | 13.45 | 1.00 | 2.33 | 54.82 | 0.86 | 0.05 | 3.00 | 2.82 | 11.81 | 0.26 | bdl | 3.97 | 0.19 | 1.33 | bdl | 1.77 | 0.35 | 1.99 |
| R.BR.2 | Brown | 12.03 | 0.95 | 1.99 | 45.63 | 0.34 | 0.15 | 2.59 | 2.01 | 11.22 | 0.23 | 0.40 | 2.69 | bdl | 1.84 | bdl | 5.57 | 1.06 | 11.32 |
| R.BR.3 | Brown | 9.56 | 0.54 | 1.89 | 46.66 | 0.47 | 0.31 | 2.89 | 2.35 | 14.44 | 0.07 | 0.27 | 3.54 | bdl | 1.54 | bdl | 4.32 | 1.93 | 9.22 |
| R.BL.1 | Black | 10.95 | 0.49 | 1.54 | 56.63 | 0.11 | 0.49 | 4.64 | 1.85 | 17.92 | 0.26 | 0.55 | 1.13 | 0.05 | 0.10 | bdl | 1.47 | 1.75 | 0.07 |
| R.BL.2 | Black | 24.35 | 1.84 | 2.72 | 57.81 | 0.45 | bdl | 1.59 | 0.74 | 5.53 | 0.04 | 1.35 | 2.96 | 0.16 | 0.12 | 0.15 | bdl | 0.19 | bdl |
| R.BL.3 | Black | 22.06 | 1.94 | 1.65 | 55.77 | 0.38 | 0.99 | 3.19 | 1.46 | 10.10 | 0.18 | 0.16 | 0.37 | 0.03 | 0.54 | bdl | 0.54 | 0.52 | 0.14 |
| Sample Code | Sample color | Na2O | MgO | Al2O3 | SiO2 | P2O5 | SO3 | Cl | K2O | CaO | TiO2 | MnO | Fe2O3 | CoO | CuO | ZnO | SnO2 | Sb2O3 | PbO |
|---|---|---|---|---|---|---|---|---|---|---|---|---|---|---|---|---|---|---|---|
| R.GO.1sa | Yellowish naturally colored/Golden leaf | 19.44 | 0.77 | 1.65 | 58.09 | 0.32 | 0.35 | 2.76 | 0.87 | 7.26 | 0.67 | 0.62 | 0.47 | 0.06 | bdl | 1.18 | 1.54 | 3.28 | 0.69 |
| R.GO.1sb | Greenish naturally colored/Golden leaf | 20.32 | 1.01 | 2.13 | 57.76 | 0.36 | bdl | 2.45 | 1.15 | 7.73 | 0.30 | 1.90 | 0.62 | bdl | bdl | bdl | 1.42 | 2.82 | bdl |
| R.GO.1c | Yellowish naturally colored/Golden leaf | 19.14 | 0.53 | 1.89 | 59.45 | 0.31 | 0.47 | 2.32 | 1.18 | 7.48 | 0.19 | 1.50 | 0.90 | 0.03 | 0.06 | bdl | 1.81 | 2.73 | bdl |
| R.GO.2c * | Colorless/Golden leaf | 4.09 | 0.94 | 2.27 | 70.58 | bdl | 0.56 | 2.26 | 4.41 | 12.20 | bdl | 0.73 | 1.06 | bdl | bdl | bdl | 0.65 | bdl | 0.26 |
| R.GO.3s | Yellowish naturally colored/Golden leaf | 20.56 | 0.52 | 2.00 | 56.87 | bdl | 0.07 | 2.15 | 1.00 | 8.48 | 0.48 | 1.15 | 0.69 | bdl | bdl | 0.01 | 1.95 | 4.06 | bdl |
| R.GO.3c | Yellowish naturally colored/Golden leaf | 19.39 | 0.64 | 1.99 | 56.83 | bdl | 0.38 | 2.41 | 0.94 | 9.37 | 0.02 | 1.31 | 0.55 | bdl | bdl | 0.45 | 1.46 | 3.70 | 0.55 |
| R.GO.4s | Greenish naturally colored/Golden leaf | 18.88 | 1.03 | 1.67 | 58.22 | 0.03 | 0.18 | 2.31 | 1.08 | 9.29 | 0.41 | 1.53 | 0.97 | 0.01 | bdl | 0.09 | 1.54 | 2.76 | bdl |
| R.GO.4c | Yellowish naturally colored/Golden leaf | 18.02 | 0.68 | 2.37 | 60.65 | 0.17 | 0.65 | 3.19 | 0.59 | 9.65 | 0.05 | 0.93 | 0.42 | bdl | 0.12 | bdl | 0.17 | 1.79 | 0.55 |
| R.S.1s | Greenish naturally colored/Silver leaf | 16.65 | 0.72 | 2.16 | 60.86 | bdl | 0.45 | 2.10 | 1.05 | 9.54 | 0.43 | 2.23 | 1.08 | bdl | 0.25 | bdl | 0.74 | 1.73 | bdl |
| R.S.1c | Yellowish naturally colored/Silver leaf | 11.53 | 1.06 | 2.05 | 65.67 | bdl | 0.66 | 2.72 | 1.70 | 10.49 | 0.56 | 1.96 | bdl | bdl | bdl | bdl | 0.70 | bdl | 0.91 |
| R.S.2s | Yellowish naturally colored/Silver leaf | 14.96 | 0.49 | 1.97 | 61.08 | 0.34 | 0.75 | 2.40 | 1.20 | 10.94 | bdl | 1.95 | 1.15 | bdl | 0.49 | 0.39 | bdl | 0.67 | 1.24 |
| R.S.2c | Yellowish naturally colored/Silver leaf | 15.11 | 1.06 | 1.68 | 62.40 | bdl | 0.57 | 2.28 | 1.24 | 11.40 | 0.23 | 1.67 | 0.80 | bdl | bdl | 0.09 | 0.32 | 1.17 | bdl |
| R.S.3s | Yellowish naturally colored/Silver leaf | 13.85 | 0.67 | 1.73 | 62.43 | 0.08 | 0.79 | 2.53 | 0.71 | 12.97 | 0.07 | 2.51 | 0.06 | bdl | bdl | 0.49 | bdl | 0.78 | 0.36 |
| R.S.3c | Yellowish naturally colored/Silver leaf | 14.61 | 0.36 | 1.34 | 60.57 | 0.12 | 0.74 | 3.13 | 0.94 | 9.61 | 0.26 | 2.07 | 2.05 | bdl | bdl | 0.30 | 0.44 | 2.00 | 1.46 |
| Na2O | MgO | Al2O3 | SiO2 | P2O5 | SO3 | Cl | K2O | CaO | TiO2 | MnO | Fe2O3 | CoO | CuO | ZnO | SnO2 | Sb2O3 | PbO | ||
|---|---|---|---|---|---|---|---|---|---|---|---|---|---|---|---|---|---|---|---|
| Colored | Average | 15.25 | 0.75 | 2.11 | 54.08 | 0.29 | 0.31 | 2.49 | 1.51 | 10.41 | 0.15 | 0.33 | 1.20 | 0.11 | 1.06 | 0.16 | 1.93 | 1.38 | 6.48 |
| min max | 9.56 24.35 | 0.27 1.94 | 1.29 2.89 | 45.15 62.94 | 0.00 0.96 | 0.00 1.11 | 0.00 4.64 | 0.40 2.82 | 5.53 17.92 | 0.00 0.38 | 0.00 1.35 | 0.00 3.97 | 0.00 1.01 | 0.00 2.64 | 0.00 1.25 | 0.00 5.93 | 0.19 4.40 | 0.00 16.47 | |
| Metal leaf | Average | 17.11 | 0.73 | 1.89 | 60.07 | 0.13 | 0.47 | 2.52 | 1.05 | 9.55 | 0.28 | 1.64 | 0.75 | 0.01 | 0.07 | 0.23 | 0.93 | 2.11 | 0.44 |
| min max | 11.53 20.56 | 0.36 1.06 | 1.34 2.37 | 56.83 65.67 | 0.00 0.36 | 0.00 0.79 | 2.10 3.19 | 0.59 1.70 | 7.26 12.97 | 0.00 0.67 | 0.93 2.51 | 0.06 2.05 | 0.00 0.03 | 0.00 0.49 | 0.00 0.49 | 0.00 1.81 | 0.00 4.06 | 0.00 1.46 |
| Sample Code | Color | Colorant/Opacifier/Decolorizer (SEM-EDS) | XRD Crystalline Phases |
|---|---|---|---|
| R.B.L.1 | Light blue | Co, Cu, calcium phosphate, bubbles | Calcite |
| R.B.L.2 | Light blue | Cu, calcium phosphate, bubbles | - |
| R.B.L.3 | Light blue | Co, Cu, bubbles | Calcite, hillebrandite, combeite, quartz, galena, Sb2SnZn |
| R.B.L.4 | Light blue | Cu, calcium phosphate | Calcite, chabazite |
| R.B.L.5 | Light blue | Co, Cu, bubbles | - |
| R.B.M.1 | Blue | Co, Cu, calcium phosphate, bubbles | Calcite, chabazite |
| R.B.M.2 | Blue | Cu, bubbles | Calcite |
| R.B.M.3 | Blue | Co, Cu, bubbles | Calcite, Sb2O3, CuSn |
| R.B.D.1 | Dark blue | Co, Cu, bubbles | Calcite, chabazite, CuSn |
| R.B.D.2 | Dark blue | Co, Cu, bubbles | - |
| R.B.D.3 | Dark blue | Cu, bubbles | Calcite |
| R.G.L.1 | Light green | Cu, quartz, lead stannate, bubbles | Quartz, CaPbO3, PbSnO3 |
| R.G.L.2 | Light green | Quartz, lead stannate, bubbles | Quartz, CaPbO3 |
| R.G.L.3 | Light green | Cu, quartz, lead stannate, bubbles | Quartz, CaPbO3 |
| R.G.M.1 | Green | Cu, quartz, lead stannate, bubbles | Quartz, CaPbO3 |
| R.G.M.2 | Green | Co, Cu, quartz, lead stanate, bubbles | Quartz, CaPbO3 |
| R.G.M.3 | Green | Cu, quartz, lead stannate, bubbles | PbO2, PbO, Pb3O4, chabazite |
| R.G.D.1 | Dark green | Co, Cu, quartz, bubbles | Quartz, CaPbO3, SnO2 |
| R.G.D.2 | Dark green | Cu, quartz, lead stannate, bubbles | Quartz, calcite, CaPbO3 |
| R.G.D.3 | Dark green | Cu, quartz, bubbles | Quartz, CaPbO3 |
| R.Y.1 | Yellow | Co, Cu, cassiterite, lead stannate, bubbles | Quartz, CaPbO3, PbO2 |
| R.Y.2 | Yellow | Cassiterite, quartz, lead stannate, bubbles | Quartz, calcite, chabazite, PbO, PbO2 |
| R.Y.3 | Yellow | Co, Cu, quartz, lead stannate, bubbles | Quartz, CaPbO3 |
| R.BR.1 | Brown | Co, Cu, Fe, bubbles | Cu |
| R.BR.2 | Brown | Co, Cu, Fe, bubbles | Cu, cassiterite, calcite, wollastonite, chabazite |
| R.BR.3 | Brown | Co, Cu, Fe, cassiterite, bubbles | Cu, calcite, chabazite |
| R.BL.1 | Black | Co, Cu, Fe, cassiterite, bubbles | |
| R.BL.2 | Black | Cu, Fe, cassiterite, bubbles | Calcite, coesite |
| R.BL.3 | Black | Cu, Fe, bubbles | |
| R.GO.1 | Gold leaf | Sb/Mn | |
| R.GO.2 | Gold leaf | Mn | |
| R.GO.3 | Gold leaf | Sb/Mn | |
| R.GO.4 | Gold leaf | Sb/Mn | |
| R.S.1 | Silver leaf | Sb/Mn | |
| R.S.2 | Silver leaf | Sb/Mn | |
| R.S.3 | Silver leaf | Sb/Mn |
| Sample | S | Cu | Ag | Au | Sn | Zn | Fe | Pb |
|---|---|---|---|---|---|---|---|---|
| R.GO.1 | 3.26 | 0.26 | 2.33 | 94.15 | - | - | - | - |
| R.GO.2 | 0.84 | 0.21 | 3.85 | 95.10 | - | - | - | - |
| R.GO.3 | 1.17 | 0.11 | 4.17 | 94.55 | - | - | - | - |
| R.GO.4 | 2.87 | 4.55 | 7.07 | 85.50 | - | - | - | - |
| R.S.1 | 0.79 | - | 95.82 | - | 1.44 | - | - | 1.96 |
| R.S.2 | - | 0.79 | 89.25 | 0.38 | 8.45 | - | 1.13 | - |
| R.S.3 | 0.37 | 0.03 | 86.43 | - | 12.92 | 0.25 | - | - |
Disclaimer/Publisher’s Note: The statements, opinions and data contained in all publications are solely those of the individual author(s) and contributor(s) and not of MDPI and/or the editor(s). MDPI and/or the editor(s) disclaim responsibility for any injury to people or property resulting from any ideas, methods, instructions or products referred to in the content. |
© 2025 by the authors. Licensee MDPI, Basel, Switzerland. This article is an open access article distributed under the terms and conditions of the Creative Commons Attribution (CC BY) license (https://creativecommons.org/licenses/by/4.0/).
Share and Cite
Kyranoudi, M.; Malletzidou, L.; Pavlidou, E.; Vourlias, G.; Chrissafis, K. Colors and Brilliance in the Wall Mosaic Assemblage of the Rotunda in Thessaloniki: A Physicochemical Investigation of the Glass Tesserae. Heritage 2025, 8, 393. https://doi.org/10.3390/heritage8090393
Kyranoudi M, Malletzidou L, Pavlidou E, Vourlias G, Chrissafis K. Colors and Brilliance in the Wall Mosaic Assemblage of the Rotunda in Thessaloniki: A Physicochemical Investigation of the Glass Tesserae. Heritage. 2025; 8(9):393. https://doi.org/10.3390/heritage8090393
Chicago/Turabian StyleKyranoudi, Maria, Lamprini Malletzidou, Eleni Pavlidou, George Vourlias, and Konstantinos Chrissafis. 2025. "Colors and Brilliance in the Wall Mosaic Assemblage of the Rotunda in Thessaloniki: A Physicochemical Investigation of the Glass Tesserae" Heritage 8, no. 9: 393. https://doi.org/10.3390/heritage8090393
APA StyleKyranoudi, M., Malletzidou, L., Pavlidou, E., Vourlias, G., & Chrissafis, K. (2025). Colors and Brilliance in the Wall Mosaic Assemblage of the Rotunda in Thessaloniki: A Physicochemical Investigation of the Glass Tesserae. Heritage, 8(9), 393. https://doi.org/10.3390/heritage8090393





































