New Evidence of the Relationship Between Oxidative Hydrolysis of CuCl “Bronze Disease” and Relative Humidity (RH) for Management of Archaeological Copper Alloys
Abstract
1. Introduction
2. Post-Excavation Risk Mechanisms
3. Management of Risk
- Prevent corrosion from occurring altogether;
- Control the rate at which corrosion occurs.
- (1)
- Quantifying the response of CuCl and copper-CuCl powder mixtures between 15–80%RH using an oxygen consumption technique.
- (2)
- Characterising the products formed in (1) using Fourier transform infrared spectroscopy and Raman spectroscopy.
4. Method
4.1. Samples
4.2. Environments
4.3. Oxygen Consumption
4.4. Data Processing
4.5. Determining Rate
4.6. Characterisation
4.6.1. Fourier Transform Infrared Spectroscopy
4.6.2. Raman Spectroscopy
5. Results
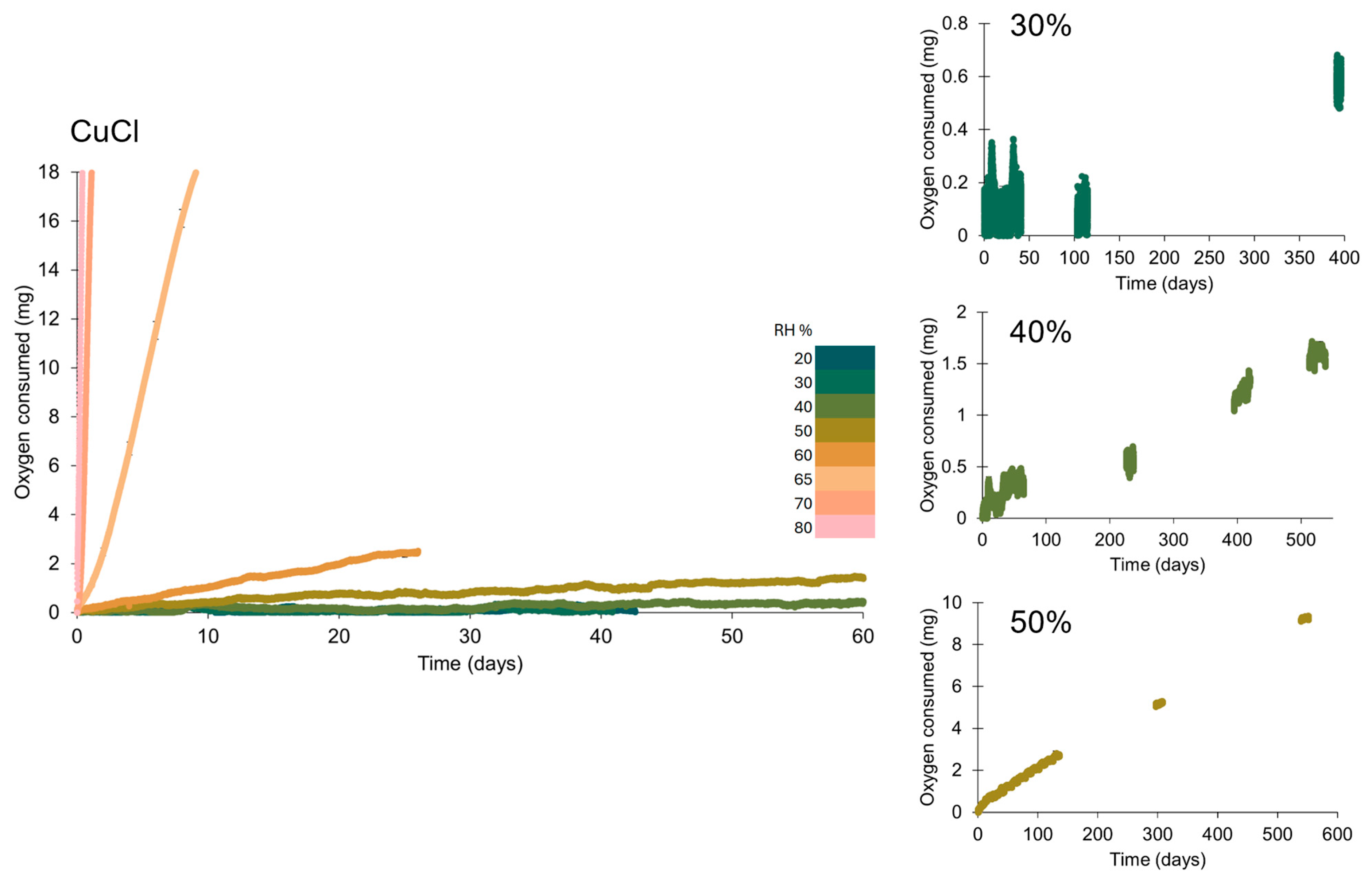
5.1. Oxygen Consumption
- The relative humidity;
- The presence or absence of metallic copper;
- The ratio of CuCl.
5.2. Relative Humidity
5.3. Sample Characterisation
5.4. Unexposed CuCl
5.5. CuCl
5.6. Cu:CuCl
6. Discussion
6.1. Mechanisms of Bronze Disease
6.2. Kinetics of Bronze Disease
6.2.1. Intrinsic
6.2.2. Extrinsic
6.3. Endpoint for Bronze Disease
6.4. Practical Implications
7. Conclusions
- Where possible, establish whether objects have a metallic core, using, e.g., X-radiography. This will form the basis for management protocols.
- Use the charts provided to determine acceptable risk. Retain objects below 20%RH if any formation of Cu2(OH)3Cl is unacceptable. Risk is low for objects with no copper core up to 50%RH and low up to 40%RH for objects with a copper core.
- Maintaining environments up to 60%RH for displaying mixed materials will promote bronze disease in objects with a metal core at a more rapid rate than mineralised objects.
- The formation of soluble chloride compounds in uncontrolled, enclosed environments can accelerate bronze disease, especially if objects have no metal core.
- During monitoring, check for surrounding green staining on packaging. This can indicate the presence of soluble chloride compounds and current or prior incorrect storage.
- Fluctuating environments where soluble compounds can deliquesce and crystallise may cause additional irreversible damage. If possible, identify and remove water-soluble compounds.
Author Contributions
Funding
Data Availability Statement
Conflicts of Interest
References
- Watkinson, D. Conservation Science in Practice. In Handbook of Archaeological Sciences, 2nd ed.; Pollard, A.M., Armitage, R.A., Makarewicz, C.A., Eds.; John Wiley and Sons: Hoboken, NJ, USA, 2023; pp. 1063–1073. [Google Scholar]
- Robbiola, L.; Blengino, J.M.; Fiaud, C. Morphology and mechanisms of formation of natural patinas on archaeological Cu-Sn alloys. Corros. Sci. 1998, 40, 2083–2111. [Google Scholar] [CrossRef]
- Bertholon, R. Archaeological metal artefacts and conservation issues: Long-term corrosion studies. In Corrosion of Metallic Heritage Artefacts. Investigation, Conservation and Prediction of Long Term Behaviour; Dillman, P., Béranger, G., Piccardo, P., Matthiesen, H., Eds.; European Federation of Corrosion (EFC) Series Number 48; Woodhead Publishing in Materials: Cambridge, UK, 2007; pp. 31–40. [Google Scholar]
- Nord, A.G.; Mattsson, E.; Tronner, K. Factors Influencing the Long-term Corrosion of Bronze Artefacts in Soil. Prot. Met. 2005, 41, 309–319. [Google Scholar] [CrossRef]
- Oudbashi, O. A methodological approach to estimate soil corrosivity for archaeological copper alloy artefacts. Herit. Sci. 2018, 6, 1–15. [Google Scholar] [CrossRef]
- Di Turo, F.; Coletti, F.; De Vito, C. Investigations on alloy-burial environment interaction of archaeological bronze coins. Microchem. J. 2020, 157, 104882. [Google Scholar] [CrossRef]
- McNeil, M.B. Interpretation of Bronze Disease and Related Copper Corrosion Mechanisms in Terms of Log-Activity Diagrams. Mater. Res. Soc. Symp. Proc. 1992, 267, 1055–1106. [Google Scholar] [CrossRef]
- Wang, J.; Xu, C.; Lv, G. Formation processes of CuCl and regenerated Cu crystals on bronze surfaces in neutral and acidic media. Appl. Surf. Sci. 2006, 252, 6294–6303. [Google Scholar] [CrossRef]
- Fan, Z.; Zhou, H.; Wang, X.; Song, H.; Shi, J.; Chen, J. Comparison and study of the corrosion differences of bronze alloys in oxygen-free and oxygen-containing conditions. Corros. Sci. 2024, 241, 112553. [Google Scholar] [CrossRef]
- Payer, J.H.; Ball, G.; Rickett, B.I.; Kim, H.S. Role of transport properties in corrosion product growth. Mater. Sci. Eng. A 1995, 198, 91–102. [Google Scholar] [CrossRef]
- Constantinides, I.; Adriaens, A.; Adams, F. Surface characterization of artificial corrosion layers on copper alloy reference materials. Appl. Surf. Sci. 2002, 189, 90–101. [Google Scholar] [CrossRef]
- Dowsett, M.; Adriaens, A.; Martin, C.; Bouchenoire, L. The use of synchrotron X-rays to observe copper corrosion in real time. Anal. Chem. 2012, 84, 4866–4872. [Google Scholar] [CrossRef]
- Grayburn, R.; Dowsett, M.; Hand, M.; Sabbe, P.-I.; Thompson, P.; Adriaens, A. Tracking the progression of bronze disease. Corros. Sci. 2015, 91, 220–223. [Google Scholar] [CrossRef]
- Fischer, W.R.; Wagner, B.D.; Siedlarek, H.; Füßinger, B. The influence of chloride ions and light on the corrosion behaviour of copper alloys in aqueous environment with special regards to bronze disease. In Metal 95. Proceedings of the International Conference on Metals Conservation, Semur en Auxois, France, 25–28 September 1995; MacLeod, I.D., Pennec, S.L., Robbiola, L., Eds.; James & James: London, UK, 1997; pp. 89–94. [Google Scholar]
- Scott, D.A. Copper and Bronze in Art: Corrosion, Colorants, Conservation; The Getty Conservation Institute: Los Angeles, CA, USA, 2002. [Google Scholar]
- Scott, D.A. Bronze Disease: A Review of Some Chemical Problems and the Role of Relative Humidity. J. Am. Inst. Conserv. 1990, 29, 193–206. [Google Scholar] [CrossRef]
- Organ, R.M. The examination and treatment of bronze antiquities. Stud. Conserv. 1961, 6 (Suppl. 1), 104–110. [Google Scholar] [CrossRef]
- Organ, R.M. Aspect of Bronze Patina and its Treatment. Stud. Conserv. 1963, 8, 1–9. [Google Scholar] [CrossRef]
- De Ryck, I.; Pantos, E.; Adriaens, A. Near Eastern ancient bronze objects from Tell Beydar (NE-Syria): Insights into their corrosion. Europhys. News 2007, 38, 29–33. [Google Scholar] [CrossRef]
- Giovanelli, G.; D’Urzo, L.; Maggiulli, G.; Natali, S.; Pagliara, C.; Sgura, I.; Bozzini, B. Cathodic chloride extraction treatment of a late Bronze Age artifact affected by bronze disease in room-temperature ionic-liquid 1-ethyl-3-methylimidazolium bis(trifluoromethanesylfonyl)imide (EMI-TFSI). J. Solid State Electrochem. 2010, 14, 479–494. [Google Scholar] [CrossRef]
- Oudbashi, O.; Mohammadamin Emami, S.; Ahmadi, H.; Davami, P. Micro-stratigraphical investigation on corrosion layers in ancient Bronze artefacts by scanning electron microscopy energy dispersive spectrometry and optical microscopy. Herit. Sci. 2013, 1, 21. [Google Scholar] [CrossRef]
- Thickett, D. Critical Relative Humidity Levels and Carbonyl Pollution Concentrations for Archaeological Copper Alloys. In Proceedings of the ICOM-CC Metals Working Group New Delhi 2016, New Delhi, India, 26–30 September 2016; Menon, R., Chemello, C., Pandya, A., Eds.; International Council of Museums Committee for Conservation and Indira Ghandi National Centre for the Arts: New Delhi, India, 2016; pp. 180–187. [Google Scholar]
- MacLeod, I. Bronze disease: An electrochemical explanation. ICCM Bull. 1981, 7, 16–26. [Google Scholar] [CrossRef]
- Krivovichev, S.V.; Hawthorne, F.C.; Williams, P.A. Structural complexity and crystallisation: The Oswald sequence of phases in the Cu2(OH)3Cl system (Botallackite-atacamite-clinoatacamite). Struct. Chem. 2016, 28, 1. [Google Scholar]
- Pollard, A.M.; Thomas, R.G.; Williams, P.A. Synthesis and stabilities of basic copper(II) chlorides atacamite, paratacamite and botallackite. Mineral. Mag. 1989, 53, 557–563. [Google Scholar] [CrossRef]
- Tennent, N.H.; Antonio, K.M. Bronze Disease: Synthesis and Characterisation of Botallackite, Paratacamite and Atacamite by Infra-Red Spectroscopy. In Proceedings of the ICOM Committee for Conservation 6th Triennial Meeting, Metals Working Group, Ottawa, ON, Canada, 21–15 September 1981; International Council of Museums: Paris, France, 1981; p. 81/23/3-1. [Google Scholar]
- Sharkey, J.B.; Lewin, S.Z. Conditions governing the formation of atacamite and paratacamite. Am. Min. 1971, 56, 179–192. [Google Scholar]
- Jambor, J.L.; Dutrizac, J.E.; Roberts, A.C.; Grice, J.D.; Szymanski, J.T. Clinoatacamite, a new polymorph of Cu2(OH)3Cl, and its relationship to paratacamite and “anarakite”. Can. Miner. 1996, 34, 61–72. [Google Scholar]
- Grice, J.D.; Szymanski, J.T.; Jambor, J.L. The crystal structure of clinoatacamite, a new polymorph of Cu2(OH)3Cl. Can. Miner. 1996, 34, 73–78. [Google Scholar]
- Scott, D.A. New insights on the corrosion of ancient bronzes using X-ray powder diffraction: The importance of paratacamite, sampleite, and connellite. Stud. Conserv. 2017, 62, 410–418. [Google Scholar] [CrossRef]
- Pollard, A.M.; Thomas, R.G.; Williams, P.A. The Copper Chloride System and Corrosion: A Complex Interplay of Kinetic and Thermodynamic Factors. In Dialogue/89: The Conservation of Bronze Sculpture in the Outdoor Environment: A Dialogue Among Conservators, Curators, Environmental Scientists, and Corrosion Engineers; Drayman, T.S., Ed.; NACE: Houston, TX, USA, 1992; pp. 123–133. [Google Scholar]
- Fabrizi, M.; Scott, D.A. Unusual copper corrosion products and problems of identity. In Recent Advances in the Conservation and Analysis of Artifacts; Black, J., Ed.; Jubilee Conservation Conference Papers; Summer School Press: London, UK, 1987; pp. 131–133. [Google Scholar]
- MacLeod, I.D.; Näsänen, L.M.E. Evaluation of Chloride Extraction Rates from Copper Compounds Under Subcritical Conditions. Stud. Conserv. 2023, 69, 608–620. [Google Scholar] [CrossRef]
- MacLeod, I.D. Conservation of Corroded Copper Alloys: A Comparison of New and Traditional Methods for Removing Chloride Ions. Stud. Conserv. 1987, 32, 25–40. [Google Scholar] [CrossRef]
- Uminski, M.; Guidetti, V. The removal of chloride ions from artificially corroded bronze plates. Stud. Conserv. 1995, 40, 274–278. [Google Scholar] [CrossRef]
- Golfomitsou, S.; Merkel, J.F. Synergistic effects of corrosion inhibitors for copper and copper alloy archaeological artefacts. In Metal 04: Proceeding of the International Conference on Metals Conservation, National Museum of Australia, Canberra, Australia, 4–8 October 2004; Ashton, J., Hallam, D., Eds.; National Museum of Australia: Canberra, ACT, Australia, 2004; pp. 344–368. [Google Scholar]
- Abu-Baker, A.N.; Al-Qudah, M.A. A novel dioxime compound for protecting copper in neutral chloride solutions and to treat bronze disease in archaeological artefacts. AICCM Bull. 2017, 38, 94–102. [Google Scholar] [CrossRef]
- Saleh, S.M.; El-Badry, A.E.H.A.; Abdel-Karim, A.M. Evaluation of the corrosion resistance of bronze patina or/and protective coating on the surface of the archaeological coins. Sci. Rep. 2025, 15, 2361. [Google Scholar] [CrossRef]
- Madsen, B.H. A Preliminary Note on the Use of Benzotriazole for Stabilizing Bronze Objects. Stud. Conserv. 1967, 12, 163–167. [Google Scholar] [CrossRef]
- Sease, C. Benzotriazole: A Review for Conservators. Stud. Conserv. 1978, 23, 76–85. [Google Scholar] [CrossRef]
- Molina, T.; Cano, E.; Ramirez-Barat, B. Protective coatings for metallic heritage conservation: A review. J. Cult. Herit. 2023, 62, 99–113. [Google Scholar] [CrossRef]
- D’Ars, F.; João Cura, J.; De Bellis, V.M.; Lins, V.M.C.; Souza, L.A.Z. A Note on the Products of the Reaction of AMT with Bronze and with Three Corrosion Products of Bronze. Stud. Conserv. 2007, 52, 147–153. [Google Scholar] [CrossRef]
- McEnroe, K.; Lobley, I.; Kerns, A. Benzotriazole (BTA): A Review of the Current Research into Toxicity. J. Am. Inst. Conserv. 2025, 1–18. [Google Scholar] [CrossRef]
- Madsen, B. Benzotriazole: A perspective. In Corrosion Inhibitors in Conservation; UKIC Occasional Paper 4; UKIC: London, UK, 1985; pp. 19–20. [Google Scholar]
- Wolfe, J.; Grayburn, R. A review of the development and testing of Incralac lacquer. J. Am. Inst. Conserv. 2017, 56, 225–244. [Google Scholar] [CrossRef]
- Tennent, N.H. Conservation science: A view from four perspectives. In The Interface Between Science and Conservation; British Museum Occasional Paper; British Museum: London, UK, 1997; p. 126. [Google Scholar]
- Boyatzis, S.C.; Veve, A.; Kriezi, G.; Karamargiou, G.; Kontou, E.; Argyropoulos, V. A Scientific Assessment of the Long-Term Protection of Incralac Coatings on Ancient Bronze Collections in the National Archaeological Museum and the Epigraphic and Numismatic Museum in Athens, Greece. In Artistry in Bronze: The Greeks and Their Legacy XIXth International Congress on Ancient Bronzes; Daehner, J.M., Lapatin, K., Spinelli, A., Eds.; Getty Publications: Los Angeles, CA, USA, 2017; pp. 300–312. [Google Scholar]
- Thunberg, J.; Watkinson, D.; Emmerson, N. Desiccated microclimates for heritage metals: Creation and management. Stud. Conserv. 2021, 66, 127–153. [Google Scholar] [CrossRef]
- Ganiaris, H.; Barham, L.; Goodman, L. Great expectations: A review of iron from waterlogged contexts from London sites excavated in the 1980s and 1990s. J. Inst. Conserv. 2012, 35, 3–13. [Google Scholar] [CrossRef]
- Bryan, B.N. Copper alloy objects suspected of bronze disease—The Burrell ‘Bronzes’. In Studies in Archaeological Conservation; Caple, C., Garlick, V., Eds.; Routledge: London, UK, 2021; pp. 115–123. [Google Scholar]
- Brown, J.P. The Field Museum archaeological metals project: Distributed, in situ microenvironments for the preservation of unstable archaeological metals using Escal barrier film. In Objects Speciality Group Postprints; American Institute for Conservation of Historic and Artistic Works: Washington, DC, USA, 2010; Volume 17, pp. 133–146. [Google Scholar]
- Oudbashi, O. From Excavation to Preservation: Preventive Conservation Approaches in Archaeological Bronze Collections. In La Conservation-Restauration des Métaux Archéologiques: Des Premiers Soins à la Conservation Durable, Proceedings of the Colloque Organisé par la Direction de l’Archéologie du Service Public de Wallonie et la DGO4, la FAW (Fédération des Archéologues de Wallonie et de Bruxelles) et le CReA-Patrimoine (ULB), Bruxelles, Belgium, 8–9 May 2014; L’Université Libre de Bruxelles: Bruxelles, Belgium, 2015; pp. 29–35. [Google Scholar]
- Leygraf, C.; Graedel, T. Atmospheric Corrosion; Wiley: Chichester, UK, 2000. [Google Scholar]
- Jones, D.A. Principles and Prevention of Corrosion; Macmillan Publishing Company: New York, NY, USA, 1991. [Google Scholar]
- Watkinson, D.; Lewis, M.R.T. Desiccated storage of chloride-contaminated archaeological iron objects. Stud. Conserv. 2005, 50, 241–252. [Google Scholar] [CrossRef]
- Watkinson, D.E.; Rimmer, M.B.; Emmerson, N.J. The Influence of Relative Humidity and Intrinsic Chloride on Post-excavation Corrosion Rates of Archaeological Wrought Iron. Stud. Conserv. 2019, 64, 456–471. [Google Scholar] [CrossRef]
- Papapelekanos, A. The Critical RH for the Appearance of “Bronze Disease” in Chloride Contaminated Copper and Copper Alloy Artefacts. E-Conserv. Mag. 2010, 13, 43–51. [Google Scholar]
- Thickett, D.; Mélinis, A.; Shah, B. Measurement of Sorption Isotherms to Guide Mixed Display of Archaeological Iron, Bone and Glass. Materials 2024, 17, 5934. [Google Scholar] [CrossRef] [PubMed]
- ICOM. Museum Storage Around the World; Mairesse, F., Théobault, M., Eds.; ICOM: Paris, France, 2024; Available online: https://icom.museum/en/news/museum-storage-around-the-world/ (accessed on 1 March 2025).
- Thunberg, J.; Emmerson, N.; Watkinson, D. The impact of temperature on the rate of bronze disease between 10 °C and 60 °C. In Metal 2025: Proceedings of the International Conference on Metals Conservation, Cardiff, Wales, UK, 1–5 September 2025; Emmerson, N., Thunberg, J., Watkinson, D., Eds.; Cardiff Studies in Archaeology and Conservation: Cardiff, UK, 2025; pp. 173–180. [Google Scholar]
- Watkinson, D.; Rimmer, M. Quantifying effectiveness of chloride desalination treatments for archaeological iron using oxygen measurement. In Proceedings of the Metal 2013 Interim Meeting of the International Council of Museums Committee for Conservation Metal Working Group, Edinburgh, UK, 16–20 September 2013; Hyslop, E., Gonzalez, V., Troalen, L., Wilson, L., Eds.; ICOM-CC: Edinburgh, UK, 2013; pp. 95–102. [Google Scholar]
- Emmerson, N.J.; Seifert, J.H.; Watkinson, D.E. Refining the use of oxygen consumption as a proxy corrosion rate measure for archaeological and historic iron. Eur. Phys. J. Plus 2021, 135, 546. [Google Scholar] [CrossRef]
- Frost, R.; Williams, P.; Kloprogge, T.; Martens, W. Raman spectroscopy of the copper chloride minerals nantokite, eriochalcite and claringbullite—Implications for copper corrosion. Neues Jahrb. Mineral. Abh. 2003, 10, 433–445. [Google Scholar] [CrossRef]
- Tian, H.; Wang, M.; Zhang, J.; Ma, Y.; Cui, H.; Zhao, J.; Dong, Q.; Cui, Q.; Liu, B. Pressure-Induced Variation of the Crystal Stacking Order in the Hydrogen-Bonded Quasi-Two-Dimensional Layered Material Cu(OH)Cl. Materials 2021, 13, 5019. [Google Scholar] [CrossRef]
- Schlüter, J.; Klaska, K.-H.; Gebhard, G. Belloite, Cu(OH)Cl, a new mineral from Sierra Gorda, Antofagasta, Chile. Neues Jahrb. Mineralogie. Monatshefte 2000, 2, 67–73. [Google Scholar]
- Sharkey, J.B.; Lewin, S.Z. Thermochemical Properties of the Copper (II) Hydroxychlorides. Thermochim. Acta 1972, 3, 189–201. [Google Scholar] [CrossRef]
- Zheng, X.-G.; Yamauchi, I.; Kitajima, S.; Fujihala, M.; Maki, M.; Lee, S.; Hagihala, M.; Kamiyama, T.; Kawae, T. Two-dimensional triangular-lattice Cu(OH)Cl, belloite, as a magnetodialectric system. Phys. Rev. Mater. 2018, 2, 104401. [Google Scholar]
- Cudennec, Y.; Riou, A.; Gérault, Y.; Lecerf, A. Synthesis and Crystal Structures of Cd(OH)Cl and Cu(OH)Cl and Relationship to Brucite Type. J. Solid State Chem. 2000, 151, 308–312. [Google Scholar] [CrossRef]
- Liu, Y.; Ren, W.; Cui, H. Large-scale synthesis of paratacamite nanoparticles with controlled size and morphology. Micro Nano Lett. 2011, 6, 823–826. [Google Scholar] [CrossRef]
- Engelbrekt, C.; Malcho, P.; Anderson, J.; Zhang, L.; Stahl, K.; Li, B.; Hu, J.; Zhang, J. Selective synthesis of clinoatacamite Cu2(OH)3Cl and tenorite CuO nanoparticles by pH control. J. Nanoparticle Res. 2014, 16, 562. [Google Scholar] [CrossRef]
- Frost, R.; Martens, W.; Kloprogge, T.; Williams, P. Raman spectroscopy of the basic copper chloride minerals atacamite and paratacamite—Implications for the study of copper, brass and bronze objects of archaeological significance. J. Raman Spectrosc. 2002, 33, 801–806. [Google Scholar] [CrossRef]
- Martens, W.; Frost, R.L.; Williams, P.A. Raman and infrared spectroscopic study of the basic copper chloride minerals-implications for the study of the copper and brass corrosion and “bronze disease”. Neues Jahrb. Mineral. Abh. 2003, 178, 197–215. [Google Scholar] [CrossRef]
- Feifer, R.A.; Schiffer, J. Vibrational Analysis of Copper Chloride Dihydrate. J. Chem. Phys. 1969, 50, 21–25. [Google Scholar] [CrossRef]
- Feifer, R.A.; Schiffer, J. Intermolecular Coupling of Water Molecules in Copper Chloride Dihydrate. J. Chem. Phys. 1971, 54, 5097–5102. [Google Scholar] [CrossRef]
- Medeiros, F.E.O.; Araujo, B.S.; Ayala, A.P. Raman spectroscopy investigation of the thermal stability of the multiferroic CuCl2 and its hydrated form. Vib. Spectrosc. 2018, 99, 1–6. [Google Scholar] [CrossRef]
- Rimmer, M.; Thickett, D.; Watkinson, D.; Ganiaris, H. Guidelines for the Storage and Display of Archaeological Metalwork. English Heritage. 2013. Available online: https://orca.cardiff.ac.uk/id/eprint/61283/1/Storage_Display_Metalwork_2ndPP.pdf (accessed on 24 January 2020).
- Pimentel, D.P. Structural and Magnetic Transformations from CuCl to Cu2Cl(OH)3 Induced by H2O and CuCl2. JETP Lett. 2024, 120, 50–55. [Google Scholar] [CrossRef]
- Porcu, D.; Innocenti, S.; Striova, J.; Carretti, E.; Fontana, R. Mapping Bronze Disease Onset by Multispectral Refloctography. Minerals 2025, 15, 252. [Google Scholar] [CrossRef]
- Hikita, H.; Ishikawa, H.; Esaka, N. Kinetics of absorption of oxygen in aqueous cuprous chloride solutions containing hydrochloric acid. J. Chem. Eng. Jpn. 1981, 14, 372–376. [Google Scholar] [CrossRef][Green Version]
- Eberbach, M.C.; Huinink, H.P.; Shkatulov, A.I.; Fischer, H.R.; Adan, O.C.G. The Effect of Nanoconfinement on Deliquescence of CuCl2 Is Stronger than on Hydration. Cryst. Growth Des. 2023, 23, 1343–1354. [Google Scholar] [CrossRef]
- Schindelholz, E.J.; Cong, H.; Jove-Colon, C.F.; Li, S.; Ohlhausen, J.A.; Moffat, H.K. Electrochemical aspects of copper atmospheric corrosion in the presence of sodium chloride. Electrochim. Acta 2018, 276, 194–206. [Google Scholar] [CrossRef]
- Tsatsouli, K. ‘Bronze disease’: The Influence of Relative Humidity on Cuprous Chloride. Master’s Thesis, School of History and Archaeology, Cardiff University, Cardiff, UK, September 2004. [Google Scholar]
- Mannard, M. Magnesium and Copper (II) Chloride: A Curious Redox Reaction. Master’s Thesis, Indiana University of Pennsylvania, Indiana, PA, USA, December 2013. [Google Scholar]
- Iitaka, Y.; Locchi, S.; Oswald, H.R. Die Kristallstructur von Cu(OH)Cl. Helv. Chim. Acta 1961, 44, 2095–2103. [Google Scholar] [CrossRef]
- Sharkey, J.B. The Crystal Chemistry and Properties of the Copper Hydroxychlorides. Ph.D. Thesis, New York University, New York, NY, USA, 1970. [Google Scholar]
- Nowacki, W.; Maget, K. Zur Kristallographie von Cu(OH)Cl. Experientia 1952, 8, 55. [Google Scholar] [CrossRef]
- Li, R.; Shi, Y.; Shi, L.; Alsaedi, M.; Wang, P. Harvesting water from air: Using anhydrous salt with sunlight. Environ. Sci. Technol. 2018, 52, 5398–5406. [Google Scholar] [CrossRef]
- Aastrup, T.; Wadsak, M.; Schreiner, M.; Leygraf, C. Experimental in situ studies of copper exposed to humidified air. Corros. Sci. 2000, 42, 957–967. [Google Scholar] [CrossRef]
- Dante, J.F.; Kelly, R.G. The Evolution of the Adsorbed Solution Layer during Atmospheric Corrosion and Its Effects on the Corrosion Rate of Copper. J. Electrochem. Soc. 1993, 140, 1890–1897. [Google Scholar] [CrossRef]
- Feng, Z.; Marks, C.R.; Barkatt, A. Oxidation-Rate Excursions during the Oxidation of Copper in Gaseous Environments at Moderate Temperatures. Oxid. Met. 2003, 60, 393–408. [Google Scholar] [CrossRef]
- Rice, D.W.; Peterson, P.; Rigby, E.B.; Phipps, P.B.P.; Cappell, R.J.; Tremoureux, R. Atmospheric Corrosion of Copper and Silver. J. Electrochem. Soc. 1981, 128, 275–284. [Google Scholar] [CrossRef]
- Serghini-Idrissi, M.; Bernard, M.C.; Harrif, F.Z.; Joiret, S.; Rahmouni, K.; Srhiri, A.; Takenouti, H.; Vivier, V.; Ziani, M. Electrochemical and spectroscopic characterizations of patinas formed on an archaeological bronze coin. Electrochim. Acta 2005, 50, 4699–4709. [Google Scholar] [CrossRef]
- Orsilli, J.; Caglio, S. Combined Scanned Macro X-Ray Fluorescence and Reflectance Spectroscopy Mapping on Corroded Ancient Bronzes. Minerals 2024, 14, 192. [Google Scholar] [CrossRef]
- Matthiesen, H. Oxygen monitoring in the corrosion and preservation of metallic heritage artefacts. In Corrosion and Conservation of Cultural Heritage Metallic Artefacts; Dillmann, P., Watkinson, D., Angelini, E., Adriens, A., Eds.; Working Party 21 on Corrosion of Archaeological and Historical Artefacts; European Federation of Corrosion Publications Number 65; Woodhead Publishing in Materials: Cambridge, UK, 2013; pp. 368–391. [Google Scholar]
- Sherwood, D.; Reddy, M.V.; Cole, I.; Emmanuel, B. A model to estimate moisture distribution in porous oxides as a function of atmospheric conditions. J. Electroanal. Chem. 2014, 725, 1–6. [Google Scholar] [CrossRef]
- King, F.; Kolar, M.; Shoesmith, D.W. Modelling the effects of porous and semi-permeable layers on corrosion processes; Paper no. 380. In Proceedings of the CORROSION 1996, Denver, CO, USA, 25–29 March 1996. [Google Scholar]
- Garverick, L. Corrosion in the Petrochemical Industry, 2nd ed.; ASM International—The Materials Information Society: Materials Park, OH, USA, 1994. [Google Scholar]
- Thunberg, J.C. Large Collections of Small Metal Objects: Managing their preservation via desiccated microclimates. In Bridging the Gap: Corrosion Science for Heritage Contexts; Neff, D., Grassini, S., Watkinson, D., Emmerson, N., Eds.; European Federation of Corrosion; Woodhead Publishing: London, UK, 2025. [Google Scholar]
- Thunberg, J.; Emmerson, N.; Watkinson, D. Desiccated microclimates for heritage metals: Refining procedures for use of silica gel. Heritage 2025, 8, 240. [Google Scholar] [CrossRef]





















| Polymorph | Mineral Name | ΔG 298.2k (kJ mol−1) |
|---|---|---|
| α-Cu2(OH)3Cl | Botallackite | −1322.6 |
| β-Cu2(OH)3Cl | Atacamite | −1335.1 |
| γ-Cu2(OH)3Cl | Clinoatacamite | −1341.8 |
| RH% | Sample (x3) | Ratio Cu:CuCl (g) | Measurement Time (days) |
|---|---|---|---|
| 15 | 1 g Cu 0 g CuCl | 1:0 | 97 |
| 1 g Cu 1 g CuCl | 1:1 | 153 | |
| 20 | 0 g Cu 0.25 g CuCl | 0:25 | 118 |
| 1 g Cu: 0.25 g CuCl | 1:0.25 | 200 | |
| 1 g Cu 0.5 g CuCl | 1:0.5 | 137 | |
| 1 g Cu 1 g CuCl | 1:1 | 138 | |
| 1 g Cu 0 g CuCl | 1:0 | 97 | |
| 30 | 0 g Cu 0.25 g CuCl | 0:25 | 395 |
| 1 g Cu 0.25 g CuCl | 1:0.25 | 126 | |
| 1 g Cu 0.5 g CuCl | 1:0.5 | 130 | |
| 1 g Cu 1 g CuCl | 1:1 | 130 | |
| 1 g Cu 0 g CuCl | 1:0 | 37 | |
| 40 | 0 g Cu 0.25 g CuCl | 0:25 | 537 |
| 1 g Cu 0.25 g CuCl | 1:0.25 | 75 | |
| 1 g Cu 0.5 g CuCl | 1:0.5 | 74 | |
| 1 g Cu 1 g CuCl | 1:1 | 53 | |
| 1 g Cu 0 g CuCl | 1:0 | 37 | |
| 50 | 0 g Cu 0.25 g CuCl | 0:25 | 551 |
| 1 g Cu 0.25 g CuCl | 1:0.25 | 65 | |
| 1 g Cu 0.5 g CuCl | 1:0.5 | 48 | |
| 1 g Cu 1 g CuCl | 1:1 | 27 | |
| 1 g Cu 0 g CuCl | 1:0 | 15 | |
| 60 | 0 g Cu 0.25 g CuCl | 0:25 | 143 |
| 1 g Cu 0.25 g CuCl | 1:0.25 | 17 | |
| 1 g Cu 0.5 g CuCl | 1:0.5 | 13 | |
| 1 g Cu 1 g CuCl | 1:1 | 14 | |
| 1 g Cu 0 g CuCl | 1:0 | 13 | |
| 65 | 0 g Cu 0.25 g CuCl | 0:0.25 | 21 |
| 1 g Cu 0.25 g CuCl | 1:0.25 | 17 | |
| 70 | 0 g Cu 0.25 g CuCl | 0:25 | 5 |
| 1 g Cu 0.25 g CuCl | 1:0.25 | 5 | |
| 1 g Cu 0.5 g CuCl | 1:0.5 | 4 | |
| 1 g Cu 1 g CuCl | 1:1 | 2 | |
| 1 g Cu 0 g CuCl | 1:0 | 5 | |
| 80 | 0 g Cu 0.25 g CuCl | 0:25 | 2 |
| 1 g Cu 0.25 g CuCl | 1:0.25 | 3 | |
| 1 g Cu 0.5 g CuCl | 1:0.5 | 2 | |
| 1 g Cu 1 g CuCl | 1:1 | 1 | |
| 1 g Cu 0 g CuCl | 1:0 | 3 |
| RH | % Increase | Mass (g) |
|---|---|---|
| 15 | 0 | 127.0 |
| 20 | 2.36 | 130.0 |
| 30 | 6.85 | 135.7 |
| 40 | 12.2 | 142.5 |
| 50 | 17.89 | 149.7 |
| 60 | 22.59 | 155.7 |
| 70 | 24.57 | 158.2 |
| 80 | 25.35 | 159.2 |
| 90 | 26.06 | 160.1 |
| RH% | CuCl | Cu:CuCl |
|---|---|---|
| 0 | CuCl, Cu(OH)Cl | |
| 15 | Cu(OH)Cl * | |
| 20 | CuCl, Cu(OH)Cl | γ-Cu2(OH)3Cl, β-Cu2(OH)3Cl |
| 30 | Cu(OH)Cl * | γ-Cu2(OH)3Cl, β-Cu2(OH)3Cl |
| 40 | Cu(OH)Cl * | γ-Cu2(OH)3Cl, β-Cu2(OH)3Cl |
| 50 | Cu(OH)Cl * β,γ-Cu2(OH)3Cl, CuCl2 | γ-Cu2(OH)3Cl, β-Cu2(OH)3Cl |
| 60 | Cu(OH)Cl *, β,γ-Cu2(OH)3Cl, CuCl2 | γ-Cu2(OH)3Cl, β-Cu2(OH)3Cl |
| 65 | Cu(OH)Cl | γ-Cu2(OH)3Cl, β-Cu2(OH)3Cl |
| 70 | CuCl2, CuCl2·2H2O, β-Cu2(OH)3Cl | γ-Cu2(OH)3Cl |
| 80 | CuCl2, CuCl2·2H2O, β-Cu2(OH)3Cl | γ-Cu2(OH)3Cl |
Disclaimer/Publisher’s Note: The statements, opinions and data contained in all publications are solely those of the individual author(s) and contributor(s) and not of MDPI and/or the editor(s). MDPI and/or the editor(s) disclaim responsibility for any injury to people or property resulting from any ideas, methods, instructions or products referred to in the content. |
© 2025 by the authors. Licensee MDPI, Basel, Switzerland. This article is an open access article distributed under the terms and conditions of the Creative Commons Attribution (CC BY) license (https://creativecommons.org/licenses/by/4.0/).
Share and Cite
Thunberg, J.; Emmerson, N.; Watkinson, D. New Evidence of the Relationship Between Oxidative Hydrolysis of CuCl “Bronze Disease” and Relative Humidity (RH) for Management of Archaeological Copper Alloys. Heritage 2025, 8, 350. https://doi.org/10.3390/heritage8090350
Thunberg J, Emmerson N, Watkinson D. New Evidence of the Relationship Between Oxidative Hydrolysis of CuCl “Bronze Disease” and Relative Humidity (RH) for Management of Archaeological Copper Alloys. Heritage. 2025; 8(9):350. https://doi.org/10.3390/heritage8090350
Chicago/Turabian StyleThunberg, Johanna, Nicola Emmerson, and David Watkinson. 2025. "New Evidence of the Relationship Between Oxidative Hydrolysis of CuCl “Bronze Disease” and Relative Humidity (RH) for Management of Archaeological Copper Alloys" Heritage 8, no. 9: 350. https://doi.org/10.3390/heritage8090350
APA StyleThunberg, J., Emmerson, N., & Watkinson, D. (2025). New Evidence of the Relationship Between Oxidative Hydrolysis of CuCl “Bronze Disease” and Relative Humidity (RH) for Management of Archaeological Copper Alloys. Heritage, 8(9), 350. https://doi.org/10.3390/heritage8090350

