How Could Increasing Temperature Scenarios Alter the Risk of Terrorist Acts in Different Historical Squares? A Simulation-Based Approach in Typological Italian Squares
Abstract
1. Introduction
- The morphological features and construction technologies of the built environment elements composing and delimiting the square, also in correlation with the urban fabric, to effectively identify factors concerning the physical vulnerability. The morphology and the layout of a square are constant elements to be considered regardless of the attack type because they affect the distribution of the users and their movement in the evacuation process [19,22]. Construction technologies and specific building components implemented in the square layout could be relevant in the case of specific attack types [17,19,22,28]. For instance, permanent barriers can be useful against vehicle attacks, and the adopted construction technologies are important to evaluate blast vulnerability and related effects in terms of damages, although their impact is negligible in case of attacks with cold weapons.
- The possible use over space and time due to the hosted functions, and the related users’ behaviours, to take into account the background scenario, that is, before the terrorist act, and the users’ exposure and vulnerability. It depends on the boundary conditions concerning the intended uses of the areas [3,9], but also on the microclimate-related factors [14,29]. In particular, historical urban built environments are more and more prone to increasing temperature phenomena, leading to the possibility of critical outdoor conditions and thermal stress for users [15,30]. Users can then adapt their behaviours and distribution in public open spaces depending on individual outdoor thermal acceptability, open space landscapes and the presence of other mitigative elements such as shaded areas, canopies, and so on [29,31,32].
- The hazards that can strike the built environment and the needs and behaviours of users and stakeholders during an emergency. Considering terrorist acts, the related issues should be based on the possible types of attacks that can occur in a given scenario and on the emergency scenario in terms of the behaviours adopted by the attackers and the users [23,33,34,35,36,37,38]. As a consequence, it allows the inclusion of response issues and moving towards the analysis of coping capacity, resistance and resilience.
1.1. Work Aims, Research Questions and Contribution Outlines
- “Do the climate-related effects on users alter the risk, considering the same morphology and attack scenario?”
- “Do the climate-related effects and morphology alter the risk under the same attack scenario?”
- “Does the attack scenario with cold weapons increase users’ risks with respect to the conditions without the attackers?”
2. Related Works
2.1. Typologies of Squares Prone to Terrorist Acts in the Italian Context
- The presence of a special building, that is, a building hosting a special function, thus including building heritage, i.e., places of worship, public buildings, educational buildings, and cultural and tourism attractions. In fact, these strategic and symbolic targets, characterized by significant crowding conditions in view of the hosted functions and sights, are ideal soft targets for terrorists [3,6,24].
- The morphology of the square and, mainly, its layout, dimensions and shape, as well as the features of its access streets. In fact, when an attack occurs in a square, users could leave it by moving towards the access streets and could be potentially exposed to behavioural interferences from crowding and attack risk conditions [19,46].
2.2. Users’ Thermal Acceptability in Open Spaces
2.3. Evacuation Behaviours and Simulation Models in the Terrorist Act Context
3. Phases and Methods
3.1. BET-Based Scenarios for Simulations: Selection of Combination of Morphology, Climate-Related Scenario, Terrorist Act and Users’ Exposure and Vulnerability
3.1.1. BET Morphology
3.1.2. Users’ Exposure and Vulnerability
- Toddlers (0 to 4 years) directly depend on their parents to move: 4%.
- Parent-assisted children (5 to 14 years) can autonomously move but they are generally strictly influenced by their parents: 9%.
- Young users (15 to 19 years) have the highest motion speeds according to age–speed correlations: 5%.
- Adults (20 to 69 years): 64%.
- Elderly (70+ years) are characterized by sensible possible reduced motion speed and abilities in respect of adults: 18%.
3.1.3. Climate-Related Scenarios
- No effects of the UTCI (code E in Table 1): All the users placed outdoors are considered in comfort conditions.
- Moderate effects of the UTCI (code M in Table 1): Behaviours of passersby and users waiting to enter the special buildings are associated with transient thermal acceptability, while behaviours of dehors users are associated with 1 hour thermal acceptability since they are considered more sensitive to heat compared to the others.
- Significant effects of the UTCI (code S in Table 1): Behaviours of passersby are associated with transient thermal acceptability, while behaviours of users of dehors and users waiting to enter the special buildings are associated with 1-h thermal acceptability. In this case, users waiting to enter the special buildings are considered as sensitive to heat as all the other users who are placed outdoors for a longer time.
3.1.4. Terrorist Act
- A scenario with the presence of attackers performing a terrorist act using cold weapons (code W in Table 1), according to the scheme in Figure 4. It is considered that the attack is performed where most of the users are gathering outdoors, thus in front of the church. In this scenario, a prey–predator attack approach is combined with the shortest distance strategy, and a casualty is provoked when the prey is inside the attack range of the predator [36,47,57,83]. To focus on users’ safety assessment in the evacuation, and considering real-world users’ responses and recommendations from law enforcement agencies [23,36], no fighting behaviours are considered in this work.
3.2. Evacuation Simulation Model: Definition and Implementation
3.3. Simulation Criteria and Key Performance Indicators for Risk Assessment
3.4. Statistical Tests
- To understand if “the climate-related effects on users alter the risk, considering the same morphology and attack scenario”, such indicators have been aggregated by each BET and terrorist act scenario. Thus, for each BET morphology, the median percentage variations or each indicator are determined by separately comparing the results for the “moderate” and “significant effects of the UTCI” scenarios with those of the “no effects of the UTCI” scenarios. The significance of the test is evaluated by the Kruskal–Wallis test. This test is hence performed on 8 aggregate scenarios, considering independent groups within the same boundary conditions. The null hypothesis of the test is that, for each indicator, the sample data from the “no effect”, “moderate” and “significant effects of the UTCI” scenarios come from the same distribution.
- To understand if “the climate-related effects and morphology alter the risk under the same attack scenario”, such indicators have been aggregated by the terrorist act scenario. Then, the Scheirer–Ray–Hare test is performed on 2 aggregate scenarios considering independent groups within the same attack conditions (i.e., no attackers, cold weapons). In this case, three groups of conditions for the BET morphology have been selected: (a) BET4A and BET 4B are merged since they have the same plan layout; (b) BET1A; and (c) BET2A. This non-parametric test is analogous of the parametric multi-factorial ANOVA. The null hypothesis is that there are no interactions between the factors. Then, Dunn’s test is provided as a post-hoc test. The null hypothesis of this test is that no difference among the groups exists. In this case, no percentage variations in the median values have been introduced in view of the major differences among the BET morphology;
- To understand if “the attack scenario with cold weapons increases users’ risks with respect to the conditions without the attackers”, the KPIs have been aggregated by each BET morphology and UTCT effects scenario. Then, the median percentage variations in each KPI are determined by comparing the results of the “cold weapon attack” scenario with respect to the ones of the “no attackers” scenarios. The significance of the test is evaluated again by the Kruskal–Wallis test. In this case, the null hypothesis of the test is that, for each KPI, the sample data from the “cold weapon attack” and “no attackers” scenarios come from the same distribution.
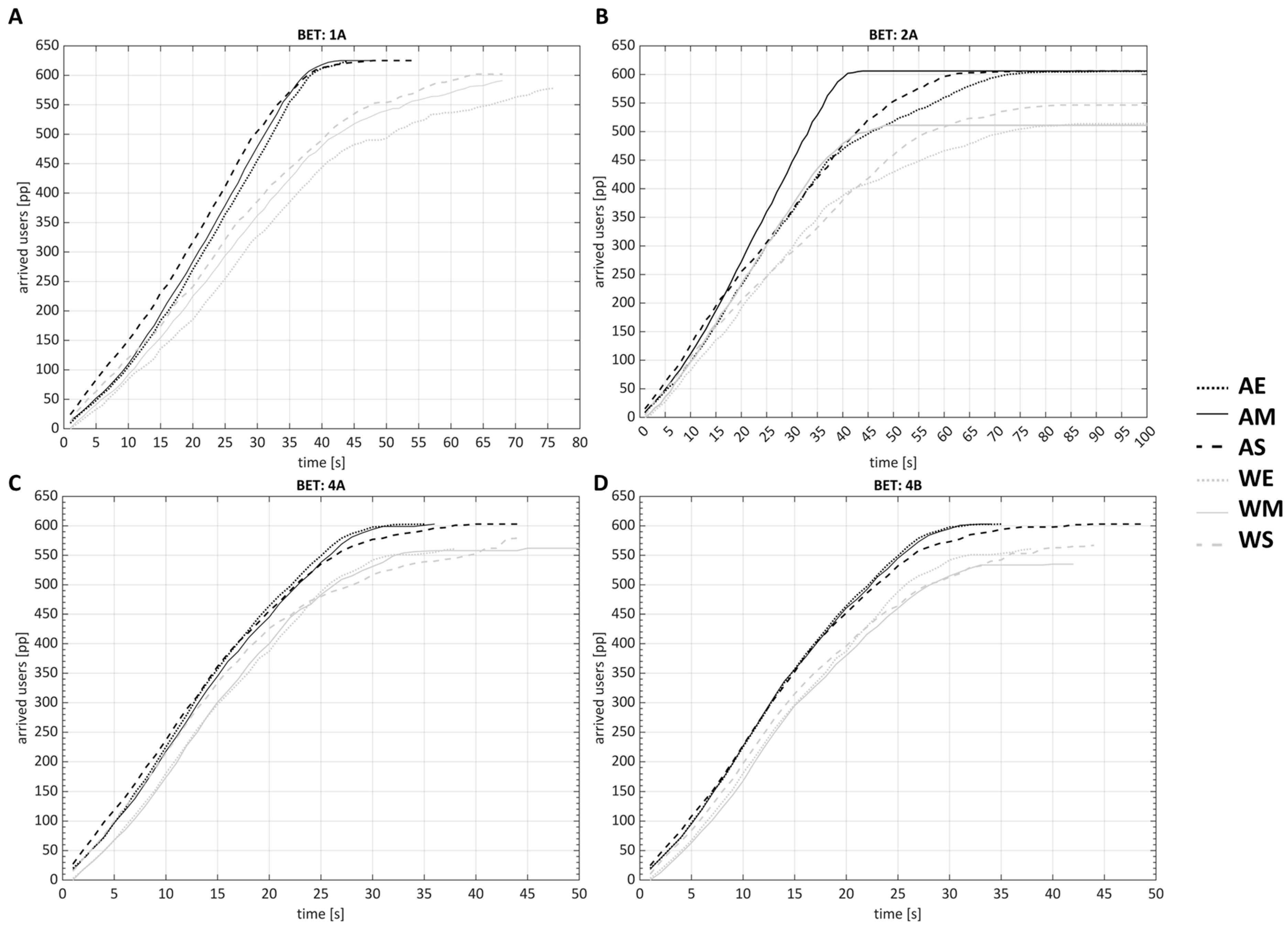
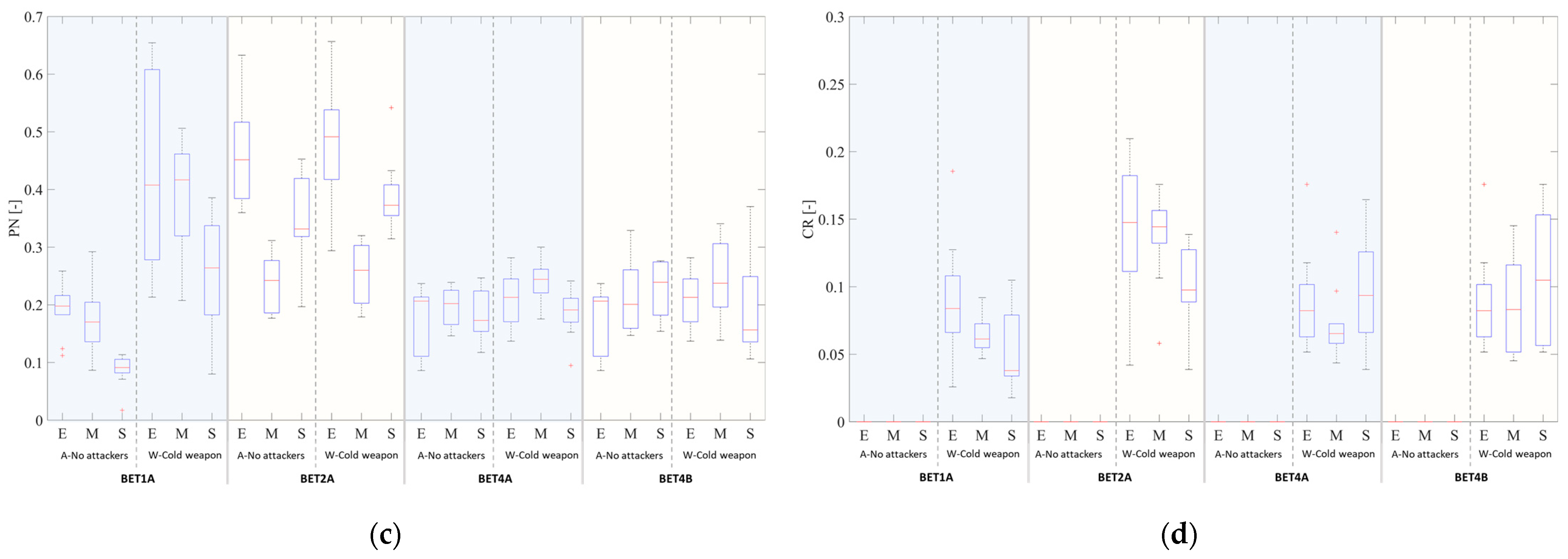
4. Results
4.1. Key Performance Indicators Overview
4.2. Statistical Test Results
5. Discussion
5.1. Simulation Insights in View of the Research Questions
- “Do the climate-related effects on users alter the risk, considering the same morphology and attack scenario?” Yes, the climate-related effects on users alter the risks when the users majorly react to the increasing temperature scenarios under the following specific morphology and attack conditions:
- In the widest and less regular square archetype (i.e., BET2A), in both attack scenarios, all the considered indicators decrease (up to about −50%) because a more widespread distribution of users is ensured and fewer interferences with other users and the attackers (when present) are noticed during the evacuation movement. In fact, while looking for shaded areas nearby the built fronts, the users are thus placed in lower crowding conditions, and they increase their distance from the attack source.
- On the contrary, the risks connected to the evacuation timing (TN95) and flows (FN95) slightly increase (up to about +15%) for the most compact and regular BETs (BET4A and BET4B). Local crowding conditions can increase in view of the higher number of users in shaded areas, causing a slight reduction in the evacuation speediness, although the effects are less relevant in view of the reduced spaces dimensions.
- “Do the climate-related effects and morphology alter the risk under the same attack scenario?” Yes, as a further consequence of point 1, the combination of climate-related effects and morphology alters the users’ risk under the following specific attack scenario:
- The combination of the UTCI effects and morphology is significant for the evacuation timing (TN95) and flows (FN95), as well as for the physical interactions among users (PN), especially when attackers are present. As expected, the risks are higher in the widest and most complex square (i.e., BET2A) in view of comments in relation to point 1.
- Moreover, as expected, the BET morphology is a significant factor by itself. The higher the open space dimensions and irregularity in shapes, the higher the TN95 and FN95. The PN increases in less regular scenarios (i.e., BET2A). The CR is lower in wider and regular open spaces (i.e., BET1A).
- “Does the attack scenario with cold weapons increase users’ risks with respect to the conditions without the attackers?” Yes, the attack scenario with cold weapons increases the users’ risks with respect to the conditions without the attackers in all the BETs and for all the UTCI-effects scenarios, which is as expected. Although the riskiest scenarios in absolute terms occur in the widest and most complex square archetype (BET 2A), a higher increase in the risks (up to about +50% for TN95 and +200% in PN) is noticed for the wide but regular square (i.e., BET1A). This result demonstrates that the significant alterations in the risks are due to the prey–predator logic of the attackers, which can disturb the evacuation movement in a significant manner even though the built environment has a simple layout configuration.
5.2. Limitations and Future Works
6. Conclusions and Remarks
Supplementary Materials
Author Contributions
Funding
Data Availability Statement
Acknowledgments
Conflicts of Interest
Appendix A. Main Notations and Acronyms
| Notation/Acronym | Definition | Unit of Measure (If Appliable) |
|---|---|---|
| Affc, | Affordance of a given cell, at a given time in the simulation; see Appendix C | - |
| BET | Built environment typology | |
| c | Index of the cell in the simulation environment | x, y coordinates |
| CR | Casualty ratio | - |
| Fd,c,t | Distance from a given cell to the closest safe area in the BET; see Appendix C | data |
| F95 | Flows at the evacuation targets based on the analysis of 95% of the users so as to avoid considering effects due to “outlier” model uncertainties | pp/s |
| FN95 | Normalized flows; see Equation (2) | - |
| i | Index of the simulated user | |
| k | Shaping coefficient in the fundamental diagram of the evacuation speed; see Appendix C | - |
| NE | Median number of users who did not complete the evacuation during the simulation time | pp |
| Oc,t | Distance of the cell c from buildings and monuments | - |
| Pc,t | Pedestrian density “near” a given cell placed near a user, at a given time; see Appendix C | - |
| PA, PAh, PAt | Probability of UTCI-based acceptability, probability of dehors, and probability of pedestrian areas; see Equation (1) | % |
| PCF | Relative number of physical contacts among users and falls, as obtained by dividing the number of contacts and falls by T95 | events/s |
| PN | Normalized number of physical contacts among users; see Equation (3) | - |
| Rc,t | Risk in a given cell of the open space due to the considered terrorist attack | - |
| t | Index of time in the simulation | s |
| T95 | Evacuation time based on the analysis of 95% of the users so as to avoid considering effects due to “outlier” model uncertainties | s |
| TN95 | Normalized evacuation time, equal to the ratio between the T95 and the maximum simulation time (i.e., in this work 150 s) | - |
| UTCI | Universal Thermal Climate Index | °C |
| Vi | Users’ evacuation speed; see Appendix C | m/s |
| Vmax | Maximum evacuation speed of the user, that is, in free-flow motion conditions (null density); see Appendix C | m/s |
| Vmin | Minimum evacuation speed of the user, that is, in at maximum experimental density ρmax; see Appendix C | m/s |
| α | Pc,t weight; see Appendix C | - |
| β | Fd,c,t weight; see Appendix C | - |
| γ | Rc,t weight; see Appendix C | - |
| δ | Oc,t weight; see Appendix C | - |
| ρmax | Maximum experimental density; see Appendix C | pp/m2 |
Appendix B. Calculation of Users’ Exposure
Appendix C. Evacuation Model Description

Appendix D. Preliminary Verification Results of the Evacuation Simulation Model


References
- Vecco, M. A Definition of Cultural Heritage: From the Tangible to the Intangible. J. Cult. Herit. 2010, 11, 321–324. [Google Scholar] [CrossRef]
- UNESCO. Recommendation on the Historic Urban Landscape; UNESCO: Paris, France, 2021. [Google Scholar]
- Cherfaoui, D.; Djelal, N. Change in Use and Development of Public Squares Considering Daily Temporalities. Artic. Rev. Sci. Hum. 2018, 7, 33–46. [Google Scholar] [CrossRef]
- Stanley, B.W.; Stark, B.L.; Johnston, K.L.; Smith, M.E. Urban Open Spaces in Historical Perspective: A Transdisciplinary Typology and Analysis. Urban Geogr. 2012, 33, 1089–1117. [Google Scholar] [CrossRef]
- Zakariya, K.; Harun, N.Z.; Mansor, M. Spatial Characteristics of Urban Square and Sociability: A Review of the City Square, Melbourne. Procedia Soc. Behav. Sci. 2014, 153, 678–688. [Google Scholar] [CrossRef]
- Woo, G. Understanding the Principles of Terrorism Risk Modeling from Charlie Hebdo Attack in Paris. Def. Terror. Rev. 2015, 7, 33–46. [Google Scholar]
- Cantatore, E.; Quagliarini, E.; Fatiguso, F. European Cities Prone to Terrorist Threats: Phenomenological Analysis of Historical Events towards Risk Matrices and an Early Parameterization of Urban Built Environment Outdoor Areas. Sustainability 2022, 14, 12301. [Google Scholar] [CrossRef]
- Yang, Y.; Yu, J.; Wang, C.; Wen, J. Risk Assessment of Crowd-Gathering in Urban Open Public Spaces Supported by Spatio-Temporal Big Data. Sustainability 2022, 14, 6175. [Google Scholar] [CrossRef]
- Quagliarini, E.; Bernardini, G.; Romano, G.; D’Orazio, M. Users’ Vulnerability and Exposure in Public Open Spaces (Squares): A Novel Way for Accounting Them in Multi-Risk Scenarios. Cities 2023, 133, 104160. [Google Scholar] [CrossRef]
- Julià, P.B.; Ferreira, T.M. From Single- to Multi-Hazard Vulnerability and Risk in Historic Urban Areas: A Literature Review. Nat. Hazards 2021, 108, 93–128. [Google Scholar] [CrossRef]
- Villagràn De León, J.C. Vulnerability: A Conceptual and Methodological Review. Res. Couns. Educ. Publ. Ser. UNU-EHS 2006, 64, 540. [Google Scholar]
- Paukaeva, A.A.; Setoguchi, T.; Luchkova, V.I.; Watanabe, N.; Sato, H. Impacts of the Temporary Urban Design on the People’s Behavior—The Case Study on the Winter City Khabarovsk, Russia. Cities 2021, 117, 103303. [Google Scholar] [CrossRef]
- Zomer, L.-B.; Schneider, F.; Ton, D.; Hoogendoorn-Lanser, S.; Duives, D.; Cats, O.; Hoogendoorn, S. Determinants of Urban Wayfinding Styles. Travel Behav. Soc. 2019, 17, 72–85. [Google Scholar] [CrossRef]
- Han, S.; Song, D.; Xu, L.; Ye, Y.; Yan, S.; Shi, F.; Zhang, Y.; Liu, X.; Du, H. Behaviour in Public Open Spaces: A Systematic Review of Studies with Quantitative Research Methods. Build. Environ. 2022, 223, 109444. [Google Scholar] [CrossRef]
- Gherri, B.; Maiullari, D.; Finizza, C.; Maretto, M.; Naboni, E. On the Thermal Resilience of Venetian Open Spaces. Heritage 2021, 4, 4286–4303. [Google Scholar] [CrossRef]
- Lapkova, D.; Kotek, L.; Kralik, L. Soft Targets—Possibilities of Their Identification. In Proceedings of the 29th DAAAM International Symposium; Katalinic, B., Ed.; DAAAM International: Vienna, Austria, 2018; pp. 369–377. [Google Scholar]
- The European Commission Security by Design: Protection of Public Spaces from Terrorist Attacks; Publications Office of the European Union: Luxembourg, 2022; ISBN 9789276419563. Available online: https://home-affairs.ec.europa.eu/news/security-design-protection-public-spaces-terrorist-attacks-2022-12-14_en (accessed on 25 June 2023).
- Kalvach, Z. Basics of Soft Targets Protection—Guidelines, 2nd ed.; Soft Targets Protection Institute: Prague, Czech Republic, 2016. [Google Scholar]
- Federal Emergency Management Agency. FEMA 430: Site and Urban Design for Security: Guidance Against Potential Terrorist Attacks; Federal Emergency Management Agency: Washington, DC, USA, 2007.
- Karlos, V.; Larcher, M.; Solomos, G. Review on Soft Target/Public Space Protection Guidance; Publications Office of the European Union: Luxemburg, 2018; ISBN 978-92-79-79907-5.
- Quagliarini, E.; Fatiguso, F.; Lucesoli, M.; Bernardini, G.; Cantatore, E. Risk Reduction Strategies against Terrorist Acts in Urban Built Environments: Towards Sustainable and Human-Centred Challenges. Sustainability 2021, 13, 901. [Google Scholar] [CrossRef]
- FEMA. Reference Manual to Mitigate Potential Terrorist Attacks Against Buildings; FEMA: Washington, DC, USA, 2011; 510p.
- Fischer, K.; Hiermaier, S.; Riedel, W.; Häring, I. Morphology Dependent Assessment of Resilience for Urban Areas. Sustainability 2018, 10, 1800. [Google Scholar] [CrossRef]
- Bernardini, G.; Quagliarini, E. Terrorist Acts and Pedestrians’ Behaviours: First Insights on European Contexts for Evacuation Modelling. Saf. Sci. 2021, 143, 105405. [Google Scholar] [CrossRef]
- Booth, A.; Chmutina, K.; Bosher, L. Protecting Crowded Places: Challenges and Drivers to Implementing Protective Security Measures in the Built Environment. Cities 2020, 107, 102891. [Google Scholar] [CrossRef]
- Pacheco Barzallo, A.; Fariña, J.; Álvarez de Andrés, E. Public Open Spaces: Enabling or Impeding Inclusive Evacuation during Disasters. J. Public Space 2022, 7, 79–92. [Google Scholar] [CrossRef]
- Lin, J.; Zhu, R.; Li, N.; Becerik-Gerber, B. How Occupants Respond to Building Emergencies: A Systematic Review of Behavioral Characteristics and Behavioral Theories. Saf. Sci. 2020, 122, 104540. [Google Scholar] [CrossRef]
- Zhu, R.; Lin, J.; Becerik-Gerber, B.; Li, N. Human-Building-Emergency Interactions and Their Impact on Emergency Response Performance: A Review of the State of the Art. Saf. Sci. 2020, 127, 104691. [Google Scholar] [CrossRef]
- Pluchino, S.; Tribulato, C.M.G.; Caverzan, A.; Quillan, M.; Cimellaro, G.P.; Asce, M.; Mahin, S.; Asce, M. Agent-Based Model for Pedestrians ’ Evacuation after a Blast Integrated with a Human Behavior Model. In Proceedings of the Structures Congress 2015, Reston, VA, USA, 23–25 April 2015; pp. 1506–1517. [Google Scholar]
- Cheung, P.K.; Jim, C.Y. Improved Assessment of Outdoor Thermal Comfort: 1-Hour Acceptable Temperature Range. Build. Environ. 2019, 151, 303–317. [Google Scholar] [CrossRef]
- Cadena, J.D.B.; Salvalai, G.; Bernardini, G.; Quagliarini, E. Determining Behavioural-Based Risk to SLODs of Urban Public Open Spaces: Key Performance Indicators Definition and Application on Established Built Environment Typological Scenarios. Sustain. Cities Soc. 2023, 95, 104580. [Google Scholar] [CrossRef]
- Paolini, R.; Mainini, A.G.; Poli, T.; Vercesi, L. Assessment of Thermal Stress in a Street Canyon in Pedestrian Area with or without Canopy Shading. Energy Procedia 2014, 48, 1570–1575. [Google Scholar] [CrossRef]
- Rosso, F.; Golasi, I.; Castaldo, V.L.; Piselli, C.; Pisello, A.L.; Salata, F.; Ferrero, M.; Cotana, F.; de Lieto Vollaro, A. On the Impact of Innovative Materials on Outdoor Thermal Comfort of Pedestrians in Historical Urban Canyons. Renew. Energy 2018, 118, 825–839. [Google Scholar] [CrossRef]
- Haghani, M.; Kuligowski, E.; Rajabifard, A.; Lentini, P. Fifty Years of Scholarly Research on Terrorism: Intellectual Progression, Structural Composition, Trends and Knowledge Gaps of the Field. Int. J. Disaster Risk Reduct. 2022, 68, 102714. [Google Scholar] [CrossRef]
- Liu, H.; Chen, H.; Hong, R.; Liu, H.; You, W. Mapping Knowledge Structure and Research Trends of Emergency Evacuation Studies. Saf. Sci. 2020, 121, 348–361. [Google Scholar] [CrossRef]
- Wang, J.; Ni, S.; Shen, S.; Li, S. Empirical Study of Crowd Dynamic in Public Gathering Places during a Terrorist Attack Event. Phys. Stat. Mech. Appl. 2019, 523, 1–9. [Google Scholar] [CrossRef]
- Arteaga, C.; Park, J.; Morris, B.T.; Sharma, S. Effect of Trained Evacuation Leaders on Victims’ Safety during an Active Shooter Incident. Saf. Sci. 2023, 158, 105967. [Google Scholar] [CrossRef]
- Zhang, F.; Wu, S.; Song, Z. Crowd Evacuation during Slashing Terrorist Attack: A Multi-Agent Simulation Approach. In Proceedings of the 2020 Winter Simulation Conference; Bae, K.-H., Feng, B., Kim, S., Lazarova-Molnar, S., Zheng, Z., Roeder, T., Thiesing, R., Eds.; Springer: Berlin/Heidelberg, Germany, 2020; pp. 206–217. [Google Scholar]
- Chen, C.; Tong, Y.; Shi, C.; Qin, W. An Extended Model for Describing Pedestrian Evacuation under the Threat of Artificial Attack. Phys. Lett. A 2018, 382, 2445–2454. [Google Scholar] [CrossRef]
- Liang, B.; van der Wal, C.N.; Xie, K.; Chen, Y.; Brazier, F.M.T.; Dulebenets, M.A.; Liu, Z. Mapping the Knowledge Domain of Soft Computing Applications for Emergency Evacuation Studies: A Scientometric Analysis and Critical Review. Saf. Sci. 2023, 158, 105955. [Google Scholar] [CrossRef]
- Lu, P.; Zhang, Z.; Li, M.; Chen, D.; Yang, H. Agent-Based Modeling and Simulations of Terrorist Attacks Combined with Stampedes. Knowl. Based Syst. 2020, 205, 106291. [Google Scholar] [CrossRef]
- Bernardini, G.; D’Orazio, M.; Quagliarini, E. Towards a “Behavioural Design” Approach for Seismic Risk Reduction Strategies of Buildings and Their Environment. Saf. Sci. 2016, 86, 273–294. [Google Scholar] [CrossRef]
- Ronchi, E. Developing and Validating Evacuation Models for Fire Safety Engineering. Fire Saf. J. 2021, 120, 103020. [Google Scholar] [CrossRef]
- Liu, R.; Jiang, D.; Shi, L. Agent-Based Simulation of Alternative Classroom Evacuation Scenarios. Front. Archit. Res. 2016, 5, 111–125. [Google Scholar] [CrossRef]
- Song, Y.; Liu, B.; Li, L.; Liu, J. Modelling and Simulation of Crowd Evacuation in Terrorist Attacks. Kybernetes 2022. ahead-of-print. [Google Scholar] [CrossRef]
- Liu, Q. A Social Force Model for the Crowd Evacuation in a Terrorist Attack. Phys. A Stat. Mech. Appl. 2018, 502, 315–330. [Google Scholar] [CrossRef]
- Li, S.; Zhuang, J.; Shen, S. A Three-Stage Evacuation Decision-Making and Behavior Model for the Onset of an Attack. Transp. Res. Part C Emerg. Technol. 2017, 79, 119–135. [Google Scholar] [CrossRef]
- Yu, H.; Li, X.; Song, W.; Zhang, J.; Li, X.; Xu, H.; Jiang, K. Pedestrian Emergency Evacuation Model Based on Risk Field under Attack Event. Phys. A Stat. Mech. Appl. 2022, 606, 128111. [Google Scholar] [CrossRef]
- D’Amico, A.; Russo, M.; Angelosanti, M.; Bernardini, G.; Vicari, D.; Quagliarini, E.; Currà, E. Built Environment Typologies Prone to Risk: A Cluster Analysis of Open Spaces in Italian Cities. Sustainability 2021, 13, 9457. [Google Scholar] [CrossRef]
- Kurdi, H.A.; Al-Megren, S.; Althunyan, R.; Almulifi, A. Effect of Exit Placement on Evacuation Plans. Eur. J. Oper. Res. 2018, 269, 749–759. [Google Scholar] [CrossRef]
- Santos, C.; Ferreira, T.M.; Vicente, R.; da Silva, J.R.M. Building Typologies Identification to Support Risk Mitigation at the Urban Scale—Case Study of the Old City Centre of Seixal, Portugal. J. Cult. Herit. 2013, 14, 449–463. [Google Scholar] [CrossRef]
- Li, X.; Erpicum, S.; Mignot, E.; Archambeau, P.; Pirotton, M.; Dewals, B. Influence of Urban Forms on Long-Duration Urban Flooding: Laboratory Experiments and Computational Analysis. J. Hydrol. 2021, 603, 127034. [Google Scholar] [CrossRef]
- Bernardini, G.; Romano, G.; Soldini, L.; Quagliarini, E. How Urban Layout and Pedestrian Evacuation Behaviours Can Influence Flood Risk Assessment in Riverine Historic Built Environments. Sustain. Cities Soc. 2021, 70, 102876. [Google Scholar] [CrossRef]
- Mignot, E.; Li, X.; Dewals, B. Experimental Modelling of Urban Flooding: A Review. J. Hydrol. 2019, 568, 334–342. [Google Scholar] [CrossRef]
- Zhu, Z.; Gou, L.; Liu, S.; Peng, D. Effect of Urban Neighbourhood Layout on the Flood Intrusion Rate of Residential Buildings and Associated Risk for Pedestrians. Sustain. Cities Soc. 2023, 92, 104485. [Google Scholar] [CrossRef]
- Rozenfeld, M.; Givon, A.; Rivkind, A.; Bala, M.; Peleg, K.; Alfici, R.; Bahouth, H.; Becker, A.; Jeroukhimov, I.; Karawani, M.; et al. New Trends in Terrorism-Related Injury Mechanisms: Is There a Difference in Injury Severity? Ann. Emerg. Med. 2019, 74, 697–705. [Google Scholar] [CrossRef]
- Banos, A.; Lang, C.; Marilleau, N. Agent-Based Spatial Simulation with NetLogo; Elsevier: Amsterdam, The Netherlands, 2015; 268p, ISBN 9780081007235. [Google Scholar]
- Lu, P.; Li, M.; Zhang, Z. The Crowd Dynamics under Terrorist Attacks Revealed by Simulations of Three-Dimensional Agents. Artif. Intell. Rev. 2023. [Google Scholar] [CrossRef]
- van der Wal, C.N.; Formolo, D.; Robinson, M.A.; Minkov, M.; Bosse, T. Simulating Crowd Evacuation with Socio-Cultural, Cognitive, and Emotional Elements. Lect. Notes Comput. Sci. 2017, 10, 139–177. [Google Scholar] [CrossRef]
- Blanco Cadena, J.D.; Caramia, M.; Salvalai, G.; Quagliarini, E. Using Digital Models of Built Environment Archetypes to Analyze and Communicate Climate Related Risk Outdoors. In Rehabend 2022—9th Euro-American Congress on Construction Pathology, Rehabilitation Technology and Heritage Management; Blanco, H., Bloffill, Y., Lombillo, I., Saez, M.P., Eds.; University of Cantabria—Circulo Rojo: Granada, Spain, 2022; pp. 1793–1802. ISBN 978-84-09-42253-1. [Google Scholar]
- Wagner, N.; Agrawal, V. An Agent-Based Simulation System for Concert Venue Crowd Evacuation Modeling in the Presence of a Fire Disaster. Expert Syst. Appl. 2014, 41, 2807–2815. [Google Scholar] [CrossRef]
- Yıldız, B.; Çağdaş, G. Fuzzy Logic in Agent-Based Modeling of User Movement in Urban Space: Definition and Application to a Case Study of a Square. Build. Environ. 2020, 169, 106597. [Google Scholar] [CrossRef]
- Bernardini, G.; Ferreira, T.M. Emergency and Evacuation Management Strategies in Earthquakes: Towards Holistic and User-Centered Methodologies for Their Design and Evaluation. In Seismic Vulnerability Assessment of Civil Engineering Structures at Multiple Scales; Ferreira, T.M., Rodrigues, H., Eds.; Elsevier: Amsterdam, The Netherlands, 2022; pp. 275–321. ISBN 978-0-12-824071-7. [Google Scholar]
- Montalbán Pozas, B.; Neila González, F.J. Housing Building Typology Definition in a Historical Area Based on a Case Study: The Valley, Spain. Cities 2018, 72, 1–7. [Google Scholar] [CrossRef]
- Belpoliti, V.; Bizzarri, G.; Boarin, P.; Calzolari, M.; Davoli, P. A Parametric Method to Assess the Energy Performance of Historical Urban Settlements. Evaluation of the Current Energy Performance and Simulation of Retrofit Strategies for an Italian Case Study. J. Cult. Herit. 2018, 30, 155–167. [Google Scholar] [CrossRef]
- Li, N.; Zhang, F.; Geng, W.; Li, Z. Research on Performance Improvement Design Strategies for Urban Historic Districts and Suburban Traditional Villages in Multiple Scopes. J. Build. Eng. 2023, 72, 106342. [Google Scholar] [CrossRef]
- da Silva, F.T.; Reis, N.C.; Santos, J.M.; Goulart, E.V.; de Alvarez, C.E. Influence of Urban Form on Air Quality: The Combined Effect of Block Typology and Urban Planning Indices on City Breathability. Sci. Total Environ. 2022, 814, 152670. [Google Scholar] [CrossRef]
- Dibble, J.; Prelorendjos, A.; Romice, O.; Zanella, M.; Strano, E.; Pagel, M.; Porta, S. On the Origin of Spaces: Morphometric Foundations of Urban Form Evolution. Environ. Plan. B Urban Anal. City Sci. 2019, 46, 707–730. [Google Scholar] [CrossRef]
- Rashid, M. The Geometry of Urban Layouts; Springer: Cham, Switzerland, 2017; ISBN 978-3-319-30748-0. [Google Scholar]
- Talen, E. In Support of the Unambiguous Neighborhood: A Proposed Size Typology. J. Urban. Int. Res. Placemaking Urban Sustain. 2018, 11, 480–502. [Google Scholar] [CrossRef]
- Bassolino, E.; D’Ambrosio, V.; Sgobbo, A. Data Exchange Processes for the Definition of Climate-Proof Design Strategies for the Adaptation to Heatwaves in the Urban Open Spaces of Dense Italian Cities. Sustainability 2021, 13, 5694. [Google Scholar] [CrossRef]
- Sharifi, E.; Lehmann, S. Correlation Analysis of Surface Temperature of Rooftops, Streetscapes and Urban Heat Island Effect: Case Study of Central Sydney. J. Urban Environ. Eng. 2015, 9, 3–11. [Google Scholar] [CrossRef]
- Sharifi, A. Resilient Urban Forms: A Review of Literature on Streets and Street Networks. Build. Environ. 2019, 147, 171–187. [Google Scholar] [CrossRef]
- Choi, Y.; Yoon, H.; Kim, D. Where Do People Spend Their Leisure Time on Dusty Days? Application of Spatiotemporal Behavioral Responses to Particulate Matter Pollution. Ann. Reg. Sci. 2019, 63, 317–339. [Google Scholar] [CrossRef]
- Liu, P. The Effect of Temperature on Outdoor Recreation Activities: Evidence from Visits to Federal Recreation Sites. Environ. Res. Lett. 2022, 17, 044037. [Google Scholar] [CrossRef]
- Diffey, B.L. An Overview Analysis of the Time People Spend Outdoors. Br. J. Dermatol. 2011, 164, 848–854. [Google Scholar] [CrossRef] [PubMed]
- Speak, A.F.; Salbitano, F. Summer Thermal Comfort of Pedestrians in Diverse Urban Settings: A Mobile Study. Build. Environ. 2022, 208, 108600. [Google Scholar] [CrossRef]
- Ludvigsen, J.A.L.; Millward, P. A Security Theater of Dreams: Supporters’ Responses to “Safety” and “Security” Following the Old Trafford “Fake Bomb” Evacuation. J. Sport Soc. Issues 2020, 44, 3–21. [Google Scholar] [CrossRef]
- Bruyelle, J.-L.; O’Neill, C.; El-Koursi, E.-M.; Hamelin, F.; Sartori, N.; Khoudour, L. Improving the Resilience of Metro Vehicle and Passengers for an Effective Emergency Response to Terrorist Attacks. Saf. Sci. 2014, 62, 37–45. [Google Scholar] [CrossRef]
- Lovreglio, R.; Ngassa, D.-C.; Rahouti, A.; Paes, D.; Feng, Z.; Shipman, A. Prototyping and Testing a Virtual Reality Counterterrorism Serious Game for Active Shooting. SSRN Electron. J. 2021, 82, 103283. [Google Scholar] [CrossRef]
- Liu, Q. A Social Force Approach for the Defensive Strategy of Security Guards in a Terrorist Attack. Int. J. Disaster Risk Reduct. 2020, 46, 101605. [Google Scholar] [CrossRef]
- Lu, P.; Li, Y.; Wen, F.; Chen, D. Agent-Based Modeling of Mass Shooting Case with the Counterforce of Policemen. Complex Intell. Syst. 2023. [Google Scholar] [CrossRef]
- Lu, P.; Wen, F.; Li, Y.; Chen, D. Multi-Agent Modeling of Crowd Dynamics under Mass Shooting Cases. Chaos Solitons Fractals 2021, 153, 111513. [Google Scholar] [CrossRef]
- Lu, P.; Zhang, Z.; Li, M. Individual Heights and Phase Transition under Crowd Emergencies: Agent-Based Modeling from 2 to 3D. Artif. Intell. Rev. 2023. [Google Scholar] [CrossRef]
- Kebir, O.; Nouaouri, I.; Rejab, L.; Ben Said, L. Simulating Actors’ Behaviors within Terrorist Attacks Scenarios Based on a Multi-Agent System. In Proceedings of the 12th International Defense and Homeland Security Simulation Workshop, Rome, Italy, 19–21 September 2022. [Google Scholar]
- Ronchi, E.; Kuligowski, E.D.; Reneke, P.A.; Peacock, R.D.; Nilsson, D. The Process of Verification and Validation of Building Fire Evacuation Models; National Institute of Standards and Technology: Gaithersburg, MD, USA, 2013; Volume 1822.
- Li, Y.; Chen, M.; Dou, Z.; Zheng, X.; Cheng, Y.; Mebarki, A. A Review of Cellular Automata Models for Crowd Evacuation. Phys. A Stat. Mech. Appl. 2019, 526, 120752. [Google Scholar] [CrossRef]
- Bosina, E.; Weidmann, U. Estimating Pedestrian Speed Using Aggregated Literature Data. Phys. A Stat. Mech. Appl. 2017, 468, 1–29. [Google Scholar] [CrossRef]
- EM-DAT EM-DAT Database. Available online: https://www.emdat.be/database (accessed on 1 December 2022).
- Wilensky, U.; Rand, W. An Introduction to Agent-Based Modeling. Modeling Natural, Social, and Engineered Complex Systems with NetLogo; MIT Press: Cambridge, MA, USA, 2015; ISBN 978-0-262-73189-8. [Google Scholar]
- Banerjee, A.; Maurya, A.K.; Lämmel, G. Pedestrian Flow Characteristics and Level of Service on Dissimilar Facilities: A Critical Review. Collect. Dyn. 2018, 3, A17. [Google Scholar] [CrossRef]
- Gravetter, F.J.; Wallnan, L.B. Statistics for the Behavioural Sciences, 9th ed.; Cengage Learning: Wadsworth, OH, USA, 2013; ISBN 9781111830991. [Google Scholar]
- Hassanpour, S.; Rassafi, A.A. Agent-Based Simulation for Pedestrian Evacuation Behaviour Using the Affordance Concept. KSCE J. Civ. Eng. 2021, 25, 1433–1445. [Google Scholar] [CrossRef]
- Roan, T.-R.; Haklay, M.; Ellul, C. Modified Navigation Algorithms in Agent-Based Modelling for Fire Evacuation Simulation. In Proceedings of the 11th International Conference GeoComputation, London, UK, 20–22 July 2011; pp. 43–49. [Google Scholar]
- Kang, P.; Lv, Y.; Deng, Q.; Liu, Y.; Zhang, Y.; Liu, X.; Zhang, L. Investigating Lushan Earthquake Victims’ Individual Behavior Response and Rescue Organization. Int. J. Environ. Res. Public Health 2017, 14, 1556. [Google Scholar] [CrossRef] [PubMed]
- Lakoba, T.I.; Kaup, D.J.; Finkelstein, N.M. Modifications of the Helbing-Molnár-Farkas-Vicsek Social Force Model for Pedestrian Evolution. Simulation 2005, 81, 339–352. [Google Scholar] [CrossRef]
- Xiao, Q.; Li, J. Evacuation Model of Emotional Contagion Crowd Based on Cellular Automata. Discret. Dyn. Nat. Soc. 2021, 2021, 1–18. [Google Scholar] [CrossRef]
- Li, X.; Guo, F.; Kuang, H.; Geng, Z.; Fan, Y. An Extended Cost Potential Field Cellular Automaton Model for Pedestrian Evacuation Considering the Restriction of Visual Field. Phys. A Stat. Mech. Appl. 2019, 515, 47–56. [Google Scholar] [CrossRef]












| Morphology | Users’ Exposure and Vulnerability | Climate-Related Scenario [Code] | Terrorist Act [Code] |
|---|---|---|---|
| BET1A BET2A BET4A BET4B | Overall number of exposed users = 625 pp; users waiting outdoors to enter the special buildings = 480 pp; age percentage = 4% toddlers, 9% parent-assisted child, 6% young adults, 64% adults, 18% elderly | No effects of UTCI, as in users’ thermal comfort [E] Moderate UTCI effects on users’ distribution outdoors before the evacuation, related to the Milan climate (daytime from 11:00 till 16:00 in summer day) [M] Significant UTCI effects on users’ distribution outdoors before the evacuation, related to the Milan climate (daytime from 11:00 till 16:00 in summer day) [S] | No attackers [A] Cold weapon attack; attackers placed in the area where users are waiting to enter the special building [W] |
| Attack | Factor | p-Value TN95 | p-Value FN95 | p-Value PN | p-Value CR (a) | p-Value NE |
|---|---|---|---|---|---|---|
| BET | <0.01 * | <0.01 * | <0.01 * | n.a. | <0.01 * | |
| A | UTCI | 0.058 | <0.01 * | 0.3346 | n.a. | 0.035 * |
| BET × UTCI | 0.152 | 0.004 * | 0.004 * | n.a. | <0.01 * | |
| W | BET | <0.01 * | <0.01 * | <0.01 * | <0.01 * | <0.01 * |
| UTCI | 0.880 | 0.634 | 0.166 | 0.472 | 0.450 | |
| BET × UTCI | 0.028 * | 0.024 * | 0.001 * | 0.104 | 0.124 |
Disclaimer/Publisher’s Note: The statements, opinions and data contained in all publications are solely those of the individual author(s) and contributor(s) and not of MDPI and/or the editor(s). MDPI and/or the editor(s) disclaim responsibility for any injury to people or property resulting from any ideas, methods, instructions or products referred to in the content. |
© 2023 by the authors. Licensee MDPI, Basel, Switzerland. This article is an open access article distributed under the terms and conditions of the Creative Commons Attribution (CC BY) license (https://creativecommons.org/licenses/by/4.0/).
Share and Cite
Quagliarini, E.; Bernardini, G.; D’Orazio, M. How Could Increasing Temperature Scenarios Alter the Risk of Terrorist Acts in Different Historical Squares? A Simulation-Based Approach in Typological Italian Squares. Heritage 2023, 6, 5151-5186. https://doi.org/10.3390/heritage6070274
Quagliarini E, Bernardini G, D’Orazio M. How Could Increasing Temperature Scenarios Alter the Risk of Terrorist Acts in Different Historical Squares? A Simulation-Based Approach in Typological Italian Squares. Heritage. 2023; 6(7):5151-5186. https://doi.org/10.3390/heritage6070274
Chicago/Turabian StyleQuagliarini, Enrico, Gabriele Bernardini, and Marco D’Orazio. 2023. "How Could Increasing Temperature Scenarios Alter the Risk of Terrorist Acts in Different Historical Squares? A Simulation-Based Approach in Typological Italian Squares" Heritage 6, no. 7: 5151-5186. https://doi.org/10.3390/heritage6070274
APA StyleQuagliarini, E., Bernardini, G., & D’Orazio, M. (2023). How Could Increasing Temperature Scenarios Alter the Risk of Terrorist Acts in Different Historical Squares? A Simulation-Based Approach in Typological Italian Squares. Heritage, 6(7), 5151-5186. https://doi.org/10.3390/heritage6070274

