Development and Intervention Proposal with Earthen Refurbishments with Vegetal Origin Gel (VOG) for the Preservation of Traditional Adobe Buildings
Abstract
1. Introduction
1.1. Earthen Refurbishments and Modern Solutions for Cultural Heritage Buildings
1.2. Vegetal Origin Gel (VOG) and Earthen Architecture
1.3. Case Study of the Research: The Vernacular Adobe Houses of Santa Ana Chapitiro, Michoacan
2. Materials and Methods
2.1. Materials
2.2. Samples Preparation
2.3. Characterization of the Materials in the Laboratory
2.4. Empirical Application of the Earthen Mixtures in Adobe Buildings
3. Results
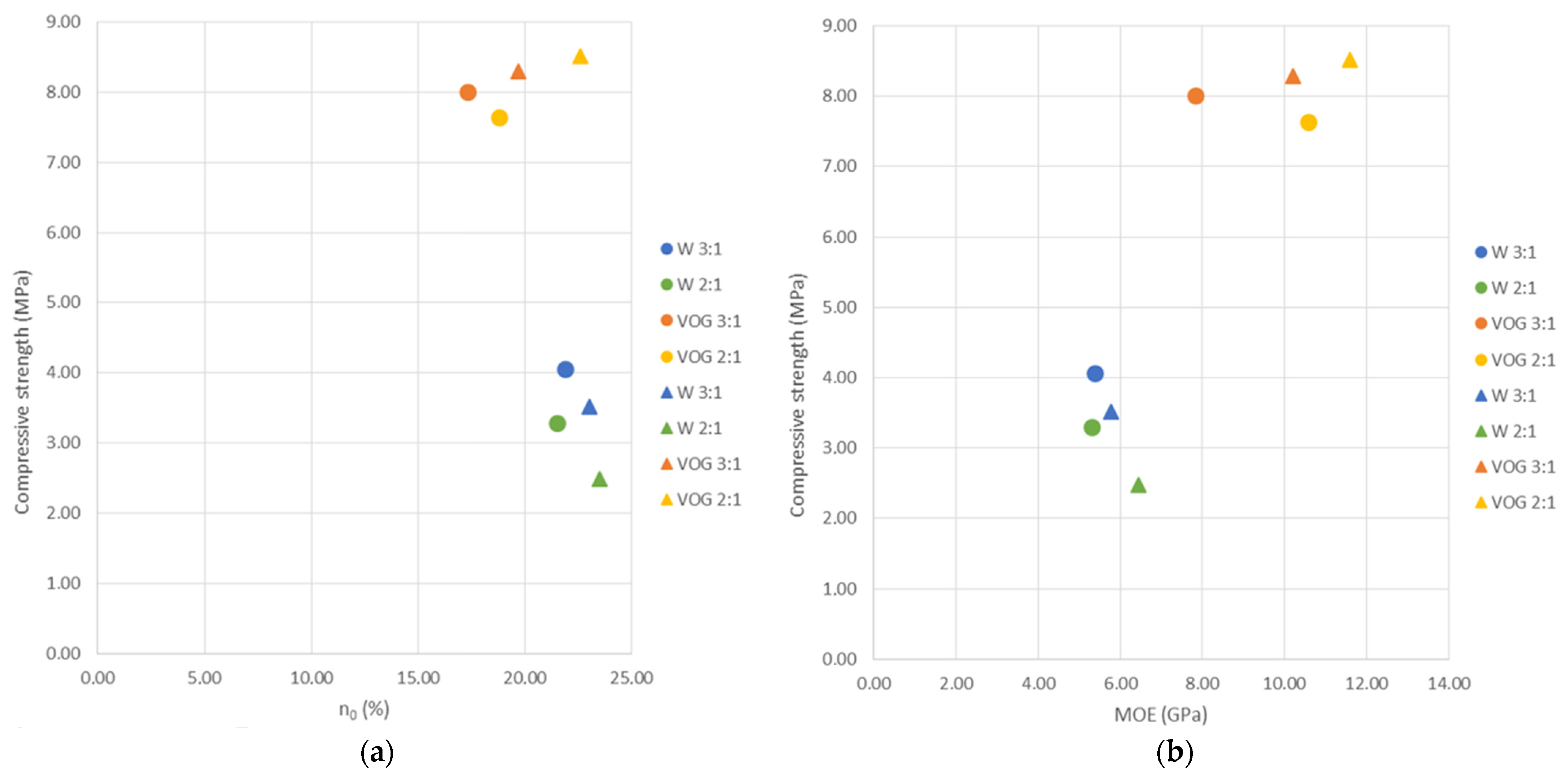
3.1. Comparative Laboratory Test
3.2. Application of the Earthen Refurbishments
4. Conclusions
Author Contributions
Funding
Data Availability Statement
Acknowledgments
Conflicts of Interest
References
- Fontaine, L.; Anger, R. Bâtir en Terre: Du Grain de Sable à L’architecture; Belin: Paris, France, 2009. [Google Scholar]
- Vilane, B. Assessment of stabilisation of adobes by confined compression tests. Biosyst. Eng. 2010, 106, 551–558. [Google Scholar] [CrossRef]
- Calderón Peñafiel, J.C. Tecnología para la Fabricación de Bloques de Tierra de Gran Resistencia. Universitat Politècnica de Catalunya. 2013. Available online: https://upcommons.upc.edu/handle/2099.1/19817 (accessed on 25 May 2022).
- García-Soriano, L.; Crespo, L.V.; Gómez-Patrocinio, F.J. Earthen elements in the Iberian Peninsula: Cataloging and preliminary study. In Vernacular and Earthen Architecture: Conservation and Sustainability; Press, C., Ed.; Taylor & Francis: Valencia, Spain, 2017; p. 4. [Google Scholar]
- Mileto, C.; López-Manzanares, F.V.; Crespo, L.V.; García-Soriano, L. The Influence of Geographical Factors in Traditional Earthen Architecture: The Case of the Iberian Peninsula. Sustainability 2019, 11, 2369. [Google Scholar] [CrossRef]
- Guillaud, H. An approach to the evolution of earthen building cultures in Orient and Mediterranean regions What future for such an exceptional legacy? Al-Râfidân J. West. Asiat. Stud. 2003. hal-01663127. [Google Scholar]
- González-Sánchez, B.; Rosell Amigó, J.R.; Navarro Ezquerra, A. The influence of ambient conditions into rammed earth compressive strenght. In Vernacular and Earthen Architecture; Conservation and Sustainability; Press, C., Ed.; Taylor & Francis: Valencia, Spain, 2017; pp. 751–754. [Google Scholar]
- Serrano, S.; Rincón, L.; González, B.; Navarro, A.; Bosch, M.; Cabeza, L.F. Rammed earth walls in Mediterranean climate: Material characterization and thermal behaviour. Int. J. Low-Carbon Technol. 2016, 12, 281–288. [Google Scholar] [CrossRef]
- Correia, M.; Carlos, G.D. Introduction: Earthen architecture, an endangered vernacular heritage. Built Herit. 2021, 5, 21–22. [Google Scholar] [CrossRef]
- Fabbri, A.; Morel, J.C.; Aubert, J.-E.; Bui, Q.-B.; Gallipoli, D.; Ventura, A.; Reddy, V.B.V.; Hamard, E.; Pelé-Peltier, A.; Abhilash, H.N. An overview of the remaining challenges of the RILEM TC 274-TCE, testing and characterisation of earth-based building materials and elements. RILEM Tech. Lett. 2022, 6, 150–157. [Google Scholar] [CrossRef]
- Dove, C. The development of unfired earth bricks using seaweed biopolymers. WIT Trans. Built Environ. 2014, 142, 219–230. [Google Scholar] [CrossRef]
- Pacheco-Torgal, F.; Jalali, S. Earth construction: Lessons from the past for future eco-efficient construction. Constr. Build. Mater. 2012, 29, 512–519. [Google Scholar] [CrossRef]
- Marsh, A.T.M.; Kulshreshtha, Y. The state of earthen housing worldwide: How development affects attitudes and adoption. Build. Res. Inf. 2022, 50, 485–501. [Google Scholar] [CrossRef]
- Cairo Carou, H. Articulaciones del Sur Global: Afinidad cultural internacionalismo solidario e Iberoamérica en la globalización contraejemónica. Geopolítica(S) Rev. Estud. Sobre Espac. Poder 2010, 1, 41–63. [Google Scholar] [CrossRef]
- Tomasi, J.; Barada, J. The technical and the social: Challenges in the conservation of earthen vernacular architecture in a changing world (Jujuy, Argentina). Built Herit. 2021, 5, 13. [Google Scholar] [CrossRef]
- Hasanbeigi, A.; Price, L.; Lin, E. Emerging energy-efficiency and CO2 emission-reduction technologies for cement and concrete production: A technical review. Renew. Sustain. Energy Rev. 2012, 16, 6220–6238. [Google Scholar] [CrossRef]
- Reddy, B.V.; Jagadish, K.S. Embodied energy of common and alternative building materials and technologies. Energy Build. 2003, 35, 129–137. [Google Scholar] [CrossRef]
- Rehan, R.; Nehdi, M. Carbon dioxide emissions and climate change: Policy implications for the cement industry. Environ. Sci. Policy 2005, 8, 105–114. [Google Scholar] [CrossRef]
- Araya-Letelier, G.; Antico, F.; Burbano-Garcia, C.; Concha-Riedel, J.; Norambuena-Contreras, J.; Concha, J.; Flores, E.S. Experimental evaluation of adobe mixtures reinforced with jute fibers. Constr. Build. Mater. 2021, 276, 122127. [Google Scholar] [CrossRef]
- Moriset, S.; Rakotomamonjy, B.; Gandreau, D. Can earthen architectural heritage save us? Built Herit. 2021, 5, 19. [Google Scholar] [CrossRef]
- Beckett, C.; Jaquin, P.; Morel, J.-C. Weathering the storm: A framework to assess the resistance of earthen structures to water damage. Constr. Build. Mater. 2020, 242, 118098. [Google Scholar] [CrossRef]
- Carreira, I.; Cardoso, I.P.; Faria, P. Earth mortars stabilization: A review. Conserv. Património 2020, 37, 35–43. [Google Scholar] [CrossRef]
- Santos, T.; Faria, P.; Silva, A.S. Eco-efficient earth plasters: The effect of sand grading and additions on fresh and mechanical properties. J. Build. Eng. 2021, 33. [Google Scholar] [CrossRef]
- Mattone, M.; Rescic, S.; Fratini, F.; Del Fà, R.M. Experimentation of Earth-Gypsum Plasters for the Conservation of Earthen Constructions. Int. J. Arch. Herit. 2017, 11, 763–772. [Google Scholar] [CrossRef]
- Castilla, F.J. Revestimientos y acabados superficiales en construcciones con tierra contemporáneas. Inf. Constr. 2011, 63, 143–152. [Google Scholar] [CrossRef]
- Ouedraogo, K.A.J.; Aubert, J.-E.; Tribout, C.; Escadeillas, G. Is stabilization of earth bricks using low cement or lime contents relevant? Constr. Build. Mater. 2020, 236. [Google Scholar] [CrossRef]
- Pedergnana, M.; Elias-Ozkan, S.T. Impact of various sands and fibres on the physical and mechanical properties of earth mortars for plasters and renders. Constr. Build. Mater. 2021, 308, 125013. [Google Scholar] [CrossRef]
- Felton, D.; Fuller, R.; Crawford, R. The potential for renewable materials to reduce the embodied energy and associated greenhouse gas emissions of medium-rise buildings. Arch. Sci. Rev. 2013, 57, 31–38. [Google Scholar] [CrossRef]
- MacDougall, C. Natural Building materials in mainstream construction: Lessons from the U.K. Simulation 1996, 66, 91–92. [Google Scholar] [CrossRef]
- Plank, J. Applications of biopolymers and other biotechnological products in building materials. Appl. Microbiol. Biotechnol. 2004, 66, 1–9. [Google Scholar] [CrossRef]
- Hernández, L.N.; Vidales, J.M.M.; Fraga, J.I.M. Valoración inicial de las propiedades de la goma de nopal como posible aditivo en la conservación de edificaciones de adobe. Intervención 2022, 1, 159–199. [Google Scholar] [CrossRef]
- Aranda-Jiménez, Y.G.; Suárez-Domínguez, E.J. Cactus stalk waterproof effect in compressed eath blocks. Nova Sci. Rev. Investig. Univ. Salle Bajío 2013, 11, 311–323. [Google Scholar]
- Wei, G.; Zhang, H.; Wang, H.; Fang, S.; Zhang, B.; Yang, F. An experimental study on application of sticky rice–lime mortar in conservation of the stone tower in the Xiangji Temple. Constr. Build. Mater. 2012, 28, 624–632. [Google Scholar] [CrossRef]
- Xiao, Y.; Fu, X.; Gu, H.; Gao, F.; Liu, S. Properties, characterization, and decay of sticky rice–lime mortars from the Wugang Ming dynasty city wall (China). Mater. Charact. 2014, 90, 164–172. [Google Scholar] [CrossRef]
- Yang, F.; Zhang, B.; Pan, C.; Zeng, Y. Traditional mortar represented by sticky rice lime mortar—One of the great inventions in ancient China. Sci. China Ser. E Technol. Sci. 2009, 52, 1641–1647. [Google Scholar] [CrossRef]
- Fuwei, Y.; Bingjian, Z.; Qinglin, M. Study of Sticky Rice—Lime Mortar Technology. Am. Chem. Soc. 2010, 43, 936–944. [Google Scholar]
- Pei, Q.Q.; Wang, X.D.; Zhao, L.Y.; Zhang, B.; Guo, Q.L. A sticky rice paste preparation method for reinforcing earthen heritage sites. J. Cult. Herit. 2020, 44, 98–109. [Google Scholar] [CrossRef]
- Huadong, G. Kaiping Diaolou and Villages. In Atlas of Remote Sensing for World Heritage: China; Huadong, G., Ed.; Springer: Berlin/Heidelberg, Germany, 2013; pp. 112–117. [Google Scholar] [CrossRef]
- Andreu-Rodríguez, J.; Ferrández-García, C.; Ferrández-Villena, M.; García-Ortuño, T. Estudio de los Usos del Almidón en la Construcción; Universidad Miguel Hernández de Elche-España: Alicante, Spain, 2016. [Google Scholar]
- Pinos, J.B.A. Estudio de la dosificación del almidón extraído del banano en un polímero de tipo termoplástico. Rev. Colomb. Química 2019, 48, 43–51. [Google Scholar] [CrossRef]
- Burrell, M.M. Starch: The need for improved quality or quantity—An overview. J. Exp. Bot. 2003, 54, 451–456. [Google Scholar] [CrossRef] [PubMed]
- Tourtelot, J.; Fourdrin, C.; de Lacaillerie, J.B.D.; Bourgès, A.; Keita, E. Starch Reinforcement of Raw Earth Constructions. In Proceedings of the 4th International Conference on Bio-Based Building Materials, Paris, France, 14–15 November 2022; Volume 1, pp. 443–447. [Google Scholar]
- Ardant, D.; Brumaud, C.; Habert, G. Influence of additives on poured earth strength development. Mater. Struct. 2020, 53, 1–17. [Google Scholar] [CrossRef]
- Yang, R.; Zhang, Z.; Xie, M.; Li, K. Microstructural insights into the lime mortars mixed with sticky rice sol–gel or water: A comparative study. Constr. Build. Mater. 2016, 125, 974–980. [Google Scholar] [CrossRef]
- Jannat, N.; Al-Mufti, R.L.; Hussien, A.; Abdullah, B.; Cotgrave, A. Influences of agro-wastes on the physico-mechanical and durability properties of unfired clay blocks. Constr. Build. Mater. 2021, 318, 126011. [Google Scholar] [CrossRef]
- López Dávalos, A. Desarrollo de un Nuevo Bloque de Tierra Mejorado con la Incorporación del Gel de Origen Vegetal. Master’s Thesis, Universitat Politècnica de Catalunya, Barcelona, Spain, 2018. [Google Scholar]
- Sacko, O. The involvement of local communities in the conservation process of earthen architecture in the Sahel-Sahara region—The case of Djenné, Mali. Built Herit. 2021, 5, 1–20. [Google Scholar] [CrossRef]
- Fisher, C.T.; Cohen, A.S.; Solinis-Casparius, R.; Pezzutti, F.L.; Bush, J.; Forest, M.; Torvinen, A. A Typology of Ancient Purépecha (Tarascan) Architecture from Angamuco, Michoacán, Mexico. Lat. Am. Antiq. 2019, 30, 510–528. [Google Scholar] [CrossRef]
- Calderón Peñafiel, J.C. Estudio Experimental de Geopolímeros de Arcillas en Función de la Resistencia Mecáninca. Universitat Politècnica de Catalunya. 2019. Available online: https://upcommons.upc.edu/handle/2117/166149 (accessed on 25 May 2022).
- UNE-EN 196-1:2018; Métodos de Ensayo de Cementos. Parte 1: Determinación de Resistencias. Aenor: Madrid, Spain, 2018.
- UNE-EN 1015-11:2020; Métodos de Ensayo de los Morteros para Albañilería. Parte 11: Determinación de la Resistencia a Flexión y a Compresión del Mortero Endurecido. Aenor: Madrid, Spain, 2020.
- UNE-EN 1015-3:2000; Métodos de Ensayo para Morteros de Albañilería. Parte 3: Determinación de la Consistencia del Mortero Fresco (por la Mesa de Sacudidas). Aenor: Madrid, Spain, 2000.
- UNE-EN 14579:2005; Métodos de Ensayo para Piedra Natural: Determinación de la Velocidad de Propagación del Sonido. Aenor: Madrid, Spain, 2005.
- UNE 41410:2008; Bloques de Tierra Comprimida para Muros y Tabiques. Definiciones, Especificaciones y Métodos de Ensayo. Aenor: Madrid, Spain, 2008.
- UNE-EN 1015-10:1999; Métodos de Ensayo de los Morteros para Albañilería. Parte 10: Determinación de la Densidad Aparente en seco del Mortero Endurecido. Aenor: Madrid, Spain, 1999.
- UNE-EN 772-11:2011; Métodos de Ensayo de Piezas para Fábrica de Albañilería. Parte 11: Determinación de la Absorción de Agua por Capilaridad de Piezas para Fábrica de Albañilería de Hormigón, Hormigón Celular Curado en Autoclave, Piedra Artificial y Piedr. Aenor: Madrid, Spain, 2011.
- UNE-EN ISO 12572:2018; Prestaciones Higrotérmicas de los Productos y Materiales para Edificación. Determinación de las Propiedades de Transmisión de Vapor de Agua. Método del Vaso. Aenor: Madrid, Spain, 2018.
- NMX-C-496-ONNCCE-2014; Industria de la Construcción—Geotecnia—Materiales para Terracerías—Determinación de la Composición Granular. ONNCCE: Mexico City, México, 2014.
- ASTM D6913/D6913M-17; Standard Test Method for Particle-Size Distribution (Gradation) of Soils Using Sieve Analysis. ASTM International: West Conshohocken, PA, USA, 2021.
- NMX-C-493-ONNCCE-2018; Industria de la Construcción—Geotecnia—Límites de Consistencia de Suelos—Método de Ensayo. ONNCCE: Mexico City, México, 2018.













| FRX (%) | XRD | ||||
|---|---|---|---|---|---|
| SiO2 | 59.87 | Na2O | 0.32 | Quartz (SiO2) | *** |
| Al2O3 | 22.87 | P2O5 | 0.06 | Kaolinite (Al2(Si2O5)(OH)4) | *** |
| Fe2O3 | 6.33 | MnO | 0.02 | Illite ((K,H3O)(Al,Mg,Fe)2(Si,Al)4O10 [(OH)2,(H2O)]) | ** |
| K2O | 1.38 | LOI | 6.87 | Chlorite (Mg,Fe)3(Si,Al)4O10(OH)2·(Mg,Fe)3(OH)6 | * |
| TiO2 | 1.04 | Calcite (CaCO3) | * | ||
| CaO | 0.73 | Hematite (Fe2O3) | * | ||
| MgO | 0.61 | Orthoclase (KAlSi3O8) | * | ||
| Atterberg limits | ADL | ||||
| LL: 40.80 PL: 25.40 IP: 15.40 MH: Mud, medium plasticity | ![]() | ||||
| Sample | Dosage (Volume) | |||
|---|---|---|---|---|
| Water | VOG | Clay | Sand | |
| W 2:1 | 0.50 | - | 2 | 1 |
| W 3:1 | 0.75 | - | 3 | 1 |
| VOG 2:1 | - | 0.50 | 2 | 1 |
| VOG 3:1 | - | 0.75 | 3 | 1 |
| Mesh Size (mm) | Retained (g) | Pass (%) | ![]() |
| 2.00 | 3.2 | 98.4 | |
| 0.84 | 4.2 | 96.3 | |
| 0.42 | 4.4 | 94.1 | |
| 0.25 | 3.2 | 92.5 | |
| 0.13 | 4.8 | 90.1 | |
| 0.074 | 7.2 | 86.5 | |
| <0.074 | 1.73 | ||
| Atterberg limits | LL: 52.8; PL: 44.7; IP: 8.1; MH: Mud, medium plasticity | ||
| Mixture | Dosage (Volume) | No. Test | |||
|---|---|---|---|---|---|
| Water | VOG | Clay | Sand | ||
| W A | 1/2 | - | 1 | 1 | 2 |
| W B | 1/2 | - | 1 | 2 | 2 |
| VOG A | - | 1/2 | 2 | 2 | 2 |
| VOG B | - | 1/2 | 3 | 2 | 2 |
| VOG C | - | 2/3 | 3 | 4 | 2 |
| Sample | Mechanical Properties and Porosity | ||||
|---|---|---|---|---|---|
| n0 (%) | Da (g/cm3) | MOE (GPa) | Cs (N/mm2) | Fs (N/mm2) | |
| W 2:1 | 21.5 | 2.04 | 5.30 ± 0.38 | 3.29 ± 0.77 | 2.11 ± 0.45 |
| W 3:1 | 21.9 | 2.07 | 5.38 ± 0.50 | 4.06 ± 0.29 | 2.31 ± 0.09 |
| VOG 2:1 | 18.8 | 2.08 | 10.58 ± 0.78 | 7.64 ± 0.39 | 5.51 ± 0.56 |
| VOG 3:1 | 17.3 | 2.13 | 7.82 ± 0.47 | 8.01 ± 2.14 | 6.45 ± 0.35 |
| Sample | Mobility of Water | ||
|---|---|---|---|
| C.S.c (Kg/(m2 min) | μ Dry Glass | μ Wet Glass | |
| W 2:1 | 2.88 ± 0.09 | 39.38 ± 8.16 | 14.84 ± 1.34 |
| W 3:1 | 3.27 ± 0.35 | 26.20 ± 5.26 | 14.35 ± 0.41 |
| VOG 2:1 | 1.29 ± 0.31 | 123.76 ± 64.48 | 17.73 ± 0.90 |
| VOG 3:1 | 1.29 ± 0.17 | 119.21 ± 30.75 | 16.20 ± 0.85 |
| Sample | ||||
|---|---|---|---|---|
| W 2:1 | W 3:1 | VOG 2:1 | VOG 3:1 | |
| % percentage variation mass | −1.30 | −0.81 | −0.38 | −0.59 |
Disclaimer/Publisher’s Note: The statements, opinions and data contained in all publications are solely those of the individual author(s) and contributor(s) and not of MDPI and/or the editor(s). MDPI and/or the editor(s) disclaim responsibility for any injury to people or property resulting from any ideas, methods, instructions or products referred to in the content. |
© 2023 by the authors. Licensee MDPI, Basel, Switzerland. This article is an open access article distributed under the terms and conditions of the Creative Commons Attribution (CC BY) license (https://creativecommons.org/licenses/by/4.0/).
Share and Cite
González-Sánchez, B.; Sandoval-Castro, K.; Navarro-Ezquerra, A.; Ramírez-Casas, J.; Sanchez-Calvillo, A.; Alonso-Guzmán, E.M.; Navarro-Mendoza, E.G. Development and Intervention Proposal with Earthen Refurbishments with Vegetal Origin Gel (VOG) for the Preservation of Traditional Adobe Buildings. Heritage 2023, 6, 3025-3042. https://doi.org/10.3390/heritage6030161
González-Sánchez B, Sandoval-Castro K, Navarro-Ezquerra A, Ramírez-Casas J, Sanchez-Calvillo A, Alonso-Guzmán EM, Navarro-Mendoza EG. Development and Intervention Proposal with Earthen Refurbishments with Vegetal Origin Gel (VOG) for the Preservation of Traditional Adobe Buildings. Heritage. 2023; 6(3):3025-3042. https://doi.org/10.3390/heritage6030161
Chicago/Turabian StyleGonzález-Sánchez, B., K. Sandoval-Castro, A. Navarro-Ezquerra, J. Ramírez-Casas, A. Sanchez-Calvillo, E. M. Alonso-Guzmán, and E. G. Navarro-Mendoza. 2023. "Development and Intervention Proposal with Earthen Refurbishments with Vegetal Origin Gel (VOG) for the Preservation of Traditional Adobe Buildings" Heritage 6, no. 3: 3025-3042. https://doi.org/10.3390/heritage6030161
APA StyleGonzález-Sánchez, B., Sandoval-Castro, K., Navarro-Ezquerra, A., Ramírez-Casas, J., Sanchez-Calvillo, A., Alonso-Guzmán, E. M., & Navarro-Mendoza, E. G. (2023). Development and Intervention Proposal with Earthen Refurbishments with Vegetal Origin Gel (VOG) for the Preservation of Traditional Adobe Buildings. Heritage, 6(3), 3025-3042. https://doi.org/10.3390/heritage6030161



