Development and Performance Assessment of Sensor-Mounted Solar Dryer for Micro-Climatic Modeling and Optimization of Dried Fish Quality in Cambodia
Abstract
1. Introduction
2. Materials and Methods
2.1. Study Location
2.2. Materials
2.3. Data Sampling
2.4. Data Analysis and Interpretation
2.4.1. Simple Linear Regression
2.4.2. Second-Order Polynomial Regression
2.4.3. Exponential Regression Model
- -
- y is the dependent variable;
- -
- is the intercept constant;
- -
- is the slope of the line;
- -
- is the explanatory variable;
- -
- is the residual.
- -
- y is the dependent variable;
- -
- is the intercept constant;
- -
- is the linear effect parameter;
- -
- is the quadratic effect parameter;
- -
- is the explanatory variable;
- -
- is the residual.
- -
- y is the dependent variable;
- -
- is the intercept constant;
- -
- is the exponential value ( = 2.7183);
- -
- is the exponential effect parameter;
- -
- is the explanatory variable;
- -
- is the residual.
2.4.4. One-Sample T-Test
- -
- d, or Cohen’s d, is the effect size;
- -
- is the mean value of each parameter;
- -
- is the given standard value;
- -
- is the sample standard deviation of .
- -
- t is the calculated t-test;
- -
- is the mean value of each parameter;
- -
- is the given standard value;
- -
- is the sample standard deviation of ;
- -
- is the sample number of .
2.4.5. Independent Two-Sample T-Test
- -
- t is the calculated t-test;
- -
- is the mean value of variable 1;
- -
- is the mean value of variable 2;
- -
- is the sample number of variable 1;
- -
- is the sample number of variable 2;
- -
- is the pooled variance of both variables;
- -
- is the variance of variable 1;
- -
- is the variance of variable 2.
2.4.6. Multivariate Correlation
- -
- R is the correlation coefficient;
- -
- is the individual value of the explanatory variable;
- -
- is the individual value of the dependent variable;
- -
- is the mean of x values;
- -
- is the mean of y values.
2.4.7. Akaike Information Criterion (AIC)
3. Results
3.1. Changes in Daily Solar Radiation
3.2. Relationship between Temperatures with Respect to Solar Radiation and Time
3.3. Comparison of Relative Humidity over Time
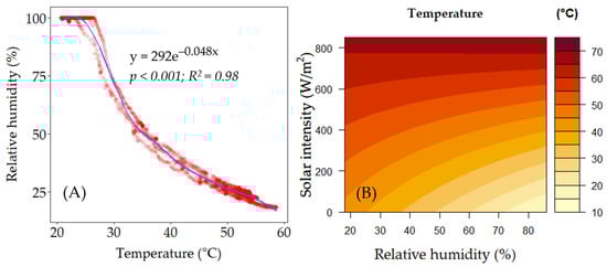
3.4. Relationship between Relative Humidity and Temperature in Solar Dryer
3.5. Relationship between Solar Radiation, Relative Humidity, and Temperature inside the Drying Chamber
3.6. Comparison of Dried Fish Weight and Moisture
3.7. Dried Fish Quality
4. Discussion
5. Conclusions
Author Contributions
Funding
Institutional Review Board Statement
Informed Consent Statement
Data Availability Statement
Acknowledgments
Conflicts of Interest
References
- FAO. The State of World Fisheries and Aquaculture; FAO: Rome, Italy, 2020; Available online: https://www.fao.org/fishery/en/publication/268975?lang=en (accessed on 1 August 2023).
- WWF. Community Fisheries: Fishers in the Fading Evening Light on the Cambodian Section of the Mekong River. 2021. Available online: https://www.wwf.org.kh/projects_and_reports2/sustainable_use/community_fisheries/ (accessed on 7 August 2023).
- Channel Fish Processing. How Often Should You Eat Fish? 2023. Available online: https://channelfish.com/blog/how-often-should-you-eat-fish/ (accessed on 10 September 2023).
- UNCTAD. 90% of Fish Stocks Are Used Up—Fisheries Subsidies Must Stop; World Economic Forum: Geneva, Switzerland, 2018; Available online: https://unctad.org/news/90-fish-stocks-are-used-fisheries-subsidies-must-stop (accessed on 3 August 2023).
- Sustainable Fisheries. Available online: http://ourocean2016.org/sustainable-fisheries (accessed on 3 August 2023).
- Jun, M.J.; Ma, X.; Xie, J. Review on natural preservatives for extending fish shelf life. Foods 2019, 8, 490. [Google Scholar] [CrossRef]
- Jiang, D.; Liu, Y.; Jiang, H.; Rao, S.; Fang, W.; Wu, M.; Yuan, L.; Fang, W. A novel screen-printed mast cell-based electrochemical sensor for detecting spoilage bacterial quorum signaling molecules (N-acyl-homoserine-lactones) in freshwater fish. Biosen. Bioelectron 2018, 102, 396–402. [Google Scholar] [CrossRef]
- Omoruyi, K.; Osamede, A.; Abdullahi, M.M. Effects of bleeding and gutting procedures on the nutritional value of smoke-dried Clarias gariepinus under storage at room temperature. J. Appl. Life Sci. Int. 2018, 19, 1–8. [Google Scholar] [CrossRef]
- UNIDO. Solar Fish-Drying Tech Has the Potential to Transform Cambodia’s Fisheries. 2023. Available online: https://www.unido.org/stories/solar-fish-drying-tech-has-potential-transform-cambodias-fisheries (accessed on 12 August 2023).
- Fitri, N.; Chan, S.X.Y.; Lah, N.H.C.; Jam, F.A.; Misnan, N.M.; Kamal, N.; Sarian, M.N.; Lazaldin, M.A.M.L.; Low, C.F.; Hamezah, H.S.; et al. A Comprehensive review on the processing of dried fish and the associated chemical and nutritional changes. Foods 2022, 11, 2938. [Google Scholar] [CrossRef]
- Banna, H.A.; Hoque, S.; Tamanna, F.; Hasan, M.; Mondal, P.; Hossain, B.; Chakma, S.; Jaman, N.; Tareq, A.; Khana, S.I. Nutritional, microbial and various quality aspects of common dried fish from commercial fish drying centers in Bangladesh. Heliyon 2022, 8, e10830. [Google Scholar] [CrossRef]
- Suzuki, H.; Hayakawa, S.; Okazaki, E.; Yamazawa, M. Effect of solar drying on vitamin D3 and provitamin D3 contents in fish meat. J. Agric. Food Chem. 1988, 36, 803–806. [Google Scholar] [CrossRef]
- Bala, B.K.; Mondol, M.R.A.; Biswas, B.K.; Das Chowdury, B.L.; Janjai, S. Solar drying of pineapple using solar tunnel drier. Renew. Energy 2003, 28, 183–190. [Google Scholar] [CrossRef]
- Adelaja, A.O.; Babatope, B.I. Analysis and testing of a natural convection solar dryer for the tropics. J. Energy 2013, 2013, 479894. [Google Scholar] [CrossRef]
- Karim, R.; Islam, R.; Islam, Z.; Jannat, R.; Chowdhury, Y.F.; Karmakar, D.; Hasan, R. Assessment of Quality and Economic Viability of Small Dried Fish Produced under Sun and Heat Pump Drying Technologies. J. Food Process. Technol. 2023, 14, 1001034. [Google Scholar]
- Patterson, J.; Kailasam, S.; Giftson, H.; Immaculate, J.K. Effect of drying technologies on the biochemical properties of Stolephorus commersonnii. Food Qual. Saf. 2018, 2, 153–158. [Google Scholar] [CrossRef]
- Natarajan, S.K.; Elangovan, E.; Elavarasan, R.M.; Balaraman, A.; Sundaram, S. Review on solar dryers for drying fsh, fruits, and vegetables. Environ. Sci. Pollut. Res. 2022, 29, 40478–40506. [Google Scholar] [CrossRef]
- Norton, B. Characteristics of different systems for the solar drying of crops. In Solar Dryer Technology; Prakash, O., Kumar, A., Eds.; Springer: Berlin/Heidelberg, Germany, 2017. [Google Scholar] [CrossRef]
- Udomkun, P.; Romuli, S.; Schock, S.; Mahayothee, B.; Sartas, M.; Wossen, T.; Njukwe, E.; Vanlauwe, B.; Müller, J. Review of solar dryers for agricultural products in Asia and Africa: An innovation landscape approach. J. Environ. Manag. 2020, 268, 110730. [Google Scholar] [CrossRef]
- Fudholi, A.; Sopian, K.; Ruslan, M.H.; Alghoul, M.A.; Sulaiman, M.Y. Review of solar dryers for agricultural and marine products. Renew. Sustain. Energy Rev. 2010, 14, 1–30. [Google Scholar] [CrossRef]
- Tarminzi, M.A.S.M.; Razak, A.A.; Azmi, M.A.A.; Ming, Y.H.; Akramin, M.R.M.; Mokhtar, N.M.; Sharol, A.F. Recent Advances in Solar Drying System: A Review. Int. J. Engneering Technol. Sci. 2021, 8, 1–13. Available online: https://journal.ump.edu.my/ijets/article/view/6448/1469 (accessed on 20 September 2023).
- Mithun, B.D.; Hoque, M.S.; Brakel, M.L.V.; Hasan, M.M.; Akter, S.; Islam Mohd, R. Comparative quality assessment of traditional vs. improved dried Bombay duck (Harpodon nehereus) under different storage conditions: Solar chimney dryer a low-cost improved approach for nutritional dried fish. Food Sci. Nutr. 2021, 9, 6794–6805. [Google Scholar] [CrossRef]
- Jangde, P.K.; Singh, A.; Arjunan, T.V. Efficient Solar Dryer Techniques: A Review. Environ. Sci. Pollut. Res. Int. 2022, 29, 50970–50983. [Google Scholar] [CrossRef]
- Basunia, M.A.; Al-Handali, H.H.; Al-Balushi, M.I.; Rahman, M.S.; Mahgoub, O. Drying of fish sardines in Oman using solar tunnel dryers. J. Agric. Sci. Technol. 2011, 1, 108–114. [Google Scholar]
- Heilporn, C.; Haut, B.; Debaste, F.; van der Pol, F.; Boey, C.; Nonclercq, A. Implementation of a rational drying process for fish conservation. Food Sec. 2010, 2, 71–80. Available online: https://www.academia.edu/8973015/Implementation_of_a_rational_drying_process_for_fish_conservation (accessed on 24 August 2023). [CrossRef]
- Reza, M.S.; Bapary, M.A.; Islam, M.N.; Kamal, M.D. Optimization of Marine Fish Drying Using Solar Tunnel Dryer. J. Food Process. Preserv. 2009, 33, 47–59. [Google Scholar] [CrossRef]
- Bala, B.K.; Janjai, S. Solar drying of fish (Bombay duck) using solar tunnel dryer. Int. Energy J. 2005, 6, 91–102. [Google Scholar]
- Hin, L.; Buntong, B.; Mean, C.M.; Chhoem, C.; Prasad, P.V.V. Impacts of Using Solar Dryers on Socio-Economic Conditions of Dried Fish Processors in Cambodia. Sustainability 2024, 16, 2130. [Google Scholar] [CrossRef]
- Im, S. United Nations Industrial Development Organization (UNIDO): Reinforcing the Use of Solar Drying Tech to Boost Cambodian Fishery SME’s Productivity and Competitiveness. 2024. Available online: https://cambodia.un.org/en/257504-reinforcing-use-solar-drying-tech-boost-cambodian-fishery-smes-productivity-and (accessed on 15 February 2024).
- Sokvibol, C.; Arunya, P.; Chuleeporn, C.; Wanticha, S.; Kriangkrai, P. Assessment of Biogenic Amine Level from Cambodia Fermented Fish Products. Food Res. 2002, 6, 294–302. [Google Scholar] [CrossRef]
- Kassambara, A. Package ‘Rstatix’: Pipe-Friendly Framework for Basic Statistical Tests. 2023. Available online: https://www.semanticscholar.org/paper/Pipe-Friendly-Framework-for-Basic-Statistical-Tests-Kassambara/e1229cd67fd9b6d61c17e22939f25a16da87c442 (accessed on 25 September 2023).
- Wickham, H.; Chang, W.; Henry, L.; Pedersen, L.C.; Takahashi, K.; Wilke, C.; Woo, K.; Yutani, H.; Dunnington, D. Package ‘Ggplot2’: Create Elegant Data Visualizations Using the Grammar of Graphics: CRAN. 2023. Available online: https://ggplot2.tidyverse.org (accessed on 25 September 2023).
- Calkins, K.G. Linear Regression; Andrews University: Berrien Springs, MI, USA, 2005; Available online: https://www.andrews.edu/calkins/math/edrm611/edrm06.htm (accessed on 13 August 2022).
- Schneider, A.; Hommel, G.; Blettner, M. Linear Regression Analysis: Part 14 of a series on Evaluation of Scientific Publications. Dtsch. Arztebl. Int. 2010, 107, 776–782. [Google Scholar] [CrossRef]
- Jenkin, D.G.; Quintana-Ascencio, P.R. A solution to minimum sample size for regressions. PLoS ONE 2020, 15, e0229345. [Google Scholar] [CrossRef]
- Baldigara, T.; Duvnjak, K. Modelling wages in Croatia using a second-order polynomial regression model. Int. J. Bus. Adm. 2015, 6, 59–65. [Google Scholar] [CrossRef]
- Ostertagová, E. Modelling Using Polynomial Regression. Procedia Eng. 2012, 48, 500–506. [Google Scholar] [CrossRef]
- Stimson, J.A.; Carmines, E.G.; Zeller, R.A. Interpreting Polynomial Regression. Sociol. Methods Res. 1978, 6, 515–524. [Google Scholar] [CrossRef]
- Umarhadi, D.A.; Syarif, A.M. Regression model accuracy comparison on mangrove canopy density mapping. Phys. Sci. Eng. 2018, 2, 1–11. [Google Scholar] [CrossRef]
- Pennsylvania State University. Lesson 12: Logistic, Poisson & Nonlinear Regression: Exponential Regression Example; Pennsylvania State University: University Park, PA, USA, 2018; Available online: https://online.stat.psu.edu/stat462/node/205/ (accessed on 10 March 2014).
- Skaik, Y. The Bread and Butter of Statistical Analysis “T-Test”: Uses and Misuses. Pak J. Med. Sci. 2015, 31, 1558–1559. [Google Scholar] [CrossRef]
- Cohen, J. Approximate power and sample size determination for common one-sample and two-sample hypothesis tests. Educ. Psychol. Meas. 1970, 30, 811–831. [Google Scholar] [CrossRef]
- de Winter, J.C.F. Using the Student’s t-test with extremely small sample sizes. Pract. Assess. Res. Eval. 2013, 18, 10. [Google Scholar] [CrossRef]
- Ross, A.; Willson, V.L. One-Sample T-Test. In Basic and Advanced Statistical Tests; Sense Publishers: Rotterdam, The Netherlands, 2017. [Google Scholar] [CrossRef]
- Francis, G.; Jakicic, V. Equivalent Statistics for a One-Sample T-Test. Behav. Res. Methods 2023, 55, 77–78. [Google Scholar] [CrossRef]
- Rasch, D.; Kubinger, K.D.; Moder, K. The two-sample t test: Pre-testing its assumptions does not pay off. Stat Pap. 2011, 52, 219–231. [Google Scholar] [CrossRef]
- Xu, M.; Fralick, D.; Zheng, J.Z.; Wang, B.; Tu, X.M.; Feng, C. The Differences and Similarities Between Two-Sample T-Test and Paired T-Test. Shanghai Arch Psychiatry 2017, 29, 184–188. [Google Scholar] [CrossRef]
- Delacre, M.; Lakens, D.; Leys, C. Why psychologists should by default use Welch’s t-test instead of students’ t-test. Int. Rev. Soc. Psychol. 2017, 30, 92–101. [Google Scholar] [CrossRef]
- Fagerland, M.W.; Sandvik, L. Performance of five two-sample location tests for skewed distributions with unequal variances. Contemp. Clin. Trials 2009, 30, 490–496. [Google Scholar] [CrossRef]
- Sedgwick, P.M. Pearson’s Correlation Coefficient. BMJ 2012, 4, 345. [Google Scholar] [CrossRef]
- Rovetta, A. Raiders of the Lost Correlation: A Guide on Using Pearson and Spearman Coefficients to Detect Hidden Correlations in Medical Sciences. Cureus 2020, 12, e11974. [Google Scholar] [CrossRef]
- Evans, J.D. Straightforward Statistics for the Behavioral Sciences; Brooks/Cole Publishing: Pacific Grove, CA, USA, 1996. [Google Scholar]
- Bewick, V.; Cheek, L.; Ball, J. Statistics review 7: Correlation and regression. Critical Care 2003, 7, 451. [Google Scholar] [CrossRef] [PubMed]
- Wagenmakers, E.-J.; Farrell, S. AIC model selection using Akaike Weights. Psychon. Bull. Rev. 2004, 11, 192–196. [Google Scholar] [CrossRef] [PubMed]
- NASA. Solar Irridation. 2017. Available online: https://sunclimate.gsfc.nasa.gov/article/solar-irradiance (accessed on 20 March 2024).
- Kalogirou, S. Solar Engineering Engineering: Processes and Systems; Esavier: Burlington, MA, USA, 2009; Available online: https://library.uniteddiversity.coop/Energy/Solar/Solar_Energy_Engineering-Processes_and_Systems.pdf (accessed on 24 February 2024).
- Lisete Fernandes, L.; Tavares, P.B. A Review on Solar Drying Devices: Heat Transfer, Air Movement and Type of Chambers. Solar 2024, 4, 15–42. [Google Scholar] [CrossRef]
- ADB. Renewable Energy Development and Potential in the Greater Submekong Region. Asian Development Bank. 2019. Available online: https://www.adb.org/publications/renewable-energy-developments-and-potential-gms (accessed on 24 February 2024).
- Ennissioui, J.; Benghoulam, E.M.; Rhafiki, T.E. Experimental Study of a National Convection Indirect Solar Dryer. Heliyon 2023, 9, e21299. [Google Scholar] [CrossRef]
- Stiling, J.; Li, S.; Stroeve, P.; Thompson, J.; Mjawa, B. Performance evaluation of an enhanced fruit solar dryer using concentrating panels. Energy Sustain. Dev. 2012, 16, 224–230. [Google Scholar] [CrossRef]
- Wazad, M.A.; Islam, M.T.; Uddin, N. Solar Tunnel Fish Dryer for Seasonal Application in the perspective of Bangladesh. Eng. e-Trans. 2009, 4, 73–80. Available online: https://www.researchgate.net/publication/265294260_88-CP-1_Solar_tunnel_fish_dryer_for_seasonal_application_in_the_perspective_of_Bangladesh (accessed on 23 February 2024).
- Shrestha, A.K.; Thapa, A.; Gautam, H. Solar Radiation, Air Temperature, Relative Humidity, and Dew Point Study: Damak, Jhapa, Nepal. Int. J. Photenergy 2019, 2019, 8369231. [Google Scholar] [CrossRef]
- Solar Energy Techonologies Office. Solar Radiation Basics. 2024. Available online: https://www.energy.gov/eere/solar/solar-radiation-basics#:~:text=The%20amount%20of%20solar%20radiation,Season (accessed on 13 February 2024).
- Olokor, J.; Omojowo, F.S. Adaptation and Improvement of a Simple Solar Tent Dryer to Enhance Fish Drying. Nat. Sci. 2009, 10, 18–24. Available online: https://www.researchgate.net/publication/274370310_Adaptation_And_Improvement_Of_A_Simple_Solar_Tent_Dryer_To_Enhance_Fish_Drying (accessed on 24 February 2024).
- Rulazi, E.L.; Marwa, J.; Kichonge, B.; Kivevele, T. Development and Performance Evaluation of a Novel Solar Dryer Integrated with Thermal Energy Storage System for Drying of Agricultural Products. ACS Omega 2023, 8, 43304–43317. [Google Scholar] [CrossRef]
- Florida Atlantic University. Temperature over time: How Does the Angle of the Sun’s Rays and Amount of Daylight Vary? 2023. Available online: https://www.ces.fau.edu/nasa/module-3/why-does-temperature-vary/angle-of-the-sun.php (accessed on 20 February 2024).
- Tchaya, G.B.; Houdji, E.T.; Tchami, J.H.; Kapseu, C.; Kamta, M. Regulation of temperature on multitrays in an indirect solar dryer (ISD) with energy storage and three airflow modes. J. Eng. 2021, 2021, 6668095. [Google Scholar] [CrossRef]
- Naing, T.T.; Soe, C.T. Comparative analysis of the performance of cabinet solar dryer and open sun drying for Banana slices. Int. Sci. Forum 2021, 1127, 012015. [Google Scholar] [CrossRef]
- Saini, R.K.; Saini, D.K.; Gupta, R.; Verma, P.; Thakur, R.; Kumar, S. Technological development in solar dryers from 2016 to 2021-A review. Renew. Sustain. Energy Rev. 2023, 188, 113855. [Google Scholar] [CrossRef]
- Cleaning Technology Groups. Drying—The Effects of Temperature on Relative Humidity. 2023. Available online: https://techblog.ctgclean.com/2013/05/drying-the-effect-of-temperature-on-relative-humidity/ (accessed on 10 March 2024).
- Jain, R.; Paul, A.S.; Sharma, D.; Panwar, N.L. Enhancement in thermal performance of solar dryer through conduction mode for drying of agricultural produces. Energy Nexus 2023, 9, 100182. [Google Scholar] [CrossRef]
- Seveda, M.S.; Jhajharia, D. Design and Performance Evaluation of Solar Dryer for Drying of Large Cardamom (Amomum Subulatum). J. Renew. Sustain. Energy 2012, 4, 063129. [Google Scholar] [CrossRef]
- Susuk, S.; Promjan, W.; Inchoorun, N.; Meesat, R.; Suttivattanavet, W.; Iamsub, K.; Jamjumroon, S. Performance Evaluation of Solar Radiation for Food and Agricultural Dryer. E3S Web Conf. 2023, 428, 01007. [Google Scholar] [CrossRef]
- Ruzikulov, G.; Ibragimov, U.; Faiziev, T.; Mirzayorova, S.; Ruzikulov, A. Study of the temperature and humidity regime in solar drying of agricultural products. BIO Web Conf. 2023, 71, 01024. [Google Scholar] [CrossRef]
- National Oceanic and Atmosphere Administration. The Transfer of Heat Energy. 2024. Available online: https://www.noaa.gov/jetstream/atmosphere/transfer-of-heat-energy (accessed on 8 March 2024).
- Sultana, S.; Hussain, S.; Farooq, M.; Ehsan, M. Solar Dryer for Large/Medium Scale Ripening and Drying of Dates: A Case Study of Dates Growing Area of Pakistan. Pak. J. Sci. Ind. Res. Ser. B Biol. Sci. 2021, 64, 30–37. [Google Scholar] [CrossRef]
- Chavan, B.R.; Yakupitiyage, A.; Kumar, S. Mathematical Modelling and Quality Characteristics of Indian Mackerel (Rastrilliger Kangurta) Dried in Solar Cabinet Dryer. Dry. Technol. 2008, 12, 838–845. [Google Scholar] [CrossRef]
- Flowra, F.A.; Tumpa, A.S.; Islam, M.T. Biochemical analysis of five dried fish species of Bangladesh. Univ. J. Zool. Rajshahi Univ. 2012, 31, 9–11. [Google Scholar] [CrossRef]
- Nurullah, M.; Kamal, M.; Wahab, M.A.; Islam, M.N.; Reza, M.S.; Thilsted, S.H.; Mazid, M.A. Quality assessments of traditional and solar tunnel dried SIS (Small Indigenous Fish Species) Products. Bangladesh J. Fish. Res. 2006, 10, 63–72. Available online: https://core.ac.uk/download/pdf/33721956.pdf (accessed on 8 February 2024).
- Essuman Ghana, K.M. The Role of Land Fish in Food Consumption in West Affrica: A Review; FAO: Rome, Italy, 1992; p. 117. Available online: https://www.fao.org/3/t0606b/T0606B04.htm (accessed on 23 February 2024).
- Kim, B.; Oh, B.; Lee, J.; Yoon, Y.S.; Lee, H. Effects of Various Drying Methods on Physicochemical Characteristics and Textural Features of Yellow Croaker (Larimichthys Polyactis). Foods 2020, 9, 196. [Google Scholar] [CrossRef]
- Rasul, M.G.; Yuan, C.; Yu, K.; Takaki, K.; Shah, A.K.M.A. Factors influencing the nutritional composition, quality and safety of dried fishery products. Food Res. 2022, 6, 444–466. [Google Scholar] [CrossRef]
- Bahrndorff, S.; Menanteau-Ledouble, S.; Stidsborg, S.; Jørgensen, N.O.G.; Hoque, M.S.; Nielsen, J.L. Bacterial composition associated with different traditions of salted and dried fish across countries. Food Biosci. 2022, 50, 101991. [Google Scholar] [CrossRef]
- Fasuan, A.A.; Akin-Obasola, B.; Abiodun, B.O. Water activity relations of spoilage fungi associated with smoke-dried catfish (Clarias gariepinus) sold in some open markets in Nigeria. J. Food Sci. Technol. 2022, 59, 2168–2176. [Google Scholar] [CrossRef] [PubMed]
- Hasan, M.M.; Shikha, F.H.; Hossain, M.I.; Kamal, M.; Islam, M.N.; Wahab, M.A. Quality assessments of traditional, rotary and solar tunnel dried small indigenous fish products. Bangladesh J. Fish. Res. 2006, 10, 73–84. Available online: https://aquadocs.org/mapping/18868/1/BJFR10.1_073.pdf (accessed on 12 January 2023).
- Maqsood, S.; Benjakul, S.; Shahidi, F. Emerging Role of Phenolic Compounds as Natural Food Additives in Fish and Fish Products. Crit. Rev. Food Sci. Nutr. 2006, 53, 162–179. [Google Scholar] [CrossRef] [PubMed]
- Majumdar, B.C.; Ahammad, B.; Kabir, I.E.; Mollik, J.R.; Baidya, A.; Hossain, M.F.; Asadujjaman, M.; Roy, T.K.; Paul, S.I. Sensorial, physicochemical and microbial quality evaluations of sun-dried marine fishes available in the Bay of Bengal of Bangladesh. Appl. Food Res. 2023, 3, 100369. [Google Scholar] [CrossRef]









| Parameter | Lower-Shelf Temp | Upper-Shelf Temp | Ambient Temp | Solar Dryer RH | Ambient RH | Solar Radiation |
|---|---|---|---|---|---|---|
| Lower-shelf Temp | ||||||
| Upper-shelf Temp | 0.99 *** | |||||
| Ambient Temp | 0.93 *** | 0.94 *** | ||||
| Solar dryer RH | −0.94 *** | −0.95 *** | −0.88 *** | |||
| Ambient RH | −0.94 *** | −0.94 *** | −0.91 *** | 0.93 *** | ||
| Solar radiation | 0.81 *** | 0.79 *** | 0.68 *** | −0.76 *** | −0.8 *** |
| Formulas | K | AICc | Delta_AICc | ModelLik | AICcWt | LL |
|---|---|---|---|---|---|---|
| z = 59.40 − 0.44x + 0.02y − 0.001xy | 5 | 4293.78 | 0.00 | 1 | 1 | −2141.86 |
| z = 06.92 − 0.50x + 0.01y | 4 | 4753.89 | 460.11 | 0 | 0 | −2372.93 |
| z = 48.80 + 129.76x2 − 103.31y2 | 4 | 6858.86 | 2565.08 | 0 | 0 | −3425.41 |
| Fish for Drying | Drying Stage | Traditional Drying | Solar Dryer | Grand Mean | Difference | Pr (>|t|) |
|---|---|---|---|---|---|---|
| Weight (kg) | Initial | 1.05 ± 0.09 | 1.03 ± 0.05 | 1.04 ± 0.07 | 0.02 | 0.853 ns |
| Final | 0.58 ± 0.03 | 0.48 ± 0.02 | 0.10 | 0.036 * | ||
| Moisture (%) | Initial | 80.2% | 82.1% | 81.1% | −1.9 | 0.065 ns |
| Final | 49% | 45% | 10 | 0.045 * |
| Parameters | Dried Fish Quality | Standard | |
|---|---|---|---|
| Traditional Drying | Solar Dryer | ||
| Moisture (%) | 49 ** | 45 ns | <45 |
| Water (Aw) | 0.75 ** | 0.70 * | <0.78 |
| Salt (% WB) | 6.7 *** | 6.6 ** | <10 |
| Sugar (% WB) | 8.1 ns | 7.2 ns | <8 |
| Ash (% WB) | 11.1 * | 9.0 ns | <9 |
| Protein (% WB) | 49.2 * | 48.1 ** | 40–45 |
| E. coli | ND | ND | - |
| Salmonella | Salmonella spp. | ND | - |
Disclaimer/Publisher’s Note: The statements, opinions and data contained in all publications are solely those of the individual author(s) and contributor(s) and not of MDPI and/or the editor(s). MDPI and/or the editor(s) disclaim responsibility for any injury to people or property resulting from any ideas, methods, instructions or products referred to in the content. |
© 2024 by the authors. Licensee MDPI, Basel, Switzerland. This article is an open access article distributed under the terms and conditions of the Creative Commons Attribution (CC BY) license (https://creativecommons.org/licenses/by/4.0/).
Share and Cite
Hin, L.; Mean, C.M.; Kim, M.C.; Chhoem, C.; Bunthong, B.; Lor, L.; Sourn, T.; Prasad, P.V.V. Development and Performance Assessment of Sensor-Mounted Solar Dryer for Micro-Climatic Modeling and Optimization of Dried Fish Quality in Cambodia. Clean Technol. 2024, 6, 954-972. https://doi.org/10.3390/cleantechnol6030048
Hin L, Mean CM, Kim MC, Chhoem C, Bunthong B, Lor L, Sourn T, Prasad PVV. Development and Performance Assessment of Sensor-Mounted Solar Dryer for Micro-Climatic Modeling and Optimization of Dried Fish Quality in Cambodia. Clean Technologies. 2024; 6(3):954-972. https://doi.org/10.3390/cleantechnol6030048
Chicago/Turabian StyleHin, Lyhour, Chan Makara Mean, Meng Chhay Kim, Chhengven Chhoem, Borarin Bunthong, Lytour Lor, Taingaun Sourn, and P. V. Vara Prasad. 2024. "Development and Performance Assessment of Sensor-Mounted Solar Dryer for Micro-Climatic Modeling and Optimization of Dried Fish Quality in Cambodia" Clean Technologies 6, no. 3: 954-972. https://doi.org/10.3390/cleantechnol6030048
APA StyleHin, L., Mean, C. M., Kim, M. C., Chhoem, C., Bunthong, B., Lor, L., Sourn, T., & Prasad, P. V. V. (2024). Development and Performance Assessment of Sensor-Mounted Solar Dryer for Micro-Climatic Modeling and Optimization of Dried Fish Quality in Cambodia. Clean Technologies, 6(3), 954-972. https://doi.org/10.3390/cleantechnol6030048

