Abstract
This study investigates the production of biochar from fresh wood shavings (B-WSF) and used wood shavings (B-WSU–animal litter) biomass through pyrolysis at 450 °C and explores its potential for NO2 adsorption at different temperatures from 22 °C to 250 °C. The biochars’ thermal stability, elemental composition, mineral content, textural properties, and surface chemistry were comprehensively analyzed using various techniques, including thermogravimetric analysis (TGA), ultimate analysis, proximate analysis, mineral composition analysis, scanning electron microscopy (SEM), X-ray photoelectron spectroscopy (XPS), and NO2 adsorption experiments. The results indicate that biochars derived from WSF and WSU biomass possess high stability and exhibit significant changes in their elemental composition, surface functional groups, and textural properties compared to the raw biomass. The biochars demonstrated substantial NO2 adsorption capacities and reduction, with B-WSU biochar exhibiting higher adsorption capacity attributed to its higher specific surface area, mineral content, and functional groups. In addition, the results reveal distinct patterns in NO2 adsorption and NO release, with temperature playing a pivotal role in the process. At lower temperatures, NO2 adsorption on both biochars exhibits gradual increases, while higher temperatures facilitate immediate adsorption and subsequent reduction to NO. The adsorption of NO2 increased with increasing adsorption temperature, with B-WSU biochar achieving a maximum adsorption capacity of 43.54 mg/g at 250 °C, compared to 9.62 mg/g for B-WSF biochar. Moreover, XPS analysis revealed alterations in surface functional groups upon NO2 exposure, indicating enhanced surface oxidation and formation of nitrogen-containing species. In addition, differences in surface heterogeneity and mineral content influence NO2 adsorption behavior between the biochar samples. These findings highlight the potential of WSF biomass-derived biochar as an effective adsorbent for NO2 removal, offering insights into its application in air pollution mitigation strategies. The mechanism of NO2 adsorption involves chemisorption on oxygen-containing functional groups and physical adsorption, facilitated by the high specific surface area and pore volume of the biochar. Furthermore, the rich mineral content in B-WSU biochar explains its high adsorption capacity, demonstrating the potential for valorization of waste materials in the circular economy.
1. Introduction
A major obstacle facing the energy and chemical industries is the elimination of toxic or environmentally harmful gases before they are released into the atmosphere. Mitigating NOx pollution, particularly in the form of NO2, is a major challenge due to its prevalence in anthropogenic emissions and its high reactivity [1].
Various strategies have been implemented to control the emission of nitrogen oxides (NOx). These strategies encompass optimizing combustion processes to reduce NOx formation [2,3], catalytic reduction [4,5,6], and trapping NOx within the pore system of adsorbents [7,8]. The technique of NOx trapping in adsorbents offers several advantages. Firstly, it boasts a high removal capacity, meaning it can efficiently capture significant amounts of NOx from gas streams. Secondly, it is relatively easy to integrate into existing processes, requiring minimal modifications to existing infrastructure. Additionally, this method can be applied across a wider range of operating conditions compared to catalytic approaches, making it more versatile and adaptable to different industrial settings. Moreover, adsorption provides the opportunity for subsequent treatment of the accumulated NOx within the pore structure of the spent adsorbent. This means that once the adsorbent becomes saturated with NOx, it can be regenerated or disposed of in a controlled manner, allowing for efficient management of the captured pollutants. Overall, the use of adsorbents for NOx control represents a promising and flexible approach with significant potential for reducing emissions and improving air quality in various industrial applications. Various porous materials, including zeolites [9], metal oxides [10], mesoporous silica [11], and activated carbons [12,13,14], have been investigated for their ability to adsorb NO2.
Biochar, known for its basic characteristics, can be a promising adsorbent for NO2 adsorption due to the presence of abundant alkaline species derived from biomass sources [15]. The alkaline species facilitate acid–base interactions, neutralizing the acidic nature of NO2 and enhancing its adsorption capacity [16,17]. Additionally, biochar’s porous structure and surfaces functionalities provide a good support for NO2 adsorption [18]. Its renewable biomass origin makes it a sustainable alternative to conventional adsorbents. Furthermore, biochar’s chemical reactivity, stemming from functional groups like hydroxyl, carboxyl, and phenolic groups, further enhances interaction with NO2 [17,18,19]. In the context of NO2 adsorption on carbon materials, the generation of NO as a byproduct is a notable concern [20,21]. It is therefore crucial to develop methods to minimize the conversion of NO2 to NO during the adsorption process.
The utilization of wood shavings from animal litter environments as biomass for biochar production introduces a unique opportunity to incorporate additional mineral and organic components originating from the agricultural environment. In animal litter environments, wood shavings often come into contact with various substances such as urine, feces, and bedding materials, which can enrich the wood shavings with minerals, organic matter, and nitrogenous compounds. Urine from animals, for instance, contains urea and uric acid, which upon contact with wood shavings can undergo microbial degradation, leading to the release of nitrogen-rich compounds. Additionally, the breakdown of organic matter in feces and bedding materials contributes to the accumulation of minerals and other nutrients in the wood shavings. Over time, these interactions result in the enrichment of wood shavings with a diverse range of mineral and organic components, thereby altering their composition. The incorporation of these additional components into the wood shavings can significantly influence the properties of the resulting biochar. For example, the presence of nitrogen-rich compounds may enhance the nitrogen content of the biochar, potentially affecting its adsorption capacity for nitrogen oxides such as NO2. Similarly, minerals present in the wood shavings can contribute to the formation of mineral phases within the biochar, influencing its surface chemistry and reactivity. Generally, the utilization of wood shavings from animal litter as biomass for biochar production can offer the opportunity to produce biochars with unique compositions and properties, reflecting the specific characteristics of the agricultural environment. This approach not only enables waste to be reused, but also exploits the biomass’s enrichment potential to tailor biochars’ properties to enhanced environmental applications, such as NO2 adsorption and air pollution mitigation.
This study aims to elucidate the complex roles of textural properties and surface chemistry in NO2 adsorption on biochar. Two types of biochar were meticulously prepared from fresh wood shavings (WSF) and used wood shavings (WSU) from agricultural environments to evaluate the various physicochemical properties and their correlation with adsorption performance. Using X-ray photoelectron spectroscopy (XPS), this research represents the first exploration of the complex interaction between NO2 and biochar in a temperature range from 22 °C to 250 °C. The main objective is to unveil the mechanisms governing this interaction, and to design new biochars optimized for highly efficient NO2 sorption, thereby advancing sustainable policies to reduce air pollution. The meticulous preparation of WSF and WSU biochars aims to assess the potential of these raw materials as sustainable resources for biochar production. In-depth examination of the physicochemical properties of the biochars obtained enables the design of tailormade biochars, specifically designed for superior NO2 sorption capacities. Furthermore, biochar appears to be a promising and cost-effective alternative to activated carbon for NO2 adsorption due to its simplified production process and the use of readily available biomass sources. This study underlines the importance of biochar in mitigating air pollution, in particular, the harmful effects of NO2 emissions.
2. Materials and Methods
2.1. Preparation of Biochar
The study utilized fresh wood shavings (WSF) and used wood shavings (WSU) sourced from animal litter as raw materials. Biochar production from WSF and WSU involved experiments conducted in a pilot pyrolyzer featuring a screw conveyor for biomass and biochar transportation. During pyrolysis, gases generated (both condensable and noncondensable fractions) were directed to a torchiere for precombustion. Biochars were recovered at the furnace outlet and conveyed through a double-walled tube with a water-cooling system to reduce their temperature to approximately 20 °C. Subsequently, biochars (B-WSF and B-WSU) were stored in a hermetically sealed metal container devoid of oxygen. Before introducing the raw material into the reactor, the entire pilot system underwent nitrogen purging (20 NL/h) until the oxygen content in the reactor dropped below 1%vol. Throughout the pyrolysis process, nitrogen flushing was maintained to ensure the absence of oxygen. Biochars were produced at a temperature of 450 °C with a residence time of 30 min in the pyrolysis reactor, as determined by the ATG results discussed in Section 3.1 and shown in Figure 1. The procedure to choose the optimal pyrolysis temperature has been already discussed in previous papers [15,16].
Figure 1.
TG and DTG curves of (a) WSF biomass; (b) WSU biomass; (c) biochar produced from WSF at 450 °C; (d) biochar produced from WSU at 450 °C.
2.2. Techniques of Characterizations
A thermogravimetric analyzer (TGA 850 is a thermal gravimetric analyzer (TGA) manufactured by Mettler Toledo, Columbus, OH, USA) was used to study the thermal decomposition of the different samples (WSF and WSU) and determine their proximate analysis. The stability of the biochar produced at different temperatures was also investigated using the same equipment and procedure. Before the experiments, the samples were dried overnight in a ventilated oven at 105 °C. In a typical experiment, about 30 mg of the sample was accurately weighed and placed in an open-type alumina crucible (150 μL), which was then placed into the TGA furnace. The temperature was ramped from room temperature to 900 °C at a rate of 10 °C/min, with a continuous flow of nitrogen at 100 mL/min. It was kept at 900 °C for 10 min before switching the atmosphere to synthetic air (100 mL/min) for 60 min.
The parameters and conditions used to characterize the samples by X-ray fluorescence (PANalytical Zetium is produced by PANalytical, which is now part of Malvern Panalytical, Almelo, The Netherlands), CO2 adsorption, and scanning electron microscope (SEM) have been detailed in previously published papers [22,23].
The elemental analyses (CHONS, Cl) were conducted to determine the mass percentages of carbon (C), hydrogen (H), oxygen (O), nitrogen (N), sulfur (S), and chlorine (Cl) in both biomasses (WSF and WSU) and the produced biochars. These analyses were subcontracted to Eurofins company (the oxygen content was estimated through calculation (mass balance)).
X-ray photoelectron spectroscopy (XPS) measurements were conducted using a VG Scienta SES 2002 spectrometer in Uppsala, Sweden. The spectrometer utilized a monochromatic Al Kα X-ray source with an energy of 1486.6 eV. To counteract the charging effect, an electron gun was employed. The XPS spectra were recorded with a pass energy of 100 eV for high-resolution scans and 500 eV for wide scans. The analysis chamber maintained a pressure of 10−9 mbar throughout the measurements. The analyzed zone had a surface area of 24 mm2 and an analysis depth of 9 nm, providing valuable insights into the surface composition and properties. For calibration, the binding energies (BEs) were calibrated using the C 1s peak of carbon as the reference at 285 eV. The acquired spectra were processed by fitting the peaks using Gaussian–Lorentzian functions with the XPS-CASA software (casaXPS software 2.3.18 Ltd., Teignmouth, UK). Before fitting, a Shirley-type background was subtracted to enhance the analysis accuracy. The intensity area of each peak was determined by integrating the peak areas of individual components, considering factors such as cross-section, mean free path of an electron, and transmission function of the analyzer, which are crucial for accurately quantifying the elemental composition and understanding the electronic structure of the analyzed samples.
2.3. NO2 Adsorption Procedure
The NO2 adsorption was conducted using a fixed-bed reactor (with an internal diameter of 10 mm and extended 600 mm in length) setup developed at the laboratory. The bed temperature was measured by a thermocouple placed at 1 mm above the surface of the biochar sample. Biochar samples were deposited onto a fused silica frit within a vertical quartz reactor. Each experiment used 0.25 g of biochar and was performed at different temperatures (22, 150, 200, 250 °C) until saturation was reached. Prior to each experiment, the system was purged with nitrogen (N2) to remove residual gases. Calibration procedures were then meticulously carried out to ensure accurate concentration measurements using a Rosemount NGA 2000 detector which is manufactured by Emerson, St. Louis, MO, USA. During the experiment, a gas containing 511 ppm of NO2 diluted in nitrogen was injected through the fixed bed column of the sample. A constant gas flow rate of 50 NL h−1 was maintained using Brooks 5850 mass flow controllers which are produced by Brooks Instrument, Hatfield, PA, USA. Outlet gas concentrations of NO, NO2, CO, and CO2 were continuously monitored in real time using the highly sensitive ROSEMOUNT NGA 2000 detector. To account for background signals or potential interferences, a blank experiment was conducted using an empty reactor. The results from this blank experiment were subtracted from the sample measurements to accurately reflect the adsorption behavior of NO2. This meticulous approach enhances the reliability and precision of the experimental findings.
The quantity of NO2 adsorbed on biochar was calculated according to Equations (1) and (2):
where NO2 ads(t) represents the rate of NO2 adsorption in µmol/s or the adsorption capacity of the biochar (mg/g). [NO2]inlet is the inlet NO2 concentration (ppmv). [NO2]outlet and [NO]outlet are the outlet NO2 and NO concentrations (ppmv). Q is the gas flow rate (NL/s). VM is the molar volume under normal conditions (22.4 L/mol).
where NO2 ads (mg/g) represents the adsorption capacity of NO2 in mg/g of biochar. [NO2]ads (t) is the adsorbed NO2 concentration over time (µmol/s). M(NO2) is the molar mass of NO2 (46,000 mg/mol), and mBiochar is the mass of biochar used in the adsorption experiment (g).
NO2 ads(t) (μmol/s) = ([NO2]inlet − ([NO2]outlet + [NO]outlet))×10−6 × Q/VM
NO2 ads (mg/g) = ꭍ([NO2]ads (t) × 106 × M(NO2)/mBiochar) dt
3. Results and Discussion
3.1. TGA Analysis and Proximate Analysis
To investigate the thermal degradation patterns of freshly acquired wood shavings (WSF) and those previously utilized (WSU), we conducted thermogravimetric analysis (TGA–DTG) under a controlled nitrogen atmosphere. The TGA and DTG profiles, as depicted in Figure 1a,b, respectively, elucidate the evolving thermal decomposition kinetics and pyrolytic behavior of WSF and WSU throughout the pyrolysis process. This analytical approach affords valuable insights into the complex thermal degradation pathways of WSF and WSU, encompassing the dehydration of water, release of volatile organic compounds, depolymerization of cellulose, and degradation of lignin constituents [24]. Such insights are pivotal for optimizing pyrolysis conditions, thereby enabling the tailored production of biochar with desired characteristics from WSF and WSU biomass feedstocks. As delineated in Figure 1a,b, an initial weight loss is observed up to 150 °C, attributed to the desorption of moisture from both WSF and WSU samples [22]. Subsequently, a distinct stage of rapid decomposition occurs between 200 °C and 400 °C, corresponding to the volatilization of organic compounds present within the biomass matrix. Notably, a prominent peak is evident around 300 °C, indicative of the thermal breakdown of cellulose constituents [25]. Beyond 400 °C, a gradual and continuous degradation phase is observed, signifying the progressive decomposition of lignin components, ultimately leading to biochar formation [26]. Remarkably, minimal mass variations are observed beyond 450 °C, suggesting a stabilization of the decomposition process at elevated temperatures. The derived DTG profiles further delineate the optimal temperature range for biochar production, notably within the range of 450 °C. This determination is grounded in the observed thermal degradation behavior and pyrolytic characteristics exhibited by WSF and WSU biomass substrates. Operating within this temperature range promotes efficient decomposition of the biomass constituents, facilitating the generation of biochar with enhanced carbon content, improved stability, and high porosity. After producing biochars at 450 °C from WSF and WSU biomass, a TGA analysis was conducted under the same conditions as previously mentioned to validate the stability of the generated biochars and examine their effective pyrolysis temperatures. This TG-DTG analysis (refer to Figure 1c,d) provides valuable insights into the thermal behavior and decomposition characteristics of the biochars. The TG and DTG data presented in Figure 1c,d indicate that biochars derived from WSF and WSU biomass exhibit high stability at temperatures below their designated pyrolysis temperature (450 °C). This suggests that the biochars remain structurally intact and do not undergo significant decomposition at temperatures within this range. Upon closer examination of the DTG thermogram, it was observed that all organic matter present in WSF and WSU biomass was successfully converted into biochar. This indicates efficient pyrolysis of the organic components, resulting in the formation of stable carbonaceous material.
The biochar yield percentages for two different samples indicate a notable difference in their conversion rates at 450 °C. The biochar yield for B-SWF is 27.69%, whereas the yield for B-SWU is significantly higher, at 44.41%. This comparison demonstrates that SWU biomass produces a higher yield of biochar compared to SWF biomass under the same conditions. This difference can be attributed to the higher ash content in the SWU sample compared to the SWF sample, as mentioned in Table 1. The increased ash content likely contributes to the higher biochar yield observed in the SWU biomass.
Table 1.
Analysis and comparison of ultimate analysis, proximate analysis, and mineral composition.
The proximate analysis of biomass and biochar was determined based on TG on a dry basis (Table 1). The proximate analysis results provide quantitative insights into the compositional changes occurring during the transformation of biomass into biochar. We compare the biomass (WSF and WSU) with the resulting biochar (B-WSF and B-WSU). Starting with the volatile matter, the biomass samples display significantly higher values compared to the biochar samples. This indicates the release of volatile components such as gases and vapors during the pyrolysis process, leading to a decrease in volatile matter, content in the resulting biochar [27]. WSF and WSU exhibit volatile matter percentages of 93.29% and 77.59%, respectively, whereas B-WSF and B-WSU show substantial decreases to 30.19% and 29.33%, respectively. These results of volatile matter content support the TGA events observed at 200–400 °C, as presented in Figure 1. The percentage of volatile matter released by the samples aligns with the TGA results, where Figure 1b displays greater stability.
Fixed carbon content demonstrates a contrasting trend, with the biochar samples exhibiting notably higher levels compared to the biomass. This suggests efficient conversion of volatile components into stable carbonaceous material during pyrolysis, leading to a higher proportion of fixed carbon in the biochar. B-WSF and B-WSU show fixed carbon percentages of 60.74% and 53.49%, respectively, representing a considerable increase from WSF’s 6.08% and WSU’s 14.71%. Finally, the ash content observed in the biochar samples generally exceeds that of the biomass samples, indicating the enrichment of inorganic mineral residues during pyrolysis. This phenomenon arises from the decomposition of organic constituents, thereby preserving the mineral components within the resulting biochar. B-WSF and B-WSU demonstrate ash percentages of 9.07% and 17.18%, respectively, whereas WSF and WSU show lower ash content at 0.63% and 7.70%, respectively.
Despite its greater stability observed in TGA (Figure 1), B-WSU does not exhibit a higher carbon percentage. This stability can be attributed to the introduction of minerals from animal feces to B-WSU, as indicated in Table 1. These minerals contribute to the increased ash content and stability observed.
3.2. Ultimate Analysis and Mineral Composition
To investigate the impact of pyrolysis on elemental composition, biomass samples (WSF and WSU) and their resulting biochar products (B-WSF and B-WSU) underwent analysis for carbon (C), hydrogen (H), nitrogen (N), and oxygen (O) percentages. Distinct changes in carbon content were observed between the biochar samples and their original biomass counterparts. Specifically, the carbon content increased significantly in both biochar samples, with values of 72.4% for B-WSF and 63.8% for B-WSU, relative to the respective biomass values of 50.6% and 45.6%. These results align with the findings from proximate composition analysis in terms of the amount of fixed carbon and the percentage of volatile matter (Table 1). This substantial increase is consistent with the carbon-enriching effects of pyrolysis, indicative of the removal of volatile organic compounds and the accumulation of a more carbonaceous residue [28]. Conversely, the hydrogen content in both biochar samples experienced a notable quantitative reduction compared to the biomass. For B-WSF and B-WSU, the hydrogen content decreased to 3.13% and 2.63%, respectively, from the biomass values of 6.14% and 5.53%. This reduction aligns with the principles of pyrolysis, indicating the volatilization of hydrogen-rich compounds during the thermal degradation of biomass. Nitrogen content demonstrated a quantitative increase in both biochar samples relative to their biomass counterparts. Specifically, B-WSF exhibited a nitrogen content of 0.61%, compared to 0.2% in WSF, while B-WSU displayed a nitrogen content of 1.0%, compared to 1.06% in WSU. The increase in nitrogen content in biochar can be attributed to the concentration effect as other elements are volatilized and also possibly due to the formation of more stable nitrogenous compounds in the biochar. Oxygen content quantitatively decreased in both biochar samples compared to the biomass, with values of 12.9% for B-WSF and 11.78% for B-WSU, relative to the respective biomass values of 42.58% and 38.58%. This reduction is consistent with the removal of oxygen-containing functional groups during pyrolysis.
The hydrogen-to-carbon (H/C) and oxygen-to-carbon (O/C) atomic ratio are indicators of the elemental composition of organic materials, providing valuable insights into the degree of carbonization and the presence of oxygen-bearing functional groups [29]. The observed changes in these ratios in the biochar samples (B-WSF and B-WSU) compared to their biomass counterparts (WSF and WSU) are significant in understanding the influence of pyrolysis on biochar properties.
The H/C atomic ratio is a measure of the relative content of hydrogen to carbon in a substance. A decrease in the H/C ratio indicates a higher degree of carbonization, as carbon content increases relative to hydrogen content. In the context of biochar production from biomass through pyrolysis, the reduction in H/C ratio (B-WSF: 0.519, B-WSU: 0.495) compared to biomass (WSF: 1.456, WSU: 1.455) suggests a substantial removal of hydrogen-rich compounds during the thermal degradation process. This reduction is consistent with the transformation of biomass into a more carbonaceous and stable biochar product.
The O/C ratio reflects the relative abundance of oxygen to carbon in a material. A decline in the O/C ratio indicates a quantitative reduction in oxygen-bearing functional groups, such as hydroxyls and carbonyls, during pyrolysis. Based on Table 1, both biochar samples (B-WSF: 0.134, B-WSU: 0.139) exhibit lower O/C ratios compared to their biomass counterparts (WSF: 0.631, WSU: 0.635). This reduction underscores the removal of oxygen-containing functional groups, contributing to the increased carbon content and enhanced stability of the resulting biochar. When introduced in a Van Krevelen diagram, the O/C and H/C values of the B-WSF and B-WSU samples confirm that they correspond to biochar (O/C < 0.7, H/C < 0.2 and elevated C/N ratio).
The mineral composition analysis (Table 1) revealed distinct trends between the biomass and biochar samples. Potassium (K), calcium (Ca), and magnesium (Mg) exhibited higher concentrations in the biochar samples (B-WSF and B-WSU) compared to the original biomass (WSF and WSU). For instance, B-WSF and B-WSU exhibited heightened potassium concentrations of 3.532% and 7.101%, respectively, compared to the 0.075% and 3.127% in WSF and WSU. This increase in concentration suggests a retention of these elements during the pyrolysis process, where volatile components are lost, leaving behind a more concentrated residue [30].
Similarly, silicon (Si), phosphorus (P), chlorine (Cl), sodium (Na), and calcium (Ca) showed elevated concentrations in the biochar samples. Silicon, for instance, demonstrated a notable accumulation in the biochar, indicating its retention and possible concentration during pyrolysis. Phosphorus, an essential nutrient, also exhibited increased concentrations in the biochar, suggesting its retention and potential contribution to the nutrient content of the resulting biochar. Chlorine, often associated with volatile compounds, showed higher concentrations in the biochar samples, implying its release from organic matter during pyrolysis and subsequent accumulation in the biochar. Conversely, elements such as aluminum (Al) showed minimal variation between biomass and biochar samples, indicating their relatively stable behavior during pyrolysis [26,30,31]. This stability suggests that certain elements may not undergo significant changes in concentration during the pyrolysis process, maintaining consistency between the original biomass and the resulting biochar.
These higher elemental compositions observed in B-WSU compared to B-WSF were attributed to the incorporation of elements present in the initial biomass, originating from animal feces.
3.3. Textural Properties of Biochars
The CO2 adsorption isotherms (Figure 2a) for the B-WSF and B-WSU biochars reveal interesting information about their respective performances. In particular, B-WSF has a lower adsorption capacity than B-WSU across the entire range of relative pressures. The difference in adsorption becomes more apparent at higher relative pressures, where B-WSU consistently shows a greater amount of CO2 adsorption. By examining the evolution of CO2 adsorption in B-WSF and B-WSU biochars, it is possible to gain valuable insights into their respective behavior over a range of relative pressures. Adsorption isotherms reveal distinct trends in the amount adsorbed as a function of relative pressure for both biochars. Notably, B-WSF shows a gradual and steady increase in adsorption with increasing relative pressures, indicating its continued affinity for CO2 capture. In contrast, B-WSU shows a more rapid and pronounced increase in adsorption, suggesting greater reactivity or availability of adsorption sites. This differential evolution of adsorption characteristics can be attributed to variations in the physical and chemical properties of the two biochars. B-WSU has a higher surface area and greater porosity, providing more adsorption sites and leading to its rapid adsorption increase. It also possesses more reactive surface functional groups, enhancing its affinity for CO2. Differences in pore size distribution could influence the adsorption dynamics, with B-WSU potentially having smaller pores that promote adsorption at lower pressures. Additionally, variations in elemental composition and structural characteristics further explain the observed differences in adsorption behavior.
Figure 2.
(a) Adsorption isotherms of CO2 at 0 °C, and (b) pore width distribution for wood-shaving-based biochars.
The BET specific surface area and total pore volume of two different biochar samples, B-WSF and B-WSU, were determined. B-WSU exhibited a higher specific surface area of 203 m2/g compared to B-WSF, which had a surface area of 175 m2/g. Additionally, the total pore volume of B-WSU was measured at 0.065 cm3/g, slightly higher than that of B-WSF, which had a total pore volume of 0.055 cm3/g. These parameters indicate that B-WSU possesses a higher surface area and pore volume compared to B-WSF, suggesting potentially greater adsorption capacity and reactivity for B-WSU. Despite both biochars being produced under the same conditions, B-WSU contains higher elemental compositions compared to B-WSF. This is due to the incorporation of elements present in the initial biomass, which originated from animal feces. These elemental differences likely contribute to the development of a more extensive porous network during pyrolysis, resulting in B-WSU having a higher pore volume and specific surface area.
The pore width distribution of the two distinct biochars (Figure 2b), B-WSF and B-WSU, was investigated, with a focus on understanding their textural properties. Pore width distribution was determined on the basis of CO2 adsorption data, using a DFT model adapted to microporous materials. The results highlight the complex details of pore structure and provide valuable information on the specific characteristics of each biochar.
The pore width distribution for B-WSF revealed three prominent peaks at 0.506 nm, 0.611 nm, and 0.821 nm, corresponding to width ranges of 0.436–0.559 nm, 0.559–0.698 nm, and 0.698–0.999 nm, respectively. The maximum dV/dlog(W) value for the first peak at 0.506 nm was 0.228, indicating a substantial contribution to pore volume in the 0.436–0.559 nm range. The peaks at 0.611 nm and 0.821 nm also showed significant dV/dlog(W) values of 0.186 and 0.159, respectively.
In contrast, B-WSU exhibited peaks at 0.471 nm, 0.559 nm, and 0.838 nm, with corresponding width ranges of 0.436–0.506 nm, 0.506–0.698 nm, and 0.698–0.999 nm, respectively. The first peak at 0.471 nm had a maximum dV/dlog(W) value of 0.227, indicating a notable contribution to pore volume in the 0.436–0.506 nm range. The peaks at 0.559 nm and 0.838 nm showed significant dV/dlog(W) values of 0.377 and 0.157, respectively.
The comparative analysis indicates that B-WSU has a higher dV/dlog(W) value at 0.559 nm (0.377) compared to B-WSF at its corresponding peak of 0.611 nm (0.186). This suggests that B-WSU has a greater pore volume contribution in the micropore range around 0.559 nm, which is crucial for CO2 adsorption. The wider distribution and higher intensity of pores in this range for B-WSU lead to more available adsorption sites, thus enhancing its CO2 capture capacity. Additionally, B-WSU’s higher overall surface area (203 m2/g) compared to B-WSF (175 m2/g) provides more active sites for adsorption, contributing to its superior performance.
The differences in pore characteristics can be attributed to the initial biomass sources and their chemical composition. B-WSU, derived from animal feces, likely contains a higher elemental composition, including minerals and metals, which can influence the formation of a more diverse and porous structure during pyrolysis. These compositional differences lead to the development of a more extensive microporous network, resulting in a higher surface area and pore volume for B-WSU compared to B-WSF.
3.4. Scanning Electron Microscopy Analysis
Surface analysis of biochars was performed using SEM and EDX to achieve high-resolution visualization of their surface morphology and to determine the chemical composition and distribution of elements within approximately 5 µm from the surface. SEM images (Figure 3 and Figure 4) depict the well-developed porous structure of the biochars, characterized by open pores and porous walls. These observations are consistent with the BET surface area measurements, where B-WSU exhibited a higher specific surface area (203 m2/g) compared to B-WSF (175 m2/g). The greater porosity and surface area of B-WSU can be attributed to its origin, which favors the formation of more adsorption sites. Upon examination of multiple surfaces using SEM and EDX, it was observed that potassium chloride crystals were uniformly dispersed throughout the biochar surfaces, exhibiting a cubic morphology identifiable by their purple coloration. This aligns with the higher pore volume observed in B-WSU (0.065 cm3/g) compared to B-WSF (0.055 cm3/g), suggesting a higher availability of adsorption sites. Zones rich in silica, magnesium, and calcium were detected in the B-WSF sample, while EDX analysis revealed the presence of these elements on both biochar surfaces. However, the EDX images of biochar B-WSU exhibited higher elemental content compared to biochar B-WSF. This finding is consistent with the X-ray fluorescence results and is attributed to the higher ash content in B-WSU, which originates from its initial biomass—animal feces (refer to Table 1). The incorporation of elements such as silica, magnesium, and calcium during the pyrolysis process influences the surface characteristics and adsorption properties of the biochars. Furthermore, the structure of both biochars retained its ultra-macroporosity, ensuring accessibility to gaseous fluids. The higher elemental content and ash composition in B-WSU, as revealed by EDX, explain the differences in surface chemistry and reactivity between the two samples. These factors collectively contribute to the greater adsorption capacity observed for B-WSU, underscoring the impact of elemental composition and origin on the physical and chemical properties of biochars.
Figure 3.
SEM and EDX images of B-SWF biochar prepared at 450 °C.
Figure 4.
SEM and EDX images of B-SWU biochar prepared at 450 °C.
3.5. NO2 Adsorption on Biochars
Figure 5 illustrates the concentrations of NO2, NO, and CO gases released during NO2 adsorption experiments conducted on 250 mg of B-WSF across various temperatures (22 °C, 150 °C, 200 °C, and 250 °C).
Figure 5.
Adsorption and reduction evolution of NO2 by B-WSF biochar.
At 22 °C (Figure 5), the adsorption of NO2 is initially complete (during 30 s). Subsequently, a plateau phase is observed beyond 720 s, indicating saturation and equilibrium in NO2 adsorption. Notably, no reduction of NO2 to NO is detected at this temperature.
At 150 °C (Figure 5), both NO2 adsorption and reduction begin immediately. The NO2 concentration rises gradually, reaching 202 ppm after 150 s, while the NO concentration simultaneously increases to 128 ppm (maximal value). This signifies the immediate adsorption of NO2 onto the B-WSF biochar surface and its subsequent reduction to NO. However, after approximately 150 s, the NO concentration begins to decrease slowly until around 450 s. Despite the continued increase in NO2 concentration, the rate of increase in NO concentration decreases, stabilizing around 90 ppm at around 450 s. Concurrently, the release of CO from the B-WSF biochar begins at the start of the experiment, maintaining a relatively stable concentration between 0 ppm and 4 ppm throughout. At the end of the reaction (1500 s), the NO2 concentration stabilizes at 416 ppm, while the NO concentration stabilizes at 89 ppm.
At 200 °C (Figure 5), clear patterns of NO2 adsorption and reduction on B-WSF biochar emerge. NO2 concentration gradually increases, alongside the NO concentration reaching 292 ppm (maximal value) after 490 s before slightly declining, while the NO2 concentration continues to rise, stabilizing at 292 ppm after approximately 1500 s. The CO concentration remains relatively stable, between 8 ppm and 11 ppm, throughout the experiment, indicating a continuous reaction of carbon with NO2. At the end of the experiment, the NO concentration stabilizes at 213 ppm, while the NO2 concentration remains at 292 ppm.
At 250 °C (Figure 5), intriguing dynamics are observed in the adsorption and reduction of NO2 on B-WSF biochar. Initially, both NO2 and NO concentrations gradually rise, with NO2 reaching 37 ppm and NO reaching 361 ppm by 250 s. The NO2 concentration stabilizes at 122 ppm after approximately 3060 s. The fluctuation of the CO concentration between 24 ppm and 31 ppm throughout the experiment indicates ongoing release from the B-WSF biochar. At the end of the experiment, the NO concentration stabilizes at 379 ppm, while the NO2 concentration remains at 122 ppm.
The production of NO and CO during the adsorption studies can be attributed to specific chemical processes occurring on the biochar surface. NO is produced from the reduction of NO2 adsorbed on the biochar surface. This reduction is facilitated by the carbon present in the biochar as well as the functional groups and minerals that act as reducing agents. When NO2 molecules interact with these active sites, they undergo a redox reaction, resulting in the formation of NO. In addition to NO production, CO is generated as a byproduct of the thermal decomposition of the organic components within the biochar. As the temperature increases, the organic matter in the biochar breaks down, releasing CO. Furthermore, a secondary reaction occurs where CO2, produced during the initial reduction of NO2, reacts with the carbon in the biochar to form additional CO. This sequence of reactions highlights the complex interplay between different components of the biochar and the adsorbed gases. These reactions are highly temperature-dependent. Higher temperatures accelerate both the reduction of NO2 and the decomposition of biochar, leading to higher concentrations of NO and CO. The observed fluctuations in gas concentrations during the experiments are indicative of the dynamic nature of these reactions and their sensitivity to experimental conditions. This temperature dependency underscores the importance of controlling experimental parameters to understand and optimize the adsorption and reduction processes on biochar.
Figure 6 illustrates the distinctive patterns over time in the adsorption and reduction of NO2 by B-WSU biochar, highlighting the resulting concentrations of NO and CO gases. At 22 °C, the experiment began with all gas concentrations at 0 ppm, then NO2 concentration gradually increased from 0 ppm at the start of the experiment to 505 ppm after 840 s, indicating saturation of NO2 adsorption. Meanwhile, both NO and CO concentrations remained consistent at 0 ppm throughout the experiment, suggesting no detectable reduction of NO2 to NO or release of CO from the biochar at this temperature.
Figure 6.
Adsorption and reduction evolution of NO2 by B-WSU biochar.
At 150 °C (Figure 6), a similar initial scenario was observed, with all gas concentrations starting at 0 ppm. As the experiment progressed, the NO2 concentration increased to 443 ppm by 980 s, accompanied by an increase in NO concentration, which peaked at 80 ppm by 165 s and stabilized around 68–69 ppm thereafter. The CO concentration fluctuated between 2 ppm and 4 ppm. These trends suggest that the biochar facilitated both NO2 adsorption and its subsequent reduction to NO at this temperature.
Similarly, at 200 °C (Figure 6), all gas concentrations began at 0 ppm, with NO2 concentration gradually increasing to 380 ppm by 1800 s. The NO concentration reached a maximal value of 229 ppm after 250 s and stabilized around 207–209 ppm thereafter. The CO concentration fluctuated between 4 ppm and 15 ppm. These observations indicate that the biochar facilitated NO2 adsorption and reduction to NO at 200 °C.
Finally, at 250 °C (Figure 6), the experiment started with an emission peak of CO (360 ppm), which gradually decreased to 1 ppm by 4620 s. Both NO2 and NO concentrations increased over time, with NO2 reaching 302 ppm by 4500 s and NO stabilizing around 213–223 ppm thereafter. These results underscore the complex dynamics of NO2 adsorption and reduction on B-WSU biochar at 250 °C, with rapid reduction of NO2 to NO initially, followed by potential saturation or deactivation of NO2 reduction sites.
Overall, for both biochars (B-WSF and B-WSU), as the adsorption temperature increases from 22 °C to 250 °C, a distinct pattern emerges in the behavior of NO2 and NO concentrations. Notably, at 22 °C, the absence of NO release indicates that the temperature was insufficient to drive the reduction of NO2 to NO on the biochar surface. However, as the temperature increased to 150 °C and 200 °C, a clear trend emerged: higher temperatures led to increase in NO formation, signifying enhanced reduction kinetics of NO2 to NO. This suggests that elevated temperatures provide the necessary energy for more efficient reduction reactions at the surface of the biochars. Higher temperatures activate more surface sites on the biochar, increasing its reactivity towards NO2 molecules. These activated sites act as catalytic centers for the reduction of NO2 to NO, facilitating reaction kinetics. At the same time, CO emissions tend to increase, indicating a concomitant phenomenon at the surface of the biochars: partial NO2 reduction at the surface of the biochar and NO2 and/or NO adsorption on the biochar. This observation arises from the fact that the mass balance of NO2 is not complete if we only consider the reduction of NO2 to NO.
3.6. NO2 Adsorption Capacities and Distribution of NO and NO2
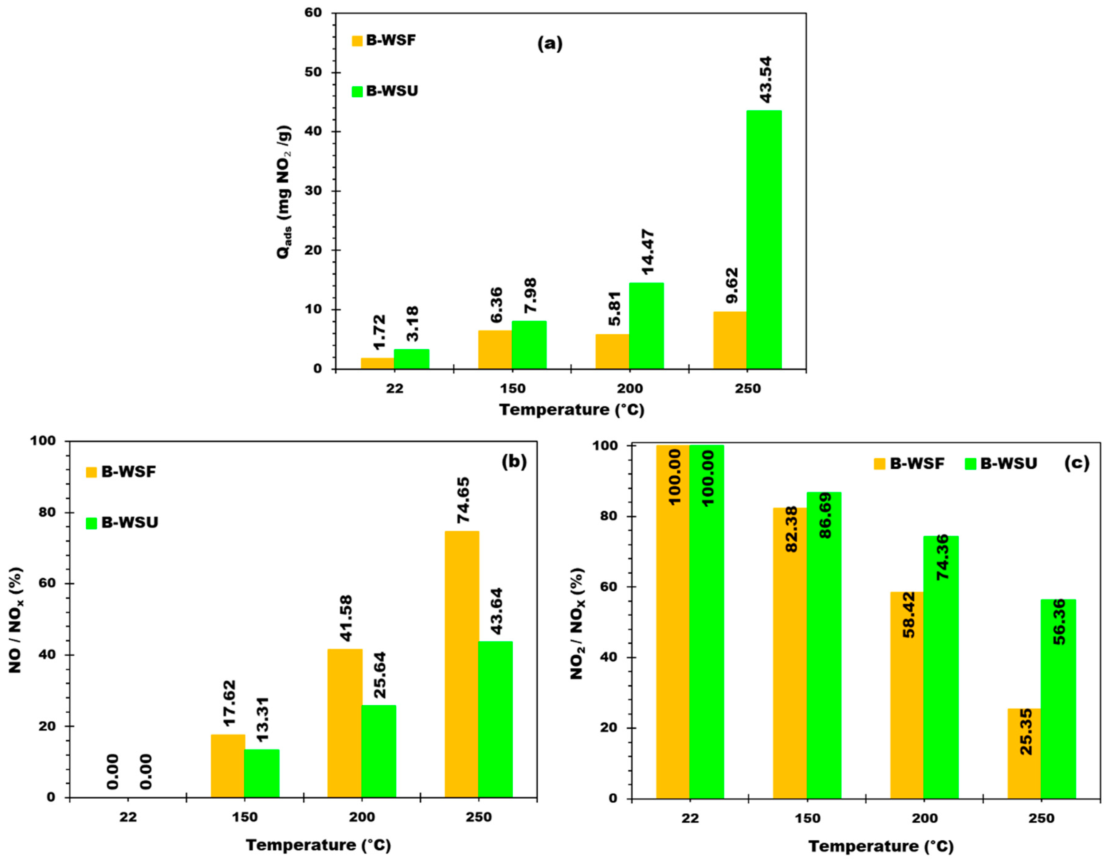
The adsorption capacities of the biochars were calculated from the NOx breakthrough curves presented in Figure 5, Figure 6 and Figure 7, which illustrate NO2 adsorption capacity (Qads), and the percentage distribution of NO and NO2 relative to total NOx at different temperatures for different biochar samples (B-WSF and B-WSU) at the end of the experiment. As shown in Figure 7a, NO2 adsorption capacity increases steadily for biochar samples B-WSF and B-WSU as the temperature increases from 22 °C to 250 °C. At 22 °C, NO2 adsorption capacity increases steadily for biochar samples B-WSF and B-WSU. At 22 °C, NO2 adsorption capacities are 1.72 mg NO2/g for B-WSF and 3.18 mg NO2/g for B-WSU, with values increasing to 9.62 mg NO2/g for B-WSF and 43.54 mg NO2/g for B-WSU at 250 °C. The greater capacity of B-WSU to adsorb NO2 compared to B-WSF is due to its larger surface area and enhanced porosity, which offer more binding sites for NO2 molecules. Figure 7b,c illustrate the percentage distribution of NO and NO2 relative to total NOx (NOx = NO + NO2) at each temperature. At lower temperatures (22 °C and 150 °C), NOx is predominantly composed of NO2, with close to 100% NO2 for biochar samples B-WSF and B-WSU. However, as temperatures rise, the proportion of NO in total NOx increases, while that of NO2 decreases. This shift from a predominance of NO2 to a predominance of NO becomes evident with increasing temperatures. For example, at 250 °C, NO represents around 74.65% of total NOx for B-WSF, while NO2 represents around 25.35%. Similarly, for B-WSU at 250 °C, NO accounts for around 43.64% of total NOx, while NO2 accounts for around 56.36%. In particular, differences in NO and NO2 distribution can be observed between B-WSF and B-WSU biochar samples, especially at higher temperatures. B-WSU generally exhibits higher NO2 adsorption capacities than B-WSF at all temperatures. Furthermore, the percentage distribution of NO and NO2 varies between the two biochar samples, suggesting disparities in their adsorption and reduction behavior under the specified conditions.
Figure 7.
(a) NO2 adsorption capacities and distribution of (b) NO and (c) NO2 percentages versus temperatures.
3.7. XPS Analysis: Surface Reaction Mechanism
The X-ray photoelectron spectroscopy (XPS) analysis conducted on the B-WSU and B-WSU biochar samples revealed a diverse array of functional groups, mineral components, and nitrogen species present on its surface. The quantitative analysis of the XPS spectrum (Figure 8) provided valuable insights into the relative abundance of these surface constituents (please refer to Table S1 in Supplementary Materials).
Figure 8.
Full range XPS spectra of (a) B-WSF biochar and (b) B-WSU biochar.
The XPS spectra of the B-WSF biochar (Figure 8a) reveal a diverse elemental composition and functional groups present within the sample. Carbonaceous compounds dominate the composition, primarily represented by CC and CH bonds, detected at positions 284.80 eV, constituting approximately 71.95% of the atomic concentration. Additionally, oxygen functionalities are observed, including carbonyl (C=O) and ether (C-O-R) groups, identified at positions 287.90 eV and 533.67 eV respectively, accounting for 5.38% and 8.10% of the atomic concentration, respectively. Potassium ions (K+) are detected at a position of 293.60 eV, suggesting the presence of potassium species within the biochar, contributing to approximately 1.06% of the atomic concentration. Nitrogen species are identified primarily in the form of CN bonds, indicative of nitrile functionalities, detected at a position of 400.54 eV, comprising about 0.34% of the atomic concentration. Minor traces of calcium (Ca2+), sodium (Na+), and chlorine (Cl−) ions are also observed in the sample, with atomic concentrations of approximately 0.21%, 0.38%, and 0.14%, respectively. In addition, the presence of K+ ions in the XPS results suggests the potential presence of potassium chloride (KCl), consistent with SEM-EDX findings, or potassium carbonate (K2CO3) within the B-WSF biochar. Furthermore, the detection of Ca2+ ions indicates the possible presence of calcium carbonate (CaCO3).
Concerning the B-WSU biochar (Figure 8b and Table S1), the spectrum displayed peaks corresponding to various carbon-related bonds, including aromatic carbon–carbon (CC) and aliphatic carbon–hydrogen (CH) bonds, indicating the organic carbon matrix of the biochar. These peaks were observed at positions of 284.80 eV and 285.55 eV, respectively, with CC and CH bonds constituting approximately 49.21% of the surface composition. Additionally, peaks associated with ether (C-O-R), carbonyl (C=O), carboxylate (CO2−), carbonate (CO32−), and bicarbonate (HCO3−) and nitrile (CN) functional groups were observed at positions of 286.55 eV, 287.90 eV, 288.56 eV, 289.84 eV, and 286.37 eV, respectively, constituting percentages of presence ranging from 0.69% to 5.93%. Regarding mineral components, the spectrum exhibited peaks corresponding to K+, Ca2+, Na+, and Cl− ions, indicating the presence of mineral constituents within the biochar. These ions were present at positions of 293.34 eV, 347.28 eV, 1071.28 eV, and 198.82 eV, respectively, with percentages of presence ranging from 1.67% to 5.35%. Furthermore, nitrogen species were identified, including nitrile (CN), nitrite (NO2−), and nitrate (NO3−) ions, with their relative concentrations detected at 398.32 eV and 400.25 eV for CN, 404.21 eV for NO2−, and 407.26 eV for NO3−. These species contribute to the overall composition of the biochar surface, with percentages ranging from 0.07% to 0.47%. The nitrogen species detected in the B-WSU biochar, particularly NO2−, and NO3− ions, may originate from animal feces. Interestingly, these nitrogen species were not detected in the B-WSF biochar samples. Based on the atomic percentages provided in the XPS data, the presence of K and Cl ions suggests the possible existence of KCl in the B-WSU biochar sample. However, the absence of carbonate peaks in the XPS spectrum makes it less likely that CaCO3 or K2CO3 are significant components. Similarly, the low concentrations of NO2− and NO3− ions indicate a minimal presence of KNO2 and KNO3 in the B-WSU biochar sample.
The evolution of NO2 adsorption on the surface of the biochars and its interaction with functional groups were investigated using X-ray photoelectron spectroscopy (XPS). Initially, the analysis of B-WSF via XPS revealed the presence of diverse functional groups and elements. Following exposure to NO2 at varying temperatures (22 °C, 150 °C, 200 °C, and 250 °C), notable alterations in the composition and distribution of these functional groups and elements were observed, as detailed in Table S1 and Figures S1–S12 (please see Supplementary Materials).
For B-WSF, the percentage of CC and CH bonds initially was at 71.95%, showing a gradual decrease as the temperature increased. This reduction suggests the degradation or alteration of organic carbon compounds on the biochar surface during NO2 adsorption. Carbon–oxygen double bonds (C=O) increased from 1.7% to 3.05% as the temperature rose from 22 °C to 250 °C. This rise indicates the oxidation of organic carbon, likely leading to the formation of carbonyl functional groups. Carbon–oxygen single bonds (C-OR) exhibited a fluctuating trend, initially increasing at 22 °C and then decreasing at higher temperatures. This variation suggests complex changes in the surface chemistry of biochar during NO2 adsorption. Oxygen-containing functional groups, such as O=C-O and C(O3)2−, showed increasing trends with temperature, indicating enhanced oxidation of the biochar surface. The concentrations of Ca2p3/2, Na1s, and K2p3/2 K+ remained relatively stable across different temperatures, suggesting minimal interaction with NO2 or negligible changes in bonding states.
For B-WSU, initially, the percentage of CC and CH bonds was lower than that of B-WSF (49.21%). This indicates that B-WSU has a different surface composition, which is due to variations in feedstock. Similar to B-WSF, the percentage of CC and CH bonds decreased with increasing temperature, indicating a reduction in organic carbon content. Carbon–oxygen double bonds (C=O) also increased with temperature, reflecting oxidation processes similar to those observed in B-WSF. Interestingly, no O=C-O functional group was detected in B-WSU, suggesting differences in oxidation pathways compared to B-WSF. The concentrations of Ca2p3/2, Na1s, and K2p3/2 K+ showed minor fluctuations with temperature, similar to B-WSF.
The higher adsorption capacity of NO2 observed in B-WSU compared to B-WSF can be attributed to a higher specific surface area (203 m2/g) of B-WSU and total pore volume (0.065 cm3/g) compared to B-WSF (175 m2/g and 0.055 cm3/g, respectively). This increased surface area and pore volume provide more active sites and adsorption sites for NO2 molecules, allowing for greater interaction and adsorption capacity. Although B-WSF initially has higher percentages of certain functional groups like CC and CH bonds, the changes in functional groups during NO2 adsorption differs between B-WSF and B-WSU. B-WSU exhibits higher concentrations of carbon–oxygen double bonds (C=O) and nitrogen-containing species (CN) at higher temperatures, which may contribute to enhanced NO2 adsorption through stronger chemical interactions, such as chemisorption or physisorption. The oxidation state of the biochar surface may influence its adsorption capacity for NO2. B-WSU shows significant increases in carbon–oxygen double bonds (C=O) with increasing temperature, indicating greater surface oxidation compared to B-WSF. This increased oxidation state could enhance NO2 adsorption by providing more reactive sites on the biochar surface. Differences in surface heterogeneity between B-WSF and B-WSU may also play a role in their respective NO2 adsorption capacities. B-WSU may have a more heterogeneous surface morphology or composition, leading to enhanced adsorption of NO2 through varied surface interactions. In addition, the higher mineral content in B-WSU derived from animal waste provides more catalytic sites for NO2 adsorption and reaction. Minerals such as Ca, Na, and K may catalyze reactions between NO2 and functional groups on the biochar surface, leading to increased adsorption [16,32,33,34]. These catalytic reactions could involve the formation of nitrogen-containing species or the conversion of NO2 into other nitrogen compounds (NO2−, NO3−), enhancing overall adsorption capacity.
The percentages of nitrogen-containing species (CN) and nitrogen oxides (NOx) formed after NO2 adsorption on biochar at different temperatures were calculated based on data generated from XPS (Table S1), where they correspond to the sum of the atomic concentration percentages of CN and NOx bonds, respectively. These values provide insight into the distribution of nitrogen species on the biochar surface and their transformation during NO2 adsorption at different temperatures (Figure 9). It is important to mention that XPS analysis is only representative of the extreme surface chemistry of the materials, with this analysis being limited to 3 to 10 nm in depth. At 22 °C, both B-WSF and B-WSU show relatively similar percentages of CN, indicating a comparable distribution of nitrogen species on their surfaces. As temperature increases, there is a general trend towards higher CN percentages for both B-WSF and B-WSU. The most significant increase in CN percentage occurs at 250 °C, where both samples show a substantial increase. B-WSF shows the highest CN ratio at this temperature, reaching 74.67%, while B-WSU also shows a notable increase, reaching 63.10%.
Figure 9.
Temperature-dependent evolution of nitrogen species (CN and NOx) during NO2 adsorption on biochar.
These results indicate a clear correlation between adsorption temperature and the concentration of CN and NOx species formed on the biochar surfaces following NO₂ adsorption. Both B-WSF and B-WSU biochars exhibit an increasing trend in CN species concentration as the adsorption temperature rises. This suggests that higher temperatures enhance the formation or retention of CN groups on the biochar surface after NO₂ adsorption. At elevated temperatures, stronger interactions between NO₂ and the biochar are likely, facilitating the formation of stable CN species. Conversely, the concentration of NOx species decreases with increasing temperature for both biochars. This trend may be due to the thermal desorption or decomposition of NOx species at higher temperatures. The weaker interaction or lower stability of NOx species on the biochar surface at elevated temperatures results in reduced retention, likely due to the breaking of weaker bonds at higher thermal energy.
The NO2 adsorption capacity of B-WSU (43.54 mg/g) falls within the range of values reported for other activated carbon materials, such as AC pine sawdust pellets (18.6 and 45.3 mg/g) [35] and AC Polish bituminous coal (25.5 and 43.5 mg/g) [36]. This demonstrates that B-WSU biochar has competitive adsorption properties compared to other commonly used activated carbons. Additionally, B-WSU outperforms AC pine sawdust pellets (18.6 mg/g) and AC bituminous coal (25.5 mg/g) in the lower range of their adsorption capacities, showcasing its potential as an effective adsorbent, while B-WSU does not match the highest capacities observed with copper-impregnated (121 and 206 mg/g) [37] and urea-impregnated (66 and 140 mg/g) wood-based activated carbons [38]. Based on this comparison, further enhancements can be made to biochar by exploring additional treatments or modifications to increase its adsorption capacity. Potential strategies include chemical impregnation with elements such as copper or urea, as demonstrated by the higher adsorption capacities of these modified activated carbons. Additionally, optimizing pyrolysis conditions and precursor materials can also contribute to improving the performance of biochar in NO2 adsorption.
4. Conclusions
In conclusion, this study demonstrates the potential of biochar derived from wood shavings, particularly those used for animal litter, as effective adsorbents for NO2. Pyrolysis of fresh and used wood shavings at 450 °C produced biochars with enhanced thermal stability, modified elemental composition, and improved surface properties compared to raw biomass. The different biochars exhibited substantial NO2 adsorption capacities, with B-WSU biochar outperforming B-WSF biochar due to its higher specific surface area and mineral content. Furthermore, NO2 adsorption increased with rising temperature, suggesting temperature modulation as a viable strategy to enhance NO2 removal efficiency. XPS analysis revealed surface modifications upon NO2 exposure, elucidating the mechanisms underlying NO2 adsorption on the biochar surface. Both mineral species, predominantly K, and carbon groups react with NO2 to form stable species.
It is important to note that using used wood shavings for biochar production represents a sustainable approach to waste recovery within the circular economy framework. These wood shavings, enriched with elements from animal litter, contribute to the biochar’s mineral content, thereby enhancing its adsorption capacity. By converting biomass waste into a valuable resource for air pollution mitigation, this study underscores the importance of innovative waste management and resource recovery strategies aligned with sustainability goals. Moreover, such practices promote renewable resource utilization and reduce environmental costs associated with waste disposal.
Overall, this study highlights the potential of biomass-derived biochar as a promising solution to air quality challenges while advocating for sustainable waste management practices. However, addressing potential risks associated with CO and NO emissions during high-temperature adsorption processes is crucial. The formation of these gases poses health and environmental risks, necessitating the implementation of safety measures and process controls. These could include optimizing adsorption conditions to minimize gas generation, implementing gas capture and treatment systems, and ensuring adequate ventilation in processing facilities. Adopting these strategies ensures safe biochar production while mitigating environmental impact. Additionally, we recommend enhancing biochar adsorption properties for NO2 to achieve effective performance at room temperature, eliminating CO and NO emissions for a safer, environmentally friendly approach. Future research should focus on biochar modifications to enhance adsorption efficiency at lower temperatures, ensuring safety and efficacy in air quality management.
Supplementary Materials
The following supporting information can be downloaded at: https://www.mdpi.com/article/10.3390/cleantechnol6030049/s1, Figures S1–S6: Full range XPS spectra of B-WSF biochar prepared at 450 °C after adsorption of NO2: (a) adsorption at 22 °C; (b) adsorption at 150 °C; (c) adsorption at 200 °C; (d) adsorption at 250 °C. Figures S7–S12: Full range XPS spectra of B-WSU biochar prepared at 450 °C after adsorption of NO2: (a) adsorption at 22 °C; (b) adsorption at 150 °C; (c) adsorption at 200 °C; (d) adsorption at 250 °C. Table S1: XPS Results data of biochar before and after adsorption of NO2.
Author Contributions
M.Z., M.D. and L.L. contributed to methodology, conceptualization, and writing—original draft preparation; L.L., methodology and X-ray photoelectron spectroscopy analysis; M.D. contributed to methodology and SEM and mapping analysis; M.D. contributed to methodology and elemental composition analysis by XRF; L.L., review and editing, and supervision; L.L. and M.Z., project conceptualization, granting, and management. All authors have read and agreed to the published version of the manuscript.
Funding
This research did not receive any external funding.
Institutional Review Board Statement
Not applicable.
Informed Consent Statement
Not applicable.
Data Availability Statement
The data presented in this study are available on request from the corresponding author.
Acknowledgments
The authors would like to thank L. Josien (SEM-EDX), L. Michelin (XRF), S. Hajjar-Gareau (XPS), H. Nouali (ATG), and C. Vaulot (CO2 adsorption) for their contribution.
Conflicts of Interest
The authors declare no conflicts of interest.
References
- Rezaei, F.; Rownaghi, A.A.; Monjezi, S.; Lively, R.P.; Jones, C.W. SOx/NOx Removal from Flue Gas Streams by Solid Adsorbents: A Review of Current Challenges and Future Directions. Energy Fuels 2015, 29, 5467–5486. [Google Scholar] [CrossRef]
- Lee, J.C.Y.; Malte, P.C.; Benjamin, M.A. Low NOx Combustion for Liquid Fuels: Atmospheric Pressure Experiments Using a Staged Prevaporizer-Premixer. J. Eng. Gas Turbines Power 2003, 125, 861–871. [Google Scholar] [CrossRef]
- Zheng, M.; Reader, G.T.; Hawley, J.G. Diesel engine exhaust gas recirculation—A review on advanced and novel concepts. Energy Convers. Manag. 2004, 45, 883–900. [Google Scholar] [CrossRef]
- Gabrielsson, P.L.T. Urea-SCR in Automotive Applications. Top. Catal. 2004, 28, 177–184. [Google Scholar] [CrossRef]
- Brandenberger, S.; Kröcher, O.; Tissler, A.; Althoff, R. The State of the Art in Selective Catalytic Reduction of NO x by Ammonia Using Metal-Exchanged Zeolite Catalysts. Catal. Rev. 2008, 50, 492–531. [Google Scholar] [CrossRef]
- Heck, R.M. Catalytic abatement of nitrogen oxides–stationary applications. Catal. Today 1999, 53, 519–523. [Google Scholar] [CrossRef]
- Mochida, I.; Korai, Y.; Shirahama, M.; Kawano, S.; Hada, T.; Seo, Y.; Yoshikawa, M.; Yasutake, A. Removal of SOx and NOx over activated carbon fibers. Carbon N. Y. 2000, 38, 227–239. [Google Scholar] [CrossRef]
- Sharma, M.; Vyas, R.K.; Singh, K. A review on reactive adsorption for potential environmental applications. Adsorption 2013, 19, 161–188. [Google Scholar] [CrossRef]
- Goupil, J.-M.; Hemidy, J.-F.; Cornet, D. Adsorption of NO2 on modified Y zeolites. Zeolites 1982, 2, 47–50. [Google Scholar] [CrossRef]
- Levasseur, B.; Ebrahim, A.M.; Bandosz, T.J. Role of Zr4+ Cations in NO2 Adsorption on Ce1-xZrxO2 Mixed Oxides at Ambient Conditions. Langmuir 2011, 27, 9379–9386. [Google Scholar] [CrossRef] [PubMed]
- Levasseur, B.; Ebrahim, A.M.; Bandosz, T.J. Interactions of NO2 with Amine-Functionalized SBA-15: Effects of Synthesis Route. Langmuir 2012, 28, 5703–5714. [Google Scholar] [CrossRef]
- Kong, Y.; Cha, C.Y. NOx adsorption on char in presence of oxygen and moisture. Carbon N. Y. 1996, 34, 1027–1033. [Google Scholar] [CrossRef]
- Ding, S.; Li, Y.; Zhu, T.; Guo, Y. Regeneration performance and carbon consumption of semi-coke and activated coke for SO2 and NO removal. J. Environ. Sci. 2015, 34, 37–43. [Google Scholar] [CrossRef]
- Qu, Z.; Sun, F.; Liu, X.; Gao, J.; Qie, Z.; Zhao, G. The effect of nitrogen-containing functional groups on SO2 adsorption on carbon surface: Enhanced physical adsorption interactions. Surf. Sci. 2018, 677, 78–82. [Google Scholar] [CrossRef]
- Hanif, A.; Sun, M.; Wang, T.; Shang, S.; Tsang, D.C.W.; Shang, J. Ambient NO2 adsorption removal by Mg–Al layered double hydroxides and derived mixed metal oxides. J. Clean. Prod. 2021, 313, 127956. [Google Scholar] [CrossRef]
- Kante, K.; Deliyanni, E.; Bandosz, T.J. Interactions of NO2 with activated carbons modified with cerium, lanthanum and sodium chlorides. J. Hazard. Mater. 2009, 165, 704–713. [Google Scholar] [CrossRef] [PubMed]
- Bandosz, T.J.; Ania, C.O. Chapter 4 Surface chemistry of activated carbons and its characterization. Interface Sci. Technol. 2006, 7, 159–229. [Google Scholar]
- Wang, L.; Xuan, C.; Zhang, X.; Sun, R.; Cheng, X.; Wang, Z.; Ma, C. NOx Adsorption Mechanism of Coal-Based Activated Carbon Modified with Trace Potassium: In Situ DRIFTS and DFT Study. Energy Fuels 2022, 36, 7633–7650. [Google Scholar] [CrossRef]
- Yan, W.; Li, S.; Fan, C.; Deng, S. Effect of surface carbon-oxygen complexes during NO reduction by coal char. Fuel 2017, 204, 40–46. [Google Scholar] [CrossRef]
- Jeguirim, M.; Tschamber, V.; Brilhac, J.F.; Ehrburger, P. Interaction mechanism of NO2 with carbon black: Effect of surface oxygen complexes. J. Anal. Appl. Pyrolysis 2004, 72, 171–181. [Google Scholar] [CrossRef]
- Jeguirim, M.; Belhachemi, M.; Limousy, L.; Bennici, S. Adsorption/reduction of nitrogen dioxide on activated carbons: Textural properties versus surface chemistry—A review. Chem. Eng. J. 2018, 347, 493–504. [Google Scholar] [CrossRef]
- Drané, M.; Zbair, M.; Hajjar-Garreau, S.; Josien, L.; Michelin, L.; Bennici, S.; Limousy, L. Unveiling the Potential of Corn Cob Biochar: Analysis of Microstructure and Composition with Emphasis on Interaction with NO2. Materials 2023, 17, 159. [Google Scholar] [CrossRef]
- Nguyen, M.H.; Zbair, M.; Dutournié, P.; Bennici, S. Thermochemical sorption heat storage: Investigate the heat released from activated carbon beads used as porous host matrix for MgSO4 salt. J. Energy Storage 2023, 59, 106452. [Google Scholar] [CrossRef]
- Shariff, A.; Mohamad Aziz, N.S.; Ismail, N.I.; Abdullah, N. Corn Cob as a Potential Feedstock for Slow Pyrolysis of Biomass. J. Phys. Sci. 2016, 27, 123–137. [Google Scholar] [CrossRef]
- Skreiberg, A.; Skreiberg, Ø.; Sandquist, J.; Sørum, L. TGA and macro-TGA characterisation of biomass fuels and fuel mixtures. Fuel 2011, 90, 2182–2197. [Google Scholar] [CrossRef]
- Frikha, K.; Limousy, L.; Arif, M.B.; Thevenin, N.; Ruidavets, L.; Zbair, M.; Bennici, S. Exhausted Grape Marc Derived Biochars: Effect of Pyrolysis Temperature on the Yield and Quality of Biochar for Soil Amendment. Sustainability 2021, 13, 11187. [Google Scholar] [CrossRef]
- Tomczyk, A.; Sokołowska, Z.; Boguta, P. Biochar physicochemical properties: Pyrolysis temperature and feedstock kind effects. Rev. Environ. Sci. Bio/Technol. 2020, 19, 191–215. [Google Scholar] [CrossRef]
- Dieguez-Alonso, A.; Funke, A.; Anca-Couce, A.; Rombolà, A.; Ojeda, G.; Bachmann, J.; Behrendt, F. Towards Biochar and Hydrochar Engineering—Influence of Process Conditions on Surface Physical and Chemical Properties, Thermal Stability, Nutrient Availability, Toxicity and Wettability. Energies 2018, 11, 496. [Google Scholar] [CrossRef]
- Moiseenko, K.V.; Glazunova, O.A.; Savinova, O.S.; Vasina, D.V.; Zherebker, A.Y.; Kulikova, N.A.; Nikolaev, E.N.; Fedorova, T.V. Relation between lignin molecular profile and fungal exo-proteome during kraft lignin modification by Trametes hirsuta LE-BIN 072. Bioresour. Technol. 2021, 335, 125229. [Google Scholar] [CrossRef]
- Al-Wabel, M.I.; Al-Omran, A.; El-Naggar, A.H.; Nadeem, M.; Usman, A.R.A. Pyrolysis temperature induced changes in characteristics and chemical composition of biochar produced from conocarpus wastes. Bioresour. Technol. 2013, 131, 374–379. [Google Scholar] [CrossRef]
- Selvarajoo, A.; Oochit, D. Effect of pyrolysis temperature on product yields of palm fibre and its biochar characteristics. Mater. Sci. Energy Technol. 2020, 3, 575–583. [Google Scholar] [CrossRef]
- Colombo, M.; Nova, I.; Tronconi, E. NO2 adsorption on Fe- and Cu-zeolite catalysts: The effect of the catalyst red–ox state. Appl. Catal. B Environ. 2012, 111–112, 433–444. [Google Scholar] [CrossRef]
- Seredych, M.; Bashkova, S.; Pietrzak, R.; Bandosz, T.J. Interactions of NO2 and NO with Carbonaceous Adsorbents Containing Silver Nanoparticles. Langmuir 2010, 26, 9457–9464. [Google Scholar] [CrossRef] [PubMed]
- Belhachemi, M.; Jeguirim, M.; Limousy, L.; Addoun, F. Comparison of NO2 removal using date pits activated carbon and modified commercialized activated carbon via different preparation methods: Effect of porosity and surface chemistry. Chem. Eng. J. 2014, 253, 121–129. [Google Scholar] [CrossRef]
- Nowicki, P.; Pietrzak, R. Carbonaceous adsorbents prepared by physical activation of pine sawdust and their application for removal of NO2 in dry and wet conditions. Bioresour. Technol. 2010, 101, 5802–5807. [Google Scholar] [CrossRef] [PubMed]
- Pietrzak, R. Active Carbons Obtained from Bituminous Coal for NO2 Removal under Dry and Wet Conditions at Room Temperature. Energy Fuels 2009, 23, 3617–3624. [Google Scholar] [CrossRef]
- Levasseur, B.; Gonzalez-Lopez, E.; Rossin, J.A.; Bandosz, T.J. Effect of Reduction Treatment on Copper Modified Activated Carbons on NOx Adsorption at Room Temperature. Langmuir 2011, 27, 5354–5365. [Google Scholar] [CrossRef]
- Bashkova, S.; Bandosz, T.J. The effects of urea modification and heat treatment on the process of NO2 removal by wood-based activated carbon. J. Colloid Interface Sci. 2009, 333, 97–103. [Google Scholar] [CrossRef]
Disclaimer/Publisher’s Note: The statements, opinions and data contained in all publications are solely those of the individual author(s) and contributor(s) and not of MDPI and/or the editor(s). MDPI and/or the editor(s) disclaim responsibility for any injury to people or property resulting from any ideas, methods, instructions or products referred to in the content. |
© 2024 by the authors. Licensee MDPI, Basel, Switzerland. This article is an open access article distributed under the terms and conditions of the Creative Commons Attribution (CC BY) license (https://creativecommons.org/licenses/by/4.0/).








