Abstract
The alpine peatlands in western Sichuan Province are currently experiencing aridification. To understand the effects of aridification on the characteristics of organic carbon release from alpine soils, the soil in the northwest Sichuan Plateau was investigated. Soil columns were incubated under different moisture conditions in situ and in the laboratory, and ultraviolet-visible absorption spectroscopy and three-dimensional fluorescence spectroscopy were used to assess the soil dissolved organic carbon (DOC) levels. The results revealed that (1) the cumulative release of DOC from alpine soil in the northwest Sichuan Plateau decreased with decreasing moisture content. The cumulative release of soil DOC in the laboratory (0–5 cm soil reached 1.93 ± 0.43 g/kg) was greater than that from soil incubated in situ (0–5 cm soil reached 1.40 ± 0.13 g/kg); (2) the cumulative release of DOC in 0–5 cm soil exhibited the greatest response to changes in water content, and the cumulative release of DOC from the 0–5 cm soil layer (1.40 ± 0.13 g/kg) was greater than that from the 5–15 cm soil layer (1.25 ± 0.03 g/kg); and (3) UV-visible absorption spectra and 3D fluorescence spectral characteristics indicated that aridification increases the content of chromophoric dissolved organic matter (CDOM) components with strong hydrophobicity, especially tyrosine components (surface soil increased 39.59~63.31%), in alpine soil DOC. This increase in hydrophobic CDOM components enhances the aromaticity and degree of humification of DOC. Our results revealed that drought inhibits the release of soil DOC, which is unfavorable for the sequestration of organic carbon in alpine soils, potentially resulting in the loss of soil carbon pools and further degradation of alpine ecosystem functions.
1. Introduction
The organic carbon pool of alpine soil is among the most critical carbon reservoirs within terrestrial ecosystems and plays an exceedingly vital role in the soil carbon cycle. In particular, in the alpine region of southwest China, the alpine environment promotes accumulation of large amounts of soil organic matter [1]. Alpine soils have a stronger and more rapid response to climate change and are an initiating and sensitive zone for global climate change [2,3,4]. Over the past 50 years, the high-altitude areas of the Qinghai-Tibet Plateau have experienced significant warming, and the heating rate has been higher than the global average heating rate [5,6]; the projected increase in average annual temperature by the end of the 21st century is 2.8–4.9 °C [7]. In the context of global environmental change, the aridification of alpine soils, especially alpine wetlands and meadows, is becoming increasingly serious as a result of environmental changes leading to warming, persistent drying, and changes in the pattern of alternating precipitation and seasonal freezing and thawing [8,9,10]. Aridification of alpine soils results in a series of changes, such as alterations in the activity and dynamics of SOC, as well as the transformation of SOC sources and sinks [10,11].
Soil dissolved organic carbon (DOC) is an important component of the soil organic carbon pool; although it generally accounts for only 1% to 5% of the total soil organic carbon, DOC has the most vigorous metabolic activity of the chemical substances in soil organic matter and plays a crucial role in the accumulation, decomposition, and transformation of soil organic matter [12]. DOC usually refers to water-soluble organic mixtures (including organic acids, carbohydrates, humic substances, amino sugars, polyphenols, etc.) that can pass through a 0.45 filter membrane and contain a variety of functional groups [13,14]. Soil DOC is replenished and controlled mainly by carbon inputs from plant litter, root secretions, soil organic matter, and microbial biomass [15,16] The concentration of DOC in soil water at any given time represents a balance between generation processes (e.g., microbial decomposition, root exudation, litter leaching, and desorption) and removal processes (e.g., flushing, microbial consumption, and chemisorption) [17]. Climatic conditions (i.e., changes in temperature and precipitation) are important factors influencing changes in DOC [18,19,20]. However, studies have shown that temperature changes have not yet caused fundamental changes in alpine soil temperature, but soil aridification, soil degradation, and meadow desertification have caused soil moisture degradation and thus affected the release of DOC from alpine soils [21,22,23].
Hydrological conditions play important roles in organic carbon accumulation and organic carbon dynamics in alpine soils, controlling the mobilization, transformation, and leaching of soil DOC [24,25]. Researchers have shown that aridification of alpine soils on the Tibetan Plateau increases ecosystem respiration (especially soil respiration and microbial respiration) and decreases soil organic carbon (SOC) and soil microbial biomass C and N [10,26]. In addition, aridification affects the soil DOC content. When the soil is in arid conditions, the low soil water content affects DOC desorption and dissolution [14]. Moreover, the diffusion of dissolved organic carbon is impeded, and microbial and enzyme activities are reduced, which affects the input processes of soil DOC (decomposition and transformation of SOC and plant litter) [27,28]. Peng et al. [29] reported that drought reduced the DOC content of forest soils by 9.24%, and this effect increased with increasing drought intensity and average annual temperature.
Soils in the alpine region of southwest China have experienced persistent aridification in recent decades, but in situ studies on the effects of aridification on SOC release are lacking. To further explore the influence of water-related changes on DOC release from alpine soil in the context of global environmental changes, in this study we collected undisturbed soil columns of alpine soil for short-term laboratory incubation at different depths (0–5 cm, 5–10 cm, 10–15 cm) under two different moisture contents, namely field capacity (FC) and saturated water content (SWC). Moreover, in situ incubation experiments were conducted under three natural moisture gradients. The objective of this study was to determine the response of DOC in alpine soils to moisture conditions and soil depth, which could provide reference data for the study of the dynamics of the organic carbon pool in alpine soils in the context of global environmental change.
2. Materials and Methods
2.1. Site Description
The alpine sampling location (31°30′34″ N, 102°20′32″ E, 3870 MASL) is located in Majiagou, Xiaojin County, on the northwest plateau of Sichuan. Majiagou trends towards the southwest, and the terrain is higher in the northwest and lower in the southeast. There are several snow peaks higher than 5000 m above sea level in the ditch, and modern glaciers have developed at the end of the ditch, forming unique polar landform characteristics. According to China Meteorological Administration (CMA) data, the area has an average annual temperature of approximately 11 °C and an annual precipitation of 656.8 mm [30], and the main vegetation types are alpine wetlands and alpine shrubs. The soil-water environment in the research area has a natural gradient distribution in the soil at the edge of the alpine lake (Figure 1). The gradients are marked A, B, and C according to the height of the slope from low to high: A corresponds to the edge of the alpine lake, where the water level is high and the soil is basically saturated year round; B corresponds to the alpine grassland in the middle of the slope, where the soil is relatively moist; and C corresponds to a higher slope position, where the soil is relatively dry and the vegetation is mainly alpine shrub grassland (Figure S1).
Figure 1.
Study area on the northwestern plateau of Sichuan with the approximate locations of the sampling sites. (a) Location of the study site in China, (b) location of the actual sampling positions. A corresponds to the edge of the alpine lake, where the water level is high and the soil is basically saturated year round; B corresponds to the alpine grassland in the middle of the slope, where the soil is relatively moist; and C corresponds to a higher slope position, where the soil is relatively dry. The image was generated with ArcGIS 10.8.
2.2. Experimental Design
Controlled laboratory incubation experiments: A customized soil core sampler made of stainless steel (7 cm in diameter and 15 cm in length) was used to collect a total of 36 undisturbed soil columns from 0–15 cm in position A. The topsoil, plants, and litter were removed, and the soil columns were divided into 0–5 cm, 5–10 cm, and 10–15 cm layers for 80-day controlled incubation experiments in the laboratory in June 2019. Before incubation, we measured the gravimetric water content (GWC), field capacity (FC), and saturated water content (SWC) of the fresh soil. The physicochemical properties at position A are shown in Table 1. The soil moisture was then adjusted to FC (the FC values of the 0–5 cm, 5–10 cm, and 10–15 cm soil layers at position A were 93.97%, 85.33%, and 76.31%, respectively) and SWC (the SWC values of the 0–5 cm, 5–10 cm, and 10–15 cm soil layers at position A were 102.74%, 89.98%, and 80.56%, respectively) with distilled water, and eighteen replicates for each treatment were prepared. After sectioning, the undisturbed soil columns were placed in beakers, the soil water content was adjusted with ultrapure water, and, after water equilibrium, the samples were incubated in the dark at 4 °C in a constant-temperature incubator to simulate the environmental conditions of soils in alpine regions. Samples were taken at 0–5 cm, 5–10 cm, and 10–15 cm on the 0th, 5th, 10th, 20th, 40th and 80th days, respectively, three replicates were collected at each depth for each time point, and all collected samples were stored at 4 °C for analysis.
Table 1.
Physicochemical properties of the soil samples.
Four hundred eighty–day in situ incubation experiments: A custom-made soil core sampler made of stainless steel (7 cm in diameter and 15 cm in length) was used to collect 0~15 cm soil columns from Positions A, B, and C in June 2019. The physicochemical properties at Positions A, B, and C are shown in Table 1. The soil columns from position A were placed in pits created by the removal of soil columns from position A (A-A), position B (A-B), and position C (A-C) for the 480-day exchange incubation experiments to simulate the short-term process of soil drying. Twelve groups of replicates were set up for each position, for a total of 36 soil columns. Soil columns were collected on the 0th, 120th, 360th, and 480th days for analysis. Three replicate samples were collected from each position, and the soil column samples were sealed with parafilm and stored at 4 °C. The mean annual air temperature is 11 °C, and the mean maximum (August) and minimum (January) air temperatures are 26 °C and −8.0 °C, respectively. The annual precipitation is 786.7 mm.
2.3. Analysis Methods
Soil physical and chemical indicators. The pH of all the soil samples was determined via a pH meter (PHS-25, Shanghai Rex, Shanghai, China). The soil oxidation reduction potential (ORP) was determined via a redox potential meter (TR-901, Shanghai Rex). The soil bulk density was determined via the cutting-ring method. The soil OWC, FC, and SWC were determined via the drying method. First, the soil samples were collected via steel cylinders and weighed (). The steel cylinders were saturated in ultrapure water for 8 h to a constant weight (). Second, the infiltrated soil samples were placed on dry sand for 48 h, and then weighed, and the weights were recorded (). All the undisturbed soil samples, along with steel cylinders, were subsequently weighed () after being oven dried (105 °C) until a constant weight was reached (>24 h). Finally, the steel cylinders were cleaned, dried, and weighed (). The details of the method were given by Zhang et al. [31] and Yi et al. [32].
Extraction and analysis of soil DOC solutions. The soil DOC was extracted using Jones’ [33] method. Fresh soil samples (10 g) were put into a 100 mL centrifuge tube, and 2 mol/L KCl solution was added at a solid–liquid ratio of 1:5. After complete shaking, the samples were extracted by shaking at 200 r/min at 10 °C for 1 h. Subsequently, the suspension was centrifuged at 8000× g (8459 r/min) at 4 °C for 10 min. The supernatant was filtered through a 0.45 μm microporous membrane (PVDF, Millipore, Burlington, MA, USA). The filtrate was the DOC solution. An elemental total organic carbon analyzer (Vario DOC Elementar, Germany) was used to measure the concentration of organic carbon in the soil DOC solution and calculate the cumulative release of soil DOC.
The calculation formula for soil DOC release E(i) is as follows:
where C(i) is the concentration of organic carbon in the DOC solution at sampling time i (mg/L), V is the volume of the DOC solution (mL), and m is the soil mass (g).
The calculation formula for the cumulative release of soil DOC ε(n) is:
Spectral characterization of soil DOC. A simultaneous absorbance and three-dimensional fluorescence spectrometer (Aqualog®, HORIBA, Shanghai, China) was used for determination of soil DOC (filtered through a 0.45 μm microporous membrane) via ultraviolet-visible absorption spectroscopy and three-dimensional fluorescence spectroscopy. The instrument was automatically calibrated by scanning the spectrum. The scanning wavelength range was 240~550 nm for the excitation wavelength () and 214~621 nm for the emission wavelength (); the interval was 3.0 nm, and the slit width was 2.5 nm. Millipore ultrapure water was used as the blank. After the measurements, blanks were subtracted from the system, and Raman and Rayleigh scattering were removed.
Data processing and analysis. The characteristic parameters a(355), SUVA254, SUVA260, and SR were calculated from the soil DOC ultraviolet-visible absorption spectrum data. The relative concentration of CDOM in soil is typically quantified using the absorption coefficient a(355) (m−1) at 355 nm determined by nonlinear regression analysis. SUVA254 and SUVA260 are the ratios of the absorption coefficients of the ultraviolet spectrum at 254 nm and 260 nm, respectively, to the mass concentration of DOC (mg/L). The specific calculations are shown in Table 2. The larger the SUVA254 is, the higher the aromaticity of the DOC, and the greater the degree of humification. The larger the SUVA260 is, the greater the content of hydrophobic organic components in the DOC. The SR is calculated by dividing the 275~295 nm band absorption spectrum slope by the 350~400 nm band absorption spectrum slope, which reflects changes in the source composition and structure of soil CDOM [34]. The larger the SR is, the lower the molecular weight of DOC; a low molecular weight indicates that DOC is mainly decomposed by endogenous microorganisms [35].
Table 2.
Basic information of spectral characteristic parameters.
For fluorescence regional integration (FRI), the method of Chen et al. [36] was used to divide the three-dimensional fluorescence spectra of soil DOM into five characteristic peak regions, characterized as follows (Table 3): Peak I, associated with aromatic proteins such as tyrosine; Peak II, linked to aromatic proteins and biochemical oxygen demand (BOD5); Peak III, resembling fulvic acid; Peak IV, indicative of microbial byproducts such as tryptophan; and Peak V, akin to humic substances, specifically macromolecular humic acids. Origin Pro 9.0 was used to integrate a specific fluorescence region (ϕi), which represents the cumulative fluorescence intensity of organic matter with similar properties to reflect the relative amount of organics with a defined structure in that region.
where is the excitation wavelength range and emission wavelength range for the specific fluorescence peak.
Table 3.
Characteristics of five common fluorescent peaks in three-dimensional fluorescence.
Data integration was performed in Excel, data processing and analytical applications (ANOVA) were performed in SPSS 22.0 and Origin Pro 9.0, and graphs were produced in Origin Pro 9.0. In addition, a distribution map of the study area on the northwestern Plateau of Sichuan with the approximate locations of the sampling sites was produced in ArcMap 10.8.
3. Results
3.1. Release Characteristics of DOC in Response to Moisture Changes at Different Soil Depths
To determine the effects of climate change on the role of alpine soils as organic carbon sinks, we first aimed to determine the characteristics of soil DOC release at different soil depths during laboratory and in situ incubation. Both the laboratory and in situ results revealed that the cumulative DOC release from the alpine soils decreased with decreasing moisture content (Figure 2). After 480 days of in situ incubation, the cumulative release of DOC from the surface layer (0–5 cm) of the soil in groups A-B and A-C decreased by 17.69% and 15.82%, respectively, relative to that in group A. After 80 days of laboratory incubation, the cumulative release of DOC from the surface layer (0–5 cm) was reduced by 36.17% under FC compared with that under SWC. In addition, changes in soil depth affected DOC release from alpine soil. The study showed that the cumulative release of DOC was greater in the surface layer of soils than in subsurface soils, and the cumulative release of DOC in surface soil exhibited the greatest response to changes in water content; this may be because the surface soil contains more SOC. The SOC contents in the 0–5 cm, 5–10 cm, and 10–15 cm soil layers at position A were 90.27 g/kg, 65.67 g/kg, and 53.94 g/kg, respectively.

Figure 2.
Cumulative release of soil DOC under different water contents in the laboratory and during in situ incubation. (a1) 0–5 cm of soil in situ, (b1) 5–10 cm of soil in situ, (c1) 10–15 cm of soil in situ, (a2) 0–5 cm of soil in the laboratory, (b2) 5–10 cm of soil in the laboratory, and(c2) 10–15 cm of soil in the laboratory. A-A, soil from position A was incubated at position A; A-B, soil from position A was incubated at position B; A-C, soil from position A was incubated at position C; FC, field capacity; SWC, saturated water content.
As the incubation period increased, the cumulative release of DOC under in situ incubation with different moisture contents gradually increased, whereas the cumulative release of DOC under laboratory incubation gradually increased and then stabilized. The cumulative release of DOC from in situ incubated soil samples (0–5 cm soil reached 1.40 ± 0.13 g/kg, 5–10 cm soil reached 1.27 ± 0.01 g/kg, and 10–15 cm soil reached 1.22 ± 0.05 g/kg) was lower than that from laboratory soil samples (0–5 cm soil reached 1.93 ± 0.43 g/kg, 5–10 cm soil reached 1.53 ± 0.19 g/kg, and 10–15 cm soil reached 1.53 ± 0.13 g/kg), indicating that, under aridification conditions, alpine soils in their natural state are able to resist the influence of moisture changes on DOC release within a certain period.
3.2. Absorption Spectral Characteristics of Soil DOC Under Different Water Contents
To further reveal the effects of moisture changes on SOC fractions, we analyzed the UV-visible absorption spectral features of soil DOC. a(355) is directly proportional to the content of CDOM in the soil. During incubation, the values of the DOC UV-visible absorption spectral parameters of the alpine soils fluctuated continuously, changing with soil depth and moisture (Figure 3). Both the laboratory and in situ results revealed that a(355), SUVA254, and SUVA260 were greater in surface soil than in subsurface soil, indicating that the CDOM content, the hydrophobic organic fraction content, and the degrees of DOC aromaticity and humification in the alpine surface soils were slightly greater than those in the subsurface soils. Moreover, a(355), SUVA254, and SUVA260 were greater in soils with low moisture contents than in soils with high moisture contents under laboratory incubation. However, a(355), SUVA254, and SUVA260 were greater at position A-B than at positions A-A and A-C during in situ incubation. During in situ incubation, the subsurface soil (5–15 cm) SR fluctuated between 5.3 and 8.39, and the differences in the SR were small under different moisture conditions (p > 0.05), indicating that the DOC in alpine soil under different water conditions was mainly small molecule organic matter derived mainly from the autogenous decomposition of endogenous soil microorganisms. These results revealed that, against the background of global environmental changes, aridification will not change the source of DOC in alpine soil, but it will increase the amount of CDOM in DOC in alpine soil, especially the content of hydrophobic organic components, and increase the aromaticity and degree of humification of DOC.
Figure 3.
Characteristics of ultraviolet-visible absorption spectra of soil DOC under different moisture conditions. (a1) The 0–5 cm soil layer in situ, (b1) the 5–10 cm soil layer in situ, (c1) the 10–15 cm soil layer in situ, (a2) the 0–5 cm soil layer in the laboratory, (b2) the 5–10 cm soil layer in the laboratory, and (c2) the 10–15 cm soil layer in the laboratory. Pre(A), the preincubation soil layer at position A; A-A, the soil from position A was incubated at position A; A-B, the soil from position A was incubated at position B; A-C, the soil from position A was incubated at position C; FC, field capacity; SWC, saturated water content. The lowercase letters “a”, “b”, “c”, and “d” indicate significant (p < 0.05) differences among the different moisture conditions.
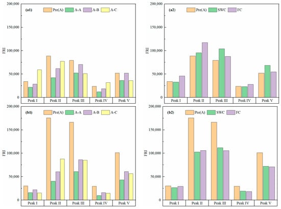
3.3. Three-Dimensional Fluorescence Regional Integration (FRI) of DOC Under Different Water Contents
The three-dimensional fluorescence spectrum of DOC in alpine soil showed five fluorescence peaks, and three-dimensional fluorescence region integration was performed (Figure 4). Among the five fluorescence peaks of alpine soils with different water contents, the Peak II and Peak III components had the highest FRIs, indicating that aromatic proteins and fulvic acids are the main components of DOC in alpine soil. The FRIs of the Peak I, Peak II, and Peak IV components in the surface soil were greater than those in the subsurface soil, and the FRIs of the Peak III and Peak V components were less than those in the subsurface soil. These findings indicate that the content of tyrosine and tryptophan components in surface soil DOC is greater than that in the subsurface layer and that the content of humus components such as fulvic acid and humic acid is lower than that in the subsurface layer. The FRI volume of each fluorescence peak fluctuated over time but showed an overall decreasing trend.

Figure 4.
Characteristics of three-dimensional fluorescence regional integration of soil DOC under different moisture conditions. (a1) The 0–5 cm soil layer in situ, (b1) the 5–10 cm soil layer in situ, (c1) the 10–15 cm soil layer in situ, (a2) the 0–5 cm soil layer in the laboratory, (b2) the 5–10 cm soil layer in the laboratory, and (c2) the 10–15 cm soil layer in the laboratory. Pre(A), the preincubation soil layer at position A; A-A, the soil from position A was incubated at position A; A-B, the soil from position A was incubated at position B; A-C, the soil from position A was incubated at position C; FC, field capacity; SWC, saturated water content. Peak I, associated with aromatic proteins such as tyrosine; Peak II, linked to aromatic proteins and biochemical oxygen demand (BOD5); Peak III, resembling fulvic acid; Peak IV, indicative of microbial byproducts such as tryptophan; and Peak V, akin to humic substances, specifically macromolecular humic acids.
Moreover, there are differences in the FRIs of alpine soils under different moisture conditions. In the in situ incubation experiment, the FRIs of the Peak I, Peak II, and Peak IV components in the surface soil decreased with increasing water content, indicating that aromatic proteins and tryptophan decreased with increasing water content, especially the tyrosine fractions. During in situ incubation, the FRIs of the tyrosine components in the surface soil at locations A-B and A-C increased by 51.70% and 63.31%, respectively, compared with those at location A. The FRIs of the peak III and peak V components were greatest at position A-B, indicating that fulvic and humic acids were the most abundant at position A-B. The laboratory incubation results further validated the in situ experimental results. After 80 days of incubation in the laboratory, compared with the results under SWC, the FRI volumes of the tyrosine component of the 0–5 cm, 5–10 cm, and 10–15 cm soil layers under FC increased by 39.59%, 9.31%, and 37.17%, respectively. Both the laboratory and in situ incubation results indicate that, in the context of global environmental change, aridification has led to a decrease in water content and an increase in the content of DOC fluorescent fractions, especially tyrosine-like fractions, in alpine soils.
4. Discussion
4.1. Response of Alpine DOC to Environmental Changes
High-elevation regions such as the Tibetan Plateau have high SOC density and high climate sensitivity, and climate change is a major driver of organic carbon, especially DOC, in alpine soils [17,37]. Our study revealed that aridification has led to a decrease in soil DOC release from Majiagou, Xiaojin County, on the northwest plateau of Sichuan (Figure 2). Combined with related studies from China and elsewhere, these results suggest that aridification will unavoidably cause SOC emission, and that the carbon stored in alpine soils will change from a sink to a source to be released into the atmosphere. Aridification affects soil carbon balance and SOC dynamics, thus influencing the release of DOC [38]. Aridification affects the rate of organic carbon decomposition, thereby increasing SOC mineralization and reducing DOC output [39]. Sowerby et al. [40] demonstrated that the total soil respiration rate increased by 40% after drought treatment, allowing the carbon stored in the soil to be released from sinks to the atmosphere. Sowerby [41] reported that drought treatment reduced the export of DOC by 9%, decreasing it to 20 g C m−2 year−1, and caused a shift in ecosystem carbon dynamics from a net carbon sink of 126 g C m−2 year−1 to a net carbon source of 33 g C m−2 year−1. In addition, aridification can also affect plant growth, thereby altering the input of soil dissolved organic carbon [42,43,44].
The distribution of DOC varies across the soil profile due to a variety of factors; thus, the response of DOC in alpine soils to climate change is different at different depths [45,46]. In this study, we found that the cumulative release of DOC from surface soil (0–5 cm) was greater than that from subsurface soil (5–15 cm) (Figure 2). The reason may be that surface soil is significantly affected by plant and atmospheric carbon cycles, and plant biomass input causes the surface soil of alpine soils to accumulate a large amount of organic carbon, resulting in high soil activity and high DOC release [47,48,49]. Moreover, the soil organic matter (SOM) in the 0–10 cm layer was more reactive to precipitation than was the SOM in the 10–40 cm layers, and an increase in precipitation promoted the construction of soil microbial communities, thus accelerating the turnover rate of SOM in the surface soil [1,50,51] and the release of DOC from the surface soil. With increasing soil depth, decreases in the amount of litter and roots, organic carbon inputs, complexity of DOC molecules in the subsoil [52,53], and microbial activity and extracellular enzyme activity [54] are observed.
4.2. Influence Mechanism of Moisture on DOC
Moisture is an important factor influencing the release of DOC. The findings of this study revealed that the cumulative release of DOC from alpine soil decreased with decreasing moisture content (Figure 2). As soil moisture decreases, the soil organic matter environment changes from a reduced state to an oxidized state, and the soil microbial and aeration conditions change drastically, exacerbating decomposition of SOM and leading to a decrease in the cumulative release of organic carbon [55]. However, after 480 days of in situ incubation, the cumulative release of DOC from the 0–5 cm soil was greater in group A-C than in group A-B, which may be due to the high concentration of organic carbon in the 0–5 cm soil surrounding the soil columns at position A-C. With the aridification of soil columns at position A-C, the clay content of the soil decreased and the soil became looser, increasing the influx of DOC from the surrounding soil to the soil columns [56]. Previous studies have shown that the DOC content is related to the SOC content, pH, and aggregate stability. Tipping et al. [57] revealed that soils with high organic matter content have higher DOC. Aridification also affects soil pH, and studies have shown that degraded soils have significantly higher pH values than nondegraded soils do [58,59]. At high pH, the acidic portion of DOC is easily neutralized with other substances such as calcium and magnesium compounds, resulting in a lower soil DOC content [60,61]. A lower soil water content also accelerates the destabilization of soil aggregates, which promotes microbial decomposition of soil DOC and does not result in soil organic carbon sequestration [62,63]. In addition, soil moisture affects soil carbon and nitrogen deposition and organic carbon storage by affecting plant growth and soil microbial activities [64,65,66,67]. Studies have shown that microbial biomass generally increases in moist soils [68,69], while the rates of carbon and nitrogen mineralization are significantly and positively correlated with soil enzyme activity and microbial biomass (p < 0.01) [70].
Moisture changes affect not only the stocks of DOC but also DOC fractions [71]. From the UV–visible absorption spectra of soil DOC (Figure 3), the degree of aromaticity and humification in the alpine soil DOC increased with decreasing soil water content, suggesting that the stability of soil CDOM decreased with increasing water content, which is similar to the findings of previous studies [72,73]. The decrease in soil aromaticity and humification with increasing water content may be due to high soil moisture, which reduces the soil pore space and creates an anaerobic environment, inhibiting the growth and activity of plants and soil microorganisms and resulting in slow humification of organic matter [38,69,74]. According to the FRI results (Figure 4), the fluorescence components, especially the tyrosine components, of alpine soil DOC increased as decreasing soil water content decreased, indicating that the aromaticity and humification of alpine wetland soil DOC increased with decreasing soil moisture, which was in agreement with the spectral absorption characteristics. The spectral characteristic parameters of the surface soil at position A-B were significantly greater than those in other areas, indicating that the degree of humification at position A-B was higher than that at other locations, possibly because position A-B has stable and suitable moisture conditions and is suitable for the growth and activities of soil microorganisms, thus promoting the process of organic matter humification [72,75,76].
This study has several limitations that can be improved upon in further studies. First, this study was based on short-term incubation in situ and in the laboratory and focused on the characteristics and effects of DOC in alpine soil at a certain spatial scale over a short period. However, the response of alpine DOC to climate change is a long-term process that has lasted several decades; therefore, further studies on the long-term effects of organic carbon dynamics in alpine soils in the context of environmental change may further validate our conclusions. In addition, our study focused mainly on the changes in the cumulative release of alpine DOC and its fluorescence components, while DOC components are complex and diverse. Further study of the process and mechanism of the conversion of alpine soil organic carbon into DOC is conducive to enhancing comprehension of the environmental effects and response mechanisms of alpine organic carbon.
5. Conclusions
Global environmental changes have led to the warming and drying of soil, especially alpine soil. We gained insight into the effects of soil water content changes on SOC release through in situ and laboratory incubations of soils at different depths from alpine soils in the northwestern Sichuan Plateau. The laboratory findings provide further in situ evidence. The cumulative release of DOC from alpine soils tended to decrease with decreasing water content, the cumulative release of DOC from the 0–5 cm soil layer in groups A-B and A-C decreased by 17.69% and 15.82%, respectively, relative to that in group A, and the cumulative release of DOC decreased by 36.17% under FC compared with that under SWC. The spectral characteristics of the soil DOC indicated that the aromaticity and degree of humification of the DOC and the stability of the DOC decreased with increasing moisture. Aromatic proteins and fulvic acids are the main components of DOC in alpine soil, and the content of DOC fluorescent fractions varies with soil water content. Aridification leads to changes in the DOC content and structure of alpine soils, but the specific processes and metabolic pathways involved in DOC transformation are still unclear. An in-depth study of the dynamics of alpine DOC in the context of environmental change is highly important for predicting the source-sink effect of carbon in alpine ecosystems. Subsequently, we could incorporate more advanced methods, such as multiomics joint analysis, to conduct an in-depth investigation into the transformation process of soil DOC.
Supplementary Materials
The following supporting information can be downloaded at https://www.mdpi.com/article/10.3390/soilsystems9010024/s1, Figure S1: Photographs of on-site sampling; Figure S2. Three-dimensional fluorescence spectra of soil DOC at position A; Figure S3: Three-dimensional fluorescence spectra of soil DOC after 480 d of in situ incubation experiments; Figure S4: Three-dimensional fluorescence spectra of soil DOC after 80d of controlled laboratory incubation experiments.
Author Contributions
Y.L.: writing-original draft, data curation, formal analysis and validation. J.Q.: Methodology, writing-review & editing, formal analysis, project administration. Y.C.: conceptualization, methodology, investigation. H.S.: conceptualization, methodology, writing-review & editing, project administration, supervision. X.H.: data curation, formal analysis. All authors have read and agreed to the published version of the manuscript.
Funding
This research was funded by the National Natural Science Foundation of China, grant number 41271094 (National Natural Science Foundation of China).
Data Availability Statement
These are available from the corresponding author on reasonable request.
Acknowledgments
We are grateful for the support provided by the National Natural Science Foundation of China (grant no. 41271094).
Conflicts of Interest
The authors have no relevant financial or nonfinancial interests to disclose.
References
- Davidson, E.A.; Janssens, I.A. Temperature sensitivity of soil carbon decomposition and feedbacks to climate change. Nature 2006, 440, 165–173. [Google Scholar] [CrossRef] [PubMed]
- Chen, Y.; Feng, J.; Yuan, X.; Zhu, B. Effects of warming on carbon and nitrogen cycling in alpine grassland ecosystems on the tibetan plateau: A meta-analysis. Geoderma 2020, 370, 114363. [Google Scholar] [CrossRef]
- Li, X.; Zhang, Y.; Hou, J.; Wang, M.; Fan, B.; Yan, J.; Huang, L.; He, Y. Spatio-temporal patterns of centennial-scale climate change over the Tibetan Plateau during the past two millennia and their possible mechanisms. Quat. Sci. Rev. 2022, 292, 107664. [Google Scholar] [CrossRef]
- Sun, J.; Wang, Y.; Liu, S.; Li, J.; Zhou, H.; Wu, G.; Haregeweyn, N. Editorial: Patterns, functions, and processes of alpine grassland ecosystems under global change. Front. Plant Sci. 2022, 13, 1048031. [Google Scholar] [CrossRef]
- Piao, S.L.; Zhang, X.Z.; Wang, T.; Liang, E.Y.; Wang, S.P.; Zhu, J.T.; Niu, B.J.C.S.B. Responses and feedback of the Tibetan Plateau’s alpine ecosystem to climate change. Chin. Sci. Bull. 2019, 64, 2842–2855. [Google Scholar] [CrossRef]
- Song, C.; Pei, T.; Zhou, C.H. Progress in the study of temperature changes in the Qinghai-Tibet Plateau since 1960. Prog. Geogr. 2012, 31, 1503–1509. [Google Scholar]
- Gao, Q.-Z.; Li, Y.; Xu, H.-M.; Wan, Y.-F.; Jiangcun, W.-Z. Adaptation strategies of climate variability impacts on alpine grassland ecosystems in tibetan plateau. Mitig. Adapt. Strateg. Glob. Change 2014, 19, 199–209. [Google Scholar] [CrossRef]
- Li, Y.; Song, B.; Kang, X. Vegetation, ecosystem processing and carbon budget of wetlands under global change. Front. Plant Sci. 2023, 14, 1160319. [Google Scholar] [CrossRef]
- Qiang, H.F.; Jin, X.Y.; Zhao, L.; Lu, A.H. Dry and wet changes in Zoige wetland in recent 56 years based on relative humidity index. Res. Soil Water Conserv. 2018, 25, 172–177+182. [Google Scholar] [CrossRef]
- Yang, A.; Kang, X.; Li, Y.; Zhang, X.; Zhang, K.; Kang, E.; Yan, Z.; Li, M.; Wang, X.; Niu, Y.; et al. Alpine wetland degradation reduces carbon sequestration in the Zoige Plateau, China. Front. Ecol. Evol. 2022, 10, 980441. [Google Scholar] [CrossRef]
- Zhang, H.; Wang, J.; Zhang, Y.; Qian, H.; Xie, Z.; Hu, Y.; Huang, Y.; Zhao, C.; Cheng, W.; Feng, X.; et al. Soil Organic Carbon Dynamics and Influencing Factors in the Zoige Alpine Wetland from the 1980s to 2020 Based on a Random Forest Model. Land 2023, 12, 1923. [Google Scholar] [CrossRef]
- Li, P.; Wu, M.; Li, T.; Dumbrell, A.J.; Saleem, M.; Kuang, L.; Luan, L.; Wang, S.; Li, Z.; Jiang, J. Molecular weight of dissolved organic matter determines its interactions with microbes and its assembly processes in soils. Soil Biol. Biochem. 2023, 184, 109117. [Google Scholar] [CrossRef]
- Kalbitz, K.; Schmerwitz, J.; Schwesig, D.; Matzner, E. Biodegradation of soil-derived dissolved organic matter as related to its properties. Geoderma 2003, 113, 273–291. [Google Scholar] [CrossRef]
- Gmach, M.R.; Cherubin, M.R.; Kaiser, K.; Cerri, C.E.P. Processes that influence dissolved organic matter in the soil: A review. Sci. Agric. 2019, 77, e20180164. [Google Scholar] [CrossRef]
- Liang, C.; Amelung, W.; Lehmann, J.; Kästner, M. Quantitative assessment of microbial necromass contribution to soil organic matter. Glob. Change Biol. 2019, 25, 3578–3590. [Google Scholar] [CrossRef]
- Surey, R.; Schimpf, C.M.; Sauheitl, L.; Mueller, C.W.; Rummel, P.S.; Dittert, K.; Kaiser, K.; Böttcher, J.; Mikutta, R. Potential denitrification stimulated by water-soluble organic carbon from plant residues during initial decomposition. Soil Biol. Biochem. 2020, 147, 107841. [Google Scholar] [CrossRef]
- Preston, M.D.; Eimers, M.C.; Watmough, S.A. Effect of moisture and temperature variation on DOC release from a peatland: Conflicting results from laboratory, field and historical data analysis. Sci. Total Environ. 2011, 409, 1235–1242. [Google Scholar] [CrossRef]
- Chen, Q.; Niu, B.; Hu, Y.; Luo, T.; Zhang, G. Warming and increased precipitation indirectly affect the composition and turnover of labile-fraction soil organic matter by directly affecting vegetation and microorganisms. Sci. Total Environ. 2020, 714, 136787. [Google Scholar] [CrossRef]
- Naden, P.S.; Allott, N.; Arvola, L.; Järvinen, M.; Jennings, E.; Moore, K.; Aonghusa, C.N.; Pierson, D. Modelling the impacts of climate change on dissolved organic carbon. In The Impact of Climate Change on European Lakes; Springer: Berlin/Heidelberg, Germany, 2010; pp. 221–252. [Google Scholar] [CrossRef]
- Nie, X.; Wang, D.; Ren, L.; Du, Y.; Zhou, G. Storage and controlling factors of soil organic carbon in alpine wetlands and meadow across the Tibetan Plateau. Eur. J. Soil Sci. 2023, 74, e13383. [Google Scholar] [CrossRef]
- Bai, W.; Chen, X.; Tang, Y.; He, Y.; Zheng, Y. Temporal and spatial changes of soil moisture and its response to temperature and precipitation over the Tibetan Plateau. Hydrol. Sci. J. 2019, 64, 1370–1384. [Google Scholar] [CrossRef]
- Evans, C.D.; Freeman, C.; Monteith, D.T.; Reynolds, B.; Fenner, N. Climate change (Communication arising): Terrestrial export of organic carbon. Nature 2002, 415, 862–863. [Google Scholar] [CrossRef]
- Freeman, C.; Evans, C.D.; Monteith, D.T.; Reynolds, B.; Fenner, N. Export of organic carbon from peat soils. Nature 2001, 412, 785. [Google Scholar] [CrossRef] [PubMed]
- Tiefenbacher, A.; Weigelhofer, G.; Klik, A.; Mabit, L.; Santner, J.; Wenzel, W.; Strauss, P. Antecedent soil moisture and rain intensity control pathways and quality of organic carbon exports from arable land. Catena 2021, 202, 105297. [Google Scholar] [CrossRef]
- Fan, S.; Qin, J.; Sun, H.; Dan, Z.; Li, Z.; Yang, J. Different Responses of Soil Nutrient Dynamics and Microbial Activities to Soil Moisture Changes in Alpine Wetlands and Meadows on the Tibetan Plateau. Land Degrad. Dev. 2025; early review. [Google Scholar] [CrossRef]
- Zhao, J.; Luo, T.; Li, R.; Wei, H.; Li, X.; Du, M.; Tang, Y. Precipitation alters temperature effects on ecosystem respiration in tibetan alpine meadows. Agric. For. Meteorol. 2018, 252, 121–129. [Google Scholar] [CrossRef]
- Borken, W.; Xu, Y.-J.; Brumme, R.; Lamersdorf, N. A climate change scenario for carbon dioxide and dissolved organic carbon fluxes from a temperate forest soil drought and rewetting effects. Soil Sci. Soc. Am. J. 1999, 63, 1848–1855. [Google Scholar] [CrossRef]
- Gao, J.; Feng, J.; Zhang, X.; Yu, F.-H.; Xu, X.; Kuzyakov, Y. Drying-rewetting cycles alter carbon and nitrogen mineralization in litter-amended alpine wetland soil. Catena 2016, 145, 285–290. [Google Scholar] [CrossRef]
- Jiang, P.; He, S.; Xiao, L.; Li, L.; Liu, M. Effects of Drought on Dissolved Organic Carbon Content in Grassland and Forest Soils. Russ. J. Ecol. 2023, 54, 516–525. [Google Scholar] [CrossRef]
- Xiang, S.; Guo, R.; Wu, N.; Sun, S. Current status and future prospects of Zoige Marsh in Eastern Qinghai-Tibet Plateau. Ecol. Eng. 2009, 35, 553–562. [Google Scholar] [CrossRef]
- Zhang, Y.; Liu, S.; Ma, J. Water-holding capacity of ground covers and soils in alpine and sub-alpine shrubs in western Sichuan, China. Acta Ecol. Sin. 2006, 26, 2775–2781. [Google Scholar] [CrossRef]
- Yi, X.S.; Li, G.S.; Yin, Y.Y. Comparison of three methods to develop pedotransfer functions for the saturated water content and field water capacity in permafrost region. Cold Reg. Sci. Technol. 2013, 88, 10–16. [Google Scholar] [CrossRef]
- Jones, D.L.; Willett, V.B. Experimental evaluation of methods to quantify dissolved organic nitrogen (DON) and dissolved organic carbon (DOC) in soil. Soil Biol. Biochem. 2006, 38, 991–999. [Google Scholar] [CrossRef]
- Wang, S.; Qin, J.; Sun, H.; Chen, W.; Xie, B. Photodegradation characteristics of dissolved organic matter (DOM) in alpine soils of the eastern margin of Tibetan Plateau. Pol. J. Environ. Stud. 2021, 30, 2815–2826. [Google Scholar] [CrossRef]
- Liu, Y.Y.; Sun, H.; Liu, C.; Wang, X.Q. Characteristics of chromophoric dissolved organic matter (CDOM) in natural rivers of Western Sichuan Plateau. Environ. Sci. 2019, 40, 5318–5329. [Google Scholar] [CrossRef]
- Chen, W.; Westerhoff, P.; Leenheer, J.A.; Booksh, K. Fluorescence Excitation? Emission Matrix Regional Integration to Quantify Spectra for Dissolved Organic Matter. Environ. Sci. Technol. 2003, 37, 5701–5710. [Google Scholar] [CrossRef]
- Gaitán, J.J.; Maestre, F.T.; Bran, D.E.; Buono, G.G.; Dougill, A.J.; Martínez, G.G.; Ferrante, D.; Guuroh, R.T.; Linstädter, A.; Massara, V.; et al. Biotic and abiotic drivers of topsoil organic carbon concentration in drylands have similar effects at regional and global scales. Ecosystems 2019, 22, 1445–1456. [Google Scholar] [CrossRef]
- Gao, J.; Lei, G.; Zhang, X.; Wang, G. Can delta C-13 abundance, water-soluble carbon, and light fraction carbon be potential indicators of soil organic carbon dynamics in Zoige wetland? Catena 2014, 119, 21–27. [Google Scholar] [CrossRef]
- Puissant, J.; Mills, R.T.E.; Robroek, B.J.M.; Gavazov, K.; Perrette, Y.; De Danieli, S.; Spiegelberger, T.; Buttler, A.; Brun, J.-J.; Cécillon, L. Climate change effects on the stability and chemistry of soil organic carbon pools in a subalpine grassland. Biogeochemistry 2017, 132, 123–139. [Google Scholar] [CrossRef]
- Sowerby, A.; Emmett, B.A.; Tietema, A.; Beier, C. Contrasting effects of repeated summer drought on soil carbon efflux in hydric and mesic heathland soils. Glob. Change Biol. 2008, 14, 2388–2404. [Google Scholar] [CrossRef]
- Sowerby, A.; Emmett, B.A.; Williams, D.; Beier, C.; Evans, C.D. The response of dissolved organic carbon (DOC) and the ecosystem carbon balance to experimental drought in a temperate shrubland. Eur. J. Soil Sci. 2010, 61, 697–709. [Google Scholar] [CrossRef]
- Ding, J.; Chen, L.; Ji, C.; Hugelius, G.; Li, Y.; Liu, L.; Qin, S.; Zhang, B.; Yang, G.; Li, F.; et al. Decadal soil carbon accumulation across Tibetan permafrost regions. Nat. Geosci. 2017, 10, 420–424. [Google Scholar] [CrossRef]
- Li, N.; Wang, G.X.; Gao, Y.H.; Ji, C.Z. Research progress on soil organic carbon in Qinghai-Tibet Plateau ecosystem. Soil 2009, 41, 512–519. [Google Scholar]
- Oechel, W.C.; Vourlitis, G.L.; Hastings, S.J.; Zulueta, R.C.; Hinzman, L.; Kane, D. Acclimation of ecosystem CO2 exchange in the Alaskan Arctic in response to decadal climate warming. Nature 2000, 406, 978–981. [Google Scholar] [CrossRef]
- Sawicka, K.; Clark, J.M.; Vanguelova, E.; Monteith, D.T.; Wade, A.J. Spatial properties affecting the sensitivity of soil water dissolved organic carbon long-term median concentrations and trends. Sci. Total Environ. 2021, 780, 146670. [Google Scholar] [CrossRef] [PubMed]
- Sanderman, J.; Baldock, J.A.; Amundson, R. Dissolved organic carbon chem-istry and dynamics in contrasting forest and grassland soils. Biogeochemistry 2008, 89, 181–198. [Google Scholar] [CrossRef]
- Guo, L.L.; Li, A.D.; Shang, H.L.; Sun, S.Q. Total and Labile Organic Carbon in Soils of Three Subalpine Forest Types in Gongga Mountain, Western Sichuan. Chin. J. Agrometeorol. 2018, 39, 636. [Google Scholar] [CrossRef]
- Ma, K.; Zhang, Y.; Tang, S.; Liu, J. Spatial distribution of soil organic carbon in the Zoige alpine wetland, northeastern Qinghai–Tibet Plateau. Catena 2016, 144, 102–108. [Google Scholar] [CrossRef]
- Schrumpf, M.; Kaiser, K.; Guggenberger, G.; Persson, T.; Kögel-Knabner, I.; Schulze, E.-D. Storage and stability of organic carbon in soils as related to depth, occlusion within aggregates, and attachment to minerals. Biogeosciences 2013, 10, 31675–31691. [Google Scholar] [CrossRef]
- Garcia-Franco, N.; Wiesmeier, M.; Buness, V.; Berauer, B.J.; Schuchardt, M.A.; Jentsch, A.; Schlingmann, M.; Andrade-Linares, D.; Wolf, B.; Kiese, R.; et al. Rapid loss of organic carbon and soil structure in mountainous grassland topsoils induced by simulated climate change. Geoderma 2024, 442, 116807. [Google Scholar] [CrossRef]
- Han, C.; Wang, Z.; Si, G.; Lei, T.; Yuan, Y.; Zhang, G. Increased precipitation accelerates soil organic matter turnover associated with microbial community composition in topsoil of alpine grassland on the eastern Tibetan Plateau. Can. J. Microbiol. 2017, 63, 811–821. [Google Scholar] [CrossRef]
- Davenport, R.; Bowen, B.P.; Lynch, L.M.; Kosina, S.M.; Shabtai, I.; Northen, T.R.; Lehmann, J. Decomposition decreases molecular diversity and ecosystem similarity of soil organic matter. Proc. Natl. Acad. Sci. USA 2023, 120, e2303335120. [Google Scholar] [CrossRef]
- Li, J.; Wang, Q.; Sun, H. Temporal dynamics of light-fraction organic carbon of subalpine-alpine soil along an altitudinal gradient in the Southwestern China. Res. Soil Water Conserv. 2015, 22, 51–55. [Google Scholar] [CrossRef]
- Jia, J.; Feng, X.; He, J.-S.; He, H.; Lin, L.; Liu, Z. Comparing microbial carbon sequestration and priming in the subsoil versus topsoil of a Qinghai-Tibetan alpine grassland. Soil Biol. Biochem. 2017, 104, 141–151. [Google Scholar] [CrossRef]
- Wang, S.; Qin, J.; Xie, B.; Liu, C.; Chen, Y.; Tang, X.; Sun, H. Spectroscopic characteristics of dissolved organic matter (DOM)in Zoige alpine peatland soils along a soil moisture gradient. Ecol. Environ. Sci. 2020, 29, 676–685. [Google Scholar] [CrossRef]
- Berdugo, M.; Delgado-Baquerizo, M.; Soliveres, S.; Hernández-Clemente, R.; Zhao, Y.; Gaitán, J.J.; Gross, N.; Saiz, H.; Maire, V.; Lehmann, A.; et al. Global ecosystem thresholds driven by aridity. Science 2020, 367, 787–790. [Google Scholar] [CrossRef]
- Tipping, E.; Woof, C.; Rigg, E.; Harrison, A.; Ineson, P.; Taylor, K.; Benham, D.; Poskitt, J.; Rowland, A.; Bol, R.; et al. Climatic influences on the leaching of dissolved organic matter from upland UK moorland soils, investigated by a field manipulation experiment. Environ. Int. 1999, 25, 83–95. [Google Scholar] [CrossRef]
- Xu, G.; Kang, X.; Wang, F.; Zhuang, W.; Yan, W.; Zhang, K. Alpine wetlands degradation leads to soil nutrient imbalances that affect plant growth and microbial diversity. Commun. Earth Environ. 2024, 5, 397. [Google Scholar] [CrossRef]
- Wang, Q.; Liu, M.; Wang, M.; Yang, C.; Miao, L. Analysis of Soil Carbon, Nitrogen and Phosphorus Storage and Sequestration Effects in Alpine Grassland with Different Degradation Levels in Maqu County, China. Eurasian Soil Sci. 2024, 57, 794–805. [Google Scholar] [CrossRef]
- Jiang, J.; Wang, Y.-P.; Yu, M.; Cao, N.; Yan, J. Soil organic matter is important for acid buffering and reducing aluminum leaching from acidic forest soils. Chem. Geol. 2018, 501, 86–94. [Google Scholar] [CrossRef]
- Zhu, M.; Kong, F.; Li, Y.; Li, M.; Zhang, J.; Xi, M. Effects of moisture and salinity on soil dissolved organic matter and ecological risk of coastal wetland. Environ. Res. 2020, 187, 109659. [Google Scholar] [CrossRef]
- Pu, Y.; Lang, S.; Wang, A.; Zhang, S.; Li, T.; Qian, H.; Wang, G.; Jia, Y.; Xu, X.; Yuan, D.; et al. Distribution and functional groups of soil aggregate-associated organic carbon along a marsh degradation gradient on the Zoige plateau, China. Catena 2022, 209, 105811. [Google Scholar] [CrossRef]
- Hu, M.; Yao, Z.; Shi, L.; Wu, Q.; Tang, S.; Shao, X. Patchy degradation-induced changes in soil aggregates and organic carbon in an alpine swamp meadow on the Qinghai-Tibetan Plateau. Land Degrad. Dev. 2024, 35, 4713–4725. [Google Scholar] [CrossRef]
- Huang, X.Y.; Chen, K.L.; Wu, C.Y. Diurnal variation and seasonal dynamics of soil respiration in the alpine meadow in the Qinghai Tibet Plateau. Yunnan Geogr. Environ. Res. 2016, 28, 66–71. [Google Scholar]
- Liu, L.; Chen, H.; Liu, X.; Yang, Z.; Zhu, D.; He, Y.; Liu, J. Contemporary, modern and ancient carbon fluxes in the Zoige peatlands on the Qinghai-Tibetan plateau. Geoderma 2019, 352, 138–149. [Google Scholar] [CrossRef]
- Sierra, C.A.; Malghani, S.; Loescher, H.W. Interactions among temperature, moisture, and oxygen concentrations in controlling decomposition rates in a boreal forest soil. Biogeoences 2017, 14, 703–710. [Google Scholar] [CrossRef]
- Yu, H.; Zha, T.; Zhang, X.; Ma, L. Vertical distribution and influencing factors of soc in the Loess Plateau China. Sci. Total Environ. 2019, 693, 133632. [Google Scholar] [CrossRef]
- Chen, Y.; Ma, S.; Jiang, H.; Hu, Y.; Lu, X. Influences of litter diversity and soil moisture on soil microbial communities in decomposing mixed litter of alpine steppe species. Geoderma 2020, 377, 114577. [Google Scholar] [CrossRef]
- Fan, S.; Qin, J.; Sun, H.; Jia, Z.; Chen, Y. Alpine soil microbial community structure and diversity are largely influenced by moisture content in the zoige wetland. Int. J. Environ. Sci. Technol. 2021, 19, 4369–4378. [Google Scholar] [CrossRef]
- McLatchey, G.P.; Reddy, K.R. Regulation of organic matter decomposition and nutrient release in a wetland soil. J. Environ. Qual. 1998, 27, 1268–1274. [Google Scholar] [CrossRef]
- Hu, Y.; Wang, Z.; Wang, Q.; Wang, S.; Zhang, Z.; Zhang, Z.; Zhao, Y. Climate change affects soil labile organic carbon fractions in a tibetan alpine meadow. J. Soils Sediments 2017, 17, 326–339. [Google Scholar] [CrossRef]
- Larionova, A.A.; Maltseva, A.N.; de Gerenyu, V.O.L.; Kvitkina, A.K.; Bykhovets, S.S.; Zolotareva, B.N.; Kudeyarov, V.N. Effect of temperature and moisture on the mineralization and humification of leaf litter in a model incubation experiment. Eurasian Soil Sci. 2017, 50, 422–431. [Google Scholar] [CrossRef]
- Han, Y.; Qu, C.; Hu, X.; Wang, P.; Wan, D.; Cai, P.; Rong, X.; Chen, W.; Huang, Q. Warming and humidification mediated changes of DOM composition in an Alfisol. Sci. Total Environ. 2022, 805, 150198. [Google Scholar] [CrossRef] [PubMed]
- Moche, M.; Gutknecht, J.; Schulz, E.; Langer, U.; Rinklebe, J. Monthly dynamics of microbial community structure and their controlling factors in three floodplain soils. Soil Biol. Biochem. 2015, 90, 169–178. [Google Scholar] [CrossRef]
- Błońska, E.; Lasota, J. Soil organic matter accumulation and carbon fractions along a moisture gradient of forest soils. Forests 2017, 8, 448. [Google Scholar] [CrossRef]
- Li, C.; Gao, S.; Zhang, J.; Zhao, L.; Wang, L. Moisture Effect on Soil Humus Characteristics in a Laboratory Incubation Experiment. Soil Water Res. 2016, 11, 37–43. [Google Scholar] [CrossRef]
Disclaimer/Publisher’s Note: The statements, opinions and data contained in all publications are solely those of the individual author(s) and contributor(s) and not of MDPI and/or the editor(s). MDPI and/or the editor(s) disclaim responsibility for any injury to people or property resulting from any ideas, methods, instructions or products referred to in the content. |
© 2025 by the authors. Licensee MDPI, Basel, Switzerland. This article is an open access article distributed under the terms and conditions of the Creative Commons Attribution (CC BY) license (https://creativecommons.org/licenses/by/4.0/).