The Effect of Soil Heterogeneity on the Content of Macronutrients and Micronutrients in the Chickpea (Cicer arietinum L.)
Abstract
1. Introduction
2. Material and Methods
2.1. Description of the Experimental Location
2.2. Design of the Field Experiment
2.3. Plant and Soil Analyses
2.4. Statistical Analysis
3. Results and Discussion
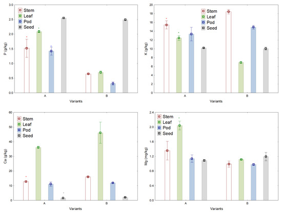
3.1. Contents of Macro- and Micronutrients in the Soil
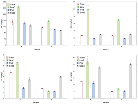
3.2. Contents of Macro- and Micronutrients in Plant Samples

4. Conclusions
Author Contributions
Funding
Institutional Review Board Statement
Informed Consent Statement
Data Availability Statement
Conflicts of Interest
Appendix A

Appendix B
| Variable | Average A | Average B | Value | p | Number of A Values | Number of B Values | ±SD A | ±SD B | F | p | |
|---|---|---|---|---|---|---|---|---|---|---|---|
| P | 113.578 | 95.233 | 3.60617 | 4 | 0.022634 | 3 | 3 | 8.7538 | 1.00167 | 76.37357 | 0.025849 |
| K | 190.333 | 173.000 | 2.87122 | 4 | 0.045413 | 3 | 3 | 6.5064 | 8.18535 | 1.58268 | 0.774390 |
| Mg | 180.333 | 190.333 | −1.12827 | 4 | 0.322297 | 3 | 3 | 13.3167 | 7.63763 | 3.04000 | 0.495050 |
| Ca | 3421.500 | 4537.000 | −7.06657 | 3 | 0.005826 | 2 | 3 | 287.7925 | 58.66004 | 24.06989 | 0.078248 |
| Variable (mg/kg) | Average A | Average B | Value | p | Number of A Values | Number of B Values | ±SD A | ±SD B | F | p | |
|---|---|---|---|---|---|---|---|---|---|---|---|
| Fe | 188.1700 | 190.5440 | −0.21800 | 4 | 0.838095 | 3 | 3 | 18.08849 | 5.344287 | 11.45578 | 0.160568 |
| Mn | 204.7267 | 215.6800 | −3.51752 | 4 | 0.024505 | 3 | 3 | 1.85133 | 5.065807 | 7.48735 | 0.235645 |
| Cu | 5.1200 | 5.0500 | 1.91703 | 4 | 0.127708 | 3 | 3 | 0.01000 | 0.062450 | 39.00000 | 0.050000 |
| Zn | 9.0267 | 6.2700 | 4.27192 | 4 | 0.012930 | 3 | 3 | 0.82470 | 0.754387 | 1.19510 | 0.911119 |
| Variable | Average A | Average B | Value | p | Number of A Values | Number of B Values | ±SD A | ±SD B | F | p | |
|---|---|---|---|---|---|---|---|---|---|---|---|
| Parameter: Fe (mg/kg) | |||||||||||
| Stem | 150.1387 | 116.1050 | 1.869704 | 4 | 0.134877 | 3 | 3 | 31.10846 | 5.12638 | 36.8244 | 0.052876 |
| Leaf | 248.4022 | 156.4934 | 5.662339 | 4 | 0.004796 | 3 | 3 | 11.15334 | 25.80693 | 5.3538 | 0.314772 |
| Pod | 141.0395 | 101.0936 | 7.249932 | 4 | 0.001922 | 3 | 3 | 9.03939 | 3.06005 | 8.7261 | 0.205632 |
| Seed | 127.6415 | 93.4381 | 5.321621 | 4 | 0.005999 | 3 | 3 | 11.11641 | 0.59497 | 349.0868 | 0.005713 |
| Parameter: Mn (mg/kg) | |||||||||||
| Stem | 27.00713 | 26.19582 | 1.960562 | 4 | 0.121476 | 3 | 3 | 0.40521 | 0.591214 | 2.129 | 0.639239 |
| Leaf | 97.68317 | 70.12653 | 2.318110 | 4 | 0.081305 | 3 | 3 | 20.58257 | 0.547139 | 1415.155 | 0.001412 |
| Pod | 19.00216 | 19.18008 | −0.193791 | 4 | 0.855783 | 3 | 3 | 1.21092 | 1.030787 | 1.380 | 0.840323 |
| Seed | 29.04051 | 30.19522 | −0.958327 | 4 | 0.392167 | 3 | 3 | 2.07546 | 0.218916 | 89.882 | 0.022007 |
| Parameter: Cu (mg/kg) | |||||||||||
| Stem | 4.728312 | 1.813914 | 54.20307 | 4 | 0.000001 | 3 | 3 | 0.093062 | 0.003547 | 688.5556 | 0.002900 |
| Leaf | 6.581654 | 1.297449 | 14.22110 | 4 | 0.000142 | 3 | 3 | 0.582956 | 0.272701 | 4.5698 | 0.359080 |
| Pod | 1.891200 | 1.291513 | 3.71838 | 4 | 0.020503 | 3 | 3 | 0.245971 | 0.132395 | 3.4516 | 0.449274 |
| Seed | 3.422010 | 3.957789 | −1.15651 | 4 | 0.311839 | 3 | 3 | 0.742713 | 0.303711 | 5.9803 | 0.286522 |
| Parameter: Zn (mg/kg) | |||||||||||
| Stem | 12.44880 | 5.05823 | 131.9236 | 4 | 0.000000 | 3 | 3 | 0.010227 | 0.096492 | 89.02685 | 0.022216 |
| Leaf | 27.02489 | 6.86004 | 7.3801 | 4 | 0.001797 | 3 | 3 | 4.493783 | 1.484147 | 9.16791 | 0.196697 |
| Pod | 11.16978 | 5.33553 | 93.8513 | 4 | 0.000000 | 3 | 3 | 0.059551 | 0.089706 | 2.26919 | 0.611773 |
| Seed | 22.71773 | 25.11203 | −2.2877 | 4 | 0.084068 | 3 | 3 | 1.412992 | 1.135567 | 1.54830 | 0.784838 |
| Variable | Average A | Average B | Value | p | Number of A Values | Number of B Values | ±SD A | ±SD B | F | p | |
|---|---|---|---|---|---|---|---|---|---|---|---|
| Parameter: N (%) | |||||||||||
| Stem | 1.519458 | 0.645628 | 2.82313 | 4 | 0.047676 | 3 | 3 | 0.535946 | 0.013353 | 1611.008 | 0.001241 |
| Leaf | 2.089035 | 0.698369 | 23.83607 | 4 | 0.000018 | 3 | 3 | 0.062298 | 0.079565 | 1.631 | 0.760119 |
| Pod | 1.423570 | 0.316445 | 7.52089 | 4 | 0.001673 | 3 | 3 | 0.234417 | 0.100289 | 5.463 | 0.309431 |
| Seed | 2.552791 | 2.490321 | 1.60241 | 4 | 0.184325 | 3 | 3 | 0.048473 | 0.047010 | 1.063 | 0.969376 |
| Parameter: P (g/kg) | |||||||||||
| Stem | 1.519458 | 0.645628 | 2.82313 | 4 | 0.047676 | 3 | 3 | 0.535946 | 0.013353 | 1611.008 | 0.001241 |
| Leaf | 2.089035 | 0.698369 | 23.83607 | 4 | 0.000018 | 3 | 3 | 0.062298 | 0.079565 | 1.631 | 0.760119 |
| Pod | 1.423570 | 0.316445 | 7.52089 | 4 | 0.001673 | 3 | 3 | 0.234417 | 0.100289 | 5.463 | 0.309431 |
| Seed | 2.552791 | 2.490321 | 1.60241 | 4 | 0.184325 | 3 | 3 | 0.048473 | 0.047010 | 1.063 | 0.969376 |
| Parameter: K (g/kg) | |||||||||||
| Stem | 15.43472 | 18.43853 | −2.87274 | 4 | 0.045343 | 3 | 3 | 1.598768 | 0.850849 | 3.53074 | 0.441429 |
| Leaf | 12.45889 | 6.90129 | 9.25038 | 4 | 0.000759 | 3 | 3 | 0.977703 | 0.356329 | 7.52856 | 0.234506 |
| Pod | 13.35620 | 14.92493 | −0.97146 | 4 | 0.386330 | 3 | 3 | 2.695461 | 0.746606 | 13.03417 | 0.142509 |
| Seed | 10.19347 | 10.05765 | 0.40544 | 4 | 0.705904 | 3 | 3 | 0.116292 | 0.568471 | 23.89572 | 0.080335 |
| Parameter: Ca (g/kg) | |||||||||||
| Stem | 12.82150 | 16.06492 | −5.17691 | 4 | 0.006620 | 3 | 3 | 1.018377 | 0.37480 | 7.3825 | 0.238591 |
| Leaf | 36.17069 | 46.16988 | −1.36870 | 4 | 0.242925 | 3 | 3 | 1.308391 | 12.58589 | 92.5322 | 0.021383 |
| Pod | 11.08363 | 11.99436 | −0.58697 | 4 | 0.588754 | 3 | 3 | 2.681937 | 0.17110 | 245.7086 | 0.008107 |
| Seed | 1.56556 | 2.01582 | −3.62568 | 4 | 0.022245 | 3 | 3 | 0.042804 | 0.21080 | 24.2534 | 0.079197 |
| Parameter: Mg (g/kg) | |||||||||||
| Stem | 1.357471 | 0.991020 | 1.373126 | 4 | 0.241656 | 3 | 3 | 0.440246 | 0.140879 | 9.7655 | 0.185778 |
| Leaf | 2.042080 | 1.116067 | 7.580073 | 4 | 0.001624 | 3 | 3 | 0.211358 | 0.010004 | 446.3230 | 0.004471 |
| Pod | 1.139188 | 0.980919 | 1.508301 | 4 | 0.205970 | 3 | 3 | 0.176385 | 0.043826 | 16.1981 | 0.116292 |
| Seed | 1.088609 | 1.196372 | −0.919453 | 4 | 0.409888 | 3 | 3 | 0.039462 | 0.199129 | 25.4636 | 0.075575 |
| Parameter: P (mg/kg) | ||||||||
|---|---|---|---|---|---|---|---|---|
| Variants | A—Stem | A—Leaf | A—Pod | A—Seed | B—Leaf | B—Pod | B—Seed | B—Stem |
| A—Stem | 0.073303 | 0.999106 | 0.000592 | 0.004728 | 0.000238 | 0.001018 | 0.002699 | |
| A—Leaf | 0.073303 | 0.026185 | 0.207612 | 0.000181 | 0.000175 | 0.353142 | 0.000178 | |
| A—Pod | 0.999106 | 0.026185 | 0.000321 | 0.013572 | 0.000360 | 0.000463 | 0.007574 | |
| A—Seed | 0.000592 | 0.207612 | 0.000321 | 0.000175 | 0.000175 | 0.999947 | 0.000175 | |
| B—Leaf | 0.004728 | 0.000181 | 0.013572 | 0.000175 | 0.409081 | 0.000175 | 0.999983 | |
| B—Pod | 0.000238 | 0.000175 | 0.000360 | 0.000175 | 0.409081 | 0.000175 | 0.580214 | |
| B—Seed | 0.001018 | 0.353142 | 0.000463 | 0.999947 | 0.000175 | 0.000175 | 0.000175 | |
| B—Stem | 0.002699 | 0.000178 | 0.007574 | 0.000175 | 0.999983 | 0.580214 | 0.000175 | |
| Parameter: K (mg/kg) | ||||||||
| Variants | A—Stem | A—Leaf | A—Pod | A—Seed | B—Leaf | B—Pod | B—Seed | B—Stem |
| A—Stem | 0.134553 | 0.490919 | 0.002107 | 0.000177 | 0.999512 | 0.001652 | 0.128371 | |
| A—Leaf | 0.134553 | 0.984106 | 0.391229 | 0.001219 | 0.298115 | 0.326429 | 0.000638 | |
| A—Pod | 0.490919 | 0.984106 | 0.097769 | 0.000364 | 0.778691 | 0.077000 | 0.002800 | |
| A—Seed | 0.002107 | 0.391229 | 0.097769 | 0.077875 | 0.005323 | 1.000000 | 0.000179 | |
| B—Leaf | 0.000177 | 0.001219 | 0.000364 | 0.077875 | 0.000182 | 0.098860 | 0.000175 | |
| B—Pod | 0.999512 | 0.298115 | 0.778691 | 0.005323 | 0.000182 | 0.004137 | 0.052254 | |
| B—Seed | 0.001652 | 0.326429 | 0.077000 | 1.000000 | 0.098860 | 0.004137 | 0.000178 | |
| B—Stem | 0.128371 | 0.000638 | 0.002800 | 0.000179 | 0.000175 | 0.052254 | 0.000178 | |
| Parameter: Mg (mg/kg) | ||||||||
| Variants | A—Stem | A—Leaf | A—Pod | A—Seed | B—Leaf | B—Pod | B—Seed | B—Stem |
| A—Stem | 0.014492 | 0.881953 | 0.735994 | 0.821678 | 0.369054 | 0.972995 | 0.399907 | |
| A—Leaf | 0.014492 | 0.001256 | 0.000769 | 0.000999 | 0.000345 | 0.002315 | 0.000366 | |
| A—Pod | 0.881953 | 0.001256 | 0.999982 | 1.000000 | 0.975447 | 0.999959 | 0.982905 | |
| A—Seed | 0.735994 | 0.000769 | 0.999982 | 1.000000 | 0.997426 | 0.997415 | 0.998631 | |
| B—Leaf | 0.821678 | 0.000999 | 1.000000 | 1.000000 | 0.989867 | 0.999609 | 0.993576 | |
| B—Pod | 0.369054 | 0.000345 | 0.975447 | 0.997426 | 0.989867 | 0.888437 | 1.000000 | |
| B—Seed | 0.972995 | 0.002315 | 0.999959 | 0.997415 | 0.999609 | 0.888437 | 0.909912 | |
| B—Stem | 0.399907 | 0.000366 | 0.982905 | 0.998631 | 0.993576 | 1.000000 | 0.909912 | |
| Parameter: Ca (mg/kg) | ||||||||
| Variants | A—Stem | A—Leaf | A—Pod | A—Seed | B—Leaf | B—Pod | B—Seed | B—Stem |
| A—Stem | 0.000399 | 0.999698 | 0.115134 | 0.000175 | 0.999998 | 0.141609 | 0.985386 | |
| A—Leaf | 0.000399 | 0.000264 | 0.000175 | 0.202119 | 0.000322 | 0.000175 | 0.001387 | |
| A—Pod | 0.999698 | 0.000264 | 0.247113 | 0.000175 | 0.999996 | 0.295686 | 0.874817 | |
| A—Seed | 0.115134 | 0.000175 | 0.247113 | 0.000175 | 0.167709 | 1.000000 | 0.023143 | |
| B—Leaf | 0.000175 | 0.202119 | 0.000175 | 0.000175 | 0.000175 | 0.000175 | 0.000180 | |
| B—Pod | 0.999998 | 0.000322 | 0.999996 | 0.167709 | 0.000175 | 0.203907 | 0.950893 | |
| B—Seed | 0.141609 | 0.000175 | 0.295686 | 1.000000 | 0.000175 | 0.203907 | 0.029132 | |
| B—Stem | 0.985386 | 0.001387 | 0.874817 | 0.023143 | 0.000180 | 0.950893 | 0.029132 | |
References
- Hirsch, P.R.; Mauchline, T.H. The Importance of the microbial N cycle in soil for crop plant nutrition. Adv. Appl. Microbiol. 2015, 93, 45–71. [Google Scholar] [CrossRef] [PubMed]
- Mabrouk, Y.; Belhadj, O. Enhancing the biological nitrogen fixation of leguminous crops grown under stressed environments. Afr. J. Biotechnol. 2012, 11, 10809–10815. [Google Scholar] [CrossRef]
- Adams, M.A.; Buchmann, N.; Sprent, J.; Buckley, T.N.; Turnbull, T.L. Crops, Nitrogen, Water: Are Legumes Friend, Foe, or Misunderstood Ally? Trends Plant Sci. 2018, 23, 539–550. [Google Scholar] [CrossRef] [PubMed]
- Fustec, J.; Lesuffleur, F.; Mahieu, S.; Cliquet, J.-B. Nitrogen rhizodeposition of legumes. A review. Agron. Sustain. Dev. 2010, 30, 57–66. [Google Scholar] [CrossRef]
- Jiao, X.; Lyu, Y.; Wu, X.; Li, H.; Cheng, L.; Zhang, C.; Yuan, L.; Jiang, R.; Jiang, B.; Rengel, Z.; et al. Grain production versus resource and environmental costs: Towards increasing sustainability of nutrient use in China. J. Exp. Bot. 2016, 67, 4935–4949. [Google Scholar] [CrossRef] [PubMed]
- Luce, M.C.; Grant, C.A.; Zebarth, B.J.; Ziadi, N.; O’Donovan, J.T.; Blackshaw, R.E.; Harker, K.N.; Johnson, E.N.; Gan, Y.; Lafond; et al. Legumes can reduce economic optimum nitrogen rates and increase yields in a wheat–canola cropping sequence in western Canada. Field Crop. Res. 2015, 179, 12–25. [Google Scholar] [CrossRef]
- Anglade, J.; Billen, G.; Garnier, J. Relationships for estimating N2 fixation in legumes: Incidence for N balance of legume-based cropping systems in Europe. Ecosphere 2015, 6, 37. [Google Scholar] [CrossRef]
- Gan, Y.T.; Warkentin, T.D.; McDonald, C.L.; Zentner, R.P.; Vandenberg, A. Seed Yield and Yield Stability of Chickpea in Response to Cropping Systems and Soil Fertility in Northern Latitudes. Agron. J. 2009, 101, 1113–1122. [Google Scholar] [CrossRef]
- Flowers, T.J.; Gaur, P.M.; Gowda, C.L.L.; Krishnamurthy, L.; Samineni, S.; Siddique, K.H.M.; Turner, N.C.; Vadez, V.; Varshney, R.K.; Colmer, T.D. Salt sensitivity in chickpea. Plant Cell Environ. 2010, 33, 490–509. [Google Scholar] [CrossRef]
- Korbu, L.; Tafes, B.; Kassa, G.; Mola, T.; Fikre, A. Unlocking the genetic potential of chickpea through improved crop management practices in Ethiopia. A Review. Agron. Sustain. Dev. 2020, 40, 13. [Google Scholar] [CrossRef]
- Carlsson, G.; Huss-Danell, K. Nitrogen fixation in perennial forage legumes in the field. Plant Soil 2003, 253, 353–372. [Google Scholar] [CrossRef]
- Ullah, A.; Farooq, M.; Rehman, A.; Hussain, M.; Siddique, K.H.M. Zinc nutrition in chickpea (Cicer arietinum): A review. Crop Pasture Sci. 2020, 71, 199. [Google Scholar] [CrossRef]
- Grewal, S.K.; Sharma, K.P.; Bharadwaj, R.D.; Hegde, V.; Tripathi, S.; Singh, S.; Kumar Jain, P.; Kumar Agrawal, P.; Mondal, B. Understanding genotypic variation and identification of promising genotypes for iron and zinc content in chickpea (Cicer arietinum L.). J. Food Compos. Anal. 2020, 88, 1034548. [Google Scholar] [CrossRef]
- Singh, M.; Bhardwaj, C.; Singh, S.; Panatu, S.; Chaturvedi, S.K.; Rana, J.C.; Rizvi, A.H.; Kumar, N.; Sarker, A. Chickpea genetic resources and its utilization in India: Current status and future prospects. Indian J. Genet. Plant Breed. 2016, 76, 515–529. [Google Scholar] [CrossRef]
- Maphosa, L.; Richards, M.F.; Norton, S.L.; Nguyen, G.N. Breeding for Abiotic Stress Adaptation in Chickpea (Cicer arietinum L.): A Comprehensive Review. Crop Breed. Genet. Genom. 2020, 2, e200015. [Google Scholar] [CrossRef]
- Galili, S.; Ran, H.; Dor, E.; Hershenhorn, J.; Harel, A.; Amir-Segev, O.; Bellalou, A.; Badani, H.; Smirnov, E.; Achdari, G. The history of chickpea cultivation and breeding in Israel. Isr. J. Plant Sci. 2018, 65, 186–194. [Google Scholar] [CrossRef]
- Devasirvatham, V.; Tan, D.K.Y.; Gaur, P.M.; Raju, T.N.; Trethowan, R.M. High temperature tolerance in chickpea and its implications for plant improvement. Crop Pasture Sci. 2012, 63, 419–428. [Google Scholar] [CrossRef]
- Pande, S.; Siddique, K.H.M.; Kishore, G.K.; Bayaa, B.; Gaur, P.M.; Gowda, C.L.L.; Bretag, T.W.; Crouch, J.H. Ascochyta blight of chickpea (Cicer arietinum L.): A review of biology, pathogenicity, and disease management. Aust. J. Agric. Res. 2005, 56, 317–332. [Google Scholar] [CrossRef]
- Esfahani, M.N.; Sulieman, S.; Schulze, J.; Yamaguchi-Shinozaki, K.; Shinozaki, K.; Tran, L.-S.P. Mechanisms of physiological adjustment of N2 fixation in Cicer arietinum L. (chickpea) during early stages of water deficit: Single or multi-factor controls. Plant J. 2014, 79, 964–980. [Google Scholar] [CrossRef]
- Kumar, M.; Yusuf, M.A.; Nigam, M.; Kumar, M. An Update on Genetic Modification of Chickpea for Increased Yield and Stress Tolerance. Mol. Biotechnol. 2018, 60, 651–663. [Google Scholar] [CrossRef]
- Rachwa-Rosiak, D.; Nebesny, E.; Budryn, G. Chickpeas—Composition, Nutritional Value, Health Benefits, Application to Bread and Snacks: A Review. Crit. Rev. Food Sci. Nutr. 2015, 55, 1137–1145. [Google Scholar] [CrossRef] [PubMed]
- Kren, J.; Klem, K.; Svobodova, I.; Misa, P.; Lukas, V. Influence of Sowing, Nitrogen Nutrition and Weather Conditions on Stand Structure and Yield of Spring Barley. Cereal Res. Commun. 2015, 43, 326–335. [Google Scholar] [CrossRef]
- Rodriguez-Moreno, F.; Lukas, V.; Neudert, L.; Dryšlová, T. Spatial interpretation of plant parameters in winter wheat. Precis. Agric. 2014, 15, 447–465. [Google Scholar] [CrossRef]
- Mezera, J.; Lukas, V.; Horniaček, I.; Smutný, V.; Elbl, J. Comparison of Proximal and Remote Sensing for the Diagnosis of Crop Status in Site-Specific Crop Management. Sensors 2022, 22, 19. [Google Scholar] [CrossRef]
- Xue, W.; Bezemer, T.M.; Berendse, F. Soil heterogeneity and plant species diversity in experimental grassland communities: Contrasting effects of soil nutrients and pH at different spatial scales. Plant Soil 2019, 442, 497–509. [Google Scholar] [CrossRef]
- Tittonell, P.; Vanlauwe, B.; Corbeels, M.; Giller, K.E. Yield gaps, nutrient use efficiencies and response to fertilisers by maize across heterogeneous smallholder farms of western Kenya. Plant Soil 2008, 313, 19–37. [Google Scholar] [CrossRef]
- Habib-ur-Rahman, M.; Raza, A.; Ahrends, H.E.; Hüging, H.; Gaiser, T. Impact of in-field soil heterogeneity on biomass and yield of winter triticale in an intensively cropped hummocky landscape under temperate climate conditions. Precis. Agric. 2021, 23, 912–938. [Google Scholar] [CrossRef]
- Adomako, M.O.; Roiloa, S.; Yu, F.-H. Potential roles of soil microorganisms in regulating the effect of soil nutrient heterogeneity on plant performance. Microorganisms 2022, 10, 2399. [Google Scholar] [CrossRef]
- Jakobsen, S.T. Interaction between phosphate and calcium in nutrient uptake by plant roots. Commun. Soil Sci. Plant Anal. 2008, 10, 141–152. [Google Scholar] [CrossRef]
- Lukas, V.; Neudert, L.; Duffková, R.; Mezera, J.; Horniaček, I.; Širůček, P.; Krček, V. Mapa Relativního Výnosového Potenciálu pro Pozemky AGRA Řisuty; Mendelova Univerzita: Brno, Czech Republic, 2020; ISBN 978-80-7509-746-0. [Google Scholar]
- ISO 10381-6; Soil Quality—Selection and Application of Sampling Techniques. International Organization for Standardization (ISO): Geneva, Switzerland, 2017.
- Jones, J.B. Laboratory Guide for Conducting Soil Tests and Plant Analysis; CRC Press: Boca Raton, FL, USA, 2001; 384p, ISBN 9780429132117. [Google Scholar]
- Olsen, S.R.; Sommers, L.E. Phosphorus. In Methods of Soil Analysis; Agronomy Monographs; American Society of Agronomy, Soil Science Society of America: Madison, WI, USA, 1983; pp. 403–430. [Google Scholar] [CrossRef]
- Mehlich, A. Mehlich 3 soil test extractant: A modification of Mehlich 2 extractant. Commun. Soil Sci. Plant Anal. 1984, 15, 1409–1416. [Google Scholar] [CrossRef]
- Sarojam, P. Analysis of Micronutrients in Soil by Using AA 800 Atomic Absorption Spectrophotometer—Application Note; PerkinElmer, Inc.: Waltham, MA, USA, 2009; 5p, Available online: https://resources.perkinelmer.com/labsolutions/resources/docs/app_micronutrientsinsoilbyaa.pdf (accessed on 28 October 2023).
- Berhe, A.A. Drivers of soil change. In Developments in Soil Science; Busse, M., Giardina, P.C., Morris, D.M., Page-Dumroese, D.S., Eds.; Elsevier: Amsterdam, The Netherlands, 2019; Chapter 3; Volume 36, pp. 27–42. ISBN 9780444639981. [Google Scholar] [CrossRef]
- Liu, Y.; Li, G.; Wang, M.; Yan, W.; Hou, F. Effects of three-dimensional soil heterogeneity and species composition on plant biomass and biomass allocation of grass-mixtures. AoB Plants 2021, 13, plab033. [Google Scholar] [CrossRef]
- Elbl, J.; Kintl, A.; Brtnický, M.; Širůček, P.; Mezera, J.; Smutný, V.; Vopravil, J.; Holátko, J.; Huňady, I.; Lukas, V. Assessment of the effect of optimised field plot size on the crop yield. Plant Soil Environ. 2023, 69, 447–462. [Google Scholar] [CrossRef]
- Tekin, A.; Gunal, H.; Sindir, K.; Balcı, Y. Spatial structure of available micronutrient contents and their relationships with other soil characteristics and corn yield. Fresenius Environmental Bulletin. Fresenius Environ. Bull. 2011, 20, 783–792. [Google Scholar]
- García-Palacios, P.; Maestre, F.T.; Gallardo, A. Soil nutrient heterogeneity modulates ecosystem responses to changes in the identity and richness of plant functional groups. J. Ecol. 2011, 99, 551–562. [Google Scholar] [CrossRef]
- Lukas, V.; Hunady, I.; Kintl, A.; Mezera, J.; Hammerschmiedt, T.; Sobotková, J.; Brtnický, M.; Elbl, J. Using UAV to Identify the Optimal Vegetation Index for Yield Prediction of Oil Seed Rape (Brassica napus L.) at the Flowering Stage. Remote Sens. 2022, 4, 4953. [Google Scholar] [CrossRef]
- Shukla, A.K.; Behera, S.K.; Lenka, N.K.; Tiwari, P.K.; Prakash, C.; Malik, R.S.; Sinha, N.K.; Singh, V.K.; Patra, A.K.; Chaudhary, S.K. Spatial variability of soil micronutrients in the intensively cultivated Trans-Gangetic Plains of India. Soil Tillage Res. 2016, 163, 282–289. [Google Scholar] [CrossRef]
- Khaitov, B.; Kurbonov, A.; Abdiev, A.; Adilov, M. Effect of chickpea in association with Rhizobium to crop productivity and soil fertility. Eurasian J. Soil Sci. 2016, 5, 105–112. [Google Scholar] [CrossRef]
- Pal, V.; Singh, G.; Dhaliwal, S.S. Symbiotic Parameters, Growth, Productivity and Profitability of Chickpea as Influenced by Zinc Sulphate and Urea Application. J. Soil Sci. Plant Nutr. 2020, 20, 738–750. [Google Scholar] [CrossRef]
- Joines, D.K.; Hardy, D.H. Acetate and Mehlich-3 Extractable Sulfate-Sulfur. In Soil Test Methods from the Southeastern United States; Sikora, F.J., Moore, K.P., Eds.; Southern Cooperative Series Bulletin No. 419; Southern Cooperative: Clemson, SC, USA, 2014; pp. 124–130. ISBN 1-58161-419-5. [Google Scholar]
- Li, G.; Wang, M.; Ma, C.; Tao, R.; Hou, F.; Liu, Y. Effects of Soil Heterogeneity and Species on Plant Interactions. Front. Ecol. Evol. 2021, 25, 756344. [Google Scholar] [CrossRef]
- Pushnik, J.C.; Miller, G.W.; Manwaring, J.H. The role of iron in higher plant chlorophyll biosynthesis, maintenance and chloroplast biogenesis. J. Plant Nutr. 2008, 7, 733–758. [Google Scholar] [CrossRef]
- Vigani, G.; Murgia, I. Iron-Requiring Enzymes in the Spotlight of Oxygen. Trends Plant Sci. 2018, 23, 874–882. [Google Scholar] [CrossRef] [PubMed]
- Higuchi, K.; Saito, A. Elucidation of efficient photosynthesis in plants with limited iron. Soil Sci. Plant Nutr. 2022, 68, 505–513. [Google Scholar] [CrossRef]
- Mahmoudi, H.; Ksouri, R.; Gharsalli, M.; Lachaâl, M. Differences in responses to iron deficiency between two legumes: Lentil (Lens culinaris) and chickpea (Cicer arietinum). J. Plant Physiol. 2005, 162, 1237–1245. [Google Scholar] [CrossRef] [PubMed]
- Mahmoudi, H.; Labidi, N.; Ksouri, R.; Gharsalli, M.; Abdelly, C. Differential tolerance to iron deficiency of chickpea varieties and Fe resupply effects. C. R. Biol. 2007, 330, 237–246. [Google Scholar] [CrossRef] [PubMed]
- Ullah, A.; Farooq, M.; Qadeer, A.; Sanaullah, M. Impact of zinc and plant growth-promoting bacteria on soil health as well as aboveground biomass of desi and kabuli chickpea under arid conditions. J. Sci. Food Agric. 2022, 102, 2262–2269. [Google Scholar] [CrossRef]
- Hidoto, L.; Worku, W.; Mohammed, H.; Bunyamin, T. Effects of zinc application strategy on zinc content and productivity of chickpea grown under zinc deficient soils. J. Soil Sci. Plant Nutr. 2017, 17, 112–126. [Google Scholar] [CrossRef][Green Version]
- Luo, J.; Qi, S.; Peng, L.; Xie, X. Enhanced phytoremediation capacity of a mixed-species plantation of Eucalyptus globulus and Chickpeas. J. Geochem. Explor. 2017, 182, 201–205. [Google Scholar] [CrossRef]
- Kambhampati, M.S.; Vu, V.T. EDTA Enhanced Phytoremediation of Copper Contaminated Soils Using Chickpea (Cicer aeritinum L.). Bull. Environ. Contam. Toxicol. 2013, 91, 310–313. [Google Scholar] [CrossRef] [PubMed]
- Bhakuni, G.; Dube, B.K.; Sinha, P.; Chatterjee, C. Copper Stress Affects Metabolism and Reproductive Yield of Chickpea. J. Plant Nutr. 2009, 32, 703–711. [Google Scholar] [CrossRef]
- Beale, S.I. Enzymes of chlorophyll biosynthesis. Photosynth. Res. 1999, 60, 43–73. [Google Scholar] [CrossRef]
- Yalçın Gülüt, K.; Özdemir, O. Phosphorus tolerance levels of different chickpea genotypes. Saudi J. Biol. Sci. 2021, 28, 5386–5390. [Google Scholar] [CrossRef] [PubMed]
- Yahiya, M.; Samiullah; Fatma, A. Influence of phosphorus on nitrogen fixation in chickpea cultivars. J. Plant Nutr. 1995, 18, 719–727. [Google Scholar] [CrossRef]
- Imen, H.; Neila, A.; Adnane, B.; Manel, B.; Mabrouk, Y.; Saidi, M.; Bouaziz, S. Inoculation with Phosphate Solubilizing Mesorhizobium Strains Improves the Performance of Chickpea (Cicer aritenium L.) Under Phosphorus Deficiency. J. Plant Nutr. 2015, 38, 1656–1671. [Google Scholar] [CrossRef]
- Dokwal, D.; Romshdal, T.B.; Kunz, A.D.; Alonso, A.P.; Dickstein, R. Phosphorus deprivation affects composition and spatial distribution of membrane lipids in legume nodules. Plant Physiol. 2021, 185, 1847–1859. [Google Scholar] [CrossRef]
- Gul, J.; Ullah, M. Biochemical, physiological, and growth evaluation of different chickpea genotypes under varying salinity regimes. Braz. J. Biol. 2022, 82, e268350. [Google Scholar] [CrossRef]
- Saxena, A.K.; Rewari, R.B. Influence of phosphate and zinc on growth, nodulation and mineral composition of chickpea (Cicer arietinum L.) under salt stress. World J. Microbiol. Biotechnol. 1991, 7, 202–205. [Google Scholar] [CrossRef]
- Khan, H.A.; Siddique, K.H.M.; Colmer, T.D. Salt sensitivity in chickpea is determined by sodium toxicity. Planta 2016, 244, 623–637. [Google Scholar] [CrossRef] [PubMed]
- Turner, N.C.; Colmer, T.D.; Quealy, J.; Pushpavalli, R.; Krishnamurthy, L.; Kaur, J.; Singh, G.; Siddique, K.H.M.; Vadez, V. Salinity tolerance and ion accumulation in chickpea (Cicer arietinum L.) subjected to salt stress. Plant Soil 2013, 365, 347–361. [Google Scholar] [CrossRef]
- Kotula, L.; Clode, P.L.; Jimenez, J.D.L.C.; Colmer, T.D. Salinity tolerance in chickpea is associated with the ability to ‘exclude’ Na from leaf mesophyll cells. J. Exp. Bot. 2019, 70, 4991–5002. [Google Scholar] [CrossRef]
- Sperotto, R.A.; Ricachenevsky, F.K.; Williams, L.E.; Vasconcelos, M.W.; Menguer, P.K. From soil to seed: Micronutrient movement into and within the plant. Front. Plant Sci. 2014, 5, 468. [Google Scholar] [CrossRef]
- Li, L.; Tang, C.; Rengel, Z.; Zhang, F.S. Calcium, magnesium and microelement uptake as affected by phosphorus sources and interspecific root interactions between wheat and chickpea. Plant Soil 2004, 261, 29–37. [Google Scholar] [CrossRef]
- Farzaneh, M.; Vierheilig, H.; Lössl, A.; Kaul, H.P. Arbuscular mycorrhiza enhances nutrient uptake in chickpea. Plant Soil Environ. 2011, 57, 465–470. [Google Scholar] [CrossRef]
- Marschner, P.; Rengel, Z. Nutrient availability in soils. In Marschner’s Mineral Nutrition of Plants; Academic Press: Cambridge, MA, USA, 2023; pp. 499–522. [Google Scholar] [CrossRef]




| Year | Mean Annual Temperature (°C) | Mean Annual Precipitation (mm) |
|---|---|---|
| 2021 | 10.1 | 559 |
| Long-term standard (1991–2020) | 7.8 | 708 |
| pH KCl | P ± SD | K ± SD | Ca ± SD | Mg ± SD |
|---|---|---|---|---|
| mg/kg | mg/kg | mg/kg | mg/kg | |
| 6.85 | 46 ± 6.44 | 283 ± 10.75 | 3958 ± 384.47 | 220 ± 13.46 |
| Variants | Fe | Mn | Cu | Zn | ||||
|---|---|---|---|---|---|---|---|---|
| mg/kg | ±SD | mg/kg | ±SD | mg/kg | ±SD | mg/kg | ±SD | |
| Zone A | 189 ± 10.44 A | 205 ± 1.07 B | 5.1 ± 0.006 A | 9.01 ± 0.48 A | ||||
| Classification | Medium | High | High | High | ||||
| Zone B | 190 ± 3.09 A | 216 ± 2.92 A | 5.2 ± 0.04 A | 6.27 ± 0.44 B | ||||
| Classification | Medium | High | High | High | ||||
| Variants | CaCO3 | P | K (mg/kg) | Ca (mg/kg) | Mg (mg/kg) | |||||
|---|---|---|---|---|---|---|---|---|---|---|
| % | ±SD | mg/kg | ±SD | mg/kg | ±SD | mg/kg | ±SD | mg/kg | ±SD | |
| Zone A | 0.59 | – | 111 ± 8.06 A | 190 ± 6.51 A | 3 421 ± 203.05 A | 180 ± 13.01 A | ||||
| Classification | Medium | Good | Good | High | Good | |||||
| Zone B | 0.78 | – | 95 ± 0.57 B | 173 ± 4.72 B | 4 537 ± 33.86 B | 190 ± 4.08 A | ||||
| Classification | Medium | Good | Sufficient | High | Good | |||||
| Differences in Contents of Plant-Available Nutrients | P (mg/kg) | K (mg/kg) | Ca (mg/kg) | Mg (mg/kg) |
|---|---|---|---|---|
| Zone A | 65 * | −93 * | −537 | −40 |
| Zone B | 49 * | −110 * | 579 | −30 |
| Organ | Element | Regression Coefficient | p Value | SE of Estimation | F |
|---|---|---|---|---|---|
| Stem | Ca | 0.9872 | 0.0002 * | 0.3397 | 153.1783 |
| P | 0.3729 | 0.4666 | 0.6085 | 0.6461 | |
| Cu | 0.8896 | 0.0176 | 0.8156 | 15.1795 | |
| Fe | 0.7721 | 0.0720 | 19.3931 | 5.9057 | |
| K | 0.8356 | 0.0383 | 1.2312 | 9.2553 | |
| Zn | 0.8973 | 0.0153 | 1.9978 | 16.5316 | |
| Mn | 0.3623 | 0.4804 | 0.6615 | 0.6043 | |
| Mg | 0.9771 | 0.0008 * | 0.0844 | 84.3579 | |
| Leaf | Ca | 0.5832 | 0.2243 | 8.8070 | 2.0622 |
| P | 0.8054 | 0.0531 | 0.5065 | 7.3876 | |
| Cu | 0.9116 | 0.0114 | 1.3431 | 19.6772 | |
| Fe | 0.2896 | 0.5778 | 57.1325 | 0.3662 | |
| K | 0.9616 | 0.0022 * | 0.9558 | 49.0872 | |
| Zn | 0.9732 | 0.0011 * | 2.9401 | 71.7409 | |
| Mn | 0.7297 | 0.0997 | 15.2389 | 4.5561 | |
| Mg | 0.5980 | 0.2099 | 0.4700 | 2.2271 | |
| Pod | Ca | 0.4926 | 0.3208 | 1.7234 | 1.2818 |
| P | 0.6901 | 0.1292 | 0.5077 | 3.6377 | |
| Cu | 0.9025 | 0.0138 | 0.1796 | 17.5632 | |
| Fe | 0.3396 | 0.5101 | 23.8670 | 0.5216 | |
| K | 0.6277 | 0.1821 | 1.7115 | 2.6011 | |
| Zn | 0.8998 | 0.0146 | 1.5591 | 0.7518 | |
| Mn | 0.3106 | 0.5491 | 1.0739 | 0.4270 | |
| Mg | 0.9645 | 0.0019 * | 0.0425 | 53.3639 | |
| Seed | Ca | 0.8664 | 0.0256 | 0.1572 | 12.0407 |
| P | 0.1919 | 0.7158 | 0.06 | 0.1529 | |
| Cu | 0.2580 | 0.6216 | 0.6332 | 0.2852 | |
| Fe | 0.4121 | 0.4169 | 20.3876 | 0.8181 | |
| K | 0.5086 | 0.3029 | 0.3605 | 1.3957 | |
| Zn | 0.3977 | 0.4348 | 1.7868 | 0.7518 | |
| Mn | 0.3194 | 0.5372 | 1.5507 | 0.4544 | |
| Mg | 0.0446 | 0.9331 | 0.1578 | 0.0080 |
Disclaimer/Publisher’s Note: The statements, opinions and data contained in all publications are solely those of the individual author(s) and contributor(s) and not of MDPI and/or the editor(s). MDPI and/or the editor(s) disclaim responsibility for any injury to people or property resulting from any ideas, methods, instructions or products referred to in the content. |
© 2024 by the authors. Licensee MDPI, Basel, Switzerland. This article is an open access article distributed under the terms and conditions of the Creative Commons Attribution (CC BY) license (https://creativecommons.org/licenses/by/4.0/).
Share and Cite
Kintl, A.; Šmeringai, J.; Lošák, T.; Huňady, I.; Sobotková, J.; Hrušovský, T.; Varga, L.; Vejražka, K.; Elbl, J. The Effect of Soil Heterogeneity on the Content of Macronutrients and Micronutrients in the Chickpea (Cicer arietinum L.). Soil Syst. 2024, 8, 75. https://doi.org/10.3390/soilsystems8030075
Kintl A, Šmeringai J, Lošák T, Huňady I, Sobotková J, Hrušovský T, Varga L, Vejražka K, Elbl J. The Effect of Soil Heterogeneity on the Content of Macronutrients and Micronutrients in the Chickpea (Cicer arietinum L.). Soil Systems. 2024; 8(3):75. https://doi.org/10.3390/soilsystems8030075
Chicago/Turabian StyleKintl, Antonín, Ján Šmeringai, Tomáš Lošák, Igor Huňady, Julie Sobotková, Tadeáš Hrušovský, Ladislav Varga, Karel Vejražka, and Jakub Elbl. 2024. "The Effect of Soil Heterogeneity on the Content of Macronutrients and Micronutrients in the Chickpea (Cicer arietinum L.)" Soil Systems 8, no. 3: 75. https://doi.org/10.3390/soilsystems8030075
APA StyleKintl, A., Šmeringai, J., Lošák, T., Huňady, I., Sobotková, J., Hrušovský, T., Varga, L., Vejražka, K., & Elbl, J. (2024). The Effect of Soil Heterogeneity on the Content of Macronutrients and Micronutrients in the Chickpea (Cicer arietinum L.). Soil Systems, 8(3), 75. https://doi.org/10.3390/soilsystems8030075

