Abstract
This review summarizes recent experimental progress in the structure and correlations of light neutron-rich nuclei. We first highlight achievements based on quasi-free scattering reactions in inverse kinematics at the Radioactive Isotope Beam Factory (RIBF), including investigations of the single-particle composition of halo systems—for example, revealing the minimal s-wave component in the “weak-halo” nucleus 17B—and the mapping of universal, surface-localized dineutron correlations in Borromean nuclei such as 11Li, 14Be and 17B. We then discuss recent advances in the study of multineutron correlations and cluster states, addressing both experimental challenges and major breakthroughs. These include the observation of a candidate resonance, the absence of a resonant state in the system, the characterization of direct two-neutron decay in 16Be, and evidence for a condensate-like cluster structure in the state. Finally, we discuss prospects for extending such investigations to heavier halo candidates and more complex multineutron systems, and outline the development of next-generation neutron detector arrays that will drive future progress in this field.
1. Introduction
The exploration of nuclear structure at the limits of stability has been one of the central frontiers in nuclear physics over the past few decades. As experimental capabilities have extended toward the neutron drip line, the traditional liquid-drop picture of the nucleus—characterized by a constant saturation density and a well-defined surface—has been fundamentally challenged by the emergence of exotic structural phenomena. Among these, the development of a neutron skin and the more exotic “neutron halo” stand as the most striking manifestations of weakly bound, neutron-rich systems.
The discovery of the neutron halo marked a paradigm shift in our understanding of nuclear matter, first identified through seminal interaction cross-section measurements performed by Tanihata et al. in the mid-1980s [1,2]. By measuring the interaction () cross-sections of light isotopes using high-energy radioactive beams, they observed anomalously large matter radii for several neutron-rich nuclei, most notably 11Li. While stable nuclei typically follow the standard liquid-drop scaling law (), halo nuclei exhibit a sudden and significant deviation from this trend. This anomalous size serves as the primary signature of a halo, physically interpreted as a diffuse cloud of valence neutrons extending far beyond the compact nuclear core due to quantum tunneling into the classically forbidden region. Since this initial discovery, several light nuclei have been established, including the one-neutron halo 11Be [3,4] and two-neutron halo systems such as 6He [5,6,7,8,9,10,11,12], 11Li [13,14,15,16,17,18,19,20,21], and 14Be [19,22,23,24,25,26]. These two-neutron systems, often referred to as Borromean nuclei, are characterized by the remarkable property that the three-body system (core + n + n) is bound while any two-body subsystem is unbound. Their stability thus represents a clear manifestation of three-body correlations that cannot be described within the mean-field or conventional shell-model approaches. Theoretical studies further reveal that the neutron–neutron correlation in such systems is spatially localized, forming the so-called dineutron configuration [27,28,29,30].
The formation of the halo structure requires specific structural conditions governed by the interplay between binding energy and the angular momentum of the valence orbitals [31]. Two primary criteria are empirically and theoretically established: first, the valence nucleon(s) must be loosely bound (typically or MeV), which allows the wave function to decay slowly and create a long spatial tail; second, the valence nucleon(s) should occupy orbitals with low angular momentum [32,33,34], specifically s-waves () or p-waves (), as higher angular momenta introduce a centrifugal barrier that suppresses halo formation. Consequently, the halo phenomenon is intimately linked to the shell evolution near the drip line, where the lowering of s and p orbitals facilitates the development of these extended density distributions.
Beyond the static property of large radii, the halo nature manifests through unique kinematic and dynamical signatures that arise directly from these structural conditions. A prominent kinematic signature is the narrow momentum distribution of core fragments in nuclear breakup reactions [31], which is a direct consequence of the Heisenberg uncertainty principle (). The spatial delocalization of the halo neutrons (large ) necessitates a corresponding localization in momentum space (small ), resulting in distributions with widths often less than 50 MeV/c [3,13,22,35,36,37,38,39,40,41,42,43,44], in sharp contrast to the ∼100–200 MeV/c widths [37] observed for tightly bound nucleons. Furthermore, dynamically, these systems exhibit a “soft dipole mode,” characterized by a strong concentration of electric dipole () strength at very low excitation energies [17,45,46,47]. This phenomenon, accessible through Coulomb dissociation reactions, represents the oscillation of the diffuse neutron halo against the compact core, distinct from the conventional Giant Dipole Resonance (GDR), which occurs at energies of about 10–20 MeV in stable nuclei and corresponds to the collective oscillation of protons against neutrons [48].
The region along the neutron drip line has revealed itself as a “wonderland” of exotic phenomena. However, extracting precise structural information from these fragile systems remains a significant challenge [31]. A central theme of modern research is therefore the integration of structure, reaction, and detection, requiring that observables from radioactive beam experiments be interpreted jointly with advanced reaction theories (such as Distorted-Wave Impulse Approximation [49,50] or the Eikonal model [51,52]) to reliably extract structure information.
Beyond halo structures, neutron-rich systems near the drip line also provide a unique environment for exploring few-body correlations and the possible formation of pure neutron systems. In particular, the existence of multineutron clusters such as the trineutron () and tetraneutron () has long been a fundamental question in nuclear physics. While conventional nuclear forces do not predict bound multineutron systems, several experiments have reported indications of correlated multineutron states near threshold [53,54,55]. These systems provide stringent tests of nuclear interactions, especially the poorly constrained isospin component of three-nucleon forces.
Within this context, the scope of this review focuses on recent advances in understanding the structure and correlations of light drip-line nuclei. We place particular emphasis on quasi-free scattering reactions as a powerful spectroscopic tool to probe light neutron-rich nuclei; neutron correlations and clustering; and the search for and implications of the tetraneutron (), which tests our understanding of pure neutron interactions. By synthesizing these experimental and theoretical developments, we aim to provide a comprehensive overview of the current state of knowledge regarding the exotic structures at the edge of nuclear stability.
2. Probing Light Neutron-Rich Nuclei via Reactions: Methodology and Experimental Insights
The experimental methodology relies on the quasi-free knockout reaction in inverse kinematics, which serves as a powerful spectroscopic tool for probing the structure of light neutron-rich nuclei, particularly those exhibiting Borromean structures or halo features. The reaction is conceptualized as a single-step quasi-free scattering (QFS) process where a probe proton knocks out a valence neutron from the energetic projectile [50,56]. At intermediate beam energies (typically 200–400 MeV/nucleon), the reaction time scale is short enough that the scattering can be treated within the impulse approximation, assuming the interaction occurs primarily between the incident proton and a single neutron, leaving the spectator core momentarily undisturbed. Following the sudden removal of a neutron from a Borromean nucleus like 11Li, the unbound residual nucleus decays into a charged fragment and neutrons. By employing a large-acceptance spectrometer setup (e.g., SAMURAI at RIBF), a kinematically complete measurement is achieved. This allows for the event-by-event reconstruction of the invariant mass of the residual system. The missing momentum () is determined from the momenta of the recoil proton and neutron using the missing-mass method, which directly reflects the momentum distribution of the struck neutron in the ground state.
Compared to other established methods such as Coulomb breakup [5,10,16,17,23,47,57,58,59,60,61,62,63,64,65] or nuclear-target removal reactions (e.g., using C or Be targets) [66,67], the reaction with a proton target (typically liquid hydrogen) offers several distinct advantages for studying nuclear structure and neutron correlations. A critical advantage is the suppression of complex final state interactions (FSIs) [68,69]. Unlike Coulomb breakup, where the breakup process involves long-range interactions that can distort the momentum correlations among the constituents, the reaction clearly separates the knockout process from the subsequent decay. The knocked-out neutron is removed cleanly, ensuring that the decay of the residue reflects the intrinsic properties of the unbound subsystem (e.g., core–n), largely preserving the initial-state correlations necessary for extracting structure information. Additionally, the reaction acts as a “transparent” probe capable of investigating the interior of the nucleus, in contrast to nuclear-target removal reactions, which are surface-dominated due to strong absorption of the target. This allows the reaction to access deeply bound nucleons and inner orbital components, providing a more complete picture of the wave function, including the inner parts of the halo or skin structures. Furthermore, this reaction can be well described by reaction theories such as Distorted-Wave Impulse Approximation (DWIA) [49], and by comparing the experimental exclusive cross-sections with theoretical predictions based on the DWIA, one can quantitatively extract the occupancy of specific orbitals (e.g., s-wave vs. d-wave components), which is essential for investigating shell evolution and halo formation mechanisms.
Based on this methodology, a series of experiments were performed at the Radioactive Isotope Beam Factory (RIBF) operated by RIKEN Nishina Center. Such measurements were performed in inverse kinematics using a secondary beam delivered by the BigRIPS fragment separator [70,71,72]. Figure 1 shows the experimental setup based on the SAMURAI superconducting dipole magnet [73,74,75]. The charged fragments were analyzed by the magnet and tracked by Forward Drift Chambers (FDC1, FDC2) to determine their rigidity. Subsequently, the energy loss () and time-of-flight (TOF) were measured by the plastic scintillator hodoscopes HODF and HODP placed downstream, allowing for unambiguous particle identification (PID). Simultaneously, decay neutrons emitted at forward angles were detected by the NEBULA plastic scintillator array located downstream [76]. Data from these detectors were combined to reconstruct the invariant mass of the unbound residual system of the reaction.
Figure 1.
Schematic view of the experimental setup around the secondary target for the experiment at RIBF. The arrows denote the particle trajectories.
A critical aspect of the experimental methodology was addressing the challenge of balancing high luminosity with high momentum resolution in rare isotope reactions. To this end, the MINOS device was employed as the secondary target [77,78]. MINOS consists of a thick liquid hydrogen target (approximately 150 mm in length, ) coupled with a surrounding Time Projection Chamber (TPC) [79]. While the use of a thick target significantly enhances the reaction yield—crucial for the low cross-section reactions (typically on the order of a few millibarns) and the limited beam intensities inherent to rare isotope beams—it typically introduces uncertainty in the interaction vertex, degrading the momentum resolution. The MINOS TPC resolves this trade-off by tracking the recoil proton and determining its intersection with the incident beam trajectory, thereby determining the vertex position with a precision of approximately 5 mm (FWHM) [80]. This vertex reconstruction capability allows for accurate energy loss corrections, ensuring high resolution while gaining the statistics from the thick target.
To complete the detection system and ensure the exclusive selection of the channel, the recoil proton and the knocked-out neutron were detected by the Recoil Proton Detector (RPD) and the WINDS array, respectively, positioned at large scattering angles around 45°. Both systems are composed of plastic scintillator arrays designed to measure the time-of-flight and position of the recoil particles. These measurements allowed for the determination of the recoil momentum vectors required for the missing momentum reconstruction. The integration of these recoil detectors with the SAMURAI superconducting dipole magnet enabled a kinematically complete measurement of the reaction. Furthermore, to disentangle the ground-state contributions from core-excited states, the DALI2 array [81], consisting of NaI(Tl) scintillators, was installed surrounding the target. The detection of de-excitation -rays in coincidence with the reaction residues allows for the precise evaluation and subtraction (if needed) of core-excitation components, which is essential for disentangling different configurations in the studied nucleus.
2.1. “Weak Halo” in 17B — Is a Small s-Wave Component Sufficient?
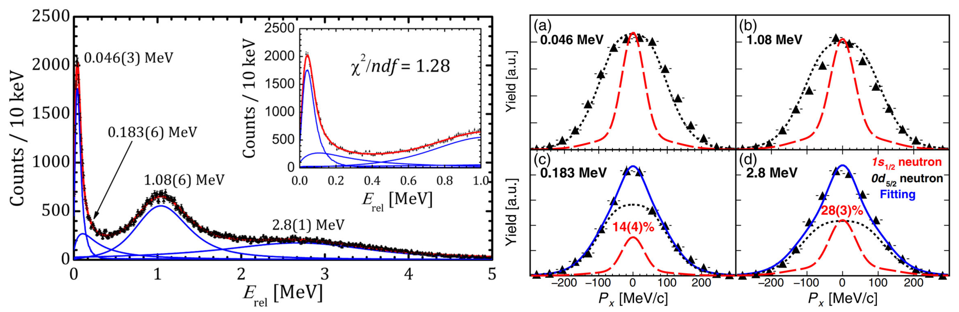
The nucleus 17B has long been a subject of intense interest in nuclear physics as a candidate for a two-neutron () halo system with a Borromean character. In established halo nuclei, the valence neutrons predominantly occupy s or p orbitals. While 17B exhibits experimental signatures of a halo—such as a large matter radius [82,83], a thick neutron surface [84], and narrow momentum distributions of the 15B core [36]—the specific wave-function composition of its valence neutrons had not been directly measured prior to the study presented here. Previous indirect deductions based on three-body models suggested a dominant s-wave component (ranging from to [36,83,85,86]). However, these estimates contradicted other experimental data, such as neutron skin thickness [84], and varied significantly across different theoretical frameworks (e.g., Shell Model [87] vs. Antisymmetrized Molecular Dynamics (AMD) [84,88]). This created a critical gap in understanding whether 17B follows the standard halo paradigm. Utilizing the kinematically complete quasifree reaction in inverse kinematics on a secondary 17B beam at 277 MeV/nucleon at RIBF, Yang et al. present direct experimental determination of a small s-orbital component in 17B [89]; the findings have profound implications for the understanding of nuclear structure near the drip line.
The unbound residual nucleus 16B was reconstructed from the system, and its relative-energy spectrum () was analyzed on a state-by-state basis. Specific 16B states were first selected by gating on , and the corresponding transverse momentum distributions of the knocked-out neutron were then examined to determine the orbital contributions. As shown in Figure 2 (left panel), the 16B spectrum exhibits distinct structures that correlate with these specific orbitals: two prominent peaks near 1 MeV and near the threshold are dominated by knockout, while the structure around 0.2 MeV and the broad component extending from about 1 to 4 MeV contain a non-negligible contribution, although the dominant component in these regions remains knockout.
Figure 2.
(Left panel): The fitting of 16B spectrum with a sum of four resonances (solid blue curve). The inset is an expanded view of the near-threshold region (0–1 MeV). (Right panel): Transverse momentum () distributions for 16B states compared with DWIA calculations. The black triangles represent the experimental data. (a,b) Comparison with pure (red dashed) and (black dotted) knockout models. (c,d) Fits (solid blue) using a combination of both orbitals. The figure is adapted from Ref. [89].
Figure 2 (right panel) provides the quantitative confirmation of these assignments through the analysis of transverse momentum () distributions for individual 16B states, compared against DWIA calculations [49]. As shown in Figure 2 (right panel) (a) and (b), the distributions for the states at MeV and MeV are perfectly reproduced by the theoretical curve for a pure knockout (black dotted line). This confirms that the bulk of the spectroscopic strength lies in the d-orbital. Figure 2 (right panel) (c) and (d) analyze the states identified in the spectrum as containing s-wave contributions ( MeV and MeV). The distributions for these states cannot be fitted by a single orbital; instead, they require a superposition of (red dashed) and (black dotted) curves. Even in these mixed states, the s-wave fraction remains limited ( and , respectively). By integrating these state-dependent spectroscopic factors, the authors derived the total occupancy of . This is the smallest s- or p-orbital component ever observed among known nuclei exhibiting halo features. Despite this low occupancy, the presence of a halo is confirmed and well-explained by the deformed relativistic Hartree–Bogoliubov theory in continuum (DRHBc) [90,91,92,93,94,95]. The results fundamentally challenge the conventional assumption that a dominant occupation of s or p orbitals is a prerequisite for halo formation, demonstrating that a neutron halo can emerge even when the s-wave component is minor, provided that s or p orbitals near the Fermi surface are occupied with appreciable strength [31,45,96,97,98].
Furthermore, the work clarifies that 17B possesses a “definite but not dominant” neutron halo, coexisting with other non-halo configurations. This resolves the long-standing ambiguity regarding its structure and suggests that 17B may be better described by a model [84] rather than a simple model [36,83,85,86]. The results also highlight the necessity of self-consistently incorporating weak binding, deformation, and continuum coupling when describing exotic nuclei such as 17B.
2.2. Universality of n–n Correlations—Comparison of 11Li, 14Be, and 17B
The structure of Borromean nuclei is governed by the three-body dynamics between the core and the two valence neutrons. A central question is the nature of the two-neutron (n–n) correlations, specifically the formation of the “dineutron”. Theoretical studies, particularly those based on Hartree–Fock–Bogoliubov (HFB) calculations for infinite nuclear matter [99], predict that the pairing correlation is density-dependent: it evolves from a BCS-type weak coupling at saturation density to a BEC-like strong coupling (dineutron) in low-density environments [100]. Therefore, the dilute surfaces of neutron-rich nuclei offer a unique laboratory to explore this density-dependent crossover.
Kinematically complete detection of the residue, recoil proton, and decay neutron allows for the experimental probing of these correlations and the reconstruction of the struck neutron’s intrinsic momentum (k). Since the internal momentum is related to the radial position r via the uncertainty principle, selecting specific momentum regions allows for a “tomographic” scan of the nuclear wave function from the inner core to the outer surface.
To visualize the evolution of these correlations, it is instructive to consider the opening angle () between the two valence neutrons. In a three-body description of a halo nucleus consisting of a core and two neutrons, is defined in configuration space as the geometric opening angle between the position vectors of the two neutrons with respect to the core. In the Jacobi-coordinate representation, the three-body system is commonly described by the relative neutron–neutron coordinate and the coordinate connecting the core to the center of mass of the two neutrons. Within this framework, characterizes the average spatial geometry of the halo configuration and provides a measure of the degree of dineutron clustering. It should be emphasized that is not a direct experimental observable; rather, it is an effective geometric quantity inferred from experimental observables such as the electric dipole strength or two-particle correlation measurements within specific three-body models [101].
In knockout-reaction studies, the correlation is experimentally accessed via the opening angle in Jacobi momentum space. Defined by the relative orientation between the intrinsic momentum of the knocked-out neutron () and the relative momentum of the remaining system (), the correlation angle is given by [21,66,67]:
While in coordinate space the dineutron correlation is characterized by a small opening angle (significantly smaller than 90°), in momentum space it corresponds to a large (approximately, ).
Direct evidence of the radial dependence of the dineutron was reported by Kubota et al. for 11Li [21]. By analyzing the correlation angle as a function of the momentum of the knocked-out neutron, the study revealed a distinct variation in the correlation strength. As illustrated in Figure 3, the mean correlation angle exhibits a pronounced maximum around . This enhancement signifies strong momentum anticorrelation, which corresponds to a spatially compact dineutron pair located at a radial distance of fm from the core. This result provides experimental confirmation that the dineutron is not a static property of the entire nucleus but is localized to the surface region. The data clearly demonstrates that the correlation is weak in the nuclear interior and becomes enhanced only in the low-density surface region, consistent with the predicted BCS-BEC crossover [99,100].
Figure 3.
Measured correlation angle in 11Li as a function of the intrinsic neutron momentum k. The experimental data (red points) are presented with statistical error bars, while the green line represents the systematic uncertainty. The solid blue curve shows the quasifree model calculation incorporating dineutron correlations, while the prediction for uncorrelated neutrons is shown as a black dashed line. The black hatched area indicates the average correlation angle from a previous study [66]. The inset illustrates the geometric definition of the correlation angle in the 11Li system. The figure is adapted from Ref. [21].
Building on the 11Li results, Corsi et al. extended the investigation to 14Be and 17B to test the universality of this phenomenon [102]. These three nuclei possess distinct structural properties: 11Li and 14Be are characterized by mixing of different-parity orbitals [23,66,103], whereas 17B is dominated by d-wave configurations with a very small s-wave fraction [89] (as discussed in Section 2.1).
Despite these structural differences, the momentum dependence of the n–n correlations shows a striking similarity. Figure 4 compares the opening angle (represented in the Jacobi momentum frame) as a function of the intrinsic momentum k for all three isotopes. Remarkably, the data for 11Li, 14Be, and 17B all exhibit the strongest correlation at the same intrinsic momentum range ().
Figure 4.
Mean correlation angle as a function of the intrinsic momentum for (a) 11Li, (b) 14Be, and (c) 17B. Experimental data (red points) are shown with statistical error bars, while the green bands represent the systematic uncertainties. Theoretical curves (colored lines) are compared with the uncorrelated reference value (90°) marked by the black dashed line. The figure is adapted from Ref. [102].
This universal behavior suggests that the formation of the dineutron is driven primarily by the local density environment rather than the specific shell structure or the angular momentum of the valence neutrons. The consistency observed in Figure 4 demonstrates that strong n–n clustering emerges universally in the dilute environment characteristic of the nuclear surface. This establishes the surface-localized dineutron as a universal feature of neutron-rich Borromean systems.
3. Multineutron Correlations and Cluster States
The investigation of neutral nuclear systems, particularly light multineutron clusters such as the trineutron () and tetraneutron (), represents a longstanding challenge in nuclear physics, tracing back to the early 1960s [104]. Unlike conventional nuclei, multineutron systems are generally not expected to form bound states, which complicates both their experimental formation and theoretical description [105]. Accordingly, early experimental searches for multineutrons were mainly aimed at detecting bound states, although possible low-energy resonant behavior near threshold was sometimes discussed. These studies employed diverse methodologies, broadly classified according to the reaction mechanism and detection philosophy. One avenue involves pion-induced double-charge-exchange reactions [106,107,108,109,110,111,112,113,114,115], or multinucleon-transfer reactions [116,117,118,119,120,121,122], where only one charged particle is detected and the multineutron system is reconstructed via two-body kinematics using the missing-mass method. These experiments consistently reported negative or inconclusive results, with observed enhancements attributed to final-state interactions rather than evidence for bound or resonant multineutron states. Another class of experiments relies on fission or spallation to produce hypothetical bound multineutrons, followed by a secondary reaction such as , , etc., identified via characteristic or -delayed neutron emission [123,124,125,126,127,128,129,130]. Despite one early claim [126] that was later refuted [127,128], this approach has otherwise yielded only null results and has been largely abandoned.
While early experiments yielded negative results or ambiguous signals, recent decades have witnessed a resurgence of interest following claims of potential bound or resonant tetraneutron states [53,54,55,131,132]. These developments have reignited the debate regarding the existence of pure neutron systems. The experimental quest for multineutron systems has also seen innovative detection strategies [105]. A landmark study in this regard was conducted by Marqués et al., which utilized the breakup of radioactive 14Be beam [53]. In this approach, the analysis was based on the assumption of a pre-formed cluster within the projectile. The potential multineutron cluster produced in the reaction was identified in a liquid scintillator by a distinctive signature: the energy deposited by a recoiling proton () exceeding that expected for a single neutron of the same time-of-flight (). The analysis yielded a small but intriguing set of six events in the 14Be→10Be channel that were consistent with the formation of a bound (or low-lying resonant) tetraneutron state [131]. A detailed analysis of potential backgrounds, particularly neutron pileup, concluded that such processes could account for at most of the observed six events. Although not conclusive, this experiment demonstrated the feasibility of using direct breakup reactions with radioactive ion beams—with their relatively large cross-sections (typically on the order of hundreds of millibarns [53])—to produce and detect multineutron systems, providing an early experimental hint that stimulated subsequent theoretical and experimental efforts.
Meanwhile, theoretical calculations based on realistic nuclear forces have consistently excluded the existence of bound multineutron states. Consequently, the focus has shifted to the possible existence of resonant states, where the theoretical treatment of multineutron systems is fraught with significant difficulties, primarily due to the unbound nature of the subsystems [105,133] and the fact that predictions are highly sensitive to how the continuum and resonance signatures are handled. A central and unresolved issue is the stark discrepancy in predictions from state-of-the-art ab initio methods—such as Faddeev–Yakubovsky equations [134,135,136,137,138], Green’s Function Monte Carlo (GFMC) [139,140], and shell-model approaches in the continuum (e.g., NCSM-SS-HORSE and NCGSM/DMRG) [141,142,143]—even when employing similar nucleon–nucleon () interactions. These contradictions stem largely from methodological differences in handling scattering states, using artificial trapping potentials [139,140,143], or extrapolating to the continuum region [137,141,144,145]. In particular, some studies have invoked strong, poorly constrained adjustments to the isospin component of the three-nucleon () force to produce a near-threshold resonance [136]. However, rigorous calculations that consistently include and forces demonstrate that such tuning is unphysical since it would severely disrupt the description of well-known light nuclei [136,139,146,147]. The prevailing consensus from the few-body techniques is that any or pole lies far from the physical region [134,135,136,148,149,150], implying that reported experimental signals likely reflect non-resonant enhancements rather than genuine states [150,151,152].
Consequently, the confirmation of bound or resonant multineutron states would have profound implications for nuclear physics and astrophysics [105,153,154]. Specifically, it would provide a unique testing ground for the nucleon–nucleon interaction and the isospin dependence of the nuclear interaction, which are difficult to isolate in normal nuclei. Such a discovery would also challenge our understanding of the stability limits of the nuclear chart and the mechanisms of pairing correlations in low-density matter. Furthermore, constraining the properties of pure neutron systems is directly relevant to the equation of state (EoS) of neutron-rich matter, offering crucial insights into the properties of neutron stars. Therefore, the study of light multineutron systems remains a frontier research area where experimental evidence is scarce and theoretical predictions are divergent. This review aims to synthesize the current status of the field, examining the experimental methodologies and the theoretical paradoxes that define the ongoing quest for pure neutron systems.
3.1. Candidate Tetraneutron Resonance via the Double-Charge-Exchange Reaction
To investigate the existence of the tetraneutron resonant state (), an experiment was performed at RIBF in 2016. Using the double-charge-exchange (DCX) reaction at a beam energy of 186 MeV/u, this work reported evidence for the existence of a resonant state near the four-neutron decay threshold [54].
The experiment utilized the high-resolution SHARAQ spectrometer [155,156] combined with a liquid helium target system [157]. The secondary beam of 8He was produced by bombarding a beryllium target with a primary 18O beam at BigRIPS. The 8He beam, with an intensity of counts/s and a purity of , was transported to the liquid helium target. The SHARAQ spectrometer was positioned at 0° to measure the momenta of two particles from the decay of 8He, enabling the reconstruction of the missing mass of the tetraneutron system with a resolution of approximately 1 MeV. The beam momentum was measured event-by-event using a multiwire drift chamber (MWDC) at the dispersive focal plane F6, while the reaction products were detected with cathode-readout drift chambers (CRDCs) at the final focal plane S2. This setup ensured a nearly recoilless condition for the system, crucial for populating weakly interacting systems.
The missing-mass spectrum of the tetraneutron system, shown in Figure 5, reveals two distinct components: a broad continuum above MeV and a peak comprising four events in the low-energy region ( MeV). This peak is a candidate for a resonant or bound tetraneutron state, particularly given the minimal estimated background of events, primarily from beam pile-up events (multiple particles in a single bunch). A likelihood ratio test was performed to assess the significance of the low-energy peak against a background model combining the theoretical continuum shape assuming direct decay to two correlated dineutron pairs and the experimental background. The fit yielded a clear discrepancy at MeV, with a significance level of . The mean energy of the peak was determined to be MeV above the four-neutron decay threshold, with an upper limit on the width of 2.6 MeV (FWHM).
Figure 5.
Missing-mass spectrum of the candidate tetraneutron () system obtained from the reaction. The histogram data represent the measured events. The solid red curve represents the fitted continuum plus background component. The dashed blue line shows the shape of the estimated background, magnified by a factor of 10 for visibility. The figure is adapted from Ref. [54].
The observed peak is consistent with a resonant tetraneutron state, though the possibility of a bound state cannot be ruled out experimentally. The result aligns with earlier theoretical suggestions of a broad resonance [139] and is also compatible with a reanalysis of the breakup data, which suggested a possible low-energy resonance with MeV [131]. This work primarily indicates the possibility of the existence of the tetraneutron resonance, serving as an important benchmark that motivated more precise follow-up experimental studies.
3.2. Observation of a Correlated Four-Neutron System Via the Knockout Reaction
Building upon earlier indications of a tetraneutron resonance, a new experiment conducted at the RIBF provided evidence for observation of a correlated four-neutron system [55]. This work utilized a quasi-free knockout reaction in inverse kinematics, achieving higher statistics than previous studies.
The core experimental approach was the quasi-free knockout reaction , as illustrated schematically in Figure 6 (left panel). The 8He beam (156 MeV/u) impinged on a liquid hydrogen target (5 cm thick). The 8He nucleus, well described as an -core (4He) surrounded by four valence neutrons, underwent a quasi-elastic scattering where a target proton knocked out the -core. This single-step, large-momentum-transfer process left the four neutrons as spectators, emerging with minimal recoil—conditions ideal for populating a possible weakly bound or resonant cluster. The kinematics were chosen for backward scattering angles () in the proton– center-of-mass frame, which ensured a clean separation in momentum space between the fast scattered proton, the slower knocked-out -particle, and the forward-going neutron system, thereby reducing final-state interactions (FSIs) that could distort the four-neutron signal.
Figure 6.
(Left panel): Schematic of the quasi-free knockout reaction mechanism. (a) Laboratory frame depiction of the reaction, where arrow lengths represent the momentum per nucleon. (b) The equivalent p– elastic scattering in the center-of-mass frame, showing kinematics for backward scattering angles (). (Right panel): (c) Missing-mass spectrum of the four-neutron system from the reaction. Data points (black) show a pronounced low-energy peak near the decay threshold, superimposed on a broad continuum at higher energies. The solid blue curve represents the overall fit, which includes a Breit–Wigner resonance component (pink curve), a theoretical non-resonant continuum (blue dashed curve), and a small background from two-step processes (green curve). The figure is adapted from Ref. [55].
The resulting missing-mass spectrum of the four-neutron system is presented in Figure 6 (right panel). The spectrum was fitted by incorporating a Breit–Wigner resonance function (), a theoretical non-resonant continuum (), and a small estimated background from two-step processes (). The fitting result revealed a clear peak structure near the threshold that stands in sharp contrast to the broad continuum expected for an uncorrelated four-neutron phase space (indicated by the dashed blue line). The extracted parameters for this structure are an energy of MeV and a width of MeV. This corresponds to a very short-lived state with a lifetime of approximately s. The statistical significance of the peak far exceeds the level. The result is consistent with the earlier indication from the DCX reaction [54] but is characterized by improved precision. However, the interpretation of the low-energy peak as a tetraneutron resonance has been questioned by subsequent theoretical analyses. Lazauskas et al. [158] performed rigorous few-body calculations and found no evidence for a physical resonant state. They argued that the pronounced near-threshold structure in the missing-mass spectrum could arise from the initial correlations in 8He and the final-state interactions rather than the existence of an isolated tetraneutron resonance.
Notably, an alternative experimental indication for a bound tetraneutron state was reported by Faestermann et al. using the multinucleon transfer reaction [132]. In contrast to the knockout method, this experiment reconstructed the missing mass of the four-neutron system from the measured energy of the outgoing 10C ejectiles. A peak structure corresponding to a total excitation energy of MeV in the system was observed. However, the observed peak was very narrow, with an upper limit of about MeV (FWHM), which the authors argued would be difficult to reconcile with an unbound resonance located nearly 3 MeV above the four-neutron threshold. Consequently, they favored an interpretation in which the 10C ejectile is populated in its first excited state ( MeV), implying the formation of a bound tetraneutron with a binding energy of MeV.
This bound-state interpretation differs markedly from the near-threshold resonant picture suggested by the DCX and quasi-free knockout experiments. However, the existence of a bound tetraneutron state remains in tension with modern ab initio calculations. To visualize the current status of the tetraneutron search, Figure 7 shows a comparison of the reported experimental resonance energies [54,55,132] with various ab initio theoretical predictions, including the No-Core Shell Model (NCSM) [141,159], No-Core Gamow Shell Model (NCGSM) [143] and Quantum Monte-Carlo (QMC) [140].
Figure 7.
Comparison of experimental [54,55,132] and theoretical resonance energies of the tetraneutron system. The theoretical predictions include results obtained from the No-Core Shell Model (NCSM) [141,159], Quantum Monte Carlo (QMC) [140], and the No-Core Gamow Shell Model (NCGSM) [143].
3.3. Trineutron ()
With the reported observation of low-energy peak structures in the tetraneutron system [54,55], the long-standing debate regarding whether multineutron systems can form bound or resonant states has regained urgency [105]. These experimental findings stand in tension with numerous ab initio theoretical calculations [136,140,141,143,150], creating a pressing need for decisive empirical data on simpler multineutron clusters. In a new study conducted by Miki et al. [160], the three-neutron () system—the simplest multineutron and a pure isospin configuration—serves as a critical test case. It probes the limits of dineutron correlations and offers a unique window into the isospin structure of three-nucleon forces. To address the limitations of prior experiments employing reactions such as [116], [118], [107,112], and [161], which were confined to high-momentum-transfer regimes ( MeV/c) ill-suited for populating fragile states, Miki et al. established a novel methodology at two facilities and performed comparative studies of 3n and 3p systems. For the system, they pioneered the use of a thick Ti–3H target [162] and executed the missing-mass spectroscopy via the charge-exchange reaction at an incident energy of 170 MeV/nucleon at RIBF, achieving an unprecedented low momentum transfer of approximately 15 MeV/c. In a complementary study of the three-proton () system, they performed the reaction at 140 MeV/nucleon at RCNP. This dual approach created ideal, low-disturbance conditions for a sensitive search for possible resonances and allowed the properties of the two systems to be compared on an equal footing.
The core experimental result, encapsulated in the double-differential cross-section spectra of Figure 8, presents a clear and striking outcome from both reaction channels: in contrast to the tetraneutron [54,55], no evidence of any narrow resonant peak is found in either the or the charge-symmetric spectrum across the measured excitation energy range. The spectra for both systems exhibit a broad, continuous shape that rises from threshold to a maximum near 10 MeV before gradually falling off. The primary difference between them is a consistent energy shift across the entire spectrum of the distribution to lower energies, a direct signature of the absent Coulomb repulsion in the neutral system. The data from both reactions were compared with sophisticated Faddeev–plane-wave impulse approximation (F-P) calculations, which incorporate full three-body continuum correlations using realistic nucleon–nucleon potentials [137,163,164]. Notably, these non-resonant calculations successfully reproduce the peak positions and overall shape of the experimental spectra for both and . This agreement strongly supports the interpretation that the observed continuum is shaped by strong three-body correlations that are nevertheless insufficient to coalesce into a resonant state. Furthermore, the work tested the impact of an artificially enhanced phenomenological three-nucleon force (3NF), tuned to generate a resonance [136], on the calculation, and found that it degraded the agreement with the smooth experimental data, thereby ruling out such an extreme 3NF strength in the sector.
Figure 8.
(Left panels): Double-differential cross sections for the (red) and (blue) reactions, plotted as a function of the excitation energy for different average momentum transfers (values in MeV/c; numbers in parentheses). (Right panels): Comparison of the experimental spectra with representative theoretical calculations at MeV/c () and MeV/c (). The top panels show quasifree calculations for the reaction assuming two-body correlations (yellow) and no correlations (green). The middle panels show F-P calculations for the (magenta) and (cyan) reactions. The bottom panels show the spectra calculated with an additional phenomenological three-nucleon force with MeV (purple). Error bars and shaded bands denote statistical and systematic uncertainties, respectively. The figure is adapted from Ref. [160].
The implications of this result are profound. By providing a crucial benchmark for theoretical models, it directly challenges predictions of a low-lying resonance [143] while affirming the necessity of accurately treating the three-body continuum [137,163,164]. The stark dichotomy observed between the non-resonant continuum and the potentially resonant system [54,55] further highlights a critical dependence on neutron number, suggesting that stabilizing correlations may be a distinctive feature of even-numbered neutron clusters. Moreover, the subtle discrepancies between the F-P calculations and the experimental angular distributions point toward a future opportunity: with refined reaction theory, these precision data could constrain the poorly known component of the three-nucleon force [136]. Thus, the study not only addresses the question of resonance in the and systems but also advances methodology and potentially provides a foundation for testing nuclear forces in exotic systems.
3.4. Cross-Talk Rejection Strategy
Detecting neutral particles represents an experimental challenge in general [105]. Historically, one should note that besides the GANIL measurement, most experiments were performed via the missing-mass technique as was shown before. However, for multineutron studies, the natural next step is to perform experiments that directly measure the decay neutrons. Such measurements enable unambiguous identification of multineutron signals and provide access to their correlation properties. In the context of multineutron correlation studies, the rejection of cross-talk events is critical to ensure the fidelity of measurements. Direct neutron detection presents significant experimental challenges, as even advanced arrays like the NEBULA+ at RIBF (an extension of NEBULA with two additional walls) typically achieve a single-neutron detection efficiency of only ∼60%. Furthermore, given the approximate relationship , the detection probability for a multineutron channel falls exponentially with neutron multiplicity , which severely limits statistics for exclusive measurements [105]. These measurements are further contaminated by cross-talk background, wherein a single neutron generates multiple detector signals that mimic genuine multineutron events. Isolating true multineutron signals therefore necessitates not only highly granular detectors but also the development of sophisticated analysis algorithms capable of efficiently rejecting cross-talk while preserving signal efficiency. Below, we outline the basic principles of cross-talk rejection, taking the NEBULA array as an example (see Figure 1). It consists of two walls, each comprising two layers of plastic scintillators.
Same-wall cross-talk arises when a single incident neutron induces spatially and temporally correlated signals in adjacent modules within the same detector wall, as shown schematically in Figure 9a. This occurs predominantly through scattering or leakage of secondary particles—such as scattered neutrons or recoil protons—from the initial interaction module, which then deposit energy in a neighboring module. For two hits within the same wall, their spatial separation and time difference are analyzed, where and . A clear correlation between and is expected for cross-talk events. The rejection criterion is defined by an elliptical cut in the plane:
where , , R, and T are parameters representing the typical separation and time difference for cross-talk events, which are generally optimized by using Geant4 simulations [165,166,167]. The left panel of Figure 10 illustrates a typical distribution of versus along with the applied rejection cut. Hits satisfying this condition are merged or discarded, thereby reducing false multineutron counts.
Figure 9.
Schematics of (a) same-wall and (b) different-wall cross-talk events in the neutron detector array.
Figure 10.
Characterization of cross-talk events in the reaction. (Left panel): Distribution of the time difference () versus the spatial separation () for two hits within the same neutron detector wall. (Right panel): Pulse height in the second wall () plotted against the beta ratio () for events with hits in different walls. In both panels, the shaded regions denote the applied cross-talk rejection cuts. The two small rectangles in the right panel indicate the cuts applied to reject gamma-ray-induced cross-talk events.
As illustrated in Figure 9b, different-wall cross-talk in neutron detector arrays refers to events where a single neutron induces successive signals in both walls of the array. Specifically, a neutron may undergo an initial interaction—such as elastic scattering on the proton nucleus in the scintillator material—in the first wall, depositing part of its energy and producing a detectable signal. The neutron then proceeds to the second wall, where it interacts again and generates a secondary signal. The key kinematic signature of distinct velocity ratios between successive interactions (the causality condition [76]) can be used to distinguish different-wall cross-talk from true multineutron events.
Let be the velocity between the target and the first hit module, and the velocity between the first and second hit modules. For the case shown in Figure 9b, the neutron loses energy in the first wall, resulting in and thus . Note that the cut value needs to be optimized based on Geant4 simulations [165,166,167] considering the realistic experimental setup and the TOF resolution. Events satisfying this condition are identified as cross-talk and rejected, as demonstrated in the right panel of Figure 10. Additionally, gamma-ray-induced cross-talk, which produces near-simultaneous signals in both walls, is suppressed by applying cuts on energy deposition versus inverse velocity (). Gamma rays are concentrated in the locus around allowing for their discrimination.
Effective cross-talk rejection in multineutron detection relies on discriminating event topologies based on hit patterns, velocity correlations, and spatiotemporal relationships between signals. For each experiment, the rejection criteria are carefully optimized using Geant4 simulations considering the realistic experimental conditions. This methodology has been a well-established framework for isolating true multineutron signals, thereby ensuring reliable invariant-mass spectroscopy of unbound neutron-rich nuclei as well as detailed investigation of multineutron correlations. To quantify the performance of this strategy, we refer to the benchmark study using the reaction, which serves as a source of single monoenergetic neutrons [76]. In that study, events with multiplicity were identified as cross-talk, and the rejection algorithms successfully eliminated approximately of these false multi-neutron events (specifically in data and in simulation). With NEBULA+ at SAMURAI, the one-neutron and two-neutron detection efficiencies will be around and , respectively. For detection (e.g., ), the efficiency is around , with the crosstalk below [168].
3.5. Two-Neutron Decay and Correlations in 16Be
The study of nuclei beyond the neutron dripline provides a unique testing ground for understanding few-body dynamics and the role of correlations in open quantum systems [169]. 16Be, lying two neutrons beyond the Borromean nucleus 14Be, is unbound with respect to two-neutron emission [170]. Its structure and decay properties are governed by the interplay between the core–neutron interaction and the neutron–neutron correlations. Previous experimental attempts to characterize 16Be yielded limited statistics and ambiguous results regarding its level structure and decay mode (e.g., sequential vs. direct “dineutron” decay). The pioneering work by Spyrou et al. first reported the observation of a resonance interpreted as the ground state of 16Be and suggested evidence for dineutron decay based on a pronounced momentum correlation between the emitted neutrons [171]. However, that study was limited by statistics, resolving only a single broad resonance, and its oversimplified treatment of the three-body decay dynamics—particularly neglecting the final-state n–n interaction in alternative decay modes—spurred significant debate on the interpretation of the observed correlations [172]. A precise determination of its resonances and decay dynamics is therefore essential to constrain mass-surface extrapolations and to probe the nature of n–n correlations in the continuum of neutron-rich systems.
Monteagudo et al. reported the first clear observation of both the ground () and first excited () states of 16Be [173], produced via proton knockout from a 17B beam at 277 MeV/nucleon. The experimental setup achieved a relative energy resolution of ∼0.5 MeV (FWHM), while the overall detection efficiency for the three-body channel was approximately in the region of interest. Notably, the contribution of cross-talk events was suppressed to less than ∼4% through a dedicated rejection analysis. The invariant mass spectrum of the system (Figure 11b) revealed two narrow resonances at and MeV above the two-neutron decay threshold, with widths of and MeV, respectively. From these, a mass excess of MeV was derived for 16Be, indicating stronger binding than previously reported [171,174].
Figure 11.
(Left panel): (a) The overall detection efficiency (including acceptance), incorporating the effect of the neutron cross-talk suppression filter. (b) The relative energy spectrum of events () populated via the reaction. The experimental data are shown as black points. The solid red line corresponds to the best fit, which accounts for all experimental effects up to 4 MeV, including the resonances at 0.84 MeV and 2.15 MeV (indicated by dotted lines). (Right panel): (c,d) Experimental Dalitz plots of the normalized energies –n () versus n–n () for the decay of the two observed states in . (e,f) Theoretical spatial probability distributions for each state, represented in terms of the distances of – () versus n–n (). The figure is adapted from Ref. [173].
The decay mechanism was investigated using Dalitz plots of the normalized relative energies (Figure 11c,d). The pronounced enhancement at low for both states, together with the absence of band-like structures indicative of sequential decay via 15Be, unambiguously demonstrates that both the and levels decay via direct two-neutron emission. To elucidate the underlying structure, the authors performed a three-body () calculation that incorporates the time evolution of the resonance wave function [175,176]. The model reasonably reproduced the neutron–neutron energy distributions and revealed distinct spatial correlations: the ground state exhibits a compact dineutron component, whereas the excited state displays a more diffuse n–n configuration. These findings underscore the necessity of treating two-neutron decay as a genuine three-body process [171,177,178], including final-state interactions [179] and proper asymptotic boundary conditions.
This work highlights the critical role of n–n correlations in the decay dynamics of drip-line nuclei. The combination of high-resolution invariant-mass spectroscopy with advanced three-body theoretical frameworks marks a significant step toward a more complete understanding of few-body open quantum systems in the drip-line regime.
3.6. Condensate-like Cluster Structure in 8He()
The study of quantum condensates in fermionic systems—such as correlated neutron pairs in atomic nuclei—represents a fundamental challenge in many-body physics. While Bose–Einstein condensation has been observed in ultracold atomic gases [180,181] and evidence exists for -particle condensation in light nuclei (e.g., the Hoyle state in 12C [182,183,184,185]), the realization of a dineutron () condensate in neutron-rich systems has remained experimentally elusive. Theoretical works predicted that the state of 8Be should exhibit a condensate-like cluster structure [186,187], characterized by a large isoscalar monopole transition strength and emission of strongly correlated neutron pairs. This state serves as a minimal prototype for exploring dineutron condensation near the neutron drip line and may shed light on pairing correlations in neutron stars.
To experimentally investigate this state, a study was conducted by Yang et al. [188] at the RIPS beamline of the RIKEN Nishina Center. The experiment was performed via the inelastic excitation of an 8Be beam on both and carbon targets, populating resonant states of 8Be that subsequently decay into . The combined use of these targets allowed for the examination of the relative contributions from hydrogen and carbon, revealing that the observed state was populated predominantly via the reaction on the carbon target. The neutron detector array achieved a time resolution () of ∼400 ps. To ensure the reliability of the multi-neutron events, a dedicated cross-talk rejection analysis was performed, achieving a rejection ratio of >99% and suppressing the residual cross-talk contribution to less than in the observed events. In the energy region of the state ( MeV, see below), the experimental resolution () for the decay energy was determined to be ∼0.25 MeV, while the coincidence detection efficiency for the channel was approximately . The identification and characterization of the state relied on measurements of the decay energy (reconstructed via the invariant mass method using the measured momenta of the fragment and the two decay neutrons) and angular distributions. As shown in Figure 12a, a clear peak at MeV was observed, with a significance exceeding . The differential cross-sections were compared with distorted-wave Born approximation (DWBA) calculations [189,190] for different multipolarities (Figure 12b). The angular distribution strongly favors a assignment () over or hypotheses, marking the first observation of a low-lying excited state in . Below the resonance, some other low-lying states, such as the extensively studied state, are also expected to be populated but remain largely embedded in the continuum and thus cannot be clearly identified. Note that a similar spectrum was observed in an earlier experiment [9]. The isoscalar monopole transition strength was extracted by normalizing DWBA calculations to the measured cross-sections. The obtained value, , significantly exceeds typical single-particle estimates ( [191]) and agrees well with the prediction of [187] for a condensate-like cluster structure.
Figure 12.
(Left panel): (a) Excitation energy spectra () obtained with and carbon targets at very forward angles (). The experimental data (triangles) are fitted with a Gaussian peak and a second-order polynomial background (solid curves), incorporating the experimental acceptance. (b) Angular distribution of the newly observed state ( MeV) for the target. The data are compared with DWBA calculations for spin-parity assignments of (red solid), (blue dashed), and (gray dotted), convoluted with the angular resolution (). (Right panel): (c) Overlap between the calculated wave function and THSR two-dineutron trial configurations , specified by two size parameters, characterizing the intrinsic size of the dineutron cluster and characterizing the spatial extension of the dineutron motion around the core. The concentration of the overlap at fm and large indicates compact dineutrons moving in an extended dilute configuration around the core. (d) Measured isoscalar monopole transition strength compared with predictions from AMD, Cluster model (considering ), and cluster orbital shell model (COSM, deficient in ) microscopic models. The figure is adapted from Ref. [188].
To interpret the observed state microscopically, theoretical calculations using the Tohsaki–Horiuchi–Schuck–Röpke (THSR) wave function [184,185,192,193,194] and an advanced model were performed. Figure 12c illustrates the overlap between the calculated wave function and the THSR trial wave functions . This map is plotted as a function of two characteristic size parameters: , which represents the intrinsic size parameter of each dineutron cluster, and , which describes the spatial extension of the two dineutrons relative to the core. The concentration of the overlap (red region) at relatively small (∼2 ) and large indicates that two compact neutron pairs move in a spatially extended, dilute configuration around the core. This specific geometric feature is the hallmark of a condensate-like cluster structure. Note that the cutoff in the upper-left part of the panel originates from the forbidden states of the THSR basis functions. Furthermore, as shown in Figure 12d, the calculated from the microscopic model () aligns excellently with the experimental value, in contrast to earlier cluster-orbital shell model calculations that predicted a predominantly single-particle structure [195]. This agreement strongly supports the interpretation of the state as having a condensate-like cluster geometry.
The observation of the state in provides the first experimental evidence for a dineutron condensate-like cluster structure in a neutron-rich nucleus. This finding not only advances our understanding of clustering phenomena in exotic nuclei but also offers a new perspective on pair correlations in dense neutron-rich matter, with potential implications for the structure and dynamics of neutron stars. Future studies extending such measurements to heavier neutron-rich systems near the drip line will be crucial for exploring the universality of dineutron condensation in extreme nuclear environments.
4. Summary and Outlook
In all, this review has highlighted the significant progress made in understanding the structure and correlations of light neutron-rich nuclei, ranging from halo structures to the exploration of multineutron correlations. The combination of quasi-free knockout reactions and complete-kinematics measurements at facilities like RIBF has proven instrumental. We have established that halo formation is not strictly limited to systems with dominant s- or p-wave configurations, as evidenced by the “weak halo” in 17B [89], where a minimal s-wave occupancy still leads to a spatially extended neutron distribution. The universality of surface-localized dineutron correlations has been demonstrated across Borromean systems (11Li,14Be, 17B [21,89,102]), indicating that such clustering is primarily governed by the low-density nuclear surface rather than specific single-particle orbitals. The tetraneutron has been probed through both double-charge-exchange [54] and quasi-free knockout reactions [55], yielding a candidate resonant state near threshold. In contrast, the three-neutron system shows no resonant structure [160], highlighting an intriguing even–odd dependence in multineutron stability. The study of two-neutron unbound nuclei like 16Be [173] has clarified its decay mechanism as a direct three-body process, with distinct spatial correlations in its ground and excited states. Moreover, the observation of a condensate-like cluster structure in the state of 8He [188] provides evidence for a possible dineutron-condensate phase emerging in dilute neutron matter.
Looking forward, the frontier of research is rapidly evolving along several key directions. First, the well-established quasi-free knockout reaction remains a powerful probe of nuclear structure, offering detailed information on the core dynamics in two-neutron halo systems as well as on the neutron–neutron correlations within these exotic nuclei. This is exemplified by the ongoing analysis of the decay channel from the reaction. Second, the paradigm for studying multineutron systems is shifting towards complete-kinematics measurements that incorporate direct neutron detection. Pioneering experiments now employ advanced neutron detector arrays (e.g., NeuLAND [196,197]–NEBULA) to achieve full event reconstruction. The power of this technique was recently demonstrated by the first observation of 28O via the reaction, where the simultaneous detection of four neutrons provided direct spectroscopic evidence for this doubly magic nucleus [168]. Building on this success, similar strategies coupled with sophisticated cross-talk rejection algorithms are being applied to probe the internal correlations within systems like the tetraneutron (e.g., via the reaction) and to characterize extreme neutron-rich isotopes such as 7H.
Beyond these specific studies, the broader frontier of halo physics is expanding from light nuclei into the heavier-mass region. Experimental campaigns are now poised to investigate new halo candidates [198] such as 31F, 34Ne, 34Na, and neutron-rich magnesium isotopes (37,40Mg). Theoretical predictions suggest that these heavier systems may exhibit novel structural phenomena, including giant halos [199], shape decoupling [94], and the emergence of Efimov states [200,201]. Additionally, the search for halo structures is extending beyond ground states to excited states; for instance, investigations into the isomeric state of 12Be are currently under plan at RIBF to explore unique configurations such as the “Halo Matryoshka” structure [202].
In the domain of multineutron systems, fundamental questions remain the driver for future research. Resolving the discrepancies between theoretical predictions regarding tetraneutron correlations is a priority [105,154]. To this end, future experiments are expected to employ complementary reaction probes to distinguish multineutron resonances from reaction-mechanism-dependent kinematic effects, and utilize advanced neutron detector arrays to improve the efficiency and resolution. Furthermore, motivated by recent theoretical predictions that the trineutron might be more stable than the tetraneutron, new experimental efforts are required to definitively verify this hierarchy. Efforts are also needed to push the boundaries of stability toward heavier neutral systems, such as and . There is also significant interest in probing the existence of dineutron condensates and characterizing the extreme neutron-rich hydrogen isotopes 7H and 9H.
Parallel to the study of pure neutron clusters, significant opportunities exist in investigating the formation of light charged clusters—such as , deuteron (d), triton (t), and 3He—in neutron-rich environments [203,204]. Recent quasi-free knockout experiments on stable nuclei have provided direct evidence for -clusters at nuclear surfaces and its interplay with neutron-skin development [205]. Extending these studies to unstable, neutron-rich nuclei is crucial to understand how excess neutrons influence cluster formation [153]. Indeed, dedicated initiatives such as the ONOKORO project with the TOGAXSI telescope are being developed to realize such measurements [206]. Addressing this question is pivotal for connecting finite nuclei to low-density neutron-rich matter. The ongoing advancements in radioactive-beam facilities will allow for extending such measurements in inverse kinematics to more exotic regions, while the quasi-free knockout methodology itself can be adapted to probe a variety of light clusters, offering a unified approach to explore clustering phenomena across the nuclear landscape and to inform the nuclear equation of state relevant to the properties of neutron stars [203,207].
To address these phenomena, the development of next-generation instrumentation is critical. The complexity of multineutron detection demands detection systems with high granularity, high resolution, and superior multineutron detection efficiencies. These advancements are being pursued globally, with collaborative efforts at RIBF (NEBULA+), GSI/FAIR (NeuLAND [196,197]), FRIB (MoNA), and RAON (LAMPS [208]), and a detection efficiency of several percent can be expected. Notably, the development of the Advanced Multineutron Detection Array (AMDA) is underway for the High Intensity heavy-ion Accelerator Facility (HIAF) in China. Prototype arrays of AMDA, utilizing high-granularity plastic scintillators coupled with Silicon Photomultipliers (SiPMs) and Application-Specific Integrated Circuit (ASIC)-based readout electronics, are currently under development [209]. Unlike traditional setups that rely on photomultiplier tubes (PMTs), the use of compact and low-cost SiPMs allows for significantly higher granularity and improved spatial resolution, which are essential for resolving multi-neutron events. The upcoming upgrades in these facilities and detector innovations will be pivotal in unraveling the mysteries around the neutron dripline in the coming decade.
Author Contributions
Conceptualization, Z.Y.; Writing—original draft, Z.L.; Writing—review and editing, Z.Y. All authors have read and agreed to the published version of the manuscript.
Funding
This work was supported by the National Key R&D Program of China (Grants No. 2022YFA1605100 and 2023YFE0101500), the National Natural Science Foundation of China (Grant No. 12275006) and the State Key Laboratory of Nuclear Physics and Technology, Peking University (Nos. NPT2024ZX01 and NPT2025ZX02).
Data Availability Statement
No new data were generated or analyzed. Data sharing is not applicable.
Acknowledgments
We gratefully acknowledge the contributions of the collaborators in the SAMURAI-34 and SAMURAI-18 experiments.
Conflicts of Interest
The authors declare no conflicts of interest.
References
- Tanihata, I.; Hamagaki, H.; Hashimoto, O.; Shida, Y.; Yoshikawa, N.; Sugimoto, K.; Yamakawa, O.; Kobayashi, T.; Takahashi, N. Measurements of Interaction Cross Sections and Nuclear Radii in the Light p-Shell Region. Phys. Rev. Lett. 1985, 55, 2676–2679. [Google Scholar] [CrossRef]
- Tanihata, I.; Kobayashi, T.; Yamakawa, O.; Shimoura, S.; Ekuni, K.; Sugimoto, K.; Takahashi, N.; Shimoda, T.; Sato, H. Measurement of interaction cross sections using isotope beams of Be and B and isospin dependence of the nuclear radii. Phys. Lett. B 1988, 206, 592–596. [Google Scholar] [CrossRef]
- Aumann, T.; Navin, A.; Balamuth, D.P.; Bazin, D.; Blank, B.; Brown, B.A.; Bush, J.E.; Caggiano, J.A.; Davids, B.; Glasmacher, T.; et al. One-Neutron Knockout from Individual Single-Particle States of 11Be. Phys. Rev. Lett. 2000, 84, 35. [Google Scholar] [CrossRef]
- Kelley, J.H.; Austin, S.M.; Kryger, R.A.; Morrissey, D.J.; Orr, N.A.; Sherrill, B.M.; Thoennessen, M.; Winfield, J.S.; Winger, J.A.; Young, B.M. Parallel Momentum Distributions as a Probe of Halo Wave Functions. Phys. Rev. Lett. 1995, 74, 30. [Google Scholar] [CrossRef] [PubMed]
- Aumann, T.; Aleksandrov, D.; Axelsson, L.; Baumann, T.; Borge, M.J.G.; Chulkov, L.V.; Cub, J.; Dostal, W.; Eberlein, B.; Elze, T.W.; et al. Continuum excitations in 6He. Phys. Rev. C 1999, 59, 1252–1262. [Google Scholar] [CrossRef]
- Oganessian, Y.T.; Zagrebaev, V.I.; Vaagen, J.S. Dynamics of two-neutron transfer reactions with the Borromean nucleus 6He. Phys. Rev. C 1999, 60, 044605. [Google Scholar] [CrossRef]
- Oganessian, Y.T.; Zagrebaev, V.I.; Vaagen, J.S. “Di-Neutron” Configuration of 6He. Phys. Rev. Lett. 1999, 82, 4996. [Google Scholar] [CrossRef]
- Raabe, R.; Piechaczek, A.; Andreyev, A.; Baye, D.; Bradfield-Smith, W.; Cherubini, S.; Davinson, T.; Descouvemont, P.; Pietro, A.D.; Galster, W.; et al. Elastic 2n-transfer in the 4He(6He,6He)4He scattering. Phys. Lett. B 1999, 458, 1–7. [Google Scholar] [CrossRef]
- Markenroth, K.; Meister, M.; Eberlein, B.; Aleksandrov, D.; Aumann, T.; Axelsson, L.; Baumann, T.; Borge, M.J.G.; Chulkov, L.V.; Dostal, W.; et al. 8He–6He: A comparative study of nuclear fragmentation reactions. Nucl. Phys. A 2001, 679, 462–480. [Google Scholar] [CrossRef]
- Wang, J.; Galonsky, A.; Kruse, J.J.; Tryggestad, E.; White-Stevens, R.H.; Zecher, P.D.; Iwata, Y.; Ieki, K.; Horváth, Á.; Deák, F.; et al. Dissociation of 6He. Phys. Rev. C 2002, 65, 034306. [Google Scholar] [CrossRef]
- Khoa, D.T.; von Oertzen, W. Di-neutron elastic transfer in the 4He(6He,6He)4He reaction. Phys. Lett. B 2004, 595, 193–201. [Google Scholar] [CrossRef][Green Version]
- Giot, L.; Roussel-Chomaz, P.; Demonchy, C.E.; Mittig, W.; Savajols, H.; Alamanos, N.; Auger, F.; Gillibert, A.; Jouanne, C.; Lapoux, V.; et al. Investigation of 6He cluster structures. Phys. Rev. C 2005, 71, 064311. [Google Scholar] [CrossRef]
- Kobayashi, T.; Yamakawa, O.; Omata, K.; Sugimoto, K.; Shimoda, T.; Takahashi, N.; Tanihata, I. Projectile Fragmentation of the Extremely Neutron-Rich Nucleus 11Li at 0.79 GeV/nucleon. Phys. Rev. Lett. 1988, 60, 2599. [Google Scholar] [CrossRef]
- Zhukov, M.V.; Fedorov, D.V.; Danilin, B.V.; Vaagen, J.S.; Bang, J.M. Neutron halo structure, 9Li-neutron and neutron–neutron momentum correlations in 11Li. Nucl. Phys. A 1992, 539, 177–188. [Google Scholar] [CrossRef]
- Tanihata, I.; Kobayashi, T.; Suzuki, T.; Yoshida, K.; Shimoura, S.; Sugimoto, K.; Matsuta, K.; Minamisono, T.; Christie, W.; Olson, D.; et al. Determination of the density distribution and the correlation of halo neutrons in 11Li. Phys. Lett. B 1992, 287, 307–311. [Google Scholar] [CrossRef]
- Zinser, M.; Humbert, F.; Nilsson, T.; Schwab, W.; Simon, H.; Aumann, T.; Borge, M.J.G.; Chulkov, L.V.; Cub, J.; Elze, T.W.; et al. Invariant-mass spectroscopy of 10Li and 11Li. Nucl. Phys. A 1997, 619, 151–176. [Google Scholar] [CrossRef]
- Nakamura, T.; Vinodkumar, A.M.; Sugimoto, T.; Aoi, N.; Baba, H.; Bazin, D.; Fukuda, N.; Gomi, T.; Hasegawa, H.; Imai, N.; et al. Observation of Strong Low-Lying E1 Strength in the Two-Neutron Halo Nucleus 11Li. Phys. Rev. Lett. 2006, 96, 252502. [Google Scholar] [CrossRef] [PubMed]
- Tanihata, I.; Alcorta, M.; Bandyopadhyay, D.; Bieri, R.; Buchmann, L.; Davids, B.; Galinski, N.; Howell, D.; Mills, W.; Savajols, H.; et al. Measurement of the Two-Halo Neutron Transfer Reaction 1H(11Li, 9Li)3H at 3A MeV. Phys. Rev. Lett. 2008, 100, 192502. [Google Scholar] [CrossRef] [PubMed]
- Aksyutina, Y.; Aumann, T.; Boretzky, K.; Borge, M.J.G.; Caesar, C.; Chatillon, A.; Chulkov, L.V.; Cortina-Gil, D.; Pramanik, U.D.; Emling, H.; et al. Momentum profile analysis in one-neutron knockout from Borromean nuclei. Phys. Lett. B 2013, 718, 1309–1313. [Google Scholar] [CrossRef]
- Sanetullaev, A.; Kanungo, R.; Tanaka, J.; Alcorta, M.; Andreoiu, C.; Bender, P.; Chen, A.A.; Christian, G.; Davids, B.; Fallis, J.; et al. Investigation of the role of 10Li resonances in the halo structure of 11Li through the 11Li(p, d)10Li transfer reaction. Phys. Lett. B 2016, 755, 481–485. [Google Scholar] [CrossRef]
- Kubota, Y.; Corsi, A.; Authelet, G.; Baba, H.; Caesar, C.; Calvet, D.; Delbart, A.; Dozono, M.; Feng, J.; Flavigny, F.; et al. Surface Localization of the Dineutron in 11Li. Phys. Rev. Lett. 2020, 125, 252501. [Google Scholar] [CrossRef]
- Zahar, M.; Belbot, M.; Kolata, J.J.; Lamkin, K.; Thompson, R.; Orr, N.A.; Kelley, J.H.; Kryger, R.A.; Morrissey, D.J.; Sherrill, B.M.; et al. Momentum distributions for 12,14Be fragmentation. Phys. Rev. C 1993, 48, R1484(R). [Google Scholar] [CrossRef] [PubMed]
- Labiche, M.; Orr, N.A.; Marqués, F.M.; Angélique, J.C.; Axelsson, L.; Benoit, B.; Bergmann, U.C.; Borge, M.J.G.; Catford, W.N.; Chappell, S.P.G.; et al. Halo Structure of 14Be. Phys. Rev. Lett. 2001, 86, 600–603. [Google Scholar] [CrossRef]
- Kondo, Y.; Nakamura, T.; Satou, Y.; Matsumoto, T.; Aoi, N.; Endo, N.; Fukuda, N.; Gomi, T.; Hashimoto, Y.; Ishihara, M.; et al. Low-lying intruder state of the unbound nucleus 13Be. Phys. Lett. B 2010, 690, 245–249. [Google Scholar] [CrossRef]
- Aksyutina, Y.; Aumann, T.; Boretzky, K.; Borge, M.J.G.; Caesar, C.; Chatillon, A.; Chulkov, L.V.; Cortina-Gil, D.; Pramanik, U.D.; Emling, H.; et al. Structure of the unbound nucleus 13Be: One-neutron knockout reaction data from 14Be analyzed in a holistic approach. Phys. Rev. C 2013, 87, 064316. [Google Scholar] [CrossRef]
- Corsi, A.; Kubota, Y.; Casal, J.; Gómez-Ramos, M.; Moro, A.M.; Authelet, G.; Baba, H.; Caesar, C.; Calvet, D.; Delbart, A.; et al. Structure of 13Be probed via quasi-free scattering. Phys. Lett. B 2019, 797, 134843. [Google Scholar] [CrossRef]
- Zhukov, M.V.; Danilin, B.V.; Fedorov, D.V.; Bang, J.M.; Thompson, I.J.; Vaagen, J.S. Bound state properties of Borromean halo nuclei: 6He and 11Li. Phys. Rep. 1993, 231, 151–199. [Google Scholar] [CrossRef]
- Funada, S.; Kameyama, H.; Sakuragi, Y. Halo structure and soft dipole mode of the 6He nucleus in the α + n + n cluster model. Nucl. Phys. A 1994, 575, 93–117. [Google Scholar] [CrossRef]
- Hagino, K.; Sagawa, H. Pairing correlations in nuclei on the neutron-drip line. Phys. Rev. C 2005, 72, 044321. [Google Scholar] [CrossRef]
- Myo, T.; Kikuchi, Y.; Kato, K.; Toki, H.; Ikeda, K. Systematic Study of 9,10,11Li with the Tensor and Pairing Correlations. Prog. Theor. Phys. 2008, 119, 561–581. [Google Scholar] [CrossRef]
- Tanihata, I.; Savajols, H.; Kanungo, R. Recent experimental progress in nuclear halo structure studies. Prog. Part. Nucl. Phys. 2013, 68, 215–313. [Google Scholar] [CrossRef]
- Riisager, K.; Jensen, A.S.; Møller, P. Two-body halos. Nucl. Phys. A 1992, 548, 393–413. [Google Scholar] [CrossRef]
- Fedorov, D.V.; Jensen, A.S.; Riisager, K. Three-body halos: Gross properties. Phys. Rev. C 1994, 49, 201. [Google Scholar] [CrossRef]
- Fedorov, D.V.; Jensen, A.S.; Riisager, K. Three-body halos. II. From two- to three-body asymptotics. Phys. Rev. C 1994, 50, 2372. [Google Scholar] [CrossRef]
- Smedberg, M.H.; Baumann, T.; Aumann, T.; Axelsson, L.; Bergmann, U.; Borge, M.J.G.; Cortina-Gil, D.; Fraile, L.M.; Geissel, H.; Grigorenko, L.; et al. New results on the halo structure of 8B. Phys. Lett. B 1999, 452, 1–7. [Google Scholar] [CrossRef]
- Suzuki, T.; Ogawa, Y.; Chiba, M.; Fukuda, M.; Iwasa, N.; Izumikawa, T.; Kanungo, R.; Kawamura, Y.; Ozawa, A.; Suda, T.; et al. Momentum Distribution of 15B Fragments from the Breakup of 17B. Phys. Rev. Lett. 2002, 89, 012501. [Google Scholar] [CrossRef] [PubMed]
- Fang, D.Q.; Yamaguchi, T.; Zheng, T.; Ozawa, A.; Chiba, M.; Kanungo, R.; Kato, T.; Morimoto, K.; Ohnishi, T.; Suda, T.; et al. One-neutron halo structure in 15C. Phys. Rev. C 2004, 69, 034613. [Google Scholar] [CrossRef]
- Yamaguchi, T.; Zheng, T.; Ozawa, A.; Chiba, M.; Kanungo, R.; Kato, T.; Morimoto, K.; Ohnishi, T.; Suda, T.; Yamaguchi, Y.; et al. Momentum distributions of 14C and 15C fragments from 16C breakup. Nucl. Phys. A 2003, 724, 3–13. [Google Scholar] [CrossRef]
- Bazin, D.; Benenson, W.; Brown, B.A.; Brown, J.; Davids, B.; Fauerbach, M.; Hansen, P.G.; Mantica, P.; Morrissey, D.J.; Powell, C.F.; et al. Probing the halo structure of 19,17,15C and 14B. Phys. Rev. C 1998, 57, 2156. [Google Scholar] [CrossRef]
- Ozawa, A.; Hashizume, Y.; Aoki, Y.; Tanaka, K.; Aiba, T.; Aoi, N.; Baba, H.; Brown, B.A.; Fukuda, M.; Inafuku, K.; et al. One- and two-neutron removal reactions from 19,20C with a proton target. Phys. Rev. C 2011, 84, 064315. [Google Scholar] [CrossRef]
- Chiba, M.; Kanungo, R.; Abu-Ibrahim, B.; Adhikari, S.; Fang, D.Q.; Iwasa, N.; Kimura, K.; Maeda, K.; Nishimura, S.; Ohnishi, T.; et al. Neutron removal studies on 19C. Nucl. Phys. A 2004, 741, 29–41. [Google Scholar] [CrossRef]
- Maddalena, V.; Aumann, T.; Bazin, D.; Brown, B.A.; Caggiano, J.A.; Davids, B.; Glasmacher, T.; Hansen, P.G.; Ibbotson, R.W.; Navin, A.; et al. Single-neutron knockout reactions: Application to the spectroscopy of 16,17,19C. Phys. Rev. C 2001, 63, 024613. [Google Scholar] [CrossRef]
- Baumann, T.; Borge, M.J.G.; Geissel, H.; Lenske, H.; Markenroth, K.; Schwab, W.; Smedberg, M.H.; Aumann, T.; Axelsson, L.; Bergmann, U.; et al. Longitudinal momentum distributions of 16,18C fragments after one-neutron removal from 17,19C. Phys. Lett. B 1998, 439, 256–261. [Google Scholar] [CrossRef]
- Kanungo, R.; Chiba, M.; Adhikari, S.; Fang, D.; Iwasa, N.; Kimura, K.; Maeda, K.; Nishimura, S.; Ogawa, Y.; Ohnishi, T.; et al. Possibility of a two-proton halo in 17Ne. Phys. Lett. B 2003, 571, 21–28. [Google Scholar] [CrossRef]
- Hansen, P.G.; Jonson, B. The Neutron Halo of Extremely Neutron-Rich Nuclei. Europhys. Lett. 1987, 4, 409. [Google Scholar] [CrossRef]
- Ikeda, K. Structure of neutron rich nuclei: A typical example of the nucleus 11Li. Nucl. Phys. A 1992, 538, 355–365. [Google Scholar] [CrossRef]
- Kobayashi, T.; Shimoura, S.; Tanihata, I.; Katori, K.; Matsuta, K.; Minamisono, T.; Sugimoto, K.; Müller, W.; Olson, D.L.; Symons, T.J.M.; et al. Electromagnetic dissociation and soft giant dipole resonance of the neutron-dripline nucleus 11Li. Phys. Lett. B 1989, 232, 51–55. [Google Scholar] [CrossRef]
- Bracco, A.; Lanza, E.G.; Tamii, A. Isoscalar and isovector dipole excitations: Nuclear properties from low-lying states and from the isovector giant dipole resonance. Prog. Part. Nucl. Phys. 2019, 106, 360–433. [Google Scholar] [CrossRef]
- Wakasa, T.; Ogata, K.; Noro, T. Proton-induced knockout reactions with polarized and unpolarized beams. Prog. Part. Nucl. Phys. 2017, 96, 32–87. [Google Scholar] [CrossRef]
- Jacob, G.; Maris, T.A.J. Quasi-Free Scattering and Nuclear Structure. Rev. Mod. Phys. 1966, 38, 121–142. [Google Scholar] [CrossRef]
- Tostevin, J.A. Nuclear reactions for astrophysics and radioactive beams. Nucl. Phys. A 2001, 682, 320c. [Google Scholar] [CrossRef]
- Hansen, P.G.; Tostevin, J.A. Direct reactions with exotic nuclei. Annu. Rev. Nucl. Part. Sci. 2003, 53, 219. [Google Scholar] [CrossRef]
- Marqués, F.M.; Labiche, M.; Orr, N.A.; Angxexlique, J.C.; Axelsson, L.; Benoit, B.; Bergmann, U.C.; Borge, M.J.G.; Catford, W.N.; Chappell, S.P.G.; et al. Detection of neutron clusters. Phys. Rev. C 2002, 65, 044006. [Google Scholar] [CrossRef]
- Kisamori, K.; Shimoura, S.; Miya, H.; Michimasa, S.; Ota, S.; Assie, M.; Baba, H.; Baba, T.; Beaumel, D.; Dozono, M.; et al. Candidate resonant tetraneutron state populated by the 4He(8He, 8Be) reaction. Phys. Rev. Lett. 2016, 116, 052501. [Google Scholar] [CrossRef]
- Duer, M.; Aumann, T.; Gernhäuser, R.; Panin, V.; Paschalis, S.; Rossi, D.M.; Achouri, N.L.; Ahn, D.; Baba, H.; Bertulani, C.A.; et al. Observation of a correlated free four-neutron system. Nature 2022, 606, 678. [Google Scholar] [CrossRef]
- Jacob, G.; Maris, T.A.J. Quasi-Free Scattering and Nuclear Structure. II. Rev. Mod. Phys. 1973, 45, 6–21. [Google Scholar] [CrossRef]
- Ieki, K.; Sackett, D.; Galonsky, A.; Bertulani, C.A.; Kruse, J.J.; Lynch, W.G.; Morrissey, D.J.; Orr, N.A.; Schulz, H.; Deák, F.; et al. Coulomb dissociation of 11Li. Phys. Rev. Lett. 1993, 70, 730–733. [Google Scholar] [CrossRef]
- Chulkov, L.V.; Simon, H.; Thompson, I.J.; Aumann, T.; Borge, M.J.G.; Elze, T.W.; Emling, H.; Geissel, H.; Grigorenko, L.V.; Hellström, M.; et al. Three-body correlations in electromagnetic dissociation of Borromean nuclei: The 6He case. Nucl. Phys. A 2005, 759, 23–42. [Google Scholar] [CrossRef]
- Nakamura, T.; Shimoura, S.; Kobayashi, T.; Teranishi, T.; Abe, K.; Aoi, N.; Doki, Y.; Fujimaki, M.; Inabe, N.; Iwasa, N.; et al. Coulomb dissociation of a halo nucleus 11Be at 72A MeV. Phys. Lett. B 1994, 331, 296–301. [Google Scholar] [CrossRef]
- Nakamura, T.; Fukuda, N.; Kobayashi, T.; Aoi, N.; Iwasaki, H.; Kubo, T.; Mengoni, A.; Notani, M.; Otsu, H.; Sakurai, H.; et al. Coulomb Dissociation of 19C and its Halo Structure. Phys. Rev. Lett. 1999, 83, 1112–1115. [Google Scholar] [CrossRef]
- Pramanik, U.D.; Aumann, T.; Boretzky, K.; Carlson, B.V.; Cortina, D.; Elze, T.W.; Emling, H.; Geissel, H.; Grünschloß, A.; Hellström, M.; et al. Coulomb breakup of the neutron-rich isotopes 15C and 17C. Phys. Lett. B 2003, 551, 63–70. [Google Scholar] [CrossRef]
- Palit, R.; Adrich, P.; Aumann, T.; Boretzky, K.; Carlson, B.V.; Cortina, D.; Pramanik, U.D.; Elze, T.W.; Emling, H.; Geissel, H.; et al. Exclusive measurement of breakup reactions with the one-neutron halo nucleus 11Be. Phys. Rev. C 2003, 68, 034318. [Google Scholar] [CrossRef]
- Fukuda, N.; Nakamura, T.; Aoi, N.; Imai, N.; Ishihara, M.; Kobayashi, T.; Iwasaki, H.; Kubo, T.; Mengoni, A.; Notani, M.; et al. Coulomb and nuclear breakup of a halo nucleus 11Be. Phys. Rev. C 2004, 70, 054606. [Google Scholar] [CrossRef]
- Sackett, D.; Ieki, K.; Galonsky, A.; Bertulani, C.A.; Esbensen, H.; Kruse, J.J.; Lynch, W.G.; Morrissey, D.J.; Orr, N.A.; Schulz, H.; et al. Electromagnetic excitation of 11Li. Phys. Rev. C 1993, 48, 118–123. [Google Scholar] [CrossRef]
- Shimoura, S.; Nakamura, T.; Ishihara, M.; Inabe, N.; Kobayashi, T.; Kubo, T.; Siemssen, R.H.; Tanihata, I.; Watanabe, Y. Coulomb dissociation reaction and correlations of two halo neutrons in 11Li. Phys. Lett. B 1995, 348, 29–34. [Google Scholar] [CrossRef]
- Simon, H.; Aleksandrov, D.; Aumann, T.; Axelsson, L.; Baumann, T.; Borge, M.J.G.; Chulkov, L.V.; Collatz, R.; Cub, J.; Dostal, W.; et al. Direct Experimental Evidence for Strong Admixture of Different Parity States in 11Li. Phys. Rev. Lett. 1999, 83, 496–499. [Google Scholar] [CrossRef]
- Simon, H.; Meister, M.; Aumann, T.; Borge, M.J.G.; Chulkov, L.V.; Pramanik, U.D.; Elze, T.W.; Emling, H.; Forssén, C.; Geissel, H.; et al. Systematic investigation of the drip-line nuclei 11Li and 14Be and their unbound subsystems 10Li and 13Be. Nucl. Phys. A 2007, 791, 267–302. [Google Scholar] [CrossRef]
- Kikuchi, Y.; Katō, K.; Myo, T.; Takashina, M.; Ikeda, K. Two-neutron correlations in 6He in a Coulomb breakup reaction. Phys. Rev. C 2010, 81, 044308. [Google Scholar] [CrossRef]
- Kikuchi, Y.; Myo, T.; Katō, K.; Ikeda, K. Coulomb breakup reactions of 11Li in the coupled-channel 9Li + n + n model. Phys. Rev. C 2013, 87, 034606. [Google Scholar] [CrossRef]
- Kubo, T. In-flight RI beam separator BigRIPS at RIKEN and elsewhere in Japan. Nucl. Instrum. Methods B 2003, 204, 97–113. [Google Scholar] [CrossRef]
- Kubo, T.; Kusaka, K.; Yoshida, K.; Yoshida, A.; Ohnishi, T.; Ohtake, M. Status and Overview of Superconducting Radioactive Isotope Beam Separator BigRIPS at RIKEN. IEEE Trans. Appl. Supercond. 2007, 17, 1069–1077. [Google Scholar] [CrossRef]
- Fukuda, N.; Kubo, T.; Ohnishi, T.; Inabe, N.; Takeda, H.; Kameda, D.; Suzuki, H. Identification and separation of radioactive isotope beams by the BigRIPS separator at the RIKEN RI Beam Factory. Nucl. Instrum. Methods B 2013, 317, 323–332. [Google Scholar] [CrossRef]
- Kobayashi, T.; Chiga, N.; Isobe, T.; Kondo, Y.; Kubo, T.; Kusaka, K.; Motobayashi, T.; Nakamura, T.; Ohnishi, J.; Okuno, H.; et al. SAMURAI spectrometer for RI beam experiments. Nucl. Instrum. Methods B 2013, 317, 294–304. [Google Scholar] [CrossRef]
- Shimizu, Y.; Otsu, H.; Kobayashi, T.; Kubo, T.; Motobayashi, T.; Sato, H.; Yoneda, K. Vacuum system for the SAMURAI spectrometer. Nucl. Instrum. Methods B 2013, 317, 739–742. [Google Scholar] [CrossRef]
- Sato, H.; Kubo, T.; Yano, Y.; Kusaka, K.; Ohnishi, J.; Yoneda, K. Superconducting Dipole Magnet for SAMURAI Spectrometer. IEEE Trans. Appl. Supercond. 2013, 23, 4500308. [Google Scholar] [CrossRef]
- Nakamura, T.; Kondo, Y. Large acceptance spectrometers for invariant mass spectroscopy of exotic nuclei and future developments. Nucl. Instrum. Methods B 2016, 376, 156–161. [Google Scholar] [CrossRef]
- Obertelli, A.; Uesaka, T. Hydrogen targets for exotic-nuclei studies developed over the past 10 years. Eur. Phys. J. A 2011, 47, 105. [Google Scholar] [CrossRef]
- Obertelli, A.; Delbart, A.; Anvar, S.; Audirac, L.; Authelet, G.; Baba, H.; Bruyneel, B.; Calvet, D.; Château, F.; Corsi, A.; et al. MINOS: A vertex tracker coupled to a thick liquid-hydrogen target for in-beam spectroscopy of exotic nuclei. Eur. Phys. J. A 2014, 50, 8. [Google Scholar] [CrossRef]
- Santamaria, C.; Obertelli, A.; Ota, S.; Sasano, M.; Takada, E.; Audirac, L.; Baba, H.; Calvet, D.; Château, F.; Corsi, A.; et al. Tracking with the MINOS Time Projection Chamber. Nucl. Instrum. Methods A 2018, 905, 138–148. [Google Scholar] [CrossRef]
- Santamaria, C.; Obertelli, A.; Ota, S.; Sasano, M.; Takada, E.; Audirac, L.; Baba, H.; Calvet, D.; Château, F.; Corsi, A.; et al. In-Beam Performances of the MINOS TPC for the Spectroscopy of Very Exotic Nuclei. JPS Conf. Proc. 2015, 6, 030130. [Google Scholar]
- Takeuchi, S.; Motobayashi, T.; Togano, Y.; Matsushita, M.; Aoi, N.; Demichi, K.; Hasegawa, H.; Murakami, H. DALI2: A NaI(Tl) detector array for measurements of γ rays from fast nuclei. Nucl. Instrum. Methods A 2014, 763, 596–603. [Google Scholar] [CrossRef]
- Ozawa, A.; Suzuki, T.; Tanihata, I. Nuclear size and related topics. Nucl. Phys. A 2001, 693, 32–62. [Google Scholar] [CrossRef]
- Suzuki, T.; Kanungo, R.; Bochkarev, O.; Chulkov, L.; Cortina, D.; Fukuda, M.; Geissel, H.; Hellström, M.; Ivanov, M.; Janik, R.; et al. Nuclear radii of 17,19B and 14Be. Nucl. Phys. A 1999, 658, 313–326. [Google Scholar] [CrossRef]
- Estradé, A.; Kanungo, R.; Horiuchi, W.; Ameil, F.; Atkinson, J.; Ayyad, Y.; Cortina-Gil, D.; Dillmann, I.; Evdokimov, A.; Farinon, F.; et al. Proton Radii of 12–17B Define a Thick Neutron Surface in 17B. Phys. Rev. Lett. 2014, 113, 132501. [Google Scholar] [CrossRef]
- Yamaguchi, Y.; Wu, C.; Suzuki, T.; Ozawa, A.; Fang, D.Q.; Fukuda, M.; Iwasa, N.; Izumikawa, T.; Jeppesen, H.; Kanungo, R.; et al. Density distribution of 17B from a reaction cross-section measurement. Phys. Rev. C 2004, 70, 054320. [Google Scholar] [CrossRef]
- Fortune, H.T.; Sherr, R. Matter radii and wave function admixtures in 2n halo nuclei. Eur. Phys. J. A 2012, 48, 103. [Google Scholar] [CrossRef]
- Yuan, C.; Suzuki, T.; Otsuka, T.; Xu, F.; Tsunoda, N. Shell-model study of boron, carbon, nitrogen, and oxygen isotopes with a monopole-based universal interaction. Phys. Rev. C 2012, 85, 064324. [Google Scholar] [CrossRef]
- Kimura, M. Deformed-basis antisymmetrized molecular dynamics and its application to 20Ne. Phys. Rev. C 2004, 69, 044319. [Google Scholar] [CrossRef]
- Yang, Z.H.; Kubota, Y.; Corsi, A.; Yoshida, K.; Sun, X.-X.; Li, J.G.; Kimura, M.; Michel, N.; Ogata, K.; Yuan, C.X.; et al. Quasifree Neutron Knockout Reaction Reveals a Small s-Orbital Component in the Borromean Nucleus 17B. Phys. Rev. Lett. 2021, 126, 082501. [Google Scholar] [CrossRef]
- Zhou, S.-G.; Meng, J.; Ring, P.; Zhao, E.-G. Neutron halo in deformed nuclei. Phys. Rev. C 2010, 82, 011301(R). [Google Scholar] [CrossRef]
- Li, L.L.; Meng, J.; Ring, P.; Zhao, E.-G.; Zhou, S.-G. Odd Systems in Deformed Relativistic Hartree Bogoliubov Theory in Continuum. Chin. Phys. Lett. 2012, 29, 042101. [Google Scholar] [CrossRef]
- Li, L.; Meng, J.; Ring, P.; Zhao, E.-G.; Zhou, S.-G. Deformed relativistic Hartree-Bogoliubov theory in continuum. Phys. Rev. C 2012, 85, 024312. [Google Scholar] [CrossRef]
- Meng, J.; Zhou, S.G. Halos in medium-heavy and heavy nuclei with covariant density functional theory in continuum. J. Phys. G Nucl. Part. Phys. 2015, 42, 093101. [Google Scholar] [CrossRef]
- Sun, X.-X.; Zhao, J.; Zhou, S.-G. Shrunk halo and quenched shell gap at N = 16 in 22C: Inversion of sd states and deformation effects. Phys. Lett. B 2018, 785, 530–535. [Google Scholar] [CrossRef]
- Sun, X.-X.; Zhao, J.; Zhou, S.-G. Study of ground state properties of carbon isotopes with deformed relativistic Hartree-Bogoliubov theory in continuum. Nucl. Phys. A 2020, 1003, 122011. [Google Scholar] [CrossRef]
- Jensen, A.S.; Riisager, K.; Fedorov, D.V.; Garrido, E. Structure and reactions of quantum halos. Rev. Mod. Phys. 2004, 76, 215. [Google Scholar] [CrossRef]
- Frederico, T.; Delfino, A.; Tomio, L.; Yamashita, M.T. Universal aspects of light halo nuclei. Prog. Part. Nucl. Phys. 2012, 67, 939–994. [Google Scholar] [CrossRef]
- Riisager, K. Halos and related structures. Phys. Scr. 2013, T152, 014001. [Google Scholar] [CrossRef]
- Matsuo, M. Spatial structure of neutron Cooper pair in low density uniform matter. Phys. Rev. C 2006, 73, 044309. [Google Scholar] [CrossRef]
- Hagino, K.; Sagawa, H.; Carbonell, J.; Schuck, P. Coexistence of BCS- and BEC-Like Pair Structures in Halo Nuclei. Phys. Rev. Lett. 2007, 99, 022506. [Google Scholar] [CrossRef] [PubMed]
- Bertulani, C.A.; Hussein, M.S. Geometry of Borromean halo nuclei. Phys. Rev. C 2007, 76, 051602(R). [Google Scholar] [CrossRef]
- Corsi, A.; Kubota, Y.; Casal, J.; Gómez-Ramos, M.; Moro, A.M.; Authelet, G.; Baba, H.; Caesar, C.; Calvet, D.; Delbart, A.; et al. Searching for universality of dineutron correlation at the surface of Borromean nuclei. Phys. Lett. B 2023, 840, 137875. [Google Scholar] [CrossRef]
- Esbensen, H.; Hagino, K.; Mueller, P.; Sagawa, H. Charge radius and dipole response of 11Li. Phys. Rev. C 2007, 76, 024302. [Google Scholar] [CrossRef]
- Ogloblin, A.A.; Penionzhkevich, Y.E. Nuclei far from stability. In Treatise on Heavy-Ion Science; Bromley, D.A., Ed.; Plenum: New York, NY, USA, 1989. [Google Scholar]
- Marqués, F.M.; Carbonell, J. The quest for light multineutron systems. Eur. Phys. J. A 2021, 57, 105. [Google Scholar] [CrossRef]
- Gilly, L.; Jean, M.; Meunier, R.; Spighel, M.; Stroot, J.P.; Duteil, P. Double charge exchange with negative pions search for tetraneutron. Phys. Lett. 1965, 19, 335. [Google Scholar] [CrossRef]
- Sperinde, J.; Fredrickson, D.; Hinkins, R.; Perez-Mendez, V.; Smith, B. Evidence for a low-energy resonance in the three-neutron system. Phys. Lett. B 1970, 32, 185. [Google Scholar] [CrossRef]
- Sperinde, J.; Fredrickson, D.; Perez-Mendez, V. Double-charge-exchange and inelastic scattering in π−+3He. Nucl. Phys. B 1974, 78, 345. [Google Scholar] [CrossRef]
- Ungar, J.E.; McKeown, R.D.; Geesaman, D.F.; Holt, R.J.; Specht, J.R.; Stephenson, K.E.; Zeidman, B.; Morris, C.L. Search for the tetraneutron by the double-charge-exchange of negative pions. Phys. Lett. B 1984, 144, 333. [Google Scholar] [CrossRef]
- Stetz, A.; Swenson, L.W.; Davis, J.; Källne, J.; Minehart, R.C.; Whitney, R.R.; Perez-Mendez, V.; Sagle, A.; Carroll, J.; McClelland, J.B.; et al. Pion double charge exchange on 3He and 4He. Nucl. Phys. A 1986, 457, 669. [Google Scholar] [CrossRef]
- Gorringe, T.P.; Ahmad, S.; Armstrong, D.S.; Burnham, R.A.; Hasinoff, M.D.; Larabee, A.J.; Waltham, C.E.; Azuelos, G.; Macdonald, J.A.; Poutissou, J.; et al. Search for the tetraneutron using the reaction 4He(π−, π+)4n. Phys. Rev. C 1989, 40, 2390. [Google Scholar] [CrossRef] [PubMed]
- Yuly, M.; Fong, W.; Kinney, E.R.; Maher, C.J.; Matthews, J.L.; Soos, T.; Vail, J.; Wang, M.Y.; Wood, S.A.; Gram, P.A.M.; et al. Pion double charge exchange and inelastic scattering on 3He. Phys. Rev. C 1997, 55, 1848. [Google Scholar]
- Gräter, J.; Amaudruz, P.A.; Bilger, R.; Camerini, P.; Clark, J.; Clement, H.; Friedman, E.; Felawka, L.; Filippov, S.N.; Friagiacomo, E.; et al. Search for a bound trineutron with the 3He(π−, π+)nnn reaction. Eur. Phys. J. A 1999, 4, 5. [Google Scholar] [CrossRef]
- Chultem, D.; Evseev, V.S.; Sidorov, V.M.; Khalkin, V.A.; Engfer, R.; Müller, H.H.; Walter, H.K. Search for 4n in π− double charge exchange reactions with heavy nuclei. Nucl. Phys. A 1979, 316, 290. [Google Scholar] [CrossRef]
- Gornov, M.G.; Gurov, Y.B.; Morokhov, P.V.; Pechkurov, V.A.; Savelyev, V.I.; Sergeev, F.M.; Chernyshev, B.A.; Shafigullin, R.R.; Shishkov, A.V. Search for superheavy hydrogen isotopes and multineutrons in π− absorption on 9Be. Nucl. Phys. A 1991, 531, 613. [Google Scholar] [CrossRef]
- Ajdaćixcx, V.; Cerineo, M.; Lalovixcx, B.; Paixcx, G.; Šlaus, I.; Tomaš, P. Reactions 3H(n, p)3n and 3H(n, H4)γ at En = 14.4 MeV. Phys. Rev. Lett. 1965, 14, 444. [Google Scholar] [CrossRef]
- Thornton, S.T.; Bair, J.K.; Jones, C.M.; Willard, H.B. Search for the trineutron. Phys. Rev. Lett. 1966, 17, 701. [Google Scholar] [CrossRef]
- Ohlsen, G.G.; Stokes, R.H.; Young, P.G. Search for states in the three-neutron and triton systems. Phys. Rev. 1968, 176, 1163. [Google Scholar] [CrossRef]
- Cerny, J.; Weisenmiller, R.B.; Jelley, N.A.; Wilcox, K.H.; Wozniak, G.J. 7Li + 7Li reaction studies leading to multineutron final states. Phys. Lett. B 1974, 53, 247. [Google Scholar] [CrossRef]
- Belozyorov, A.V.; Borcea, C.; Dlouhý, Z.; Kalinin, A.M.; Chau, N.H.; Penionzhkevich, Y.E. Search for the tri- and tetra-neutron in reactions induced by 11B and 9Be ions on 7Li. Nucl. Phys. A 1988, 477, 131. [Google Scholar] [CrossRef]
- Bohlen, H.G.; Gebauer, B.; Kirchner, T.; von Lucke-Petsch, M.; Oertzen, W.v.; Ostrowski, A.N.; Seyfert, C.; Stolla, T.; Wilpert, M.; Wilpert, T.; et al. Study of light neutron-rich nuclei with 14C-induced reactions. Nucl. Phys. A 1995, 583, 775. [Google Scholar] [CrossRef]
- Aleksandrov, D.V.; Nikol’skii, E.Y.; Novatskii, B.G.; Sakuta, S.B.; Stepanov, D.N. Search for resonances in the three- and four-neutron systems in the 7Li(7Li, 11C)3n and 7Li(7Li, 10C)4n reactions. JETP Lett. 2005, 81, 43. [Google Scholar] [CrossRef]
- Schiffer, J.P.; Vandenbosch, R. Search for a particle-stable tetra neutron. Phys. Lett. 1963, 5, 292. [Google Scholar] [CrossRef]
- Cierjacks, S.; Markus, G.; Michaelis, W.; Pönitz, W. Further evidence for the nonexistence of particle-stable tetraneutrons. Phys. Rev. 1965, 137, B345. [Google Scholar] [CrossRef]
- Fujikawa, K.; Morinaga, H. Search for tri-neutrons. Nucl. Phys. A 1968, 115, 1. [Google Scholar] [CrossRef]
- Detraz, C. Possible existence of bound neutral nuclei. Phys. Lett. B 1977, 66, 333. [Google Scholar] [CrossRef]
- Turkevich, A.; Cadieux, J.R.; Warren, J.; Economou, T.; Rosa, J.L.; Heydegger, H.R. Search for particle-bound polyneutron systems. Phys. Rev. Lett. 1977, 38, 1129. [Google Scholar] [CrossRef]
- Boer, F.W.N.D.; Ruyven, J.J.V.; Kalshoven, A.W.B.; Vis, R.; Sugarbaker, E.; Fields, C.; Zaidins, C.S. The tetraneutron revisited. Nucl. Phys. A 1980, 350, 149. [Google Scholar] [CrossRef]
- Novatsky, B.G.; Nikolsky, E.Y.; Sakuta, S.B.; Stepanov, D.N. Possible observation of light neutron nuclei in the alpha-particle-induced fission of 238U. JETP Lett. 2012, 96, 280. [Google Scholar] [CrossRef]
- Novatsky, B.G.; Sakuta, S.B.; Stepanov, D.N. Detection of light neutron nuclei in the alpha-particle-induced fission of 238U by the activation method with 27Al. JETP Lett. 2014, 98, 656. [Google Scholar] [CrossRef]
- Marqués, F.M.; Orr, N.A.; Falou, H.A.; Normand, G.; Clarke, N.M. On the possible detection of 4n events in the breakup of 14Be. arXiv 2005, arXiv:nucl-ex/0504009. [Google Scholar] [CrossRef]
- Faestermann, T.; Bergmaier, A.; Gernhäuser, R.; Koll, D.; Mahgoub, M. Indications for a bound tetraneutron. Phys. Lett. B 2022, 824, 136799. [Google Scholar] [CrossRef]
- Witała, H.; Glöckle, W. Di-neutron and the three-nucleon continuum observables. Phys. Rev. C 2012, 85, 064003. [Google Scholar] [CrossRef]
- Lazauskas, R.; Carbonell, J. Three-neutron resonance trajectories for realistic interaction models. Phys. Rev. C 2005, 71, 044004. [Google Scholar] [CrossRef]
- Lazauskas, R.; Carbonell, J. Is a physically observable tetraneutron resonance compatible with realistic nuclear interactions? Phys. Rev. C 2005, 72, 034003. [Google Scholar] [CrossRef]
- Hiyama, E.; Lazauskas, R.; Carbonell, J.; Kamimura, M. Possibility of generating a 4-neutron resonance with a T = 3/2 isospin 3-neutron force. Phys. Rev. C 2016, 93, 044004. [Google Scholar] [CrossRef]
- Ishikawa, S. Three-neutron bound and continuum states. Phys. Rev. C 2020, 102, 034002. [Google Scholar] [CrossRef]
- Lazauskas, R.; Carbonell, J. Description of four- and five-nucleon systems by solving Faddeev–Yakubovsky equations in configuration space. Front. Phys. 2020, 7, 251. [Google Scholar] [CrossRef]
- Pieper, S.C. Can modern nuclear Hamiltonians tolerate a bound tetraneutron? Phys. Rev. Lett. 2003, 90, 252501. [Google Scholar] [CrossRef]
- Gandolfi, S.; Hammer, H.-W.; Klos, P.; Lynn, J.E.; Schwenk, A. Is a trineutron resonance lower in energy than a tetraneutron resonance? Phys. Rev. Lett. 2017, 118, 232501. [Google Scholar] [CrossRef] [PubMed]
- Shirokov, A.M.; Papadimitriou, G.; Mazur, A.I.; Mazur, I.A.; Roth, R.; Vary, J.P. Prediction for a four-neutron resonance. Phys. Rev. Lett. 2016, 117, 182502. [Google Scholar] [CrossRef] [PubMed]
- Fossez, K.; Rotureau, J.; Michel, N.; Płoszajczak, M. Can tetraneutron be a narrow resonance? Phys. Rev. Lett. 2017, 119, 032501. [Google Scholar] [CrossRef] [PubMed]
- Li, J.G.; Michel, N.; Hu, B.S.; Zuo, W.; Xu, F.R. Ab initio no-core Gamow shell-model calculations of multineutron systems. Phys. Rev. C 2019, 100, 054313. [Google Scholar] [CrossRef]
- Deltuva, A.; Lazauskas, R. Comment on “Is a trineutron resonance lower in energy than a tetraneutron resonance?”. Phys. Rev. Lett. 2019, 123, 069201. [Google Scholar] [CrossRef] [PubMed]
- Deltuva, A.; Lazauskas, R. Tetraneutron resonance in the presence of a dineutron. Phys. Rev. C 2019, 100, 044002. [Google Scholar] [CrossRef]
- Timofeyuk, N.K. Do multineutrons exist? J. Phys. G Nucl. Part. Phys. 2003, 29, L9. [Google Scholar] [CrossRef]
- Bertulani, C.A.; Zelevinsky, V. Is the tetraneutron a bound dineutron–dineutron molecule? J. Phys. G Nucl. Part. Phys. 2003, 29, 2431. [Google Scholar] [CrossRef]
- Hemmdan, A.; Glöckle, W.; Kamada, H. Indications for the nonexistence of three-neutron resonances near the physical region. Phys. Rev. C 2002, 66, 054001. [Google Scholar] [CrossRef][Green Version]
- Deltuva, A. Three-neutron resonance study using transition operators. Phys. Rev. C 2018, 97, 034001. [Google Scholar] [CrossRef]
- Deltuva, A. Tetraneutron: Rigorous continuum calculation. Phys. Lett. B 2018, 782, 238. [Google Scholar] [CrossRef]
- Higgins, M.D.; Greene, C.H.; Kievsky, A.; Viviani, M. Nonresonant density of states enhancement at low energies for three or four neutrons. Phys. Rev. Lett. 2020, 125, 052501. [Google Scholar] [CrossRef]
- Higgins, M.D.; Greene, C.H.; Kievsky, A.; Viviani, M. Comprehensive study of the three- and four-neutron systems at low energies. Phys. Rev. C 2021, 103, 024004. [Google Scholar] [CrossRef]
- Yang, Z.; Huang, S. Clustering in nuclear systems: From finite nuclei to neutron stars. Sci. Bull. 2021, 66, 2054. [Google Scholar] [CrossRef]
- Xu, F. Can a pure neutron state of matter exist? Sci. Bull. 2022, 67, 2487. [Google Scholar] [CrossRef] [PubMed]
- Uesaka, T.; Shimoura, S.; Sakai, H.; for the SHARAQ Collaboration. The SHARAQ spectrometer. Prog. Theor. Exp. Phys. 2012, 2012, 03C007. [Google Scholar] [CrossRef]
- Michimasa, S.; Takaki, M.; Sasamoto, Y.; Dozono, M.; Nishi, T.; Kawabata, T.; Ota, S.; Baba, H.; Baba, T.; Fujii, T.; et al. SHARAQ spectrometer for high-resolution studies for RI-induced reactions. Nucl. Instrum. Methods Phys. Res. B 2013, 317, 305–310. [Google Scholar] [CrossRef]
- Ryuto, H.; Kunibu, M.; Minemura, T.; Motobayashi, T.; Sagara, K.; Shimoura, S.; Tamaki, M.; Yanagisawa, Y.; Yano, Y. Liquid hydrogen and helium targets for radioisotope beams at RIKEN. Nucl. Instrum. Methods Phys. Res. A 2005, 555, 1–5. [Google Scholar] [CrossRef]
- Lazauskas, R.; Hiyama, E.; Carbonell, J. Low Energy Structures in Nuclear Reactions with 4n in the Final State. Phys. Rev. Lett. 2023, 130, 102501. [Google Scholar] [CrossRef]
- Shirokov, A.M.; Kim, Y.; Mazur, A.I.; Mazur, I.A.; Shin, I.J.; Vary, J.P. Tetraneutron resonance: Theory. AIP Conf. Proc. 2018, 2038, 020038. [Google Scholar] [CrossRef]
- Miki, K.; Kameya, K.; Sakai, D.; Urayama, R.; Imai, N.; Ishikawa, S.; Michimasa, S.; Ota, S.; Sasano, M.; Takeda, H.; et al. Precise Spectroscopy of the 3n and 3p Systems via the 3H(t,3He)3n and 3He(3He,t)3p Reactions at Intermediate Energies. Phys. Rev. Lett. 2024, 133, 012501. [Google Scholar] [CrossRef]
- Miller, J.P.; Bistirlich, J.A.; Crowe, K.M.; Rosenblum, S.S.; Rowe, P.C.; Shively, F.T.; Grilly, E.R.; Kerr, E.C.; Novak, J.; Sherman, R.H.; et al. Upper limits for bound states and resonance behavior in the trineutron system. Nucl. Phys. A 1980, 343, 347–355. [Google Scholar] [CrossRef][Green Version]
- Miki, K.; Utsuki, Y.; Hara, M.; Hatano, Y.; Imai, N.; Inoue, M.; Itoh, M.; Kameya, K.; Kitayama, S.; Maruta, Y.; et al. Development and fabrication of a thick Ti-3H target for the 3H(t,3He)3n experiment at intermediate energies. Nucl. Instrum. Methods Phys. Res. A 2023, 1056, 168583. [Google Scholar] [CrossRef]
- Ishikawa, S. Spin-isospin excitation of 3He with three-proton final state. Prog. Theor. Exp. Phys. 2018, 2018, 013D03. [Google Scholar] [CrossRef]
- Ishikawa, S. Coordinate space proton-deuteron scattering calculations including Coulomb force effects. Phys. Rev. C 2009, 80, 054002. [Google Scholar] [CrossRef]
- Agostinelli, S.; Allison, J.; Amako, K.; Apostolakis, J.; Araujo, H.; Arce, P.; Asai, M.; Axen, D.; Banerjee, S.; Barrand, G.; et al. Geant4—A simulation toolkit. Nucl. Instrum. Methods Phys. Res. A 2003, 506, 250. [Google Scholar] [CrossRef]
- Allison, J.; Amako, K.; Apostolakis, J.; Araujo, H.; Arce, P.; Asai, M.; Barrand, G.; Capra, R.; Chauvie, S.; Chytracek, R.; et al. Geant4 developments and applications. IEEE Trans. Nucl. Sci. 2006, 53, 270. [Google Scholar] [CrossRef]
- Allison, J.; Amako, K.; Apostolakis, J.; Arce, P.; Asai, M.; Aso, T.; Bagli, E.; Bagulya, A.; Banerjee, S.; Barrand, G.; et al. Recent developments in Geant4. Nucl. Instrum. Methods Phys. Res. A 2016, 835, 186. [Google Scholar] [CrossRef]
- Kondo, Y.; Achouri, N.L.; Falou, H.A.; Atar, L.; Aumann, T.; Baba, H.; Boretzky, K.; Caesar, C.; Calvet, D.; Chae, H.; et al. First observation of 28O. Nature 2023, 620, 965–970. [Google Scholar] [CrossRef]
- Michel, N.; Nazarewicz, W.; Okołowicz, J.; Płoszajczak, M. Open problems in the theory of nuclear open quantum systems. J. Phys. G Nucl. Part. Phys. 2010, 37, 064042. [Google Scholar] [CrossRef]
- Baumann, T.; Frank, N.; Luther, B.A.; Morrissey, D.J.; Seitz, J.P.; Sherrill, B.M.; Steiner, M.; Stetson, J.; Stolz, A.; Thoennessen, M.; et al. First search for 16Be. Phys. Rev. C 2003, 67, 061303(R). [Google Scholar] [CrossRef]
- Spyrou, A.; Kohley, Z.; Baumann, T.; Bazin, D.; Brown, B.A.; Christian, G.; DeYoung, P.A.; Finck, J.E.; Frank, N.; Lunderberg, E.; et al. First Observation of Ground State Dineutron Decay: 16Be. Phys. Rev. Lett. 2012, 108, 102501. [Google Scholar] [CrossRef]
- Marqués, F.M.; Orr, N.A.; Achouri, N.L.; Delaunay, F.; Gibelin, J. Comment on “First Observation of Ground State Dineutron Decay: 16Be”. Phys. Rev. Lett. 2012, 109, 239201. [Google Scholar] [CrossRef] [PubMed]
- Monteagudo, B.; Marqués, F.M.; Gibelin, J.; Orr, N.A.; Corsi, A.; Kubota, Y.; Casal, J.; Gómez-Camacho, J.; Authelet, G.; Baba, H.; et al. Mass, Spectroscopy, and Two-Neutron Decay of 16Be. Phys. Rev. Lett. 2024, 132, 082501. [Google Scholar] [CrossRef] [PubMed]
- Audi, G.; Wapstra, A.H.; Thibault, C. The AME2003 atomic mass evaluation: (II). Tables, graphs and references. Nucl. Phys. A 2003, 729, 337. [Google Scholar] [CrossRef]
- Casal, J. Two-nucleon emitters within a pseudostate method: The case of 6Be and 16Be. Phys. Rev. C 2018, 97, 034613. [Google Scholar] [CrossRef]
- Casal, J.; Gómez-Camacho, J. Identifying structures in the continuum: Application to 16Be. Phys. Rev. C 2019, 99, 014604. [Google Scholar] [CrossRef]
- Kohley, Z.; Lunderberg, E.; DeYoung, P.A.; Volya, A.; Baumann, T.; Bazin, D.; Christian, G.; Cooper, N.L.; Frank, N.; Gade, A.; et al. First observation of the 13Li ground state. Phys. Rev. C 2013, 87, 011304(R). [Google Scholar] [CrossRef]
- Smith, J.K.; Baumann, T.; Bazin, D.; Brown, J.; DeYoung, P.A.; Frank, N.; Jones, M.D.; Kohley, Z.; Luther, B.; Marks, B.; et al. Neutron correlations in the decay of the first excited state of 11Li. Nucl. Phys. A 2016, 955, 27. [Google Scholar] [CrossRef]
- Lednicky, R.; Lyuboshits, V.L. Effect of the final-state interaction on pairing correlations of particles with small relative momenta. Sov. J. Nucl. Phys. 1982, 35, 770. [Google Scholar]
- Anderson, M.H.; Ensher, J.R.; Matthews, M.R.; Wieman, C.E.; Cornell, E.A. Observation of Bose-Einstein Condensation in a Dilute Atomic Vapor. Science 1995, 269, 198. [Google Scholar] [CrossRef]
- Davis, K.B.; Mewes, M.-O.; Andrews, M.R.; van Druten, N.J.; Durfee, D.S.; Kurn, D.M.; Ketterle, W. Bose-Einstein Condensation in a Gas of Sodium Atoms. Phys. Rev. Lett. 1995, 75, 3969. [Google Scholar] [CrossRef]
- Freer, M.; Fynbo, H.O.U. The Hoyle state in 12C. Prog. Part. Nucl. Phys. 2014, 78, 1. [Google Scholar] [CrossRef]
- Adachi, S.; Fujikawa, Y.; Kawabata, T.; Akimune, H.; Doi, T.; Furuno, T.; Harada, T.; Inaba, K.; Ishida, S.; Itoh, M.; et al. Candidates for the 5α condensed state in 20Ne. Phys. Lett. B 2021, 819, 136411. [Google Scholar] [CrossRef]
- Schuck, P.; Funaki, Y.; Horiuchi, H.; Röpke, G.; Tohsaki, A.; Yamada, T. Alpha particle clusters and their condensation in nuclear systems. Phys. Scr. 2016, 91, 123001. [Google Scholar] [CrossRef]
- Tohsaki, A.; Horiuchi, H.; Schuck, P.; Röpke, G. Colloquium: Status of α-particle condensate structure of the Hoyle state. Rev. Mod. Phys. 2017, 89, 011002. [Google Scholar] [CrossRef]
- Kanada-En’yo, Y. Dineutron structure in 8He. Phys. Rev. C 2007, 76, 044323. [Google Scholar] [CrossRef]
- Kobayashi, F.; Kanada-En’yo, Y. Dineutron formation and breaking in 8He. Phys. Rev. C 2013, 88, 034321. [Google Scholar] [CrossRef]
- Yang, Z.H.; Ye, Y.L.; Zhou, B.; Baba, H.; Chen, R.J.; Ge, Y.C.; Hu, B.S.; Hua, H.; Jiang, D.X.; Kimura, M.; et al. Observation of the Exotic Cluster State in 8He. Phys. Rev. Lett. 2023, 131, 242501. [Google Scholar] [CrossRef]
- Thompson, I.J. Getting started with FRESCO. Comput. Phys. Rep. 1988, 7, 167. [Google Scholar] [CrossRef]
- Tostevin, J.A.; Al-Khalili, J.S.; Zahar, M.; Belbot, M.; Kolata, J.J.; Lamkin, K.; Morrissey, D.J.; Sherrill, B.M.; Lewitowicz, M.; Wuosmaa, A.H. Elastic and quasielastic scattering of 8He from 12C. Phys. Rev. C 1997, 56, R2929. [Google Scholar] [CrossRef]
- Ito, M.; Ikeda, K. Unified studies of chemical bonding structures and resonant scattering in light neutron-excess systems, 10,12Be. Rep. Prog. Phys. 2014, 77, 096301. [Google Scholar] [CrossRef]
- Tohsaki, A.; Horiuchi, H.; Schuck, P.; Röpke, G. Alpha Cluster Condensation in 12C and 16O. Phys. Rev. Lett. 2001, 87, 192501. [Google Scholar] [CrossRef]
- Zhou, B.; Funaki, Y.; Horiuchi, H.; Ren, Z.; Röpke, G.; Schuck, P.; Tohsaki, A.; Xu, C.; Yamada, T. Nonlocalized Clustering: A New Concept in Nuclear Cluster Structure Physics. Phys. Rev. Lett. 2013, 110, 262501. [Google Scholar] [CrossRef]
- Zhou, B.; Funaki, Y.; Horiuchi, H.; Ren, Z.; Röpke, G.; Schuck, P.; Tohsaki, A.; Xu, C.; Yamada, T. Nonlocalized cluster dynamics and nuclear molecular structure. Phys. Rev. C 2014, 89, 034319. [Google Scholar] [CrossRef]
- Myo, T.; Ando, R.; Katō, K. Five-body resonances of 8He using the complex scaling method. Phys. Lett. B 2010, 691, 150. [Google Scholar] [CrossRef]
- Koch, K.; Hoffmann, J.; Ugur, C.; Heil, M. A compact readout system for the R3B High-Resolution Neutron Time-of-Flight Spectrometer (NeuLAND). In Proceedings of the 2014 IEEE Nuclear Science Symposium and Medical Imaging Conference (NSS/MIC), Seattle, WA, USA, 8–15 November 2014. [Google Scholar]
- Boretzky, K.; Gašparić, I.; Heil, M.; Mayer, J.; Heinz, A.; Caesar, C.; Kresan, D.; Simon, H.; Törnqvist, H.T.; Körper, D.; et al. NeuLAND: The high-resolution neutron time-of-flight spectrometer for R3B at FAIR. Nucl. Instrum. Methods Phys. Res. A 2021, 1014, 165701. [Google Scholar] [CrossRef]
- Nakamura, T. Neutron Halo—Recent Experimental Progress at RIBF. AAPPS Bull. 2019, 29, 19. [Google Scholar]
- Meng, J.; Ring, P. Giant Halo at the Neutron Drip Line. Phys. Rev. Lett. 1998, 80, 460. [Google Scholar] [CrossRef]
- Hammer, H.-W.; Platter, L. Efimov States in Nuclear and Particle Physics. Annu. Rev. Nucl. Part. Sci. 2010, 60, 207. [Google Scholar] [CrossRef]
- Hagen, G.; Hagen, P.; Hammer, H.-W.; Platter, L. Efimov Physics Around the Neutron-Rich 60Ca Isotope. Phys. Rev. Lett. 2013, 111, 132501. [Google Scholar] [CrossRef]
- Yang, Z.H. Halo Structure of the Isomeric State 12Be() Probed by Using a Tertiary Isomer Beam, RIBF Proposal NP2412-SAMURAI67R1. RIKEN Nishina Center: Wako, Japan, December 2024. [Google Scholar]
- Oertel, M.; Hempel, M.; Klähn, T.; Typel, S. Equations of state for supernovae and compact stars. Rev. Mod. Phys. 2017, 89, 015007. [Google Scholar] [CrossRef]
- Typel, S.; Röpke, G.; Klähn, T.; Blaschke, D.; Wolter, H.H. Composition and thermodynamics of nuclear matter with light clusters. Phys. Rev. C 2010, 81, 015803. [Google Scholar] [CrossRef]
- Tanaka, J.; Yang, Z.; Typel, S.; Adachi, S.; Bai, S.; van Beek, P.; Beaumel, D.; Fujikawa, Y.; Han, J.; Heil, S.; et al. Formation of α clusters in dilute neutron-rich matter. Science 2021, 371, 260. [Google Scholar] [CrossRef] [PubMed]
- Kubota, Y.; Agbekponou, K.; Ahn, D.S.; Baba, H.; Higuchi, K.; Hijikata, Y.; Kim, S.; Kondo, Y.; Koyama, S.; Kyo, K.; et al. ONOKORO project: Comprehensive research of cluster formation in medium-heavy and heavy nuclei. Nucl. Phys. A 2025, 1060, 123123. [Google Scholar] [CrossRef]
- Roca-Maza, X.; Paar, N. Nuclear equation of state from ground and collective excited state properties of nuclei. Prog. Part. Nucl. Phys. 2018, 101, 96. [Google Scholar] [CrossRef]
- Lee, J.-W.; Bok, J.; Lee, H.; Lee, S.H.; Kweon, M.; Lim, S.; Kim, J.; Ahn, D.S.; Ahn, J.K.; Bae, J.; et al. Performance test of prototype LAMPS Start Counter using proton beams at 100 MeV. Nucl. Instrum. Methods Phys. Res. A 2026, 1081, 170827. [Google Scholar] [CrossRef]
- Liu, H.; Shen, Z.; Yang, Z.; Li, Q.; Wang, C.; Liu, S. Design and optimization of readout method for scintillator-based multineutron detector array. J. Instrum. 2025, 20, P12025. [Google Scholar] [CrossRef]
Disclaimer/Publisher’s Note: The statements, opinions and data contained in all publications are solely those of the individual author(s) and contributor(s) and not of MDPI and/or the editor(s). MDPI and/or the editor(s) disclaim responsibility for any injury to people or property resulting from any ideas, methods, instructions or products referred to in the content. |
© 2026 by the authors. Licensee MDPI, Basel, Switzerland. This article is an open access article distributed under the terms and conditions of the Creative Commons Attribution (CC BY) license.











