High-Efficiency WLS Plastic for a Compact Cherenkov Detector
Abstract
1. Introduction
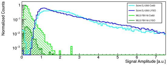
2. Test of Scintillation in FB118
3. Test of Velocity Measurement with FB118
4. Conclusions
Author Contributions
Funding
Data Availability Statement
Acknowledgments
Conflicts of Interest
Abbreviations
| MIP | Minimum Ionizing Particle |
| PMT | Photomultiplier Tube |
| ToF | Time-of-Flight |
| UV | Ultraviolet |
| WLS | Wavelength Shifter |
References
- Badino, G.; Galeotti, P.; Periale, L.; Saavedra, O.; Turtelli, A. The effect of wavelength shifters on water cherenkov detectors. Nucl. Instrum. Methods Phys. Res. 1981, 185, 587–589. [Google Scholar] [CrossRef]
- Krider, E.; Jacobson, V.; Pifer, A.; Polakos, P.; Kurz, R. Wavelength-shifted Cherenkov radiators. Nucl. Instrum. Methods 1976, 134, 495–503. [Google Scholar] [CrossRef]
- Grande, M.; Moss, G.R. An optimised thin film wavelength shifting coating for Cherenkov detection. Nucl. Instrum. Methods Phys. Res. 1983, 215, 539–548. [Google Scholar] [CrossRef]
- Claus, R.; Seidel, S.; Sulak, L.; Bionta, R.M.; Blewitt, G.; Bratton, C.; Casper, D.; Ciocio, A.; Dye, S.; Errede, S.; et al. A waveshifter light collector for a water Cherenkov detector. Nucl. Instrum. Methods Phys. Res. Sect. A Accel. Spectrometers Detect. Assoc. Equip. 1987, 261, 540–542. [Google Scholar] [CrossRef]
- Murphy, R.; Binns, W.; Bose, R.; Brandt, T.; Braun, D.; Daniels, W.; De Nolfo, G.; Dowkontt, P.; Fitzsimmons, S.; Hahne, D.; et al. In-flight Performance of the Super-TIGER Cherenkov Counters. In Proceedings of the 33rd International Cosmic Rays Conference, ICRC 2013, Sociedade Brasileira de Fisica, Rio de Janeiro, Brazil, 2–9 July 2013. [Google Scholar]
- Eljen Technology. Wavelength Shifting Plastics: EJ-280, EJ-282, EJ-284, EJ-286. 2024. Available online: https://eljentechnology.com/products/wavelength-shifting-plastics/ej-280-ej-282-ej-284-ej-286 (accessed on 19 July 2025).
- Brizzolari, C.; Brovelli, S.; Bruni, F.; Carniti, P.; Cattadori, C.; Falcone, A.; Gotti, C.; Machado, A.; Meinardi, F.; Pessina, G.; et al. Enhancement of the X-Arapuca photon detection device for the DUNE experiment. J. Instrum. 2021, 16, P09027. [Google Scholar] [CrossRef]
- Nozzoli, F.; Rashevskaya, I.; Ricci, L.; Rossi, F.; Spinnato, P.; Verroi, E.; Zuccon, P.; Giovanazzi, G. Antideuteron Identification in Space with Helium Calorimeter. Instruments 2024, 8, 3. [Google Scholar] [CrossRef]
- Ghezzer, L.E.; Giovanazzi, G.; Nozzoli, F.; Ricci, L.; Rossi, F.; Spinnato, P.; Verroi, E.; Zuccon, P.; Bruni, F.; Meinardi, F. Development of a Pressurized Helium Scintillating Calorimeter for AntiMatter Identification. Proc. Sci. 2025, EXA-LEAP2024, 048. [Google Scholar] [CrossRef]
- Glass to Power SpA. Wavelength Shifters—Nanotechnologies. 2024. Available online: https://www.glasstopower.com/wavelength-shifters/ (accessed on 19 July 2025).
- Fourati, M.A.; Maris, T.; Skene, W.G.; Bazuin, C.G.; Prud’homme, R.E. Photophysical, Electrochemical and Crystallographic Investigations of the Fluorophore 2,5-Bis(5-tert-butyl-benzoxazol-2-yl)thiophene. J. Phys. Chem. B 2011, 115, 12362–12369. [Google Scholar] [CrossRef] [PubMed]
- Panzarini, G.; Barbato, F.C.T.; De Mitri, I.; Di Giovanni, A.; Mazziotta, M.N.; Nicolaidis, R.; Nozzoli, F.; Pillera, R.; Savina, P. The Ziré instrument onboard the NUSES space mission. Nucl. Instrum. Meth. A 2024, 1068, 169794. [Google Scholar] [CrossRef]
- Gezzer, L.E.; Nozzoli, F.; Ricci, L.; Verroi, E.; Spinnato, P.; Zuccon, P. Advancing Anti-Deuteron Detection in Cosmic Rays: Innovations in Methods and Technologies. Proc. Sci. 2025, ICRC2025, 508. [Google Scholar]
- Adriani, O.; Altomare, C.; Ambrosi, G.; Azzarello, P.; Barbato, F.C.T.; Battiston, R.; Baudouy, B.; Bergmann, B.; Berti, E.; Bertucci, B.; et al. Design of an Antimatter Large Acceptance Detector In Orbit (ALADInO). Instruments 2022, 6, 19. [Google Scholar] [CrossRef]






| Particle | p 74 MeV | p 83 MeV | p 100 MeV | p 225 MeV | |
|---|---|---|---|---|---|
| MPV EJ-200 | |||||
| MPV FB118 |
Disclaimer/Publisher’s Note: The statements, opinions and data contained in all publications are solely those of the individual author(s) and contributor(s) and not of MDPI and/or the editor(s). MDPI and/or the editor(s) disclaim responsibility for any injury to people or property resulting from any ideas, methods, instructions or products referred to in the content. |
© 2025 by the authors. Licensee MDPI, Basel, Switzerland. This article is an open access article distributed under the terms and conditions of the Creative Commons Attribution (CC BY) license (https://creativecommons.org/licenses/by/4.0/).
Share and Cite
Nozzoli, F.; Ghezzer, L.E.; Bruni, F.; Corti, D.; Meinardi, F.; Nicolaidis, R.; Ricci, L.; Spinnato, P.; Verroi, E.; Zuccon, P. High-Efficiency WLS Plastic for a Compact Cherenkov Detector. Particles 2025, 8, 79. https://doi.org/10.3390/particles8030079
Nozzoli F, Ghezzer LE, Bruni F, Corti D, Meinardi F, Nicolaidis R, Ricci L, Spinnato P, Verroi E, Zuccon P. High-Efficiency WLS Plastic for a Compact Cherenkov Detector. Particles. 2025; 8(3):79. https://doi.org/10.3390/particles8030079
Chicago/Turabian StyleNozzoli, Francesco, Luigi Ernesto Ghezzer, Francesco Bruni, Daniele Corti, Francesco Meinardi, Riccardo Nicolaidis, Leonardo Ricci, Piero Spinnato, Enrico Verroi, and Paolo Zuccon. 2025. "High-Efficiency WLS Plastic for a Compact Cherenkov Detector" Particles 8, no. 3: 79. https://doi.org/10.3390/particles8030079
APA StyleNozzoli, F., Ghezzer, L. E., Bruni, F., Corti, D., Meinardi, F., Nicolaidis, R., Ricci, L., Spinnato, P., Verroi, E., & Zuccon, P. (2025). High-Efficiency WLS Plastic for a Compact Cherenkov Detector. Particles, 8(3), 79. https://doi.org/10.3390/particles8030079

