Background Measurements and Simulations of the ComPair Balloon Flight
Abstract
1. Introduction
2. Materials and Methods
2.1. Event Selection
- Any 2 Tracker primitives
- A single Tracker primitive and the CZT primitive
- A single Tracker primitive and the CsI primitive
- The CZT primitive and the CsI primitive
2.2. Simulations and Event Reconstruction
2.3. Balloon Flight Overview
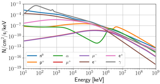
3. Results and Discussion
3.1. Soft ACD Veto Efficiency
3.2. Event Reconstruction and Spectra
3.3. Testing the ACD Hard Veto
4. Conclusions
Author Contributions
Funding
Data Availability Statement
Acknowledgments
Conflicts of Interest
Abbreviations
| ACD | Anti-Coincidence Detector |
| AMEGO | All-sky Medium Energy Gamma-ray Observatory |
| AMEGO-X | All-sky Medium Energy Gamma-ray Observatory eXplorer |
| CO | Compton scattering |
| CsI | Cesium Iodide |
| CZT | Cadmium Zinc Telluride |
| DEE | Detector Effects Engine |
| EXPACS | EXcel-based Program for calculating Atmospheric Cosmic-ray Spectrum |
| GEANT4 | GEometry ANd Tracking 4 |
| MU | Muon track |
| PA | Pair production |
| PH | Photoabsorption |
References
- McEnery, J.; Barrio, J.A.; Agudo, I.; Ajello, M.; Álvarez, J.-M.; Ansoldi, S.; Anton, S.; Auricchio, N.; Stephen, J.B.; Baldini, L.; et al. All-sky Medium Energy Gamma-ray Observatory: Exploring the Extreme Multimessenger Universe. arXiv 2019, arXiv:1907.07558. [Google Scholar]
- Kierans, C.A. AMEGO: Exploring the extreme multi-messenger universe. In Proceedings of the Space Telescopes and Instrumentation 2020: Ultraviolet to Gamma Ray; den Herder, J.W.A., Nakazawa, K., Nikzad, S., Eds.; 13 December 2020; SPIE: Bellingham, WA, USA, 2020. [Google Scholar] [CrossRef]
- Shy, D.; Kierans, C.; Cannady, N.; Caputo, R.; Griffin, S.; Grove, J.E.; Hays, E.; Kong, E.; Kirschner, N.; Liceaga-Indart, I.; et al. Development of the ComPair gamma-ray telescope prototype. In Proceedings of the Space Telescopes and Instrumentation 2022: Ultraviolet to Gamma Ray, Montreal, QC, Canada, 17–22 July 2022; den Herder, J.W.A., Nakazawa, K., Nikzad, S., Eds.; SPIE: Bellingham, WA, USA, 2022; p. 92. [Google Scholar] [CrossRef]
- Valverde, J.; Kirschner, N.; Metzler, Z.; Smith, L.D.; Cannady, N.W.; Caputo, R.; Kierans, C.; Liceaga-Indart, I.; Moiseev, A.; Parker, L.; et al. The Compton Pair telescope: A prototype for a next-generation MeV gamma-ray observatory. In Proceedings of the 38th International Cosmic Ray Conference—PoS(ICRC2023), Nagoya, Japan, 26 July–3 August 2023; Sissa Medialab. ICRC2023, p. 857. [Google Scholar] [CrossRef]
- Griffin, S.; the AMEGO Team. Development of a Silicon Tracker for the All-sky Medium Energy Gamma-ray Observatory Prototype. arXiv 2019, arXiv:1902.09380. [Google Scholar]
- Griffin, S.; Kierans, C.; Parker, L.; Schoenwald, A.; Shawhan, P.; Caputo, R.; McEnery, J.; Perkins, J. Current status of the ComPair silicon tracker. In Proceedings of the Space Telescopes and Instrumentation 2020: Ultraviolet to Gamma Ray, Online, 13 December 2020; den Herder, J.W.A., Nikzad, S., Nakazawa, K., Eds.; International Society for Optics and Photonics, SPIE: Bellingham, WA, USA; Volume 11444, p. 1144434. [Google Scholar] [CrossRef]
- Kirschner, N.; Kierans, C.; Wasti, S.; Schoenwald, A.J.; Caputo, R.; Griffin, S.; Liceaga-Indart, I.; Parker, L.; Perkins, J.S.; Zajczyk, A. The Double-Sided Silicon Strip Detector Tracker onboard the ComPair Balloon Flight. arXiv 2024, arXiv:2407.18737. [Google Scholar]
- Hays, E.A.; Bolotnikov, A.; Kierans, C.; Moiseev, A.; Thompson, D. Modular Position-sensitive High-resolution Calorimeter for Use in Space Gamma-ray Instruments Based on Virtual Frisch-grid CdZnTe Detectors. PoS 2019, ICRC2019, 584. [Google Scholar] [CrossRef]
- Woolf, R.S.; Grove, J.E.; Phlips, B.F.; Wulf, E.A. Development of a CsI:Tl calorimeter subsystem for the All-Sky Medium-Energy Gamma-Ray Observatory (AMEGO). arXiv 2019, arXiv:1901.05828. [Google Scholar]
- Shy, D.; Woolf, R.S.; Sleator, C.; Phlips, B.; Grove, J.E.; Wulf, E.A.; Johnson-Rambert, M.; Davis, M.; Kong, E.; Caligiure, T.; et al. Results from the CsI Calorimeter onboard the 2023 ComPair Balloon Flight. arXiv 2024, arXiv:2405.06839. [Google Scholar]
- Metzler, Z.; Cannady, N.; Shy, D.; Caputo, R.; Kierans, C.; Woolf, R. The Anti-Coincidence Detector Subsystem for ComPair. arXiv 2024, arXiv:2405.15974. [Google Scholar] [CrossRef]
- Smith, L.D.; Cannady, N.; Caputo, R.; Kierans, C.; Kirschner, N.; Liceaga-Indart, I.; McEnery, J.; Metzler, Z.; Moiseev, A.A.; Parker, L.; et al. The 2023 balloon flight of the ComPair instrument. In Proceedings of the Space Telescopes and Instrumentation 2024: Ultraviolet to Gamma Ray, Yokohama, Japan, 16–21 June 2024; den Herder, J.W.A., Nakazawa, K., Nikzad, S., Eds.; SPIE: Bellingham, WA, USA, 2024; p. 303. [Google Scholar] [CrossRef]
- Zoglauer, A.; Andritschke, R.; Schopper, F. MEGAlib The Medium Energy Gamma-ray Astronomy Library. New Astr. News 2006, 50, 629–632. [Google Scholar] [CrossRef]
- Sasaki, M. Trigger system for the ComPair instrument. In Proceedings of the Space Telescopes and Instrumentation 2020: Ultraviolet to Gamma Ray, Online, 13 December 2020; den Herder, J.W.A., Nikzad, S., Nakazawa, K., Eds.; International Society for Optics and Photonics, SPIE: Bellingham, WA, USA, 2020; Volume 11444, p. 114446A. [Google Scholar] [CrossRef]
- Sato, T. Analytical model for estimating the Zenith Angle Dependence of terrestrial cosmic ray fluxes. PLoS ONE 2016, 11, e0160390. [Google Scholar] [CrossRef] [PubMed]
- Agostinelli, S.; Allison, J.; Amako, K.; Apostolakis, J.; Araujo, H.; Arce, P.; Asai, M.; Axen, D.; Banerjee, S.; Barrand, G.; et al. Geant4—A simulation toolkit. Nucl. Instruments Methods Phys. Res. Sect. A Accel. Spectrometers Detect. Assoc. Equip. 2003, 506, 250–303. [Google Scholar] [CrossRef]
- Caputo, R.; Kierans, C.; Cannady, N.; Falcone, A.; Fukazawa, Y.; Jadhav, M.; Kerr, M.; Kirschner, N.; Kumar, K.; Laviron, A.; et al. ComPair-2: A next-generation medium-energy gamma-ray telescope prototype. In Proceedings of the Space Telescopes and Instrumentation 2024: Ultraviolet to Gamma Ray, Yokohama, Japan, 16–21 June 2024; den Herder, J.W.A., Nakazawa, K., Nikzad, S., Eds.; SPIE: Bellingham, WA, USA, 2024; p. 94. [Google Scholar] [CrossRef]
- Fleischhack, H. AMEGO-X: MeV gamma-ray Astronomy in the Multimessenger Era. arXiv 2021, arXiv:2108.02860. [Google Scholar]
- Caputo, R.; Ajello, M.; Kierans, C.A.; Perkins, J.S.; Racusin, J.L.; Baldini, L.; Baring, M.G.; Bissaldi, E.; Burns, E.; Cannady, N.; et al. All-sky Medium Energy Gamma-ray Observatory eXplorer mission concept. J. Astron. Telesc. Instruments Syst. 2022, 8, 044003. [Google Scholar] [CrossRef]











| Particle Selection | Initial Rate | Post-Veto Rate | % Vetoed |
|---|---|---|---|
| – | – | ||
| Measured Total | 145.6 | 18.2 | 87.5 |
| Simulated Total | 121.2 | 13.4 | 88.9 |
| -rays | 18.1 | 9.2 | 49.4 |
| 9.4 | 0.8 | 91.0 | |
| 8.7 | 0.8 | 91.0 | |
| 36.4 | 0.2 | 99.3 | |
| 3.8 | 1.2 | 69.5 | |
| 0.1 | 0.0 | 100.0 | |
| 0.1 | 0.0 | 100.0 | |
| 21.9 | 0.1 | 99.7 | |
| Activation | 0.2 | 0.2 | 1.3 |
| Coincidence | 22.4 | 1.0 | 95.6 |
| Particle Selection | Recon. Rate | PH Rate | CO Rate | MU Rate | PA Rate |
|---|---|---|---|---|---|
| – | |||||
| Measured Total | 10.3 | 5.6 | 4.3 | 0.4 | 0.02 |
| Simulated Total | 8.9 | 4.7 | 4.1 | 0.2 | 0.02 |
| -rays | 6.0 | 3.2 | 2.7 | 0.09 | 0.02 |
| 0.5 | 0.2 | 0.3 | 0.01 | 0.001 | |
| 0.4 | 0.2 | 0.3 | 0.01 | 0.002 | |
| 0.1 | 0.05 | 0.06 | 0.03 | 0 | |
| 1.0 | 0.5 | 0.4 | 0.03 | 0 | |
| 0.04 | 0.02 | 0.02 | 0.001 | 0 | |
| Activation | 0.2 | 0.1 | 0.03 | 0 | 0 |
| Coincidence | 0.7 | 0.4 | 0.3 | 0.01 | 0.001 |
Disclaimer/Publisher’s Note: The statements, opinions and data contained in all publications are solely those of the individual author(s) and contributor(s) and not of MDPI and/or the editor(s). MDPI and/or the editor(s) disclaim responsibility for any injury to people or property resulting from any ideas, methods, instructions or products referred to in the content. |
© 2025 by the authors. Licensee MDPI, Basel, Switzerland. This article is an open access article distributed under the terms and conditions of the Creative Commons Attribution (CC BY) license (https://creativecommons.org/licenses/by/4.0/).
Share and Cite
Metzler, Z.; Kirschner, N.; Smith, L.; Cannady, N.; Sasaki, M.; Shy, D.; Caputo, R.; Kierans, C.; Bolotnikov, A.; Caligiure, T.J.; et al. Background Measurements and Simulations of the ComPair Balloon Flight. Particles 2025, 8, 69. https://doi.org/10.3390/particles8030069
Metzler Z, Kirschner N, Smith L, Cannady N, Sasaki M, Shy D, Caputo R, Kierans C, Bolotnikov A, Caligiure TJ, et al. Background Measurements and Simulations of the ComPair Balloon Flight. Particles. 2025; 8(3):69. https://doi.org/10.3390/particles8030069
Chicago/Turabian StyleMetzler, Zachary, Nicholas Kirschner, Lucas Smith, Nicholas Cannady, Makoto Sasaki, Daniel Shy, Regina Caputo, Carolyn Kierans, Aleksey Bolotnikov, Thomas J. Caligiure, and et al. 2025. "Background Measurements and Simulations of the ComPair Balloon Flight" Particles 8, no. 3: 69. https://doi.org/10.3390/particles8030069
APA StyleMetzler, Z., Kirschner, N., Smith, L., Cannady, N., Sasaki, M., Shy, D., Caputo, R., Kierans, C., Bolotnikov, A., Caligiure, T. J., Carini, G. A., Crosier, A. W., Fried, J., Ghosh, P., Griffin, S., Grove, J. E., Hays, E., Herrmann, S., Kong, E., ... Zajczyk, A. (2025). Background Measurements and Simulations of the ComPair Balloon Flight. Particles, 8(3), 69. https://doi.org/10.3390/particles8030069

