Excellent Energy Storage and Photovoltaic Performances in Bi0.45Na0.45Ba0.1TiO3-Based Lead-Free Ferroelectricity Thin Film
Abstract
1. Introduction
2. Materials and Methods
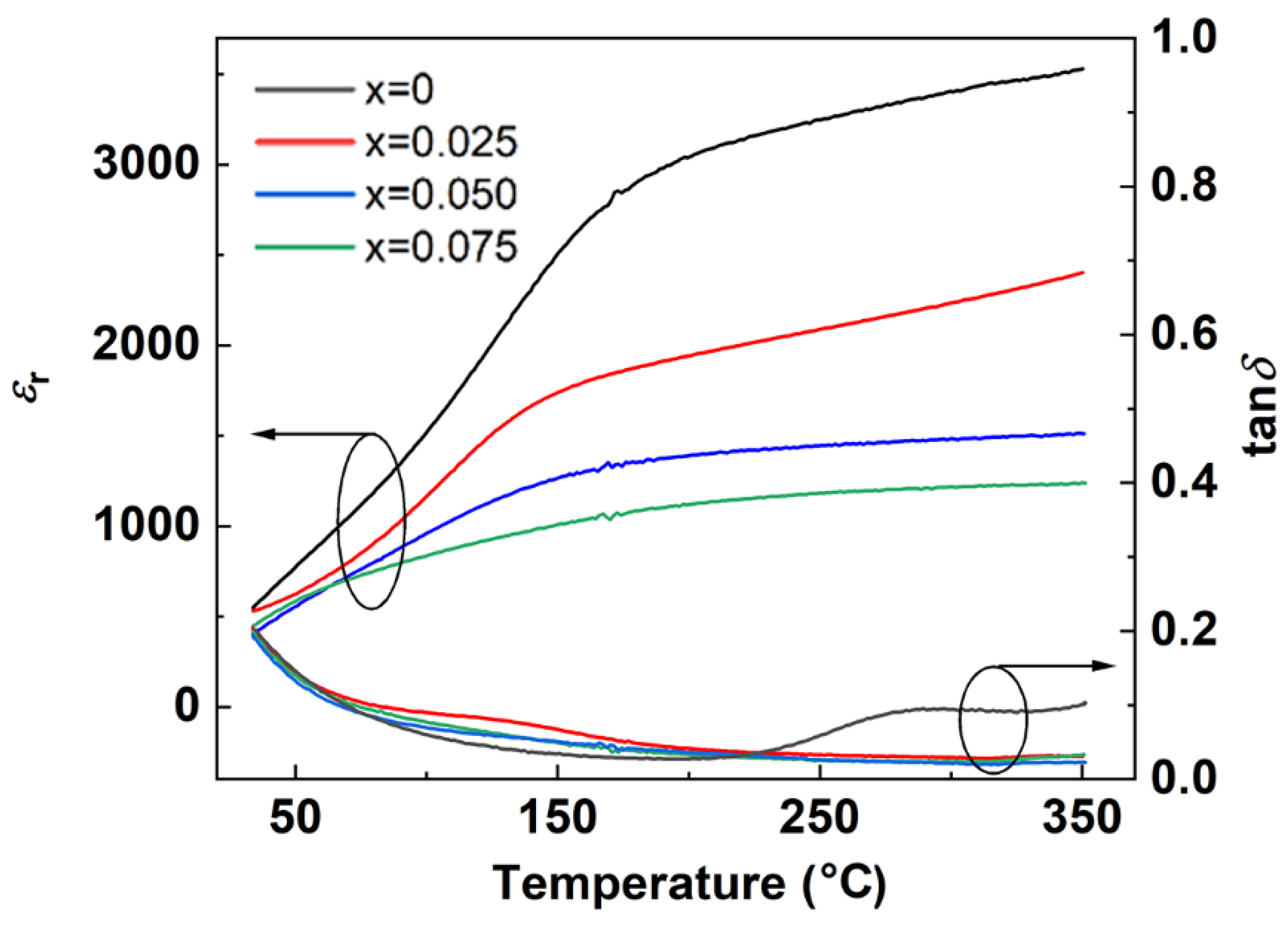
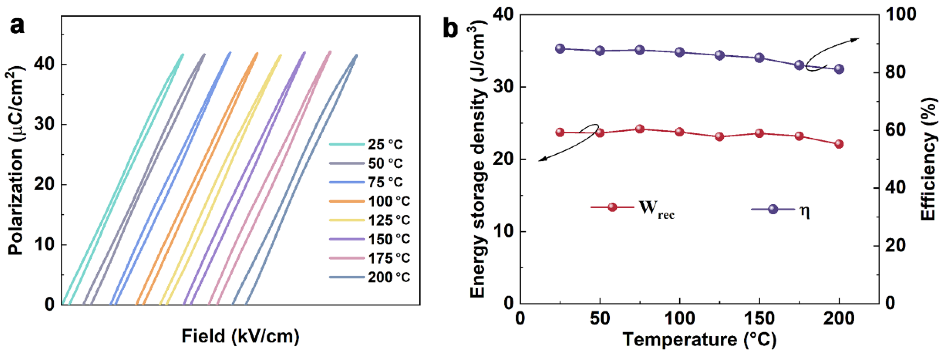
3. Results and Discussion
4. Conclusions
Supplementary Materials
Author Contributions
Funding
Institutional Review Board Statement
Informed Consent Statement
Data Availability Statement
Acknowledgments
Conflicts of Interest
References
- Dang, Z.; Yuan, J.; Yao, S.; Liao, R. Flexible nanodielectric materials with high permittivity for power energy storage. Adv. Mater. 2013, 25, 6334–6365. [Google Scholar] [CrossRef] [PubMed]
- Diao, C.; Li, H.; Yang, Y.; Hao, H.; Yao, Z.; Liu, H. Significantly improved energy storage properties of sol-gel derived Mn-modified SrTiO3 thin films. Ceram. Int. 2019, 45, 11784–11791. [Google Scholar] [CrossRef]
- Shangguan, D.; Duan, Y.; Wang, B.; Wang, C.; Li, J.; Bai, Y.; Zhang, F.; Li, Y.; Wu, Y.; Wang, Z.J. Enhanced energy-storage performances of (1-x)PbZrO3-xPbSnO3 antiferroelectric thin films under low electric fields. J. Alloys Compd. 2021, 870, 159440. [Google Scholar] [CrossRef]
- Pan, Z.; Ding, J.; Hou, X.; Shi, S.; Yao, L.; Liu, J.; Li, P.; Chen, J.; Zhai, J.; Pan, H. Substantially improved energy storage capability of ferroelectric thin films for application in high-temperature capacitors. J. Mater. Chem. A 2021, 9, 9281–9290. [Google Scholar] [CrossRef]
- Wang, G.; Lu, Z.; Li, Y.; Li, L.; Ji, H.; Feteira, A.; Zhou, D.; Wang, D.; Zhang, S.; Reaney, I.M. Electroceramics for high-energy density capacitors: Current status and future perspectives. Chem. Rev. 2021, 121, 6124–6172. [Google Scholar] [CrossRef]
- Zhu, H.; Liu, M.; Zhang, Y.; Yu, Z.; Ouyang, J.; Pan, W. Increasing energy storage capabilities of space-charge dominated ferroelectric thin films using interlayer coupling. Acta Mater. 2017, 122, 252–258. [Google Scholar] [CrossRef]
- Zhang, X.; Shen, Y.; Xu, B.; Zhang, Q.; Gu, L.; Jiang, J.; Ma, J.; Lin, Y.; Nan, C.W. Giant energy density and improved discharge efficiency of solution-processed polymer nanocomposites for dielectric energy storage. Adv. Mater. 2016, 28, 2055–2061. [Google Scholar] [CrossRef] [PubMed]
- Yang, Z.; Du, H.; Jin, L.; Poelman, D. High-performance lead-free bulk ceramics for electrical energy storage applications: Design strategies and challenges. J. Mater. Chem. A 2021, 9, 18026–18085. [Google Scholar] [CrossRef]
- Shen, B.; Li, Y.; Sun, N.; Zhao, Y.; Hao, X. Enhanced energy-storage performance of an all-inorganic flexible bilayer-like antiferroelectric thin film via using electric field engineering. Nanoscale 2020, 12, 8958–8968. [Google Scholar] [CrossRef]
- Yan, F.; Yang, H.; Lin, Y.; Wang, T. Dielectric and Ferroelectric Properties of SrTiO3–Bi0.5Na0.5TiO3–BaAl0.5Nb0.5O3 Lead-Free Ceramics for High-Energy-Storage Applications. Inorg. Chem. 2017, 56, 13510–13516. [Google Scholar] [CrossRef]
- Xie, A.; Fu, J.; Zuo, R.; Jiang, X.; Li, T.; Fu, Z.; Yin, Y.; Li, X.; Zhang, S. Supercritical Relaxor Nanograined Ferroelectrics for Ultrahigh-Energy-Storage Capacitors. Adv. Mater. 2022, 34, 2204356. [Google Scholar] [CrossRef]
- Diao, C.; Liu, H.; Lou, G.; Zheng, H.; Yao, Z.; Hao, H.; Cao, M. Structure and electric properties of sandwich-structured SrTiO3/BiFeO3 thin films for energy storage applications. J. Alloys Compd. 2019, 781, 378–384. [Google Scholar] [CrossRef]
- Wang, Y.; Cui, J.; Yuan, Q.; Niu, Y.; Bai, Y.; Wang, H. Significantly enhanced breakdown strength and energy density in sandwich-structured barium titanate/poly(vinylidene fluoride) nanocomposites. Adv. Mater. 2015, 27, 6658–6663. [Google Scholar] [CrossRef] [PubMed]
- Chen, T.; Wang, J.B.; Zhong, X.L.; Zeng, Y.K.; Wang, F.; Zhou, Y.C. Improved energy storage properties of PbZrO3 thin films by inserting 0.88BaTiO3–0.12Bi(Mg1/2,Ti1/2)O3 layer. Appl. Surf. Sci. 2013, 285, 744–747. [Google Scholar] [CrossRef]
- Dong, H.; Luo, B.; Jin, K. Tunable dielectric and energy storage properties in nonstoichiometric NaNbO3 thin films. Ceram. Int. 2022, 48, 16215–16220. [Google Scholar] [CrossRef]
- Luo, B.; Dong, H.; Wang, D.; Jin, K. Large recoverable energy density with excellent thermal stability in Mn-modified NaNbO3-CaZrO3 lead-free thin films. J. Am. Chem. Soc. 2018, 101, 3460–3467. [Google Scholar] [CrossRef]
- Pan, H.; Zhang, Q.; Wang, M.; Lan, S.; Meng, F.; Ma, J.; Gu, L.; Shen, Y.; Yu, P.; Lin, Y.H.; et al. Enhancements of dielectric and energy storage performances in lead-free films with sandwich architecture. J. Am. Chem. Soc. 2018, 102, 936–943. [Google Scholar] [CrossRef]
- Ahn, Y.; Son, J.Y. Multiferroic and energy-storage characteristics of polycrystalline Ca-doped BiFeO3 thin films on Si substrates. J. Korean Ceram. Soc. 2022, 60, 301–309. [Google Scholar] [CrossRef]
- Thatikonda, S.K.; Huang, W.; Du, X.; Yao, C.; Ke, Y.; Wu, J.; Qin, N.; Bao, D. Sm-doping induced large enhancement of antiferroelectric and energy storage performances of (111) oriented PbZrO3 thin films. Ceram. Int. 2019, 45, 23586–23591. [Google Scholar] [CrossRef]
- Supriya, S. Crystal structure engineered non-toxic Bi0.5Na0.5TiO3 based thin films-fabrication process, enhanced electrical performance, challenges and recent reports. J. Inorg. Organomet. Polym. Mater. 2023, 33, 3013–3026. [Google Scholar] [CrossRef]
- Fan, Z.; Li, L.; Mei, X.; Zhao, F.; Li, H.; Zhuo, X.; Zhang, X.; Lu, Y.; Zhang, L.; Liu, M. Multilayer ceramic film capacitors for high-performance energy storage: Progress and outlook. J. Mater. Chem. A 2021, 9, 9462–9480. [Google Scholar] [CrossRef]
- Wu, S.; Xu, L.; Zhu, K.; Song, B.; Yan, H.; Shen, B.; Zhai, J. Improved piezoelectricity and energy storage performance simultaneously achieved in [001]-preferentially oriented Bi0.5Na0.5TiO3–BaTiO3–BiMnO3 thin films grown on Nb-doped SrTiO3 single-crystalline substrates. J. Eur. Ceram. Soc. 2021, 41, 2539–2547. [Google Scholar] [CrossRef]
- Xie, Y.; Hao, H.; Xie, J.; He, Z.; Zhang, S.; Li, Z.; Cao, M.; Yao, Z.; Liu, H. The energy-storage performance and dielectric properties of (0.94-x)BNT-0.06BT-xST thin films prepared by sol–gel method. J. Alloys Compd. 2021, 860, 158164. [Google Scholar] [CrossRef]
- Chen, P.; Wu, S.; Li, P.; Zhai, J.; Shen, B. High recoverable energy storage density in (1-x)Bi0.5(Na0.8K0.2)0.5TiO3-xSrZrO3 thin films prepared by a sol-gel method. J. Eur. Ceram. Soc. 2018, 38, 4640–4645. [Google Scholar] [CrossRef]
- Fan, Y.; Zhou, Z.; Chen, Y.; Huang, W.; Dong, X. A novel lead-free and high-performance barium strontium titanate-based thin film capacitor with ultrahigh energy storage density and giant power density. J. Mater. Chem. C 2020, 8, 50–57. [Google Scholar] [CrossRef]
- Zhuang, W.; Shi, C.; Zhang, Y.; Zhao, C.; Lin, T.; Wu, X.; Lin, C.; Gao, M. Energy storage behavior in flexible antiferroelectric (Pb0.98, La0.02)(Zr0.95, Ti0.05)O3 thin film capacitors prepared via a direct epitaxial lift-off method. Thin Solid Films 2022, 751, 139206. [Google Scholar] [CrossRef]
- Wu, J.; Mahajan, A.; Riekehr, L.; Zhang, H.; Yang, B.; Meng, N.; Zhang, Z.; Yan, H. Perovskite Srx(Bi1−xNa0.97−xLi0.03)0.5TiO3 ceramics with polar nano regions for high power energy storage. Nano Energy 2018, 50, 723–732. [Google Scholar] [CrossRef]
- Ang, C.; Yu, Z. High remnant polarization in (Sr0.7Bi0.2)TiO3–(Na0.5Bi0.5)TiO3 solid solutions. Appl. Phys. Lett. 2009, 95, 232908. [Google Scholar] [CrossRef]
- Diao, C.; Liu, H.; Li, Z.; Yao, Z.; Hao, H.; Cao, M. Simultaneously achieved high energy storage density and efficiency in sol-gel-derived amorphous Mn-doped SrTiO3 thin films. J. Alloys Compd. 2020, 845, 155636. [Google Scholar] [CrossRef]
- Gao, W.; Yao, M.; Yao, X. Achieving ultrahigh breakdown strength and energy storage performance through periodic interface modification in SrTiO3 thin film. ACS Appl. Mater. Interfaces 2018, 10, 28745–28753. [Google Scholar] [CrossRef]
- Wang, J.; Li, Y.; Sun, N.; Du, J.; Zhang, Q.; Hao, X. Bi(Mg0.5Ti0.5)O3 addition induced high recoverable energy-storage density and excellent electrical properties in lead-free Na0.5Bi0.5TiO3-based thick films. J. Eur. Ceram. Soc. 2019, 39, 255–263. [Google Scholar] [CrossRef]
- Pan, H.; Ma, J.; Ma, J.; Zhang, Q.; Liu, X.; Guan, B.; Gu, L.; Zhang, X.; Zhang, Y.-J.; Li, L.; et al. Giant energy density and high efficiency achieved in bismuth ferrite-based film capacitors via domain engineering. Nat. Commun. 2018, 9, 1813. [Google Scholar] [CrossRef] [PubMed]







Disclaimer/Publisher’s Note: The statements, opinions and data contained in all publications are solely those of the individual author(s) and contributor(s) and not of MDPI and/or the editor(s). MDPI and/or the editor(s) disclaim responsibility for any injury to people or property resulting from any ideas, methods, instructions or products referred to in the content. |
© 2024 by the authors. Licensee MDPI, Basel, Switzerland. This article is an open access article distributed under the terms and conditions of the Creative Commons Attribution (CC BY) license (https://creativecommons.org/licenses/by/4.0/).
Share and Cite
Wu, J.; Zhang, T.; Gao, X.; Ning, L.; Hu, Y.; Lou, X.; Liu, Y.; Sun, N.; Li, Y. Excellent Energy Storage and Photovoltaic Performances in Bi0.45Na0.45Ba0.1TiO3-Based Lead-Free Ferroelectricity Thin Film. Ceramics 2024, 7, 1043-1052. https://doi.org/10.3390/ceramics7030068
Wu J, Zhang T, Gao X, Ning L, Hu Y, Lou X, Liu Y, Sun N, Li Y. Excellent Energy Storage and Photovoltaic Performances in Bi0.45Na0.45Ba0.1TiO3-Based Lead-Free Ferroelectricity Thin Film. Ceramics. 2024; 7(3):1043-1052. https://doi.org/10.3390/ceramics7030068
Chicago/Turabian StyleWu, Jianhua, Tiantian Zhang, Xing Gao, Lei Ning, Yanhua Hu, Xiaojie Lou, Yunying Liu, Ningning Sun, and Yong Li. 2024. "Excellent Energy Storage and Photovoltaic Performances in Bi0.45Na0.45Ba0.1TiO3-Based Lead-Free Ferroelectricity Thin Film" Ceramics 7, no. 3: 1043-1052. https://doi.org/10.3390/ceramics7030068
APA StyleWu, J., Zhang, T., Gao, X., Ning, L., Hu, Y., Lou, X., Liu, Y., Sun, N., & Li, Y. (2024). Excellent Energy Storage and Photovoltaic Performances in Bi0.45Na0.45Ba0.1TiO3-Based Lead-Free Ferroelectricity Thin Film. Ceramics, 7(3), 1043-1052. https://doi.org/10.3390/ceramics7030068

