Production of a Biosurfactant by Cunninghamella echinulata Using Renewable Substrates and Its Applications in Enhanced Oil Spill Recovery
Abstract
1. Introduction
2. Materials and Methods
2.1. Microorganism
2.2. Detection of Biosurfactant Production by Hemolysis
2.3. Biosurfactant Production
2.4. Determination of the Surface Tension, Interfacial Tension and pH
2.5. Isolation of Biosurfactant
2.6. Determination of Critical Micelle Concentration (CMC)
2.7. Determination of the Stability of the Biosurfactant
2.8. Determination of the Biochemical Composition of the Biosurfactant
2.9. Determination of the Ionic Charge of Biosurfactant and Oil Viscosity Determination
2.10. Toxicity Assay
2.11. Application of Biosurfactant to Remove Spilled Oils from Polluted Marine Sand
3. Results and Discussion
3.1. Biosurfactant Production through Hemolysis Formation by C. echinulate
3.2. Determination of the Surface Tension, Interfacial Tension and pH
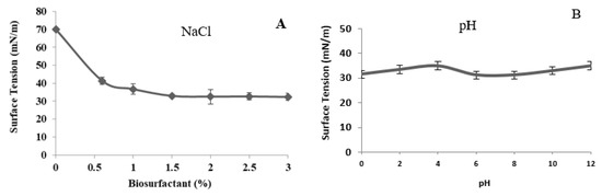
3.3. Stability Studies
3.4. Surface Tension Reduction and Critical Micelle Concentration (CMC) of the Biosurfactant
3.5. Yield, Ionic Charge and Preliminary Chemical Composition of the Biosurfactant
3.6. Biosurfactant Toxicity
3.7. Effect of the Biosurfactant on Viscosity
3.8. Application of Biosurfactant to the Removal of a Hydrophobic Contaminant Adsorbed in a Sand Beach
4. Conclusions
Author Contributions
Funding
Acknowledgments
Conflicts of Interest
References
- Lima, R.A.; Andrade, R.F.S.; Rodriguez, D.M.; Araujo, H.W.C.; Santos, V.P.; Campos-Takaki, G.M. Production and characterization of biosurfactant isolated from Candida glabrata using renewable substrates. Afr. J. Microbiol. Res. 2017, 11, 237–244. [Google Scholar]
- Banat, I.M.; Satpute, S.K.; Cameotra, S.S.; Patil, R.; Nyayanit, V. Cost effective technologies and renewable substrates for biosurfactants’ production. Front. Microbiol. 2014, 5, 1–18. [Google Scholar] [CrossRef] [PubMed]
- Rubio-Ribeaux, D.; Andrade, R.F.S.; Silva, G.S.; Holanda, R.A.; Pele, M.A.; Nunes, P.; Junior, J.C.V.; Campos-Takaki, G.M. Promising biosurfactant produced by a new Candida tropicalis UCP 1613 strain using substrates from renewable-resources. Afr. J. Microbiol. Res. 2017, 11, 981–991. [Google Scholar]
- Shavandi, M.; Mohebali, G.; Haddadi, A.; Shakarami, H.; Nuhi, A. Emulsification potential of a newly isolated biosurfactant-producing bacterium, Rhodococcus sp. strain TA6. Colloids Surf. B 2011, 82, 477–482. [Google Scholar] [CrossRef] [PubMed]
- Chen, C.; Sun, N.; Li, D.; Long, S.; Tang, X.; Xiao, G.; Wang, L. Optimization and characterization of biosurfactant production from kitchen waste oil using Pseudomonas aeruginosa. Environ. Sci. Pollut. Res. 2018, 25, 14934–14943. [Google Scholar] [CrossRef] [PubMed]
- Partovi, M.; Lotfabad, T.B.; Roostaazad, R.; Bahmaei, M.; Tayyebi, S. Management of soybean oil refinery wastes through recycling them for producing biosurfactant using Pseudomonas aeruginosa MR01. World J. Microbiol. Biotechnol. 2013, 29, 1039–1047. [Google Scholar] [CrossRef] [PubMed]
- Aulwar, U.; Awasthi, R.S. Production of Biosurfactant and their Role in Bioremediation. J. Ecosys Ecograph 2016, 6, 1–5. [Google Scholar] [CrossRef]
- Santos, D.K.F.; Resende, A.H.M.; Almeida, R.C.; Soares da Silva, F.; Rufino, R.D.; Luna, J.M.; Banat, I.M.; Sarubbo, L.A. Candida lipolytica UCP0988 biosurfactant: Potential as a bioremediation agent and in formulating a commercial related product. Front. Microbiol. 2017, 8, 1–11. [Google Scholar] [CrossRef] [PubMed]
- Perfumo, A.; Banat, I.M.; Marchant, R. Going green and cold: Biosurfactants from low-temperature environments to biotechnology applications. Trends Biotechnol. 2018, 36, 227–289. [Google Scholar] [CrossRef] [PubMed]
- Andrade, R.F.S.; Antunes, A.A.; Lima, R.A.; Araújo, H.W.; Resende-Stoianoff, M.A.; Franco, L.O.; Campos-Takaki, G.M. Enhanced Production of an Glycolipid Biosurfactant Produced by Candida glabrata UCP/WFCC1556 for Application in Dispersion and Removal of Petroderivatives. Int. J. Cur. Microbiol. Appl. Sci. 2015, 4, 563–576. [Google Scholar]
- Cameotra, S.S.; Makkar, R.S. Biosurfactant-enhanced bioremediation of hydrophobic pollutants. Pure Appl. Chem. 2010, 82, 97–116. [Google Scholar] [CrossRef]
- Grbavčić, S.; Marković, D.; Rajilić-Stojanović, M.; Antov, M.; Šćiban, M.; Karadžić, I.; Knežević-Jugović, Z. Development of an environmentally acceptable detergent formulation for fatty soils based on the lipase from the indigenous extremophile Pseudomonas aeruginosa strain. J. Surfact. Deterg. 2015, 18, 383–395. [Google Scholar]
- Almeida, D.G.; Soares da Silva, R.C.F.; Brasileiro, P.P.F.; Luna, J.M.; Silva, M.G.C.; Rufino, R.D.; Costa, A.F.S.; Santos, V.A.; Sarubbo, L.A. Application of a Biosurfactant from Candida tropicalis UCP 0996 Produced in Low-Cost Substrates for Hydrophobic Contaminants Removal. Chem. Eng. Trans. 2018, 64, 1–6. [Google Scholar]
- Pele, M.A.; Montero-Rodriguez, D.; Rubio-Ribeaux, D.; Souza, A.F.; Luna, M.A.C.; Santiago, M.F.; Andrade, R.F.S.; Silva, T.A.L.; Santiago, A.L.C.M.A.; Campos-Takaki, G.M. Development and improved selected markers to biosurfactant and bioemulsifier production by Rhizopus strains isolated from Caatinga soil. Afr. J. Biotechnol. 2018, 17, 150–157. [Google Scholar]
- Silva, V.; Correa, P.F.; Almeida, D.G.; Luna, J.M.; Rufino, R.D.; Sarubbo, L.A. Recovery of contaminated marine environments by biosurfactant-enhanced bioremediation. Colloids Surf. B 2018, 72, 127–135. [Google Scholar] [CrossRef] [PubMed]
- Mao, X.; Jiang, R.; Xiao, W.; Yu, J. Use of surfactants for the remediation of contaminated soils: A review. J. Hazard. Mater. 2015, 285, 419–435. [Google Scholar] [CrossRef] [PubMed]
- Mahanti, P.; Kumar, S.; Patra, J.K. Biosurfactants: An Agent to Keep Environment Clean. In Microbial Biotechnology; Das, G., Ed.; Springer: Singapore, 2017; pp. 413–428. [Google Scholar]
- Karlapudi, A.P.; Venkateswarulu, T.C.; Tammineedi, J.; Kanumuri, L.; Ravuru, B.K.; Dirisala, V.R.; Kodali, V.P. Role of biosurfactants in bioremediation of oil pollution-a review. Petroleum 2018, 3, 241–249. [Google Scholar] [CrossRef]
- Oje, A.O.; Okpashi, V.E.; Uzor, J.C.; Uma, U.O.; Irogbolu, A.O.; Onwurah, I.N.E. Effect of Acid and Alkaline Pretreatment on the Production of Biosurfactant from Rice Husk Using Mucor indicus. Res. J. Environ. Toxicol. 2016, 10, 60–67. [Google Scholar] [CrossRef][Green Version]
- Mulligan, C.N.; Cooper, D.G.; Neufeld, R.J. Selection of microbes producing biosurfactants in media without hydrocarbons. J. Ferm. Technol. 1984, 62, 311–314. [Google Scholar]
- Derguine-Mecheri, L.; Kebbouche-Gana, S.; Khemili-Talbi, S.; Djenane, D. Screening and biosurfactant/bioemulsifier production from a high-salt-tolerant halophilic Cryptococcus strain YLF isolated from crude oil. J. Petroleum Sci. Engin. 2018, 161, 712–724. [Google Scholar] [CrossRef]
- Kuyukina, M.S.; Ivshina, I.B.; Philp, J.C.; Christofi, N.; Dunbar Ritchkov, S.A.; Ritchkov, M.I. Recovery of Rhodococcus biosurfactants using methyl tertiary-butyl ether extraction. J. Microbiol. Methods 2001, 46, 109–120. [Google Scholar] [CrossRef]
- Barros, F.F.C.; Quadros, C.P.; Pastore, G.M. Studies of emulsifying properties and stability of the biosurfactant produced by Bacillus subtilis in cassava wastewater. Food Sci. Technol. 2008, 28, 979–985. [Google Scholar] [CrossRef]
- Manocha, M.S.; San-Blas, G.; Centeno, S. Lipid composition of Paracciodioids brasilienses: Possible correlation winter virulence of different strains. Microbiolgy 1980, 117, 147–154. [Google Scholar] [CrossRef] [PubMed]
- Dubois, M.; Gilles, K.A.; Hamilton, J.K.; Rebers, P.A.; Smith, F. Colorimetric method for determination of sugars and related substances. Anal. Chem. 1956, 29, 350–356. [Google Scholar] [CrossRef]
- Meyer, B.N.; Ferrigni, N.R.; Putnam, J.E.; Jacobsen, J.B.; Nichols, D.E.; Mclaughlin, J.L. Brine shrimp; a convenient general bioassay for activeplant constituents. Planta Med. 1982, 45, 31–34. [Google Scholar] [CrossRef] [PubMed]
- Nitschke, M.; Pastore, G.M. Biosurfactantes: Propriedades e aplicações. Quim. Nova 2002, 25, 772–776. [Google Scholar] [CrossRef]
- Banat, I.M. The isolation of a thermophilic biosurfactant-producing Bacillus species. Biotechnol. Lett. 1993, 6, 591–594. [Google Scholar] [CrossRef]
- Yonebayashi, H.; Yoshida, S.; Ono, K.; Enomoto, H. Screening of microorganisms for microbial enhanced oil recovery process. Sekiyu Gakkaishi 2000, 43, 59–69. [Google Scholar] [CrossRef]
- Haba, E.; Espuny, M.J.; Busquets, M.; Manresa, A. Screening and Production of Rhamnolipids by Pseudomonas aeruginosa 47T2 NCIB 40044 from Waste Frying Oils. J. Appl. Microbiol. 2000, 88, 379–387. [Google Scholar] [CrossRef] [PubMed]
- Zhou, Q.H.; Kosaric, N. Utilization of canola oil and lactose to produce biosurfactant with Candida bombicola. J. Am. Oil Chem. Soc. 1995, 72, 67–71. [Google Scholar] [CrossRef]
- Rufino, R.D.; Sarubbo, L.A.; Neto, B.B.; Campos-Takaki, G.M. Experimental design for the production of tensio-active agent by Candida lipolytica. J. Ind. Microbiol. Biotechnol. 2008, 35, 907–914. [Google Scholar] [CrossRef] [PubMed]
- Sarubbo, L.A.; Luna, J.M.; Campos-Takaki, G.M. Production and stability studies of the bioemulsifier obtained from a new strain of Candida glabrata UCP 1002. Electron. J. Biotechnol. 2006, 9, 400–406. [Google Scholar]
- Shepherd, R.; Rockey, J.; Shutherland, I.W.; Roller, S. Novel bioemulsifier from microorganisms for use in food. J. Biotechnol. 1995, 40, 207–217. [Google Scholar] [CrossRef]
- Gallert, C.; Winter, J. Solid and liquid residues as raw materials for biotechnology. Naturwissenschaften 2002, 89, 483–496. [Google Scholar] [CrossRef] [PubMed]
- Cardinal, E.V.; Hedrick, L.R. Microbiological assay of corn steep liquor for amino acid content. J. Biol. Chem. 1948, 172, 609–612. [Google Scholar] [PubMed]
- Akhtar, M.; Lentz, M.J.; Blanchette, R.A.; Kirk, T.K. Corn steep liquor lowers the amount of inoculum for biopulping. Tappi J. 1997, 80, 161–164. [Google Scholar]
- Kim, S.H.; Lim, E.J.; Lee, S.O.; Lee, J.D.; Lee, T.H. Purification and characterization of biosurfactants from Nocardia sp. L-417. Biotechnol. Appl. Biochem. 2000, 31, 249–253. [Google Scholar] [CrossRef] [PubMed]
- Makkar, R.S.; Cameotra, S.S. Production of biosurfactant at mesophilic and thermophilic conditions by a strain of Bacillus subtillis. J. Microbiol. Biotechnol. 1998, 20, 48–52. [Google Scholar] [CrossRef]
- Cirigliano, M.C.; Carman, G.M. Isolation of a bioemulsifier from Candida lipolytica. Appl. Environ. Microbiol. 1984, 48, 747–750. [Google Scholar] [PubMed]
- Ramnani, P.; Kumar, S.S.; Gupta, R. Concomitant production and downstream processing of alkaline protease and biosurfactant from Bacillus licheniformis RG1: Bioformulation as detergent additive. Process Biochem. 2005, 40, 3352–3359. [Google Scholar] [CrossRef]
- Patil, J.R.; Chopade, B.A. Studies on bioemulsifier production by Acinetobacter strains isolated from healthy human skin. J. Appl. Microbiol. 2001, 91, 290–298. [Google Scholar] [CrossRef] [PubMed]
- Pornsunthorntawee, O.; Wongpanit, P.; Chavadej, S.; Abe, M.; Rujiravanit, R. Structural and physicochemical characterization of crude biosurfactant produced by Pseudomonas aeruginosa SP4 isolated from petroleum-contaminated soil. Bioresour. Technol. 2008, 99, 1589–1595. [Google Scholar] [CrossRef] [PubMed]
- Satpute, S.K.; Banpurkar, A.G.; Dhakephalkar, P.K.; Banat, I.M.; Chopade, B.A. Methods for investigating biosurfactants and bioemulsifiers: A review. Crit. Rev. Biotechnol. 2010, 30, 127–144. [Google Scholar] [CrossRef] [PubMed]
- Sen, R. Biotechnology in petroleum recovery: The microbial EOR. Prog. Energ. Comb. Sci. 2008, 34, 714–724. [Google Scholar] [CrossRef]






| Factors | Factorial Design | ||||
|---|---|---|---|---|---|
| Levels | |||||
| −1.41 | −1 | 0 | +1 | +1.41 | |
| Corn Steep Liquor—CSL (% v/v) | 3.1718 | 4 | 6 | 8 | 8.8282 |
| Soybean Oil Waste—SOW (% v/v) | 0.5859 | 1 | 2 | 3 | 3.4141 |
| Conditions | Components Culture Medium | Surface Tension (mN/m) | pH | |
|---|---|---|---|---|
| Corn Steep Liquor (%) | Soybean Oil After Frying (%) | |||
| 1 | 8 | 3 | 32.8 | 6.5 |
| 2 | 4 | 3 | 35.5 | 6.0 |
| 3 | 8 | 1 | 37.7 | 6.5 |
| 4 | 4 | 1 | 40.5 | 5.5 |
| 5 | 8.82 | 2 | 31.7 | 6.5 |
| 6 | 6 | 0.58 | 48.9 | 6.0 |
| 7 | 3.17 | 2 | 46.6 | 5.6 |
| 8 | 6 | 3.4141 | 33.3 | 6.5 |
| 9 | 6 | 2 | 44.7 | 5.5 |
| 10 | 6 | 2 | 45.7 | 6.0 |
| 11 | 6 | 2 | 44.6 | 6.5 |
| 12 | 6 | 2 | 45.8 | 6.0 |
| Hydrophobic Substrates | Absence of Biosurfactant | Presence of Biosurfactant | ||
|---|---|---|---|---|
| (%) | (cP) | (%) | (cP) | |
| Engine oil | 736.6 ± 1.3 | 59.9 ± 0.5 | 46.9 ± 0.6 | 38.2 ± 0.9 |
| Engine burning oil | 148.9 ± 1.8 | 48.3 ± 0.5 | 46.9 ± 0.8 | 38.2 ± 1.0 |
| Diesel | 154.1 ± 1.3 | 25.1 ± 0.3 | 2.09 ± 1.6 | 1.70 ± 0.4 |
| Canola oil | 374.0 ± 1.5 | 60.8 ± 0.9 | 35.4 ± 1.9 | 28.8 ± 1.5 |
| Soybean waste oil | 380.1 ± 1.2 | 61.9 ± 1.0 | 21.6 ± 0.2 | 17.6 ± 1.3 |
| Distilled water (control) | 0.960 ± 0.8 | 0.90 ± 0.2 | 37.2 ± 0.6 | 30.3 ± 1.9 |
| Types of Oils | Biosurfactant CMC (%) | Control (Distilled Water) (%) |
|---|---|---|
| Soybean waste oil | 40.0 ± 0.6 | 44.0 ± 0.9 |
| Diesel | 98.7 ± 0.2 | 12.5 ± 1.2 |
| Kerosene | 92.3 ± 0.3 | 27.0 ± 0.8 |
| Engine oil | 44.0 ± 0.8 | 35.0 ± 0.6 |
© 2018 by the authors. Licensee MDPI, Basel, Switzerland. This article is an open access article distributed under the terms and conditions of the Creative Commons Attribution (CC BY) license (http://creativecommons.org/licenses/by/4.0/).
Share and Cite
De Souza, P.M.; Andrade Silva, N.R.; Souza, D.G.; Lima e Silva, T.A.; Freitas-Silva, M.C.; Andrade, R.F.S.; Silva, G.K.B.; Albuquerque, C.D.C.; Messias, A.S.; Campos-Takaki, G.M. Production of a Biosurfactant by Cunninghamella echinulata Using Renewable Substrates and Its Applications in Enhanced Oil Spill Recovery. Colloids Interfaces 2018, 2, 63. https://doi.org/10.3390/colloids2040063
De Souza PM, Andrade Silva NR, Souza DG, Lima e Silva TA, Freitas-Silva MC, Andrade RFS, Silva GKB, Albuquerque CDC, Messias AS, Campos-Takaki GM. Production of a Biosurfactant by Cunninghamella echinulata Using Renewable Substrates and Its Applications in Enhanced Oil Spill Recovery. Colloids and Interfaces. 2018; 2(4):63. https://doi.org/10.3390/colloids2040063
Chicago/Turabian StyleDe Souza, Patrícia Mendes, Nadielly R. Andrade Silva, Daniele G. Souza, Thayse A. Lima e Silva, Marta C. Freitas-Silva, Rosileide F. S. Andrade, Grayce K. B. Silva, Clarissa D. C. Albuquerque, Arminda Saconi Messias, and Galba M. Campos-Takaki. 2018. "Production of a Biosurfactant by Cunninghamella echinulata Using Renewable Substrates and Its Applications in Enhanced Oil Spill Recovery" Colloids and Interfaces 2, no. 4: 63. https://doi.org/10.3390/colloids2040063
APA StyleDe Souza, P. M., Andrade Silva, N. R., Souza, D. G., Lima e Silva, T. A., Freitas-Silva, M. C., Andrade, R. F. S., Silva, G. K. B., Albuquerque, C. D. C., Messias, A. S., & Campos-Takaki, G. M. (2018). Production of a Biosurfactant by Cunninghamella echinulata Using Renewable Substrates and Its Applications in Enhanced Oil Spill Recovery. Colloids and Interfaces, 2(4), 63. https://doi.org/10.3390/colloids2040063
