Next Article in Journal
Measuring Inner Layer Capacitance with the Colloidal Probe Technique
Next Article in Special Issue
Synthesis of Submicrocontainers with “Green” Biocide and Study of Their Antimicrobial Activity
Previous Article in Journal
Production of a Biosurfactant by Cunninghamella echinulata Using Renewable Substrates and Its Applications in Enhanced Oil Spill Recovery
Previous Article in Special Issue
Low Pressure Hysteresis in Materials with Narrow Slit Pores
 
 
Font Type:
Arial Georgia Verdana
Font Size:
Aa Aa Aa
Line Spacing:
Column Width:
Background:
Article

Rheology of Water-in-Crude Oil Emulsions: Influence of Concentration and Temperature

by
Daria S. Kolotova
*,
Yuliya A. Kuchina
,
Lyudmila A. Petrova
,
Nicolay G. Voron’ko
and
Svetlana R. Derkach
Murmansk State Technical University, Sportivnaya 13, 183010 Murmansk, Russia
*
Author to whom correspondence should be addressed.
Colloids Interfaces 2018, 2(4), 64; https://doi.org/10.3390/colloids2040064
Submission received: 29 September 2018 / Revised: 22 November 2018 / Accepted: 22 November 2018 / Published: 26 November 2018

Abstract

The effect of aqueous phase content and temperature North Sea crude oil emulsion viscoelastic behavior has been studied. Heavy crude oil from the North Sea is of high viscosity and is capable of forming stable water-in-crude oil (w/o) emulsions without introducing any synthetic surfactants. The aqueous phase volume content was varied from 1 to 40%, and the temperature was varied from 0 to 30 °C. The w/o emulsion viscosity increased sharply when the aqueous phase content exceeds 20%, being more pronounced at the lower temperatures. The viscosity flow curves for emulsions containing more than 20% aqueous phase demonstrate non-Newtonian behavior, in contrast to crude oil, which is Newtonian. The coefficients in the master curve describing the viscosity-temperature dependence were determined. Oscillatory rheological tests showed that the loss modulus substantially exceeds the storage modulus which indicates the liquid-like state of the emulsions.

1. Introduction

Water-in-crude oil (w/o) emulsions are formed during the stages of crude oil processing and transportation from the mixtures of crude oil and water contained in the reservoir (the content of water may be increased towards the end of reservoir life) [1]. The intensive mechanical actions: agitation, mixing, stirring, etc. in the wellbore, pipes, pumps, chokes, and valves result in formation of w/o emulsions from two immiscible liquid phases. Water-in-oil emulsions are one of the major problems in the petroleum industry has to deal with during recovery, treatment, and transportation of crude oil [2,3]. The presence of emulsions reduces the quality of crude oil. Moreover, emulsions affect general flow behavior of the fluid and can lead to significant flow assurance problems [4,5,6,7]. Formation of water-in-crude oil emulsions is a serious challenge for the oil industry as they can be very stable because of the presence of asphaltenes [8,9,10] and components of the maltene part of oil like resins, naphthenic acids, etc. which act as natural surfactants and stabilizers [11,12,13,14]. Moreover crude oil may also contain interfacial active solid particles such as silica, clay, iron oxides, etc. which can form resistant films at the water/oil interface and lead to increased w/o emulsion stability [15,16].
Emulsions of water in crude oil cause flow resistance in particular in the Arctic thermal conditions due to very complex fluid rheology [5]. Moreover, the presence of emulsions in flow leads to higher pressure drop [6,7], indicating higher energy loss as higher pumping energy is needed in order to maintain the desired mass flow rate. Since the formation of emulsions is inevitable and they bring many serious problems to the oil industry, an interest in studying emulsions is understandable. In the petroleum industry the rheological properties of water-in-crude oil emulsions are significant for modeling energy requirements, technological process equipment and pipeline design as well as flow quality assessment during transportation. In this regard, the study of the rheological behavior of emulsions, including its viscosity properties during shear flow is of great importance.
A lot of studies have been devoted to the rheological behavior of water-in-crude oil emulsions (see, for example [17,18,19,20,21,22]) to better understand these complex systems [23,24] including the role of surfactants and stabilizers [25] and chemical composition of crude oil [26] and droplet size [27]. Viscous and viscoelastic properties depend on many factors such as the viscosity of the crude oil itself, droplet size and size distribution, mechanical impurities if any, dispersed phase (water) content, pH of the aqueous phase, the temperature etc. One of the important issues is pipeline flow properties of water-in-crude oil emulsions (see, for example [5,7,28]). The pipeline flow measurements indicate the pressure gradients in the pipeline increase as a function of aqueous phase volume fraction and flow rate [6].
However, most studies have been carried out for emulsions with a fairly high content of the aqueous phase (starting from 10% and higher) and at sufficiently high shear rates (more than 0.1 or 10 s−1). At the same time, there are practically no works devoted to the rheological properties of emulsions with a low content of the aqueous phase which is important in case of low water cuts.
There are limited data on rheological properties of water-in-crude oil emulsions especially at low temperatures that are extremely important when dealing with heavy and extra-heavy crude oil in the far north regions, especially offshore crude oil production with a water temperature of about 4 °C. It is necessary to take into account that northern ecosystems are inherently vulnerable to a range of ecological risks (in particular, marine toxicity), influencing fish spawning, avian habitat, vegetation health and mammalian welfare because of cold climatic conditions and concomitant slow biodegradation.
This research considers the rheological behavior of stable water-in-oil emulsions based on a North Sea heavy crude oil. The major aim of the current study is to examine the effect of water content, including very low values, on viscous and viscoelastic properties of inverse emulsions for a wide range of temperatures. The rheological properties were examined using controlled stress rheometry at a wide range of aqueous phase volume fractions from 0.01 to 0.40 and shear rates from 10−2 to 102 s−1 and temperatures from 0 to 30 °C.

2. Materials and Methods

2.1. Materials

The dewatered acidic North Sea crude oil was used in this study. For this crude oil the total acid number (TAN) was 2.15 ± 0.02 mg KOH/g, the density was 0.934 ± 0.001 g/cm3 at 20 °C and the API gravity was 19. This sample of heavy crude oil was characterized [29] into saturates (37.4 ± 0.5 wt%), aromatics (44.1 ± 0.5 wt%), resins (16.1 ± 0.6 wt%), and asphaltenes (2.54 ± 0.03 wt%) with respect to ASTM D2007 standard SARA (Saturates, Aromatics, Resins and Asphaltenes) analysis [30]. The composition of the maltene part of crude oil was determined by gas chromatography-mass spectrometry (GC/MS, Figure 1) using Thermo Focus DSQ II system (Thermo Fisher Scientific, Austin, TX USA). The analytical data are presented in Table 1. Distilled water with a conductivity of 18.2 MΩ cm−1 at 25 °C was used.
The rheology of the North Sea crude oil samples is near-Newtonian. The oil sample is characterized by Newtonian viscosity without any non-Newtonian effects in a wide range of temperature that is typical for heavy oils [21,31]. The viscosity is 317 mPa s at 20 °C. It is well known that the viscosity sharply increases as the temperature decreases [21] as Figure 2 demonstrates for the North Sea oil sample. The formation of water-in-crude oil emulsions as a result of mixing of oil and water in any oil production conditions can lead to an additional increase in the viscosity and, accordingly, additional difficulties in oil transportation especially at low temperatures.

2.2. Methods

2.2.1. Emulsion Preparation

Inverse water-in-oil (w/o) emulsions were prepared using the following procedure. The defined volume of water was gradually added to the crude oil at the constant mixing at 8000 rpm for 5 min by using an Ultra-Turrax T25 Digital IKA equipped with a S25N18G shaft. The aqueous phase volume fraction (φ) used was 1, 5, 10, 20, 30 and 40%. Emulsions were prepared at the ambient temperature (23 ± 1 °C). The natural surfactants (i.e., asphaltenes and resins, etc.) which are contained in crude oil are responsible for the formation of stable w/o emulsions. Synthetic surfactants as stabilizers were not introduced into the systems.

2.2.2. Determination of Droplet Sizes

An optical microscope CX43 (Olympus, Japan) is used to obtain visual images of the prepared emulsion samples immediately after emulsification at 40X amplification. Cover glasses were not placed on the samples. The digital images were analyzed by Image-Pro Plus 4.5 software (Media Cybernetics) in order to obtain mean droplet size.
Droplet size distributions of the emulsion samples were measured using a 23 MHz low-field nuclear magnetic resonance (NMR) spectrometer MARAN Ultra (Oxfords instruments, UK). The methodology was developed by Opedal et al. [32]. Emulsions were analyzed at 25.00 ± 0.01 °C after preparation without requiring dilution or spreading.

2.2.3. Rheological Properties of w/o Emulsions

Rheological properties of water-in-crude oil emulsions were measured using a Physica MCR 302 (Anton Paar, Graz, Austria) rotational rheometer using the cone-and-plate working unit (diameter of a cone was 50 mm and angle between the cone base and the plate was 1 degree; the gap between the cone apex and plate was 0.100 mm).
Measurements were carried out at different temperatures (in the range of 0–30 °C) in the following deformation modes: shearing of a sample in the rate controlled ( γ ˙ ) or stress-controlled (σ) mode in the range of 10−2–102 s−1 and 0.05–100 Pa, respectively; viscosity scanning at increasing temperature at the rate of 1 K/min and γ ˙ = 50 s−1; periodic oscillations with varying amplitude (γ) at constant frequency ω = 6.28 s−1, the range of γ was 0.01–100%; periodic oscillations in the linear domain with varying frequency at constant amplitude γ = 0.1%, the range of ω was 0.1–100 s−1.

3. Results and Discussion

3.1. Dispersity of Emulsions

Figure 3 shows microscopic images of water-in-crude oil emulsions of different concentration obtained by optical microscopy. Micrographs were obtained immediately after emulsion preparation. The experimental data show that the mean droplet size for samples of emulsions with a concentration of 1 to 40% is of the order of 4 μm and is independent of the aqueous phase content in the emulsion.
Droplet size distributions of water-in-crude oil emulsions determined by NMR technique are presented in Figure 4. The droplet size distribution is demonstrated to locate in the range from 1 μm to 20 μm, with the average droplet size of approximately 4 μm, which agrees with the result obtained by the method of optical microscopy. NMR measurements also confirm that the average droplet size does not depend on aqueous phase content.
The drop size strongly affects the stability of the emulsion [33] against coalescence. In our previous works [34,35] the influence of droplet size and aqueous phase content on stability of water-in-crude oil emulsions (φ = 1–40%), which are the research objects of this work, has been studied by optical microscopy, NMR and Differential Scanning Calorimetry (DSC) techniques. It is found that the droplet size distribution and the mean droplet size can influence the emulsion stability. Moreover, the higher the dispersity of such systems, the more they are stable. It was proved that emulsions with the mean droplet diameter of 3–4 μm stay stable for at least a 96-hour test period without coalescence and phase separation.

3.2. Viscous Properties: Effect of Water Fraction and Temperature

Figure 3a,b demonstrate the flow curves for w/o emulsion samples at 30 and 0 °C, respectively. It has been shown that viscosity of crude oil and w/o emulsion samples with aqueous phase content of 1 and 5% is almost independent of the shear rate at high (30 °C) and low (0 °C) temperatures, i.e., these emulsions demonstrate Newtonian behavior (Figure 5a). Such behavior is typical for the North Sea heavy crude oil [36] that contains a very small amount of emulsified water (0.06 wt%) similar to many other heavy oils [21,31]. The w/o emulsion viscosity is shown to sharply increase when the aqueous phase volume fraction exceeds 20% (Figure 3).
Moreover, as the aqueous phase content increases (up to 20% at 30 °C and even to 10% at 0 °C), the emulsions are observed to exhibit shear thinning in the range of low shear rate (from 0.01 to 0.03 s−1). As the volume fraction of dispersed phase increases the inter-drop interactions lead to increasing friction, which causes the viscosity growth. In addition, at high aqueous phase content, shear thinning appears due to the close packing of dispersed droplets accompanied by the formation of aggregates in the continuous phase [36]. The deviation from the Newtonian behavior at low shear rates becomes more pronounced with decreasing temperature to 0 °C (Figure 5b).
Data presented in Figure 5 were obtained in the shear rate sweep experiment in the increasing shear rate sweep. These measurements were continued in the decreasing mode of shear rate sweep. The results of measurements obtained in both modes of deformation almost completely coincide showing only minor differences in the region of low shear rates. Thus, time effects (thixotropy or rheopexy) are not evident.
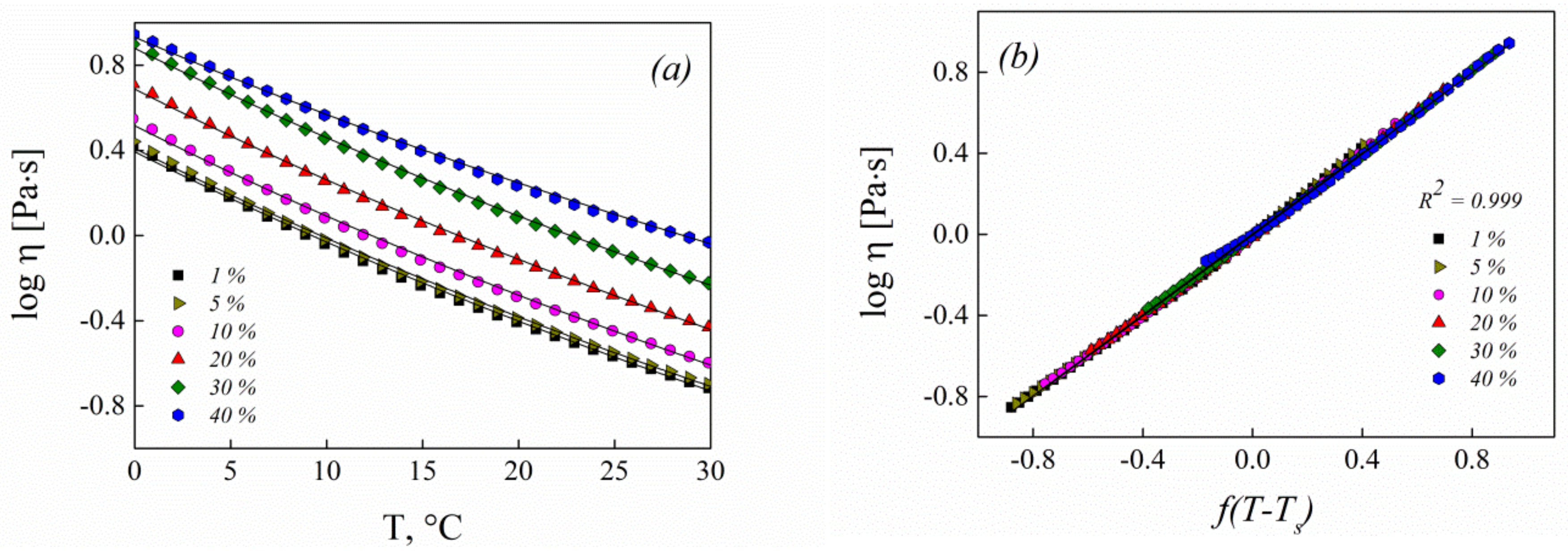
Figure 6a demonstrates the effect of temperature on viscosity of the emulsions with different aqueous phase content. As previously studied for w/o emulsions as well as crude oil (Figure 2), cooling rate does not have any effect on the viscosity of w/o emulsions in the wide range of temperature from 0 to 30 °C.
The temperature dependence of the viscosity of heavy oils can be successfully fitted by the well-known Williams-Landel-Ferry (WLF) equation [31] initially developed for glass-forming amorphous liquids [37]. To approximate the temperature dependence of the w/o emulsion viscosity the WLF equation was used:
l o g η ( T ) = l o g η s 8.86 ( T T s ) 101.6 + ( T T s )
where T is the temperature; Ts is a reference temperature chosen to construct the master curve, ηs is viscosity at a reference temperature (Ts); 8.86 and 101.6 are the average numerical coefficients in this equation. They are the same for a wide variety of amorphous liquids (including heavy oils) [37], which provide convenient possibilities for using this equation.
The values of Ts and log ηs as a result of approximation of the experimental data (Figure 6a) by Equation (1) are collected in Table 2.
Thus, the WLF equation allows estimating the shift factor for temperatures with respect to the temperatures at which the material was tested. The WLF equation adequately describes the temperature dependence of w/o emulsion viscosity in the wide temperature range with the regression coefficient (R2) of 0.999 for all emulsion samples, what can be seen from Figure 6b. The abscissa f(T-Ts) on Figure 6b is the argument of the right side of the Equation (1).
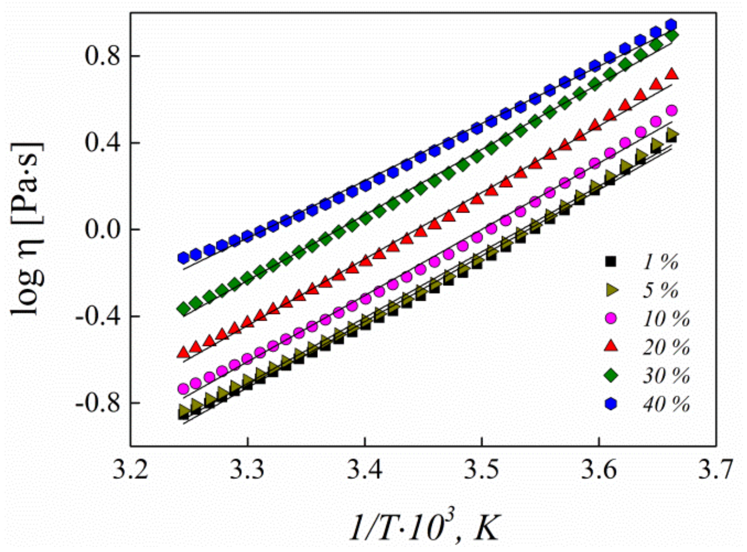
The Arrhenius relation, Equation (2), was also used to fit the rheology data of the water-in-crude oil emulsions to study the influence of temperature on viscosity [38]:
η = A e ( E a / R T )
where η is the apparent viscosity, A is the frequency factor, Ea denotes the activation energy, R is the ideal gas constant, and T is the temperature. For the emulsions under study, the Ea values lie in the range from 29.8 to 21.9 kJ·mol−1 and A from 3.0 × 10−6 to 1.6 × 10−4; R2 = 0.997.
This equation only appears applicable in the high temperature range. Deviations from a straight line begin to be observed near the temperature corresponding to approximately 0 °C (as seen in Figure 7), in the region of negative temperatures the equation is not applicable [31].
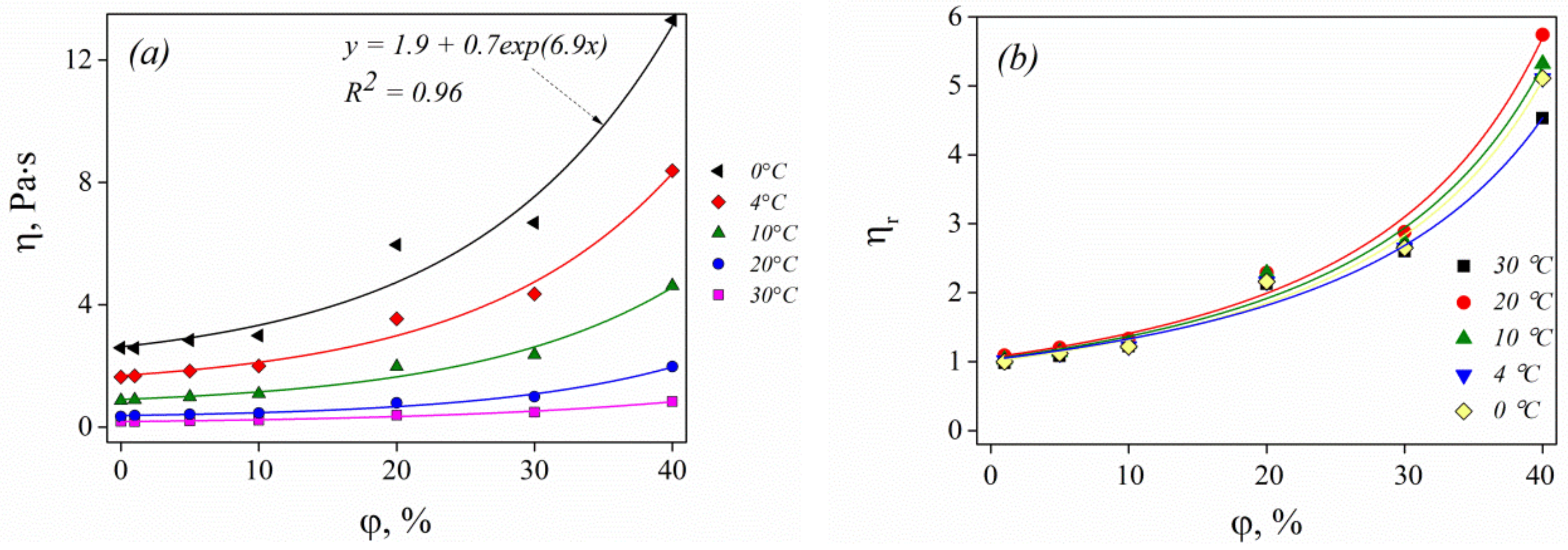
Moreover, emulsion viscosity exponentially grows with the aqueous phase content increasing by several orders of magnitude, at that the lower the temperature, the stronger this dependence appears (Figure 8). As an example, the potential equation is shown in Figure 8 for the emulsion at 0 °C. This model gives reasonable fitting of the experimental data which is confirmed by the amount of R2.
The viscosity of the continuous phase has a determining value on the emulsion viscosity [39]. However, the higher the content of the aqueous phase dispersed in oil, the less significant is the effect of the continuous oil phase viscosity on the emulsion viscosity. Herewith the relative viscosity (ηr) of the emulsions depends only on the aqueous phase content and is practically independent of temperature (Figure 8b).
Several equations have been to predict the relative viscosity of emulsions as a function of dispersed phase volume fraction [6,14,40]. The relative viscosities ηr(φ) of emulsions under study were adjusted with the classical model proposed by Krieger and Dougherty (KD equation):
η r = ( 1 φ φ m ) B φ m
where φ is aqueous phase volume fraction, φm is a parameter which corresponds to the densest possible packing for monodisperse spherical particles, B is the Einstein coefficient (shape factor). This equation is a popular approach for fitting to experimental data for suspensions and emulsions, in which case B and φm are considered to be fitting parameters [40]. The parameter φm corresponds to the limit of the closest packing of drops in the space and has a clear physical meaning in considering a possible structure of the suspension. For emulsions, this is an upper limit of the domain of intermediate concentrations. Reaching this limit, drops in emulsions can fill the space without changing their spherical shape.
The fitting parameters of KD relationship (Equation (3)) which was used to describe the water content dependence of viscosity (Figure 8b) are presented in Table 3. The parameter φm is to be obtained in the range from 0.62 to 0.65 which is in good agreement with a value for random close-packing of monodisperse particles obtained by numerical simulations [41] as well as the experimental data for various real emulsions [7,42]. The values of R2 are close to 1, confirming that mentioned model describe rather well the experimental data in the wide concentration range at different temperatures. Therefore it can predict the relative viscosities of the emulsions at various experimental conditions such as, different aqueous phase volume fraction, shear rate, and temperature.

3.3. Oscillatory Shear Rheology

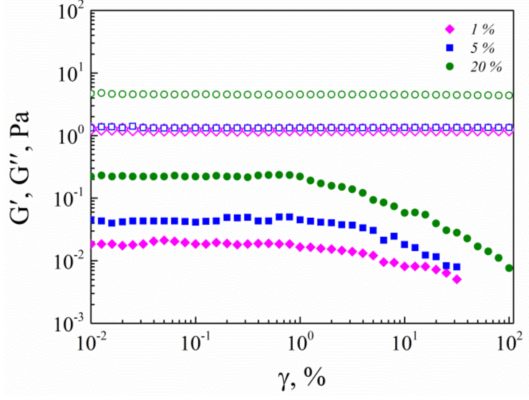
For emulsions, not only viscous but also viscoelastic properties are influenced by the content of dispersed phase. The viscoelastic properties of w/o emulsions are given by the amplitude of the dynamic modulus—storage modulus (G′) and loss modulus (G″) at 30 °C as the example in Figure 9.
It is shown that there is a long region of linear viscoelastic behavior on the amplitude dependences of the storage modulus of water-in-crude oil emulsions. It should be highlighted that the higher the aqueous phase content, the narrower the domain of the linear viscoelasticity. Furthermore, the loss modulus substantially exceeds the storage modulus even for temperatures close to 0 °C, which is typical for the liquid-like material state.
Figure 10 shows the frequency dependencies of the dynamic modulus obtained in the domain of linear viscoelasticity. G″ is seen to exceed G′ along the whole frequency range, which confirms that fluidity dominates over elasticity even at low temperatures. The difference between G′ and G″ decreases as aqueous phase volume fraction increases from 1 to 40% and temperature decreases.
It is seen that in the linear domain of viscoelastic behavior, frequency dependence of storage modulus is observed. This type of rheological behavior of all emulsion samples under study, i.e., the lack of a plateau as well as higher values of loss modulus as compared to storage modulus (Figure 10), is direct evidence of liquid-like state of emulsions under study [43].

4. Conclusions

The rheological behavior of water-in-crude oil emulsions in the wide range of aqueous phase volume content including very low values (from 1 to 40%) was studied in the wide range of temperature from 0 to 30 °C. We use high viscosity heavy crude oil from North Sea for preparing inverse emulsions. Stable emulsions with average droplet size of 4 μm are formed without any addition of synthetic surfactants. The heavy oil, in its rheological properties, is close to Newtonian fluids. The rheological properties of water-in-crude oil emulsions strongly depend on aqueous phase content and temperature. When the content of the aqueous phase is low and equal to 1, 5% (and even 10% at 0 °C), the emulsions exhibit the properties of Newtonian fluid with a viscosity similar to that of crude oil. As the aqueous phase content increases up to 20% (over the entire temperature range) and even to 10% (at 0 °C), the emulsions are observed to show shear thinning in the range of low shear rate from 0.01 to 0.03 s−1.
Emulsion viscosity grows more sharply than that of crude oil as the aqueous phase content increases and exceeds 20%. The lower the temperature, the stronger this dependence appears. The well-known model proposed by Krieger and Dougherty describes rather well the dependence of viscosity versus aqueous phase content in the wide concentration range at different temperatures. We presented rheological data for a wide range of temperatures including analysis using the Arrhenius and WLF equations. For all emulsions under study the dynamic measurements have shown that loss modulus (G″) substantially exceeds storage modulus (G′) in the whole range of frequencies from 10−1 to 102 s−1 and frequency dependence of the storage modulus is observed. These facts indicate that water-in-crude oil emulsions exhibit a liquid-like behavior even at low temperatures and high values of aqueous phase content.
Thus, the viscosity of heavy crude oil at low and room temperatures is quite high. Moreover, the formation of inverse w/o emulsions, e.g., with intensive mixing of crude oil and water in oil production conditions, leads to an increase in the viscosity of the system (especially when the aqueous phase content in the emulsion exceeds 20%), which can cause additional difficulties in transportation of oil.

Author Contributions

Investigation, D.S.K., Y.A.K. and L.A.P.; software, N.N.V.; supervision, S.R.D.; writing – original draft, D.S.K.; writing – review & editing, S.R.D.

Funding

The study was supported by The Russian Foundation for Basic Research, project №16-58-20008.

Acknowledgments

The authors are grateful to R.S. Borisov from Laboratory of Spectral Studies of Institute of Petrochemical Synthesis, Russian Academy of Sciences, for measuring chromate-mass spectrum of our sample (Figure 1).

Conflicts of Interest

The authors declare no conflict of interest.

References

  1. Schramm, L.L. Emulsions: Fundamentals and Applications in the Petroleum Industry; American Chemical Society: Washington, DC, USA, 1992. [Google Scholar]
  2. Wong, S.F.; Lim, J.S.; Dol, S.S. Crude oil emulsion: A review on formation, classification and stability of water-in-oil emulsions. J. Pet. Sci. Eng. 2015, 135, 498–504. [Google Scholar] [CrossRef]
  3. Langevin, D.; Poteau, S.; Hénaut, I.; Argillier, J.F. Crude Oil Emulsion Properties and their Application to Heavy Oil Transportation. Oil Gas Sci. Technol. 2004, 59, 511–521. [Google Scholar] [CrossRef]
  4. Lim, J.S.; Wong, S.F.; Law, M.C.; Samyudia, Y.; Dol, S.S. A review on the effects of emulsions on flow behaviours and common factors affecting the stability of emulsions. J. Appl. Sci. 2015, 15, 167–172. [Google Scholar] [CrossRef]
  5. Wong, S.F.; Dol, S.S.; Wee, S.K.; Han Bing Chua, H.B.; Wong, S.F. Miri light crude water-in-oil emulsions characterization–Rheological behaviour, stability and amount of emulsions formed. J. Pet. Sci. Eng. 2018, 165, 58–66. [Google Scholar] [CrossRef]
  6. Keleşoğlu, S.; Pettersen, B.H.; Sjöblom, J. Flow properties of water-in-North Sea heavy crude oil emulsions. J. Pet. Sci. Eng. 2012, 100, 14–23. [Google Scholar] [CrossRef]
  7. Omer, A.; Pal, R. Pipeline Flow Behavior of Water-in-Oil Emulsions with and without a Polymeric Additive. Chem. Eng. Technol. 2010, 33, 983–992. [Google Scholar] [CrossRef]
  8. Qiao, P.; Harbottle, D.; Tchoukov, P.; Wang, X.; Xu, Z. Asphaltene Subfractions Responsible for Stabilizing Water-in-Crude Oil Emulsions. Part 3. Effect of Solvent Aromaticity. Energy Fuels 2017, 31, 9179–9187. [Google Scholar] [CrossRef]
  9. Czarnecki, J.; Tchoukov, P.; Dabros, T.; Xu, Z. Role of asphaltenes in stabilisation of water in crude oil emulsions. Can. J. Chem. Eng. 2013, 91, 1365–1371. [Google Scholar] [CrossRef]
  10. Quintero, C.G.; Noïk, C.; Dalmazzone, C.; Grossiord, J.L. Formation Kinetics and Viscoelastic Properties of Water/Crude Oil Interfacial Films. Oil Gas Sci. Technol. Revue l’IFP 2009, 64, 607–616. [Google Scholar] [CrossRef]
  11. Umar, A.A.; Saaid, I.B.M.; Sulaimon, A.A.; Pilus, R.B.M. A review of petroleum emulsions and recent progress on water-in-crude oil emulsions stabilized by natural surfactants and solids. J. Pet. Sci. Eng. 2018, 165, 673. [Google Scholar] [CrossRef]
  12. Yin, X.; Kang, W.; Zhao, Y.; Liu, J.; Yang, H.; Dai, C.; Sarsenbekuly, B.; Aidarova, S.; Yang, L.; Yuan, H.; et al. Study on the indigenous stabilization mechanism of light crude oil emulsions based on an in situ solvent-dissolution visualization method. Colloids Surf. A Physicochem. Eng. Aspects 2017, 530, 155–163. [Google Scholar] [CrossRef]
  13. Subramanian, D.; May, N.; Firoozabadi, A. Functional Molecules and the Stability of Water-in-Crude Oil Emulsions. Energy Fuels 2017, 31, 8967–8977. [Google Scholar] [CrossRef]
  14. Ali, M.F.; Alqam, M.H. The Role of Asphaltenes, Resins and Other Solids in the Stabilization of Water in Oil Emulsions and its Effects on Oil Production in Saudi Oil Fields. Fuel 2000, 79, 1309–1316. [Google Scholar] [CrossRef]
  15. Sjöblom, J.; Aske, N.; Auflem, I.H.; Brandal, Ø.; Havre, T.E.; Sæther, Ø.; Westvik, A.; Johnsen, E.E.; Kallevik, H. Our current understanding of water-in-crude oil emulsions. Recent characterization techniques and high pressure performance. Adv. Colloid Interface Sci. 2003, 100, 399–473. [Google Scholar] [CrossRef]
  16. De Oliveira, M.C.K.; Carvalho, R.M.; Carvalho, A.B.; Couto, B.C.; Faria, F.R.D.; Cardoso, R.L.P. Waxy crude oil emulsion gel: Impact on flow assurance. Energy Fuels 2010, 24, 2287–2293. [Google Scholar] [CrossRef]
  17. Ariffin, T.S.T.; Yahya, E.; Husin, H. The rheology of light crude oil and water-in-oil-emulsion. Procedia Eng. 2016, 148, 1149–1155. [Google Scholar] [CrossRef]
  18. Ghannam, M.T.; Hasan, S.W.; Abu-Jdayil, B.; Esmail, N. Rheological properties of heavy & light crude oil mixtures for improving flow ability. J. Pet. Sci. Eng. 2012, 81, 122–128. [Google Scholar] [CrossRef]
  19. Zadymova, N.M.; Skvortsova, Z.N.; Traskine, V.Y.; Kulikov-Kostyushko, F.A.; Kulichikhin, V.G.; Malkin, A.Y. Rheological properties of heavy oil emulsions with different morphologies. J. Pet. Sci. Eng. 2017, 149, 522–530. [Google Scholar] [CrossRef]
  20. Keleşoğlu, S.; Ponce, A.B.; Sørland, G.H.; Simon, S.; Paso, K.; Sjöblom, J. Rheological properties of highly concentrated dense packed layer emulsions (w/o) stabilized by asphaltenes. J. Pet. Sci. Eng. 2015, 126, 1–10. [Google Scholar] [CrossRef]
  21. Hemmingsen, P.V.; Silset, A.; Hannisdal, A.; Sjöblom, J. Emulsions of heavy crude oils. I: Influence of viscosity, temperature, and dilution. J. Dispers. Sci. Technol. 2005, 26, 615–627. [Google Scholar] [CrossRef]
  22. Wong, S.F.; Law, M.C.; Samyudia, Y.; Dol, S.S. Rheology study of water-in crude oil emulsions. Chem. Eng. Trans. 2015, 45, 1411–1416. [Google Scholar] [CrossRef]
  23. De Oliveira, C.B.; Souza, W.J.; Santana, C.F.; Santana, C.C.; Dariva, C.; Franceschi, E.; Guarnieri, R.A.; Fortuny, M.; Santos, A.F. Rheological Properties of Water-in-Brazilian Crude Oil Emulsions: Effect of Water Content, Salinity, and pH. Energy Fuels 2018, 32, 8880–8890. [Google Scholar] [CrossRef]
  24. Shi, S.; Wang, Y.; Liu, Y.; Wang, L. A new method for calculating the viscosity of W/O and O/W emulsion. J. Pet. Sci. Eng. 2018, 171, 928–937. [Google Scholar] [CrossRef]
  25. Malkin, A.; Zuev, K.; Arinina, M.; Kulichikhin, V. Modifying the viscosity of crude heavy oil by using surfactants and polymer additives. Energy Fuels 2018. [Google Scholar] [CrossRef]
  26. Neto, D.M.C.; Sad, C.M.; Silva, M.; Santos, F.D.; Pereira, L.B.; Corona, R.R.; Silva, S.R.; Bassane, J.F.; Castro, E.V.; Filgueiras, P.R.; et al. Rheological study of the behavior of water-in-oil emulsions of heavy oils. J. Pet. Sci. Eng. 2018. [Google Scholar] [CrossRef]
  27. Pal, R. Effect of droplet size on the rheology of emulsions. AIChE Journal 1996, 42, 3181–3190. [Google Scholar] [CrossRef]
  28. Quintero, C.G.; Noïk, C.; Dalmazzone, C.; Grossiord, J.L. Modelling and characterisation of diluted and concentrated water-in-crude oil emulsions: Comparison with classical behaviour. Rheol. Acta 2008, 47, 417–424. [Google Scholar] [CrossRef]
  29. Rodionova, G.; Pettersen, B.; Kelesoğlu, S.; Sjöblom, J. Preparation and characterization of reference fluid mimicking behavior of North Sea heavy crude oil. Fuel 2014, 135, 308–314. [Google Scholar] [CrossRef]
  30. Hannisdal, A.; Hemmingsen, P.V.; Sjöblom, J. Group-type analysis of heavy crude oils using vibrational spectroscopy in combination with multivariate analysis. Ind. Eng. Chem. Res. 2005, 44, 1349–1357. [Google Scholar] [CrossRef]
  31. Ilyin, S.O.; Arinina, M.P.; Polyakova, M. Yu.; Kulichikhin, V.G.; Malkin, A. Ya. Rheological comparison of light and heavy crude oils. Fuel 2016, 186, 157–167. [Google Scholar] [CrossRef]
  32. Van der Tuuk Opedal, N.; Sørland, G.; Sjöblom, J.; AS, A.T. Methods for droplet size distribution determination of water-in-oil emulsions using low-field NMR. Diffus. Fundam. 2009, 7, 1–29. [Google Scholar]
  33. Mishchuk, N.A.; Sanfeld, A.; Steinchen, A. Interparticle interactions in concentrate water–oil emulsions. Adv. Colloid Interface Sci. 2004, 112, 129–157. [Google Scholar] [CrossRef] [PubMed]
  34. Kolotova, D.; Brichka, K.; Simonsen, G.; Simon, S.C.; Derkach, S.; Paso, K.G.; Sjöblom, J. Droplet crystallization in water-in-crude oil emulsions: Influence of salinity and droplet size. Energy Fuels 2017, 31, 7673–7681. [Google Scholar] [CrossRef]
  35. Derkach, S.R.; Kolotova, D.S.; Simonsen, G.; Simon, S.C.; Sjöblom, J.; Andrianov, A.V.; Malkin, A.Y. Kinetics of crystallization of aqueous droplets in water-in-crude oil emulsions at low temperatures. Energy Fuels 2018, 32, 2197–2202. [Google Scholar] [CrossRef]
  36. Tadros, T.F. Fundamental principles of emulsion rheology and their applications. Colloids Surf. A Physicochem. Eng. Aspects 1994, 91, 39–55. [Google Scholar] [CrossRef]
  37. Ferry, J.D. Viscoelastic Properties of Polymers, 3rd ed.; Wiley: New York, NY, USA, 1980. [Google Scholar]
  38. Rao, M.A. Rheological of Fluids and Semi Solids Foods: Principles and Applications; Aspen Publisher Inc.: Gaithersburg, MD, USA, 1999. [Google Scholar]
  39. Derkach, S.R. Rheology of emulsions. Adv. Colloid Interface Sci. 2009, 151, 1–23. [Google Scholar] [CrossRef] [PubMed]
  40. Mueller, S.; Llewellin, E.W.; Mader, H.M. The rheology of suspensions of solid particles. Proc. R. Soc. Lond. A 2010, 466, 1201–1228. [Google Scholar] [CrossRef]
  41. Rintoul, M.D.; Torquato, S. Computer simulations of dense hard-sphere systems. J. Chem. Phys. 1996, 105, 9258–9265. [Google Scholar] [CrossRef]
  42. Pal, R. Novel viscosity equations for emulsions of two immiscible liquids. J. Rheol. 2001, 45, 509. [Google Scholar] [CrossRef]
  43. Malkin, A.; Kulichikhin, V.; Ilyin, S. A modern look on yield stress fluids. Rheol. Acta 2017, 56, 177–188. [Google Scholar] [CrossRef]
Figure 1. Gas chromatography-mass spectrometry (GC/MS) spectrum of the maltene part of crude oil sample from the North Sea.
Figure 1. Gas chromatography-mass spectrometry (GC/MS) spectrum of the maltene part of crude oil sample from the North Sea.
Colloids 02 00064 g001
Figure 2. Temperature dependence of the North Sea crude oil viscosity under cooling and heating at a heating-cooling rate of 1 K/min.
Figure 2. Temperature dependence of the North Sea crude oil viscosity under cooling and heating at a heating-cooling rate of 1 K/min.
Colloids 02 00064 g002
Figure 3. Micrographs for water-in-crude oil (w/o) emulsions. Aqueous phase contents (φ) are shown in the picture.
Figure 3. Micrographs for water-in-crude oil (w/o) emulsions. Aqueous phase contents (φ) are shown in the picture.
Colloids 02 00064 g003
Figure 4. Droplet size distributions of w/o emulsions measured by nuclear magnetic resonance (NMR) at different aqueous phase volume fractions. Aqueous phase contents (φ) are shown.
Figure 4. Droplet size distributions of w/o emulsions measured by nuclear magnetic resonance (NMR) at different aqueous phase volume fractions. Aqueous phase contents (φ) are shown.
Colloids 02 00064 g004
Figure 5. Flow curves of water-in-crude oil emulsions obtained at 30 °C (a) and 0 °C (b). Aqueous phase volume fractions are presented on graphs.
Figure 5. Flow curves of water-in-crude oil emulsions obtained at 30 °C (a) and 0 °C (b). Aqueous phase volume fractions are presented on graphs.
Colloids 02 00064 g005
Figure 6. (a) Temperature dependence of w/o emulsions viscosity obtained at cooling rate of 1 K/min and γ ˙ = 50 s−1. Concentration of emulsions is shown on the graphs. Data approximated by the Williams-Landel-Ferry (WLF) equation are shown by black lines; (b) Temperature dependence of w/o emulsions viscosity plotted in the WLF equation coordinates.
Figure 6. (a) Temperature dependence of w/o emulsions viscosity obtained at cooling rate of 1 K/min and γ ˙ = 50 s−1. Concentration of emulsions is shown on the graphs. Data approximated by the Williams-Landel-Ferry (WLF) equation are shown by black lines; (b) Temperature dependence of w/o emulsions viscosity plotted in the WLF equation coordinates.
Colloids 02 00064 g006
Figure 7. Arrhenius plots for the w/o emulsions with different aqueous phase content. Points are experimental data.
Figure 7. Arrhenius plots for the w/o emulsions with different aqueous phase content. Points are experimental data.
Colloids 02 00064 g007
Figure 8. Viscosity (a) and relative viscosity (b) of w/o emulsions versus aqueous phase volume fraction at different temperatures. Points are experimental data. Lines are approximations by the exponential law (a) and the Krieger and Dougherty (KD) equation (b). γ ˙ = 10 s−1.
Figure 8. Viscosity (a) and relative viscosity (b) of w/o emulsions versus aqueous phase volume fraction at different temperatures. Points are experimental data. Lines are approximations by the exponential law (a) and the Krieger and Dougherty (KD) equation (b). γ ˙ = 10 s−1.
Colloids 02 00064 g008
Figure 9. Amplitude dependences of the storage modulus G′ (filled symbols) and loss modulus G″ (open symbols) at 30 °C, ω = 6.28 s−1. Aqueous phase volume fractions of emulsion are shown on the plot.
Figure 9. Amplitude dependences of the storage modulus G′ (filled symbols) and loss modulus G″ (open symbols) at 30 °C, ω = 6.28 s−1. Aqueous phase volume fractions of emulsion are shown on the plot.
Colloids 02 00064 g009
Figure 10. Frequency dependences of the storage modulus G′ (filled symbols) and loss modulus G″ (open symbols) obtained for w/o emulsions with aqueous phase content of 1% (a) and 30% (b). γ = 0.1%. Temperatures are shown on graphs.
Figure 10. Frequency dependences of the storage modulus G′ (filled symbols) and loss modulus G″ (open symbols) obtained for w/o emulsions with aqueous phase content of 1% (a) and 30% (b). γ = 0.1%. Temperatures are shown on graphs.
Colloids 02 00064 g010
Table 1. The content of main fractions in the maltene part of the North Sea crude oil.
Table 1. The content of main fractions in the maltene part of the North Sea crude oil.
Paraffins, wt%Naphthene fractions, wt%Aromatics, wt%
mono-bi-tri-tetra-penta-hexa-
10.558.9326.4017.1918.521.100.0017.32
Table 2. Constants of the WLF equation for water-in-crude oil emulsions.
Table 2. Constants of the WLF equation for water-in-crude oil emulsions.
φ, vol.%1510203040
log ηs2.86 ± 0.022.89 ± 0.022.98 ± 0.023.14 ± 0.013.38 ± 0.013.89 ± 0.02
Ts,°C−39.2 ± 0.5−39.6 ± 0.5−39.1 ± 0.5−38.3 ± 0.4−39.9 ± 0.5−50.9 ± 0.6
Table 3. Coefficients (B, φm) of the Krieger-Dougherty equation and the regression coefficient (R2) for fitting curves.
Table 3. Coefficients (B, φm) of the Krieger-Dougherty equation and the regression coefficient (R2) for fitting curves.
T, °C04102030
B1.00 ± 0.071.00 ± 0.040.97 ± 0.080.94 ± 0.070.97 ± 0.07
φm0.63 ± 0.030.63 ± 0.040.63 ± 0.040.62 ± 0.030.65 ± 0.03
R20.980.980.980.990.98

Share and Cite

MDPI and ACS Style

Kolotova, D.S.; Kuchina, Y.A.; Petrova, L.A.; Voron’ko, N.G.; Derkach, S.R. Rheology of Water-in-Crude Oil Emulsions: Influence of Concentration and Temperature. Colloids Interfaces 2018, 2, 64. https://doi.org/10.3390/colloids2040064

AMA Style

Kolotova DS, Kuchina YA, Petrova LA, Voron’ko NG, Derkach SR. Rheology of Water-in-Crude Oil Emulsions: Influence of Concentration and Temperature. Colloids and Interfaces. 2018; 2(4):64. https://doi.org/10.3390/colloids2040064

Chicago/Turabian Style

Kolotova, Daria S., Yuliya A. Kuchina, Lyudmila A. Petrova, Nicolay G. Voron’ko, and Svetlana R. Derkach. 2018. "Rheology of Water-in-Crude Oil Emulsions: Influence of Concentration and Temperature" Colloids and Interfaces 2, no. 4: 64. https://doi.org/10.3390/colloids2040064

APA Style

Kolotova, D. S., Kuchina, Y. A., Petrova, L. A., Voron’ko, N. G., & Derkach, S. R. (2018). Rheology of Water-in-Crude Oil Emulsions: Influence of Concentration and Temperature. Colloids and Interfaces, 2(4), 64. https://doi.org/10.3390/colloids2040064

Article Metrics

Back to TopTop