Next Article in Journal
Simple Approximate Relations for van der Waals Interaction Energy Between Spherical Particles of Different Radii and Variable Distances
Next Article in Special Issue
Biocompatible Emulsions Stabilized by Natural Silk Fibroin
Previous Article in Journal
Lipid-Based Colloidal Nanocarriers for Site-Specific Drug Delivery
Previous Article in Special Issue
Influence of Sodium Polystyrene Sulfonate on Surface Properties of Dispersions of Oat Globulin Fibrils
 
 
Font Type:
Arial Georgia Verdana
Font Size:
Aa Aa Aa
Line Spacing:
Column Width:
Background:
Article

Wetting Behavior of Cationic and Anionic Surfactants on Hydrophobic Surfaces: Surface Tension and Contact Angle Measurements

Department of Chemistry, Mahendra Morang Adarsh Multiple Campus, Tribhuvan University, Biratnagar 56613, Nepal
*
Author to whom correspondence should be addressed.
Colloids Interfaces 2026, 10(1), 8; https://doi.org/10.3390/colloids10010008
Submission received: 29 November 2025 / Revised: 3 January 2026 / Accepted: 4 January 2026 / Published: 8 January 2026
(This article belongs to the Special Issue State of the Art of Colloid and Interface Science in Asia)

Abstract

In this study, cationic surfactant cetyltrimethylammonium bromide (CTAB) and anionic surfactant sodium bis(2-ethylhexyl) sulfosuccinate (AOT) are employed to systematically investigate surface and wetting properties on hydrophobic surfaces, specifically in mixed solvents composed of ethylene glycol (EG) and water at 298.15 K. By varying the concentration of each surfactant within the EG–water mixture, both surface tension and contact angle measurements are performed to elucidate how surfactant type and solvent composition influence interfacial behavior and wettability. PTFE and wax surfaces were chosen as model hydrophobic surfaces. Surface tension measurements obtained in pure water and in water–EG mixtures containing 5, 10, and 20 volume percentage EG reveal a consistent decrease in the premicellar slope ( d γ d log C ) with increasing EG content. This reduction reflects weakened hydrophobic interactions and less effective surfactant adsorption at the air–solution interface. The corresponding decline in maximum surface excess ( Γ m a x ) and increase in minimum area per molecule ( A m i n ) confirm looser interfacial packing due to EG participation in the solvation layer. Plots of adhesion tension (AT) versus surface tension (γ) exhibit negative slopes, consistent with reduced solid–liquid interfacial tension ( Γ L G ) and greater redistribution of surfactant molecules toward the solid–liquid interface. AOT shows stronger sensitivity to EG compared to CTAB, reflecting structural headgroup-specific adsorption behavior. Work of adhesion (WA) measurements demonstrate enhanced wettability at higher EG concentrations, highlighting the cooperative impact of co-solvent environment and surfactant type on wetting phenomena.

Graphical Abstract

1. Introduction

Wetting is a fundamental interfacial phenomenon describing the interaction of liquids with solids, and it plays a crucial role in diverse scientific and technological processes such as coating, lubrication, detergency, inkjet printing, and drug delivery [1]. The degree of wetting is generally characterized by the contact angle (CA), defined as the angle between the liquid–vapor interface and the solid surface at the three–phase contact line [2,3]. According to Young’s equation, the equilibrium CA is determined by the balance of interfacial tensions at the solid–liquid, solid–vapor, and liquid–vapor interfaces. Hydrophilic surfaces typically exhibit low contact and angles (<90°), whereas hydrophobic surfaces display high contact angles (>90°), and superhydrophobic surfaces display high values exceeding 150°, indicating extreme repellency [4].
As described by the classical Wenzel and Cassie–Baxter models, physical factors such as surface roughness affect the wetting property. The Wenzel model suggests that when a liquid completely penetrates the roughness grooves, surface roughness amplifies the inherent wettability of the substrate, making hydrophilic surfaces more wettable and hydrophobic surfaces more water-repellent. In contrast, the Cassie–Baxter model describes situations where air pockets are trapped beneath the liquid, resulting in a composite interface that can lead to even higher contact angles and enhanced hydrophobicity [5].
Surfactant molecules are characterized by their distinct structural features: a hydrophilic (water-loving) headgroup and a hydrophobic (water-repellent) tail. This amphiphilic configuration allows surfactants to position themselves at interfaces, such as between a liquid and a solid, where their hydrophilic heads interact with the aqueous phase while the hydrophobic tails orient away. As a result, surfactants can effectively lower surface tension and adjust interfacial energies, enabling precise regulation of wettability. The ability of these molecules to adsorb at interfaces is central to their role in controlling wetting phenomena and underpins a wide variety of applications, from detergency to surface-coating technologies [3]. As the concentration of surfactant in solution increases, the surface tension of the liquid decreases steadily due to the accumulation of surfactant molecules at the liquid–air interface. This reduction continues up to a characteristic threshold known as the critical micelle concentration (CMC). Beyond the CMC, the surface tension levels off and remains nearly constant, indicating that the interface has become saturated with surfactant molecules. At this point, any additional surfactant added to the system aggregates to form micelles in the bulk solution rather than adsorbing at the interface, signifying the saturation of the liquid–air interface and the onset of micellization [6]. The slope of the surface tension versus the logarithm of surfactant concentration is a key parameter in the Gibbs adsorption isotherm, which effectively explains how surfactant molecules cover the interface. Specifically, the surface excess concentration, representing the amount of surfactant adsorbed per unit area, can be directly calculated from this slope. This relationship allows researchers to quantify the efficiency of surfactant adsorption and assess the packing density at the interface, providing valuable insight into interfacial phenomena.
This allows for direct calculation of the surface excess from experimental surface tension data, providing valuable insight into the efficiency of interfacial adsorption and the packing density of surfactant molecules at the interface.
Several studies have shown that surface tension reduction is not linear across all concentration ranges; significant decreases occur as interfacial coverage approaches saturation, underscoring the cooperative nature of adsorption at the air–water interface [7].
Cationic and anionic surfactants exhibit distinct surface and wetting properties due to differences in their molecular structures and the nature of their charged headgroups. Cetyltrimethylammonium bromide (CTAB), as a cationic surfactant, not only finds utility in drug formulations, corrosion protection, and nanoparticle synthesis, but also demonstrates a strong tendency to adsorb onto negatively charged or polar substrates, often leading to significant alterations in surface wettability [8,9]. In contrast, anionic surfactants like sodium bis(2-ethylhexyl) sulfosuccinate (AOT) typically interact more efficiently with hydrophobic or neutral surfaces, promoting different interfacial behaviors and spreading characteristics. The interplay between surfactant charge, substrate type, and solvent environment ultimately governs the efficiency of surface tension reduction and the degree of wettability enhancement observed in practical applications [10].
Their adsorption, aggregation, and spreading characteristics depend strongly on the nature of the substrate and the surrounding environmental conditions. For instance, quartz and glass surfaces have been used extensively to probe wettability and adsorption, showing that cationic surfactants can induce strong hydrophobization of otherwise hydrophilic surfaces [5,11]. In contrast, spreading on non-polar substrates such as paraffin wax and polytetrafluoroethylene (PTFE) requires significant surface tension reduction to overcome their inherently low surface energies [2].
Recent advancements in understanding surfactant-induced wetting behavior on hydrophobic surfaces have been driven by studies emphasizing dynamic, molecular, and surface-specific factors. Early work by Kwieciński et al. [12] highlighted the dynamic nature of surfactant interactions, revealing non-monotonic contact angle variations and hysteresis during droplet evaporation on hydrophobic substrates.
Shardt et al. [13] further investigated the effect of surface morphology, illustrating how it influences transitions between Cassie–Baxter and Wenzel states in the presence of surfactants. Huang et al. [14] elaborated on dynamic effects, highlighting the impact of adsorption at the wetting front and local depletion on microporous hydrophobic membranes.
Jiang et al. [15] focused on the molecular structure of surfactant, showing how branching and adsorption competition at interfaces significantly affect wettability. Bera et al. [16] introduced the concept of “antisurfactant” behavior, where superspreader solutions paradoxically increase contact angles, challenging traditional assumptions about surfactant-induced wetting. Ogunmokum and Wallach [17] examined infiltration dynamics in hydrophobic porous media, showing that surface heterogeneity and surfactant adsorption work together to control fluid penetration.
Zhang et al. [11] demonstrated that the adsorption of cationic surfactants on quartz surfaces leads to pronounced changes in wettability, emphasizing that both the molecular structure of the headgroup and the nature of the counterion play pivotal roles in determining the extent and nature of this effect. Variations in these structural features can influence how strongly surfactant molecules interact with the quartz surface, thereby modulating the degree of hydrophobization or hydrophilization observed. Similarly, studies by Zdziennicka and co-workers [18,19] demonstrated that the intrinsic properties of surfaces, such as their charge and polarity, have a significant influence on how surfactants spread and alter wettability. These investigations underscore the importance of using both surface tension measurements and contact angle analysis together, as this dual approach provides a more complete and nuanced understanding of wetting behavior across different substrates.
Alcohols and glycol are another important class of additives that significantly influence surfactant-related wetting properties. Alcohol–water mixtures often show non-ideal surface behavior, as low-molecular-weight alcohols tend to adsorb preferentially at interfaces, altering the arrangement and orientation of nearby water molecules and thereby modifying interfacial properties [20]. Ethanol–water mixtures, for example, show complex interfacial activity resulting from both hydrogen-bonding rearrangements and changes in surface tension, as confirmed by experimental and molecular dynamics studies [21]. Ethylene glycol (EG), a polar polyol with relatively high viscosity, can further modify surfactant aggregation and interfacial adsorption by changing the dielectric environment of the solution and reshaping hydrogen-bonding networks [22,23].
Although many advances have been made, our understanding of how surfactant type, substrate hydrophobicity, and mixed solvents work together to control wetting is still incomplete. Most studies focus on one variable at a time, such as surfactant adsorption, spreading behavior, or the influence of co-solvents, so the combined effects remain less explored.
The primary objective of this study is to systematically investigate how cationic (CTAB) and anionic (AOT) surfactant solutions influence the surface and wetting properties of hydrophobic PTFE and dental wax substrates. In addition, the work aims to elucidate the role of ethylene glycol (EG) as a co-solvent in modifying both surfactant adsorption and spreading behavior. By analyzing the interplay between surfactant type, co-solvent presence, and surface characteristics, this research seeks to provide a comprehensive understanding of the factors that govern wetting and interfacial phenomena on low-energy surfaces.

2. Experimental Section

2.1. Materials

CTAB (99%) and AOT (99%) were purchased from Loba Chemi, Mumbai, India, and dried in an oven at 50 °C for 30 min before use. EG (>99%) was purchased from Thermo Fischer Scientific, Mumbai, India. Dental wax sheets (commercial dental-grade wax) used in this study were obtained from Pyrax Polymers, located on Sunhera Road, Roorkee, India. Polytetrafluoroethylene (PTFE) films were purchased as commercial Teflon sheets with a thickness of 0.1 mm from Fluoroplast Engineers, Mumbai, India. For wettability experiments, the PTFE sheets were carefully cut into samples measuring 2 cm × 2 cm.

2.2. Preparation of EG–Water–Surfactant Solutions

All solutions were prepared using double-distilled water (specific conductance less than 2 μ S c m 1 ). Mixed solvent systems were obtained by blending water with different volume fractions of EG. Mixed solvent systems of EG and water were prepared by mixing double-distilled water with EG at 5%, 10%, and 20% by volume at 298.15 ± 0.5 K. The concentration ranges of CTAB and AOT solutions were 1 × 10 2 M to 5 × 10 5 M and 3 × 10 2 M to 5 × 10 5 M, respectively. All the solutions were equilibrated at 298.15 ± 0.5 K for at least 24 h prior to measurements to ensure thermodynamic equilibrium.

2.3. Contact Angle and Surface Tension Measurements

The static contact angle of surfactant solutions on hydrophobic surfaces was measured using a Drop Shape Analyzer (DSA, 25E, Kruss, Hamburg, Germany) equipped with a high-resolution camera and Kruss advanced software (version 1.9.0.8). Aqueous solutions of CTAB and AOT surfactants were prepared in water and in ethylene glycol (EG)–water mixed solvents containing 5%, 10%, and 20% of EG by volume. Contact angle measurements were performed using the sessile drop method, which is a widely accepted technique for wettability characterization.
Prior to each measurement, the syringe was calibrated, and a stainless-steel needle with a diameter of 0.5 mm was used for drop formation. The syringe was thoroughly cleaned by rinsing with first and second distilled water, followed by drying with acetone to remove residual moisture. A droplet of known volume (2 μ L ) was gently deposited onto the substrate surface using a precision microsyringe. The droplet profile was analyzed by fitting the Young–Laplace equation through the instrument software [3,7].
The already cut pieces of dental wax substrate and PTFE films were placed on the sample holder. The surfaces were kept as smooth as possible. A baseline was manually created on the solid surface using the curved baseline option in the software, and the contact angle was determined by selecting the appropriate area of interest (as shown in Scheme 1). For each droplet, multiple frames were recorded, and 20–30 readings were obtained to ensure stable fitting. Each measurement was repeated at three different locations on the same surface, and the average contact angle values were taken for further calculations. All the experiments were conducted at 298.15 ± 0.5 K under a controlled temperature using a circulatory water bath procured from Orbit Pvt. Ltd., Hyderabad, India.
Surface tension of the surfactant solutions was measured using the same DSA, 25E, via the pendant drop method. A droplet solution was suspended from the tip of a microsyringe, and its profile was recorded with a resolution camera. The surface tension was obtained by fitting the droplet shape to the Young–Laplace equation using the instrument software. All measurements were performed in triplicate to maintain accuracy and confirm reproducibility.

3. Results and Discussion

3.1. Surface Tension and Surface Properties

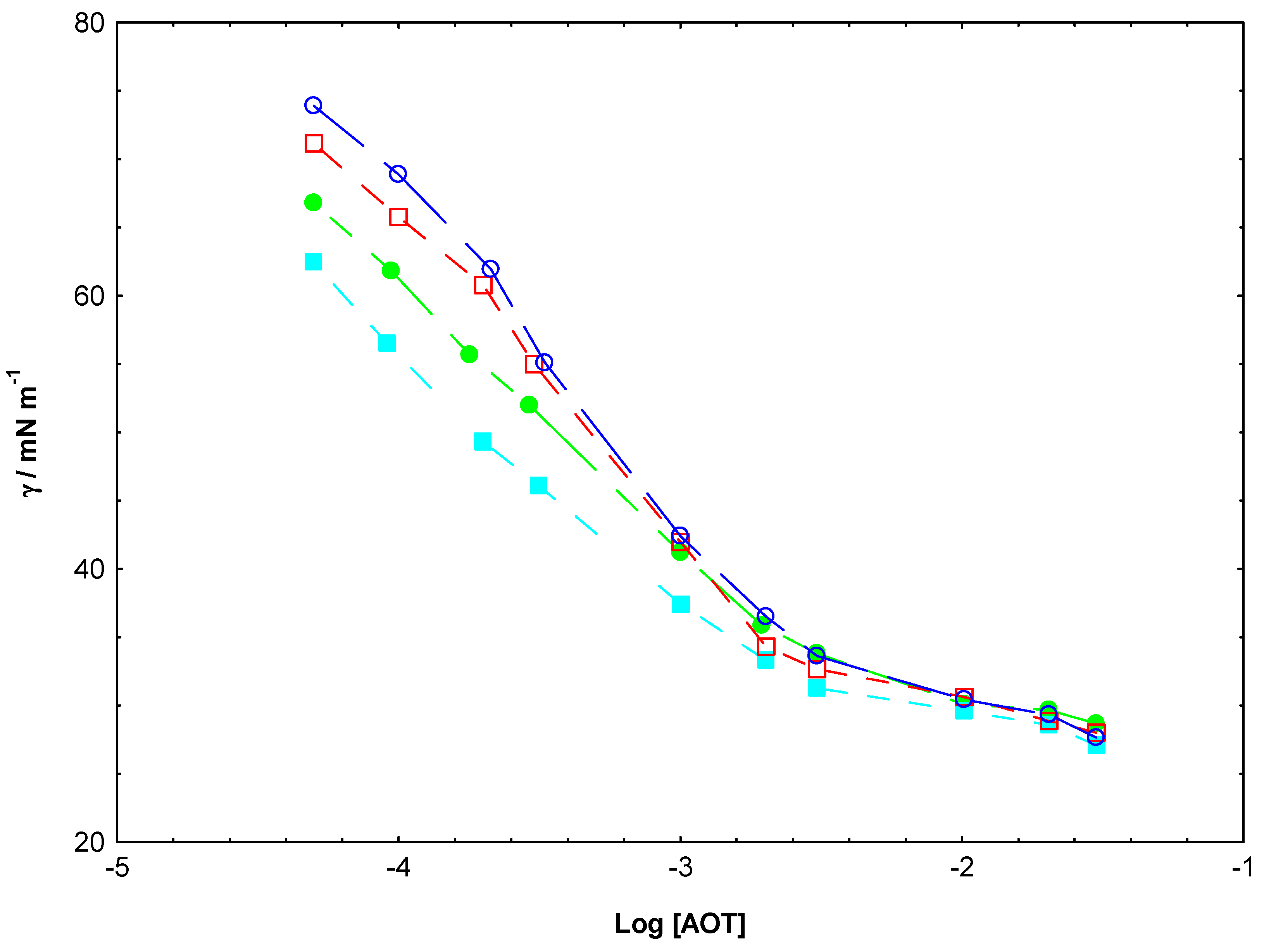
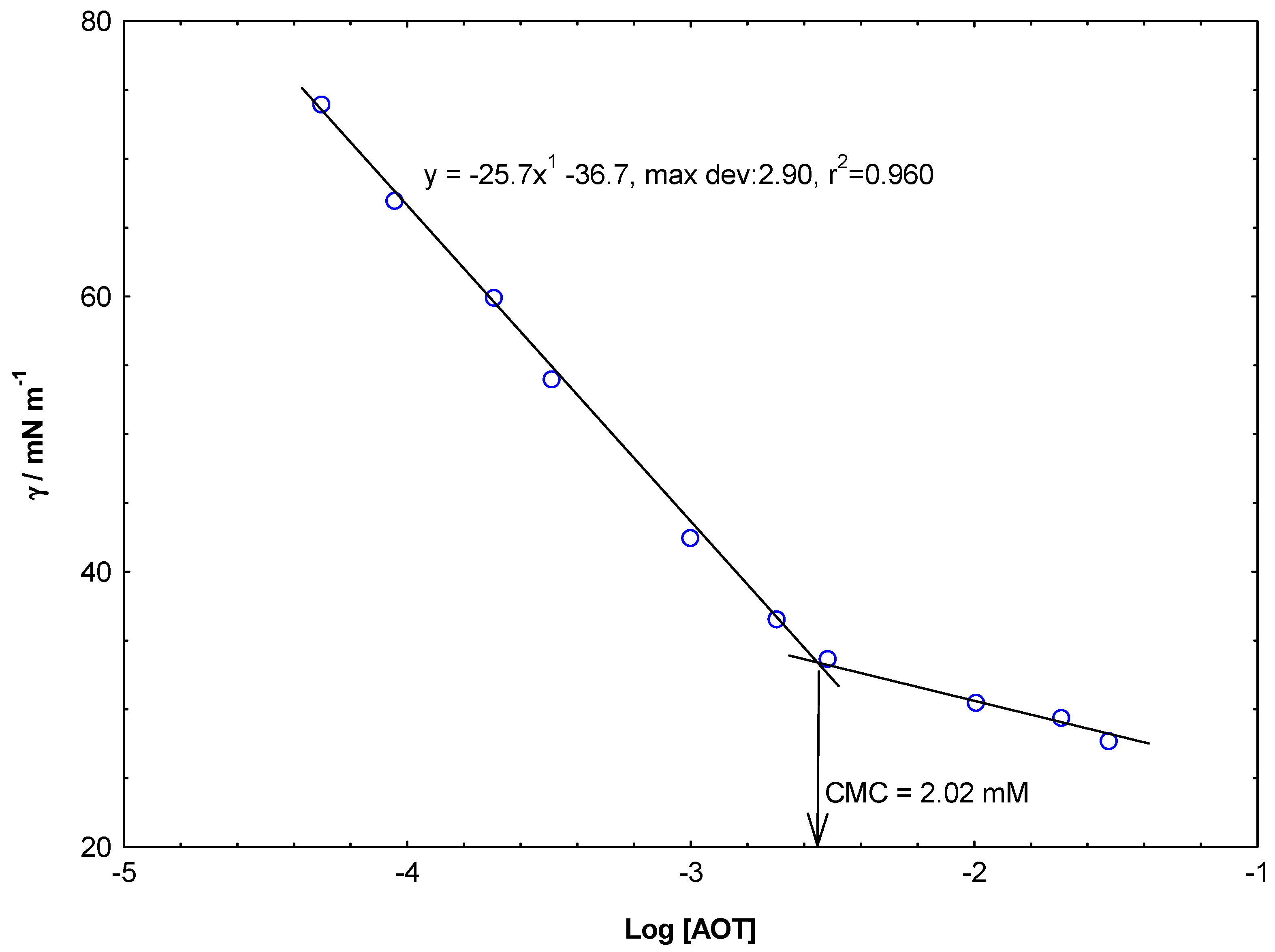
Surface tension (γ) measurements were carried out for both CTAB and AOT in pure water as well as in water–EG mixed solvents containing 5%, 10%, and 20% EG by volume at 298.15 K. The data were plotted as surface tension versus the logarithm of surfactant concentration to observe the relationship between concentration and surface tension. As anticipated, increasing the concentration of surfactant led to a progressive decrease in surface tension, which eventually plateaued at the critical micelle concentration (CMC), where additional surfactant molecules aggregate into micelles rather than further reducing surface tension. This reduction in surface tension is primarily due to the adsorption of surfactant molecules at the air–solution interface, effectively lowering the surface free energy. Eventually, the surface tension shows a break point—this point is called the critical micelle concentration (CMC), as shown in Figure 1. At CMC, the surface becomes saturated with surfactant molecules, and the further addition of surfactant forms micelles the in solution rather than affecting surface tension.
The premicellar slope of the graph, d γ d log C , represents the pattern of surface tension decrease with the l o g C . This slope is useful in determining surface properties such as surface excess concentration Γ m a x using Equation (1):
Γ m a x = 1 2.303 n R T d γ d log C T , P
R (8.314 J mol−1 K−1) denotes the universal gas constant, T indicates the absolute temperature, and C indicates the concentration of surfactant. The value of n taken as the constant is a pre-factor that is taken as 2 for the normal surfactant.
Minimum area per molecule, A m i n , represents the smallest surface area occupied by a molecule at the air–solution interface. It is determined by using Equation (2)
A m i n = 1 / N A Γ m a x
where N A denotes Avogadro’s Number.
Table 1 lists the CMC d γ d log C , Γ m a x , and A m i n of AOT and CTAB in water, and the various volume percentages of EG at 298.15 K.
Ethylene glycol (EG) is a strongly hydrogen-bonding, moderately polar organic co-solvent with a dielectric constant of 37 at 25 °C. When mixed with water, it breaks part of the three-dimensional H-bond network and reduces water’s cohesive forces, producing a monotonic fall in the solvent’s surface tension. This trend has been seen in Figure 2 and Figure 3, where an increase in the volume % of EG causes a decrease in the surface tension of both the surfactants.
The CMC of both surfactants increases systematically with EG content (Table 1), although the magnitude of the shift differs for the two ionic types. In water, CTAB exhibits 0.98 mM, whereas AOT’s CMC is 2.02 mM. The upward shift in CMC with increasing EG content is attributed to weakened hydrophobic interactions and reduced dielectric screening in the solvent. The addition of EG lowers the solvent polarity, thereby diminishing the contrast between the hydrophobic tail and solvent environment, which makes micelle formation less favorable. Lower dielectric constant also increases Coulombic repulsion between ionic headgroups, further destabilizing the micelle for both cationic and anionic surfactants [22].
The premicellar slope d γ d log C of the plot of the surface tension vs. logarithm of molar concentration plot is characterized by a steep linear decrease in surface tension, governed by the progressive accumulation of surfactant molecules at the air–solution interface. Figure 1, Figure 2 and Figure 3 show that the premicellar slope becomes less steep as the EG volume % increases. The numerical values are presented in Table 1. The reduction in the premicellar slope arises from two concurrent mechanisms. The first one is that EG molecules themselves adsorb at the air–solution interface, and the second is that the dielectric constant of EG–water mixtures is much lower than that of water. This decreases the strength of hydrophobic interactions that drive surfactant adsorption and increases the electrostatic repulsion between ionic headgroups.
The presence of EG in aqueous medium significantly influences the surface excess concentration ( Γ m a x ) of both CTAB and AOT, as presented in Table 1. In pure water, the high polarity and extensive H-bond network of water provide a strong driving force for surfactant adsorption at the air–solution interface. As the surfactant concentration increases, molecules rapidly accumulate at the interface, displacing water molecules and reducing surface free energy. Consequently, both surfactants exhibit their highest Γ m a x values in water. When EG is introduced into the solvent mixture, Γ m a x decreases systematically with increasing EG volume %. This decline confirms that fewer surfactant molecules occupy a unit interfacial area in the EG-rich environment.
The corresponding minimum area per molecule ( A m i n ) shows the inverse trend expanding as EG volume % increases. This expansion signifies looser molecular packing at the interface, consistent with decreased Γ m a x . The increase in ( A m i n ) arises primarily because EG molecules intercalate between surfactant headgroups, diluting the interfacial film and causing a lateral spread of surfactant molecules. The weaker hydrophobic contrast between surfactant tails and the EG–water subphase also reduces tail–tail interaction, so the molecules adopt a more tilted or disordered orientation at the interface, further enlarging the effective A m i n .
Comparing the two surfactants, CTAB consistently exhibits higher Γ m a x and smaller A m i n values than AOT in all solvent compositions, demonstrating more efficient packing and stronger adsorption. This difference stems from molecular structure and charge distribution. CTAB possesses a single long C16 hydrogen chain and a compact quaternary ammonium headgroup, which allows dense interfacial packing and efficient reduction in surface tension. AOT, on the other hand, has a bulky double-tailed structure with a large sulfosuccinate head carrying two negative charges. Electrostatic repulsion between these doubly charged headgroups and steric hindrance from the twin tails prevent tight packing, producing lower Γ m a x and larger A m i n values even in water. The structural difference also modulates their sensitivity to solvent composition: CTAB shows a more pronounced decline in Γ m a x and a corresponding increase in A m i n upon adding EG, whereas AOT exhibits a somewhat smaller relative change. This implies that cationic surfactants are more susceptible to polarity and solvation changes introduced by EG, while already strongly hydrated anionic AOT is less affected.
This trend agrees with the work of Ruiz et al. [22], who showed that the addition of EG reduces the surface activity of Triton X-100 by decreasing Γ m a x and increasing A m i n . This effect is attributed to EG’s structure-breaking ability and its interactions with the surfactant, which alter the solvation layer and enhance steric repulsions at the air–liquid interface. These findings further support the observed decrease in surfactant adsorption and looser molecular packing as EG content increases in the solution.

3.2. Contact Angle and Wettability

The spreading of liquid over a solid surface is described as wetting. Situationally, it can also be the penetration of liquid into a porous medium. Quantitatively, the wettability is calculated using the measurement of contact angle (CA), denoted by θ . Geometrically, it is defined as the angle between the liquid phase and the solid phase when these phases are in contact with the gaseous phase, the values of which let us know the extent of wettability, as shown in Scheme 2.
Surfactants are also used as wetting agents, as they lower the surface tension of a liquid by adsorption at the air–liquid interface; at the same time, they also adsorb at the solid–liquid interface.
Mathematically, CA on the solid surface is related to interfacial tension by Young’s Equation (3)
cos θ = γ S G γ S L γ L G
where γ S G , γ S L , and γ L G are interfacial tensions between the solid–gas, solid–liquid, and liquid–gas interfaces, respectively.
Surface excess concentration at the gas–liquid interface is calculated using Equation (4)
Γ L G = 1 20303 n R T d γ L G d log C T , P
The Lucassen–Reynolds equation is used to show the relation of surface excess concentrations at three interfaces ( Γ L G , Γ S L , and Γ S G ) with their respective interfacial tensions as shown below.
Γ S G Γ S L Γ L G = d ( γ S G γ S L ) d γ L G = d γ L G C o s θ d γ L G
Assuming Γ S G = 0 , the ratio of Γ S L and Γ L G can be obtained from the slope of a plot of γ L G cos θ , known as adhesion tension (AT), and γ L G .
Work of Adhesion
This is defined by the reversible work required to separate a unit area of liquid from a solid surface. It measures the interactive forces between the two different phases (solid and liquid). It can be obtained from CA using Equation (6) [2]
W A = γ L G ( 1 + cos θ )
For θ = 0 o , W A = 2 γ L G . This means that the attraction between liquid–solid is equal to or greater than that between liquid–liquid.
Among the additives, alcohol is considered a special additive used in surfactant solutions in physicochemical investigations.

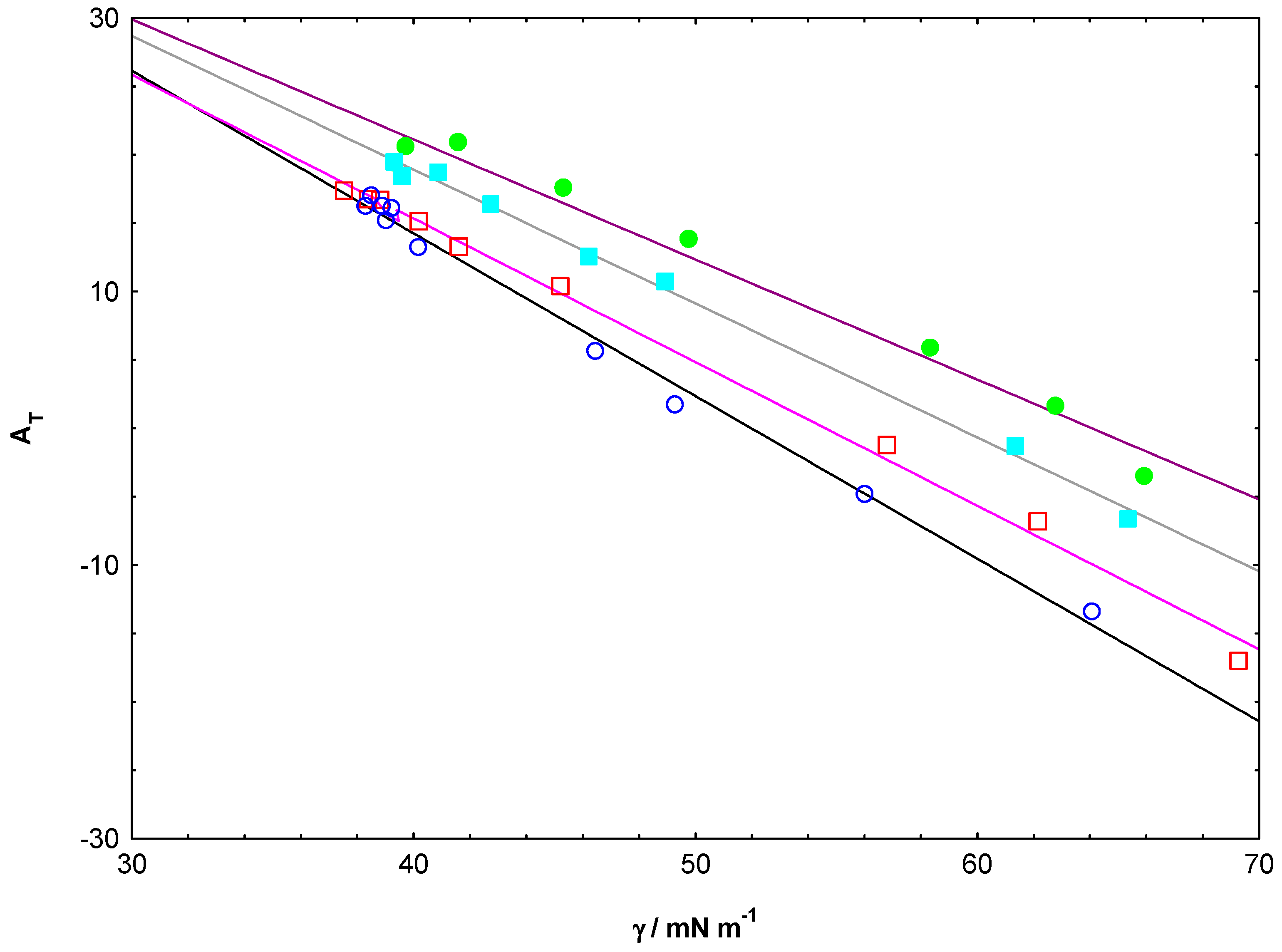
3.2.1. Adhesion Tension vs. Surface Tension—Effect of Ethylene Glycol

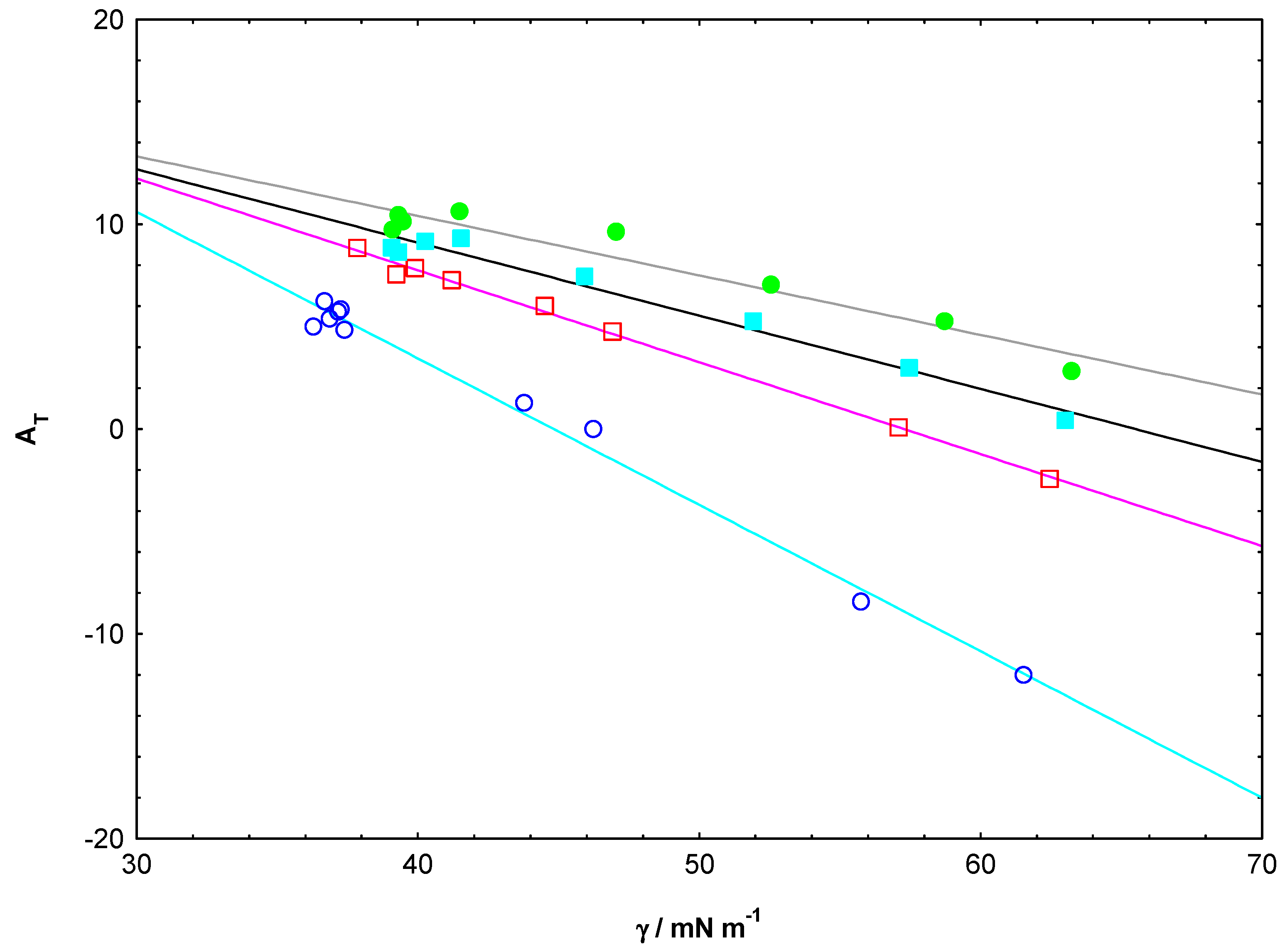
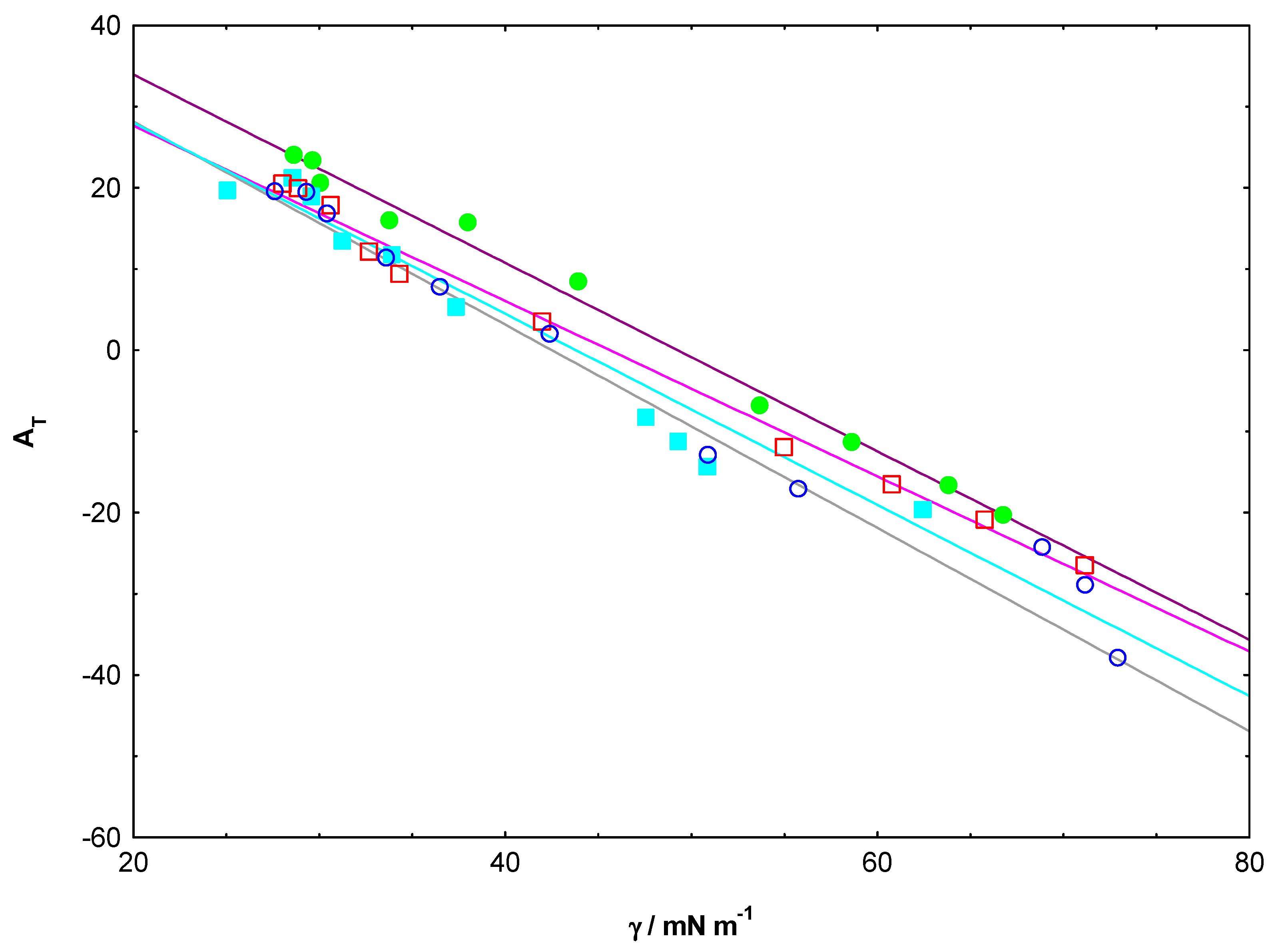
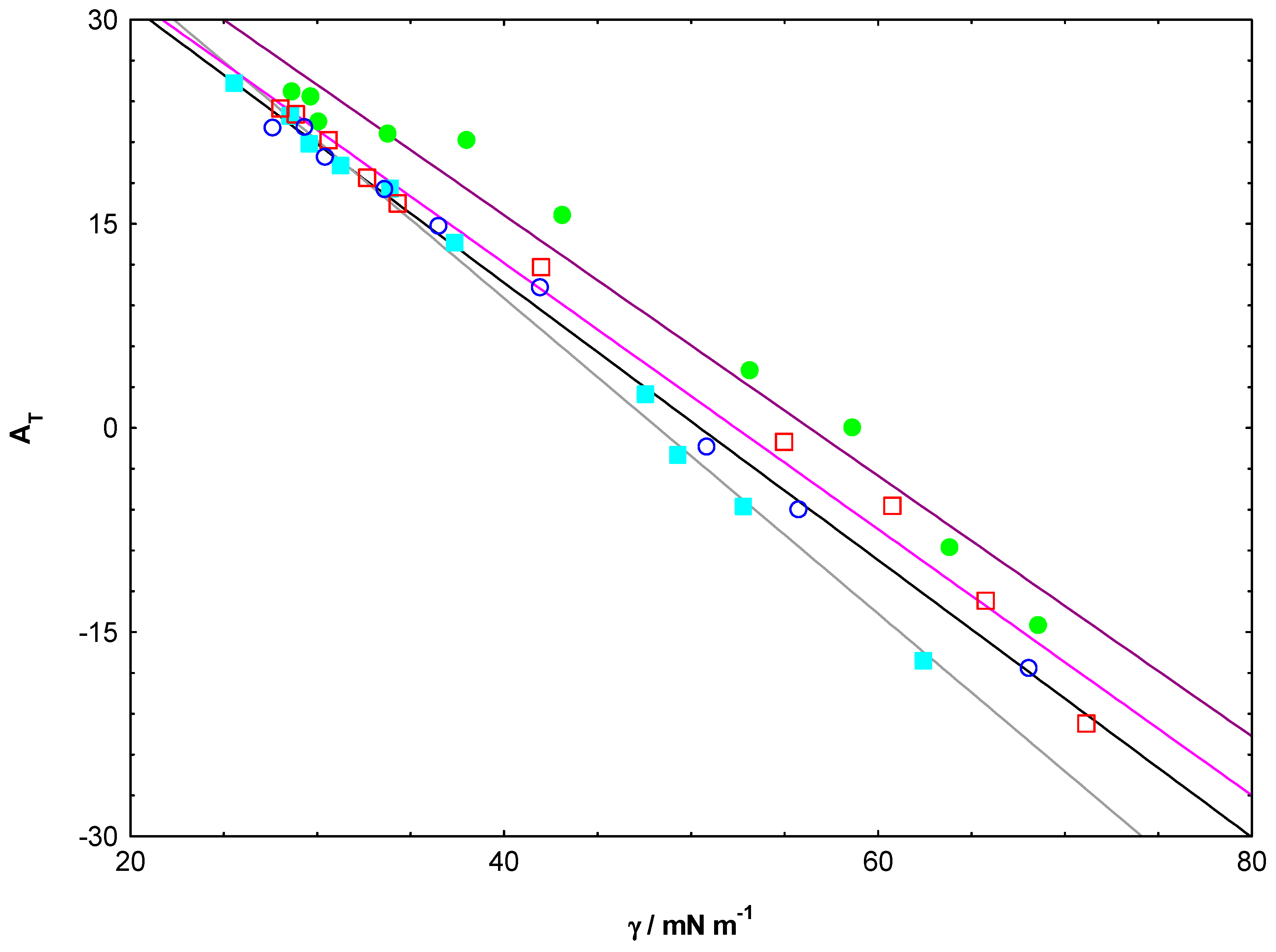
Figure 4, Figure 5, Figure 6 and Figure 7 illustrate how adding ethylene glycol (EG) influences the relationship between A T and γ for AOT and CTAB surfactant solutions on PTFE and wax surfaces in water and various volume percentages of EG at 298 K. The slope of A T and γ Equations (4) and (5) plot reflects how the contact angle varies with changing liquid surface tension due to surfactant adsorption at the interfaces. On hydrophobic surfaces, the slope is typically negative [2]. A slope of −1 signifies equal surfactant adsorption at the solid–liquid and air–liquid interfaces, which in turn means the work of adhesion and contact angle remain essentially constant as surface tension changes [24]. On low-energy surfaces like PTFE and wax, however, the measured slopes are negative and deviate from −1, indicating a variable contact angle with surfactant concentration. All our systems show a negative slope, confirming that surfactant adsorption lowers the solid–liquid interfacial tension disproportionately to the drop in liquid surface tension, thereby decreasing the contact angle (enhancing wettability). For example, AOT on PTFE exhibits a slope increasing from −1.25 to 1.08 with EG present, while AOT on wax goes from −1.10 to −0.95. These slopes are more negative than unity in magnitude for AOT on PTFE, implying greater surfactant adsorption at the solid–liquid interface than at the air–water interface, causing pronounced contact angle reduction. In contrast, CTAB on PTFE and wax without EG shows gentler slopes around −0.75, well below unity in magnitude, consistent with less surfactant at the solid–liquid interface relative to the air–liquid interface (single-tail CTAB is less effective at wetting hydrophobic solids).
Szymczyk et al. [25] found slopes of −1 for SDs and SDDS on PTFE, indicating equal adsorption densities at the air–liquid interface and PTFE–water interface. AOT’s slope of −1.25 to −1.08 aligns with this trend, suggesting strong adsorption at both interfaces. Biswal & Paria [2] reported slopes of −0.80 for Triton X 100 and −0.58 for Igepal CO-630 on PTFE, indicating lower adsorption density at the solid–liquid interface compared to the air–liquid interface. CTAB’s slope range (−0.75 to −0.29) is consistent with this trend, reflecting weaker adsorption. Chang et al. [26] observed slopes of −0.69 to −0.94 for Gemini surfactants on paraffin (similar to wax), indicating lower adsorption density at the solid–liquid interface compared to the air–liquid interface. AOT’s slope range (−1.16 to −0.95) is slightly more negative, suggesting stronger adsorption compared to Gemini surfactants.

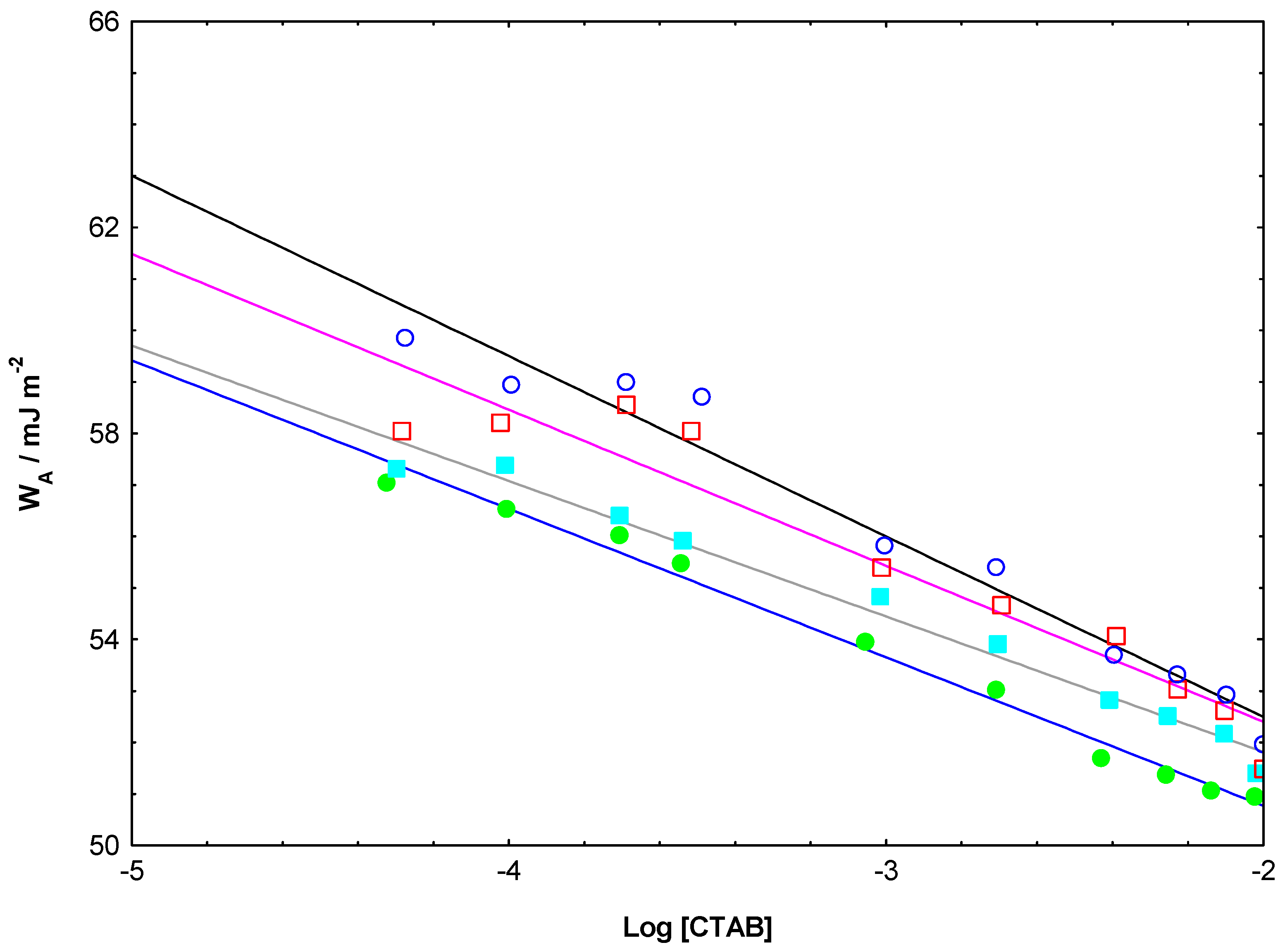
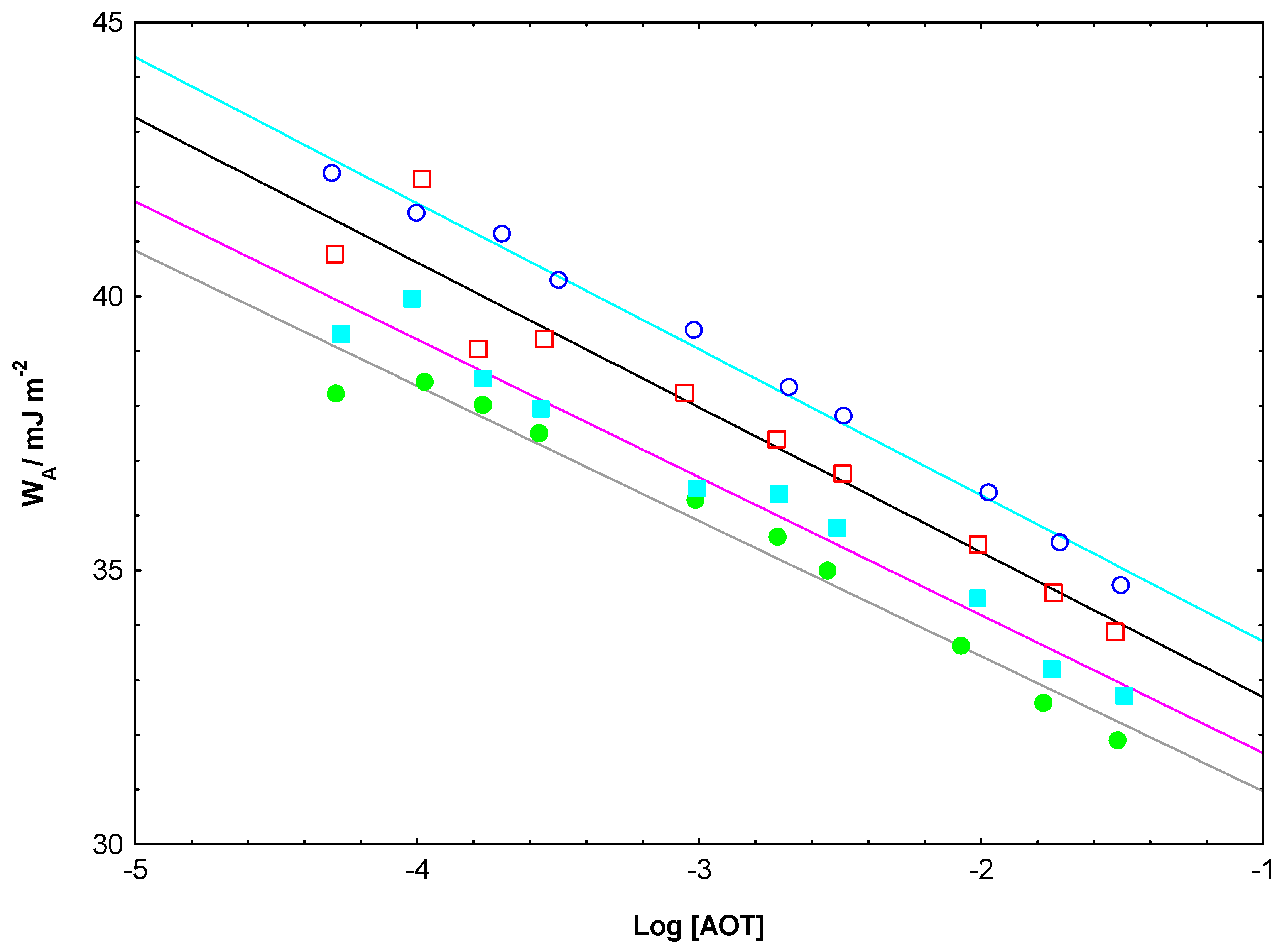
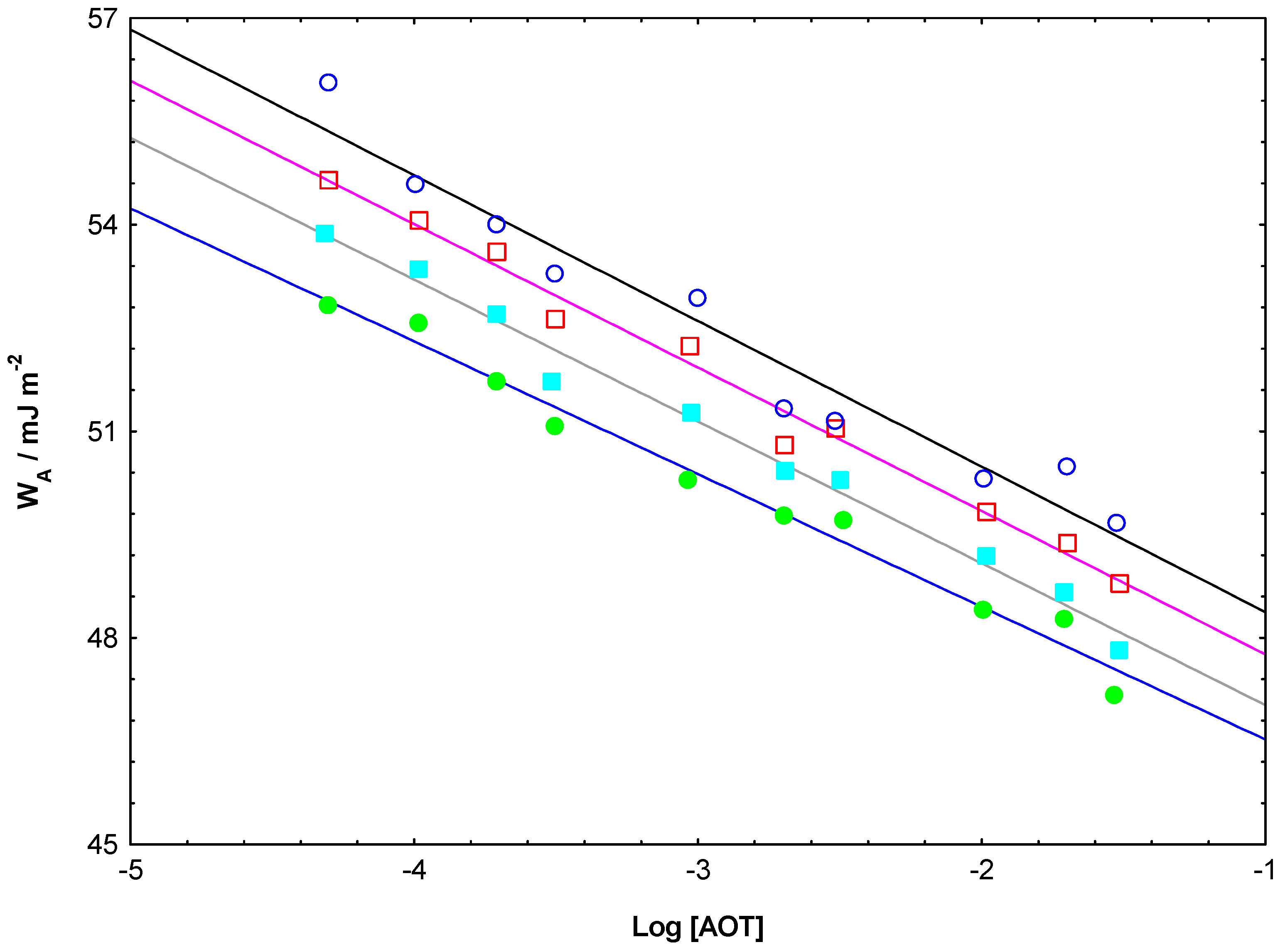
3.2.2. Work of Adhesion

Figure 8, Figure 9, Figure 10 and Figure 11 present W A as a function of surfactant concentration for both AOT and CTAB on PTFE and wax surfaces in water and various volume % of EG at 298 K. For AOT solutions (Figure 8 and Figure 9), W A systematically decreases with increasing surfactant concentration across all temperatures and substrates tested. The initial W A values (at low concentrations) reflect the adhesion of nearly pure water to the hydrophobic surface, which is relatively low due to the energetically unfavorable water-hydrophobe contact. As AOT concentration increases, the work of adhesion decreases, indicating that the surfactant-modified interface requires less energy to maintain contact with the hydrophobic surface.
The decrease in W A with surfactant concentration can be understood through the lens of interfacial energy balance. Surfactant adsorption at both the liquid-vapor and solid–liquid interfaces reduces the interfacial tensions, thereby reducing the net energy required for adhesion. The temperature dependence shows that higher temperatures generally result in lower W A values at equivalent concentrations, consistent with enhanced thermal motion and reduced intermolecular cohesion [2].
For CTAB solutions (Figure 10 and Figure 11), the trends are qualitatively similar but quantitatively distinct. The cationic headgroup of CTAB can form more favorable interactions with certain hydrophobic surfaces through induced polarization effects. The parallel nature of the curves across different temperatures indicates that the fundamental adsorption mechanism is temperature-independent, though the equilibrium adsorption density varies with temperature.
Comparing the two surfactants, AOT generally achieves lower W A values at equivalent concentrations, suggesting more effective modification of the solid–liquid interface. This difference may arise from the double-chain structure of AOT, which provides greater hydrophobic character and potentially stronger interactions with hydrophobic substrates compared to the single-chain CTAB.

4. Conclusions

This study demonstrates that ethylene glycol (EG) plays an important role in modulating the interfacial and wetting behavior of AOT and CTAB solutions on hydrophobic PTFE and wax surfaces. The systematic decrease in surface tension and progressive reduction in the premicellar slope ( d γ d log C ) with increasing EG content reveal that EG weakens hydrophobic interactions and reduces the efficiency of monomer adsorption at the air–solution interface. The corresponding decrease in the surface excess concentration ( Γ m a x ) and increase in minimum area per molecule ( A m i n ) confirm the formation of a more dispersed, less compact interfacial layer, consistent with EG-induced disruption of water structure and modified solvation around surfactant headgroups. Adhesion tension (AT) versus surface tension exhibited a negative slope, and these slopes became less negative upon EG addition, indicating diminished surfactant population toward the solid–liquid interface. This behavior is reflected in the enhanced work of adhesion (WA), demonstrating stronger liquid–solid interactions and improved spreading characteristics at higher EG fractions. AOT showed a more pronounced response to EG than CTAB, highlighting the influence of surfactant charge type, headgroup structure, and interfacial packing on wetting outcomes.

Author Contributions

S.K.S. (conceptualization, visualization, writing—original draft, methodology, data curation, supervision); R.B. (visualization, investigation, methodology, writing—original draft); S.G. (methodology, investigation, visualization); P.S. (visualization, methodology, data curation); A.B. (project administration, resources, fund acquisition, writing—reviewing and editing). All authors have read and agreed to the published version of the manuscript.

Funding

This research receives no external funding.

Data Availability Statement

The data supporting the findings of this study are available from the corresponding author upon reasonable request.

Acknowledgments

The authors gratefully acknowledge the Department of Chemistry, Mahendra Morang Adarsh Multiple Campus (Tribhuvan University), Biratnagar, for providing laboratory facilities and research support.

Conflicts of Interest

The authors declare no conflicts of interest.

References

  1. Josyula, T.; Malla, L.K.; Thomas, T.M.; Kalichetty, S.S.; Mahapatra, P.S.; Pattamatta, A. Fundamentals and Applications of Surface Wetting. Langmuir 2024, 40, 8293–8326. [Google Scholar] [CrossRef]
  2. Biswal, N.R.; Paria, S. Wetting of PTFE and Glass Surfaces by Aqueous Solutions of Cationic and Anionic Double-Chain Surfactants. Ind. Eng. Chem. Res. 2012, 51, 10172–10178. [Google Scholar] [CrossRef]
  3. Shah, S.K.; Das, P.K.; Bhattarai, A. Effect of 2-Propanol on surface properties and wetting behavior of surfactants on the glass surface. Heliyon 2025, 11, e42352. [Google Scholar] [CrossRef]
  4. Kovalchuk, N.M.; Simmons, M.J.H. Surfactant-mediated wetting and spreading: Recent advances and applications. Curr. Opin. Colloid Interface Sci. 2021, 51, 101375. [Google Scholar] [CrossRef]
  5. Zdziennicka, A.; Szymczyk, K.; Jańczuk, B. Correlation between surface free energy of quartz and its wettability by aqueous solutions of nonionic, anionic, and cationic surfactants. J. Colloid Interface Sci. 2009, 340, 243–248. [Google Scholar] [CrossRef]
  6. Menger, F.M.; Rizvi, S.A.A. Relationship between surface tension and surface coverage. Langmuir 2011, 27, 13975–13977. [Google Scholar] [CrossRef]
  7. Shah, P.; Bhattarai, A. Advances in Surfactants in Foliar Application of Agrochemicals on Mango Leaf Surfaces. Tenside Surfactants Deterg. 2020, 57, 460–468. [Google Scholar] [CrossRef]
  8. Schenk, J.J.; Becklund, L.E.; Carey, S.J.; Fabre, P.P. What is the “modified” CTAB protocol? Characterizing modifications to the CTAB DNA extraction protocol. Appl. Plant Sci. 2023, 11, e11517. [Google Scholar] [CrossRef]
  9. Elfeky, S.A.; Mahmoud, S.E.; Youssef, A.F. Applications of CTAB modified magnetic nanoparticles for removal of chromium (VI) from contaminated water. J. Adv. Res. 2017, 8, 435–443. [Google Scholar] [CrossRef]
  10. Rauniyar, B.S.; Bhattarai, A. Study of conductivity, contact angle, and surface free energy of anionic (SDS, AOT) and cationic (CTAB) surfactants in water and isopropanol mixture. J. Mol. Liq. 2021, 323, 114604. [Google Scholar] [CrossRef]
  11. Zhang, L.; Wang, Z.L.; Li, Z.Q.; Zhang, L.; Xu, Z.C.; Zhao, S.; Yu, J.Y. Wettability of a quartz surface in the presence of four cationic surfactants. Langmuir 2010, 26, 18834–18840. [Google Scholar] [CrossRef]
  12. Kwieciński, W.; Segers, T.; van der Werf, S.; van Houselt, A.; Lohse, D.; Zandvliet, H.J.W.; Kooij, S. Evaporation of Dilute Sodium Dodecyl Sulfate Droplets on a Hydrophobic Substrate. Langmuir 2019, 35, 10453–10460. [Google Scholar] [CrossRef]
  13. Shardt, N.; Bigdeli, M.B.; Elliott, J.A.W.; Tsai, P.A. How Surfactants Affect Droplet Wetting on Hydrophobic Microstructures. J. Phys. Chem. Lett. 2019, 10, 7510–7515. [Google Scholar] [CrossRef]
  14. Huang, Y.-X.; Wang, Z.; Horseman, T.; Livingston, J.L.; Lin, S. Interpreting contact angles of surfactant solutions on microporous hydrophobic membranes. J. Membr. Sci. Lett. 2022, 2, 100015. [Google Scholar] [CrossRef]
  15. Jiang, Q.; Du, Y.; Zhang, L.; Ma, W.; Yan, F.; Zhang, L.; Zhao, S. Wettability of a Polymethylmethacrylate Surface by Extended Anionic Surfactants: Effect of Branched Chains. Molecules 2021, 26, 863. [Google Scholar] [CrossRef]
  16. Bera, B.; Backus, E.H.G.; Carrier, O.; Bonn, M.; Shahidzadeh, N.; Bonn, D. Antisurfactant (Autophobic) Behavior of Superspreader Surfactant Solutions. Langmuir 2021, 37, 6243–6247. [Google Scholar] [CrossRef]
  17. Ogunmokun, F.A.; Wallach, R. Effect of surfactant surface and interfacial tension reduction on infiltration into hydrophobic porous media. Geoderma 2024, 441, 116735. [Google Scholar] [CrossRef]
  18. Zdziennicka, A.; Jańczuk, B. Behavior of cationic surfactants and short-chain alcohols in mixed surface layers at water-air and polymer-water interfaces with regard to polymer wettability. II. Wettability of polymers. J. Colloid Interface Sci. 2010, 350, 568–576. [Google Scholar] [CrossRef]
  19. Zdziennicka, A.; Jańczuk, B. The adsorption of cetyltrimethylammonium bromide and propanol mixtures with regard to the wettability of polytetrafluoroethylene. II. Adsorption at polytetrafluoroethylene-aqueous solution interface and wettability. J. Colloid Interface Sci. 2008, 318, 15–22. [Google Scholar] [CrossRef]
  20. Shah, S.K.; Bhattarai, A. Interfacial and Micellization Behavior of Cetyltrimethylammonium Bromide (CTAB) in Water and Methanol-Water Mixture at 298.15 to 323.15 K. J. Chem. 2020, 2020, 1–13. [Google Scholar] [CrossRef]
  21. Kumar, V.; Patel, P.; Ray, D.; Thareja, P.; Kuperkar, K.; Aswal, V.K.; Bahadur, P. Physiochemical insight into the solution behavior of cationic gemini surfactant in water and ethanol–water systems. J. Surfactants Deterg. 2023, 26, 623–632. [Google Scholar] [CrossRef]
  22. Ruiz, C.C.; Molina-Bolívar, J.A.; Aguiar, J.; MacIsaac, G.; Moroze, S.; Palepu, R. Thermodynamic and structural studies of Triton X-100 micelles in ethylene glycol-water mixed solvents. Langmuir 2001, 17, 6831–6840. [Google Scholar] [CrossRef]
  23. Bamyani, N.; Bagheri, A. Interactions between cationic surfactant and polyethylene glycol: Effect of the polymer concentration and alkyl chain length of surfactant. J. Mol. Liq. 2025, 429, 127598. [Google Scholar] [CrossRef]
  24. Zdziennicka, A.; Krawczyk, J.; Jańczuk, B. Wettability and Adhesion Work Prediction in the Polymer–Aqueous Solution of Surface Active Agent Systems. Colloids Interfaces 2018, 2, 21. [Google Scholar] [CrossRef]
  25. Szymczyk, K.; Jańczuk, B. Adsorption of Binary Mixtures of Anionic Surfactants at Water–Air and Poly(Tetrafluoroethylene)–Water Interfaces. J. Surfactants Deterg. 2010, 13, 207–215. [Google Scholar] [CrossRef]
  26. Chang, H.; Cui, Y.; Wang, Y.; Li, G.; Gao, W.; Li, X.; Zhao, X.; Wei, W. Wettability and adsorption of PTFE and paraffin surfaces by aqueous solutions of biquaternary ammonium salt Gemini surfactants with hydroxyl. Colloids Surf. A Physicochem. Eng. Asp. 2016, 506, 416–424. [Google Scholar] [CrossRef]
Scheme 1. Images of water drop showing contact angles; the value of contact angle on PTFE surface. The value we obtained is closely related to the literature value 117.4° [2].
Scheme 1. Images of water drop showing contact angles; the value of contact angle on PTFE surface. The value we obtained is closely related to the literature value 117.4° [2].
Colloids 10 00008 sch001
Figure 1. Variation in surface tension with concentration of AOT in water showing CMC at 298.15 K.
Figure 1. Variation in surface tension with concentration of AOT in water showing CMC at 298.15 K.
Colloids 10 00008 g001
Figure 2. Variation in surface tension with logarithm of concentration of AOT in water () and different volume % (5% (), 10% (), and 20% ()) of EG at 298.15 K.
Figure 2. Variation in surface tension with logarithm of concentration of AOT in water () and different volume % (5% (), 10% (), and 20% ()) of EG at 298.15 K.
Colloids 10 00008 g002
Figure 3. Variation in surface tension with logarithm of concentration of CTAB in water () and different volume % (5% (), 10% (), and 20% ()) of EG at 298.15 K.
Figure 3. Variation in surface tension with logarithm of concentration of CTAB in water () and different volume % (5% (), 10% (), and 20% ()) of EG at 298.15 K.
Colloids 10 00008 g003
Scheme 2. Schematic representation of wetting regimes based on contact angle.
Scheme 2. Schematic representation of wetting regimes based on contact angle.
Colloids 10 00008 sch002
Figure 4. Variation in adhesion tension with Surface tension of AOT on PTFE surface in water () and different volume % (5% (), 10% (), and 20% ()) of EG at 298 K.
Figure 4. Variation in adhesion tension with Surface tension of AOT on PTFE surface in water () and different volume % (5% (), 10% (), and 20% ()) of EG at 298 K.
Colloids 10 00008 g004
Figure 5. Variation in adhesion tension with Surface tension of AOT on wax surface in water () and different volume % (5% (), 10% (), and 20% ()) of EG at 298 K.
Figure 5. Variation in adhesion tension with Surface tension of AOT on wax surface in water () and different volume % (5% (), 10% (), and 20% ()) of EG at 298 K.
Colloids 10 00008 g005
Figure 6. Variation in adhesion tension with Surface tension of CTAB on PTFE surface in water () and different volume % (5% (), 10% (), and 20% ()) of EG at 298 K.
Figure 6. Variation in adhesion tension with Surface tension of CTAB on PTFE surface in water () and different volume % (5% (), 10% (), and 20% ()) of EG at 298 K.
Colloids 10 00008 g006
Figure 7. Variation in adhesion tension with Surface tension of CTAB on wax surface in water () and different volume % (5% (), 10% (), and 20% ()) of EG at 298 K.
Figure 7. Variation in adhesion tension with Surface tension of CTAB on wax surface in water () and different volume % (5% (), 10% (), and 20% ()) of EG at 298 K.
Colloids 10 00008 g007
Figure 8. Variation in work of adhesion with logarithmic concentration of AOT on PTFE surface in water () and different volume % (5% (), 10% (), and 20% ()) of EG at 298 K.
Figure 8. Variation in work of adhesion with logarithmic concentration of AOT on PTFE surface in water () and different volume % (5% (), 10% (), and 20% ()) of EG at 298 K.
Colloids 10 00008 g008
Figure 9. Variation in work of adhesion with logarithmic concentration of AOT on wax surface in water () and different volume % (5% (), 10% (), and 20% ()) of EG at 298 K.
Figure 9. Variation in work of adhesion with logarithmic concentration of AOT on wax surface in water () and different volume % (5% (), 10% (), and 20% ()) of EG at 298 K.
Colloids 10 00008 g009
Figure 10. Variation in work of adhesion with logarithmic concentration of CTAB on PTFE surface in water () and different volume % (5% (), 10% (), and 20% ()) of EG at 298 K.
Figure 10. Variation in work of adhesion with logarithmic concentration of CTAB on PTFE surface in water () and different volume % (5% (), 10% (), and 20% ()) of EG at 298 K.
Colloids 10 00008 g010
Figure 11. Variation in work of adhesion with logarithmic concentration of CTAB on wax surface in water () and different volume % (5% (), 10% (), and 20% ()) of EG at 298 K.
Figure 11. Variation in work of adhesion with logarithmic concentration of CTAB on wax surface in water () and different volume % (5% (), 10% (), and 20% ()) of EG at 298 K.
Colloids 10 00008 g011
Table 1. Surface properties in water and different volume % of EG at 298.15 K.
Table 1. Surface properties in water and different volume % of EG at 298.15 K.
Volume % of EGCMC
(mM)
d γ d log C Γ m a x 10 6  
( m o l m 2 )
A m i n ( Å 2 m o l e c u l e 1 )
AOT
02.02−16.401.44115.61
5%3.06−15.331.34123.68
10%4.23−11.230.98168.83
20%6.12−10.230.90185.33
CTAB
00.98−31.002.7261.16
5%1.12−27.002.3670.22
10%1.81−23.202.0381.72
20%2.23−20.801.8291.15
Disclaimer/Publisher’s Note: The statements, opinions and data contained in all publications are solely those of the individual author(s) and contributor(s) and not of MDPI and/or the editor(s). MDPI and/or the editor(s) disclaim responsibility for any injury to people or property resulting from any ideas, methods, instructions or products referred to in the content.

Share and Cite

MDPI and ACS Style

Shah, S.K.; Bhattarai, R.; Gautam, S.; Shah, P.; Bhattarai, A. Wetting Behavior of Cationic and Anionic Surfactants on Hydrophobic Surfaces: Surface Tension and Contact Angle Measurements. Colloids Interfaces 2026, 10, 8. https://doi.org/10.3390/colloids10010008

AMA Style

Shah SK, Bhattarai R, Gautam S, Shah P, Bhattarai A. Wetting Behavior of Cationic and Anionic Surfactants on Hydrophobic Surfaces: Surface Tension and Contact Angle Measurements. Colloids and Interfaces. 2026; 10(1):8. https://doi.org/10.3390/colloids10010008

Chicago/Turabian Style

Shah, Sujit Kumar, Rojina Bhattarai, Sujata Gautam, Pawan Shah, and Ajaya Bhattarai. 2026. "Wetting Behavior of Cationic and Anionic Surfactants on Hydrophobic Surfaces: Surface Tension and Contact Angle Measurements" Colloids and Interfaces 10, no. 1: 8. https://doi.org/10.3390/colloids10010008

APA Style

Shah, S. K., Bhattarai, R., Gautam, S., Shah, P., & Bhattarai, A. (2026). Wetting Behavior of Cationic and Anionic Surfactants on Hydrophobic Surfaces: Surface Tension and Contact Angle Measurements. Colloids and Interfaces, 10(1), 8. https://doi.org/10.3390/colloids10010008

Article Metrics

Back to TopTop